Effects of Different Full-Reference Quality Assessment Metrics in End-to-End Deep Video Coding
Abstract
1. Introduction
- We select five optimization-suitable FR-QA metrics as perceptual objectives, which are differentiable and thus support back propagation, and use them to optimize an E2E-DVC model.
- We analyze the rate–distortion (R-D) behaviors of an E2E-DVC model under under different loss function optimizations, which provides a basis for further future study of the rate control of E2E-DVC.
- We conduct subjective human perceptual tests on the reconstructed videos to show the effects of different FR-QA optimizations on subjective visual quality and reveal the relative performance of the competing FR-QA metrics.
2. Related Work
2.1. End-to-End Deep Video Coding
2.2. QA Metrics for Perceptual Optimization
3. FR-QA Model for Perceptual Optimization
3.1. Deep Video Compression
3.2. Perceptual Quality Optimization
- 1.
- Mean Absolute Error (MAE).
- 2.
- Multiscale Structural Similarity (MS-SSIM)
- 3.
- Visual Information Fidelity (VIF)
- 4.
- Learned Perceptual Image Patch Similarity (LPIPS)
- 5.
- Deep Image Structure and Texture Similarity (DISTS)
4. Experiments
4.1. Implementation Details
4.2. Objective Results
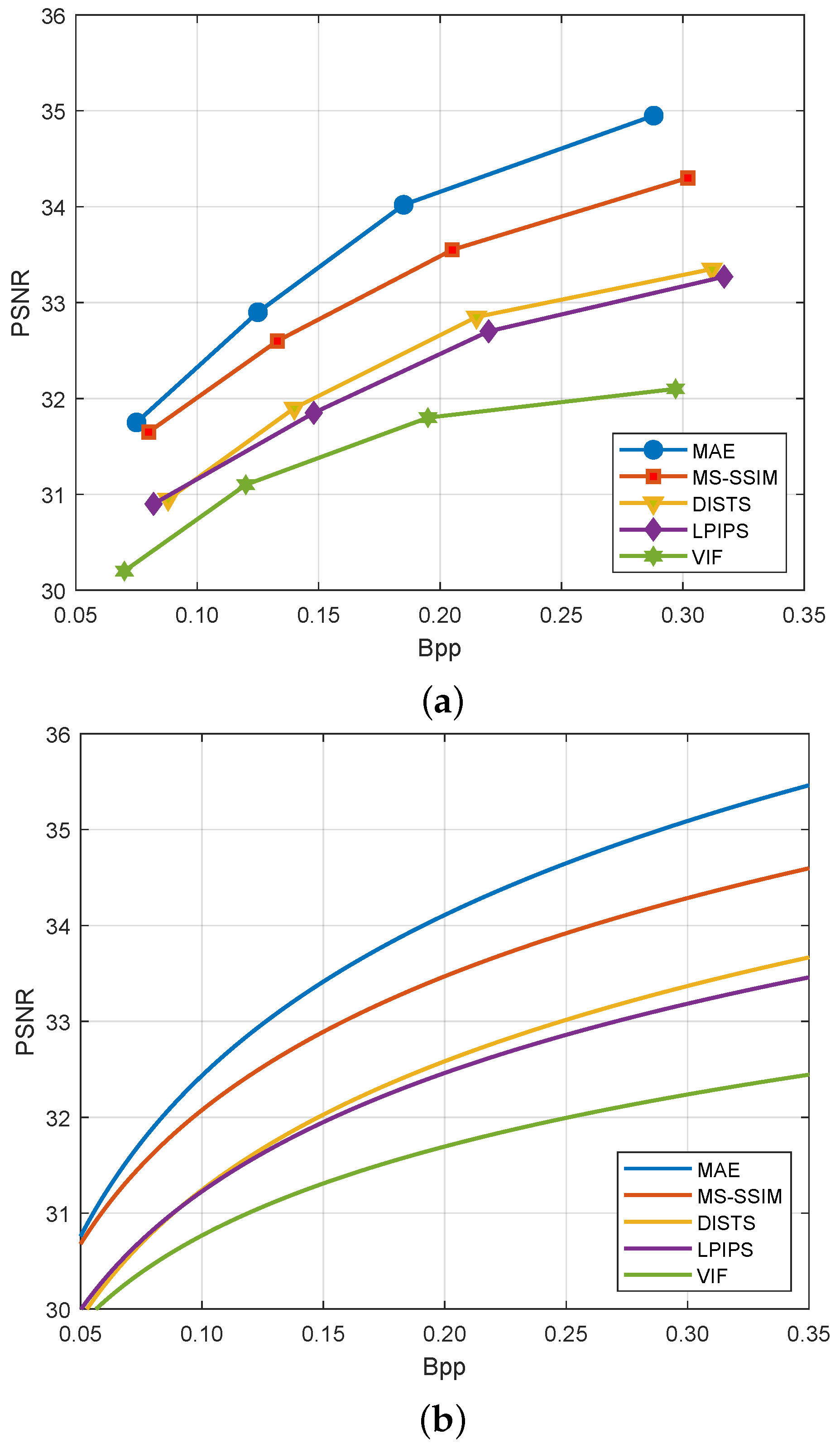
4.2.1. R-D Performance
4.2.2. Objective Model Ranking
4.3. Subjective Results
5. Conclusions
Author Contributions
Funding
Data Availability Statement
Conflicts of Interest
References
- Xu, X.; Dou, Y.; Qian, L.; Zhang, Z.; Ma, Y.; Tan, Y. A Requirement Quality Assessment Method Based on User Stories. Electronics 2023, 12, 2155. [Google Scholar] [CrossRef]
- Zhou, J.; Cao, K.; Zhou, X.; Chen, M.; Wei, T.; Hu, S. Throughput-Conscious Energy Allocation and Reliability-Aware Task Assignment for Renewable Powered In-Situ Server Systems. IEEE Trans. Comput.-Aided Des. Integr. Circuits Syst. 2022, 41, 516–529. [Google Scholar] [CrossRef]
- Zhou, J.; Zhang, M.; Sun, J.; Wang, T.; Zhou, X.; Hu, S. DRHEFT: Deadline-Constrained Reliability-Aware HEFT Algorithm for Real-Time Heterogeneous MPSoC Systems. IEEE Trans. Reliab. 2022, 71, 178–189. [Google Scholar] [CrossRef]
- Bross, B.; Chen, J.; Ohm, J.R.; Sullivan, G.J.; Wang, Y.K. Developments in International Video Coding Standardization After AVC, With an Overview of Versatile Video Coding (VVC). Proc. IEEE 2021, 109, 1463–1493. [Google Scholar] [CrossRef]
- Pfaff, J.; Schwarz, H.; Marpe, D.; Bross, B.; De-Luxan-Hernandez, S.; Helle, P.; Helmrich, C.R.; Hinz, T.; Lim, W.Q.; Ma, J.; et al. Video Compression Using Generalized Binary Partitioning, Trellis Coded Quantization, Perceptually Optimized Encoding, and Advanced Prediction and Transform Coding. IEEE Trans. Circuits Syst. Video Technol. 2020, 30, 1281–1295. [Google Scholar] [CrossRef]
- Hong, Y.; Wang, C.; Jiang, X. A No-Reference Quality Assessment Method for Screen Content Images Based on Human Visual Perception Characteristics. Electronics 2022, 11, 3155. [Google Scholar] [CrossRef]
- Varga, D. No-Reference Image Quality Assessment Using the Statistics of Global and Local Image Features. Electronics 2023, 12, 1615. [Google Scholar] [CrossRef]
- Sullivan, G.J.; Ohm, J.R.; Han, W.J.; Wiegand, T. Overview of the High Efficiency Video Coding (HEVC) Standard. IEEE Trans. Circuits Syst. Video Technol. 2012, 22, 1649–1668. [Google Scholar] [CrossRef]
- Bross, B.; Wang, Y.K.; Ye, Y.; Liu, S.; Chen, J.; Sullivan, G.J.; Ohm, J.R. Overview of the Versatile Video Coding (VVC) Standard and its Applications. IEEE Trans. Circuits Syst. Video Technol. 2021, 31, 3736–3764. [Google Scholar] [CrossRef]
- Sheikh, H.; Bovik, A. Image information and visual quality. IEEE Trans. Image Process. 2006, 15, 430–444. [Google Scholar] [CrossRef]
- Xue, W.; Zhang, L.; Mou, X.; Bovik, A.C. Gradient Magnitude Similarity Deviation: A Highly Efficient Perceptual Image Quality Index. IEEE Trans. Image Process. 2014, 23, 684–695. [Google Scholar] [CrossRef] [PubMed]
- Gastaldo, P.; Zunino, R.; Redi, J. Supporting visual quality assessment with machine learning. EURASIP J. Image Video Process. 2013, 2013, 54. [Google Scholar] [CrossRef]
- Liu, T.J.; Liu, K.H.; Lin, J.Y.; Lin, W.; Kuo, C.C.J. A ParaBoost Method to Image Quality Assessment. IEEE Trans. Neural Netw. Learn. Syst. 2017, 28, 107–121. [Google Scholar] [CrossRef] [PubMed]
- Bosse, S.; Maniry, D.; Müller, K.R.; Wiegand, T.; Samek, W. Deep Neural Networks for No-Reference and Full-Reference Image Quality Assessment. IEEE Trans. Image Process. 2018, 27, 206–219. [Google Scholar] [CrossRef] [PubMed]
- Sim, K.; Yang, J.; Lu, W.; Gao, X. MaD-DLS: Mean and Deviation of Deep and Local Similarity for Image Quality Assessment. IEEE Trans. Multimed. 2021, 23, 4037–4048. [Google Scholar] [CrossRef]
- Duan, W.; Lin, K.; Jia, C.; Zhang, X.; Ma, S.; Gao, W. End-to-End Image Compression via Attention-Guided Information-Preserving Module. In Proceedings of the 2022 IEEE International Conference on Multimedia and Expo (ICME), Taipei, Taiwan, 18–22 July 2022; pp. 1–6. [Google Scholar]
- Ding, K.; Ma, K.; Wang, S.; Simoncelli, E.P. Comparison of Full-Reference Image Quality Models for Optimization of Image Processing Systems. Int. J. Comput. Vis. 2021, 129, 1258–1281. [Google Scholar] [CrossRef]
- Zhao, H.; Gallo, O.; Frosio, I.; Kautz, J. Loss Functions for Image Restoration With Neural Networks. IEEE Trans. Comput. Imaging 2017, 3, 47–57. [Google Scholar] [CrossRef]
- Wang, Z.; Bovik, A.; Sheikh, H.; Simoncelli, E. Image quality assessment: From error visibility to structural similarity. IEEE Trans. Image Process. 2004, 13, 600–612. [Google Scholar] [CrossRef]
- Lu, G.; Ouyang, W.; Xu, D.; Zhang, X.; Cai, C.; Gao, Z. DVC: An End-To-End Deep Video Compression Framework. In Proceedings of the 2019 IEEE/CVF Conference on Computer Vision and Pattern Recognition (CVPR), Long Beach, CA, USA, 16–17 June 2019; pp. 10998–11007. [Google Scholar]
- Chen, T.; Liu, H.; Ma, Z.; Shen, Q.; Cao, X.; Wang, Y. End-to-End Learnt Image Compression via Non-Local Attention Optimization and Improved Context Modeling. IEEE Trans. Image Process. 2021, 30, 3179–3191. [Google Scholar] [CrossRef]
- Rippel, O.; Nair, S.; Lew, C.; Branson, S.; Anderson, A.; Bourdev, L. Learned Video Compression. In Proceedings of the 2019 IEEE/CVF International Conference on Computer Vision (ICCV), Seoul, Republic of Korea, 27 October–2 November 2019; pp. 3453–3462. [Google Scholar]
- Liu, H.; Shen, H.; Huang, L.; Lu, M.; Chen, T.; Ma, Z. Learned Video Compression via Joint Spatial-Temporal Correlation Exploration. In Proceedings of the AAAI Conference on Artificial Intelligence, New York, NY, USA, 7–12 February 2020; Volume 34, pp. 11580–11587. [Google Scholar]
- Zhou, J.; Shen, Y.; Li, L.; Zhuo, C.; Chen, M. Swarm Intelligence based Task Scheduling for Enhancing Security for IoT Devices. IEEE Trans. Comput.-Aided Des. Integr. Circuits Syst. 2022, 42, 1756–1769. [Google Scholar] [CrossRef]
- Wang, Z.; Simoncelli, E.; Bovik, A. Multiscale structural similarity for image quality assessment. In Proceedings of the Thrity-Seventh Asilomar Conference on Signals, Systems Computers, Pacific Grove, CA, USA, 9–12 November 2003; Volume 2, pp. 1398–1402. [Google Scholar]
- Laparra, V.; Berardino, A.; Ballé, J.; Simoncelli, E.P. Perceptually optimized image rendering. J. Opt. Soc. Am. A 2017, 34, 1511–1525. [Google Scholar] [CrossRef] [PubMed]
- Laparra, V.; Ballé, J.; Berardino, A.; Simoncelli, E. Perceptual image quality assessment using a normalized Laplacian pyramid. In Proceedings of the IS&T International Symposium on Electronic Imaging Science and Technology, San Francisco, CA, USA, 14–18 February 2016. [Google Scholar]
- Zhang, S.; Mrak, M.; Herranz, L.; Blanch, M.G.; Wan, S.; Yang, F. DVC-P: Deep Video Compression with Perceptual Optimizations. In Proceedings of the 2021 International Conference on Visual Communications and Image Processing (VCIP), Munich, Germany, 5–8 December 2021. [Google Scholar]
- Zhang, R.; Isola, P.; Efros, A.A.; Shechtman, E.; Wang, O. The Unreasonable Effectiveness of Deep Features as a Perceptual Metric. In Proceedings of the IEEE Conference on Computer Vision and Pattern Recognition (CVPR), Salt Lake City, UT, USA, 18–22 June 2018. [Google Scholar]
- Ding, K.; Ma, K.; Wang, S.; Simoncelli, E.P. Image Quality Assessment: Unifying Structure and Texture Similarity. IEEE Trans. Pattern Anal. Mach. Intell. 2022, 44, 2567–2581. [Google Scholar] [CrossRef] [PubMed]
- Sheikh, H.; Sabir, M.; Bovik, A. A Statistical Evaluation of Recent Full Reference Image Quality Assessment Algorithms. IEEE Trans. Image Process. 2006, 15, 3440–3451. [Google Scholar] [CrossRef] [PubMed]
- Xue, T.; Chen, B.; Wu, J.; Wei, D.; Freeman, W.T. Video enhancement with task-oriented flow. Int. J. Comput. Vis. 2019, 127, 1106–1125. [Google Scholar] [CrossRef]
- Xian, W. E2E-NVC. Available online: https://github.com/Math-Computer/E2E-NVC (accessed on 1 January 2023).






| DISTS | LPIPS | VIF | MS-SSIM | MAE | |
|---|---|---|---|---|---|
| MOS | 4.66 | 4.20 | 1.66 | 2.86 | 2.68 |
| PSNR | 24.6 | 24.2 | 22.6 | 25.4 | 25.7 |
Disclaimer/Publisher’s Note: The statements, opinions and data contained in all publications are solely those of the individual author(s) and contributor(s) and not of MDPI and/or the editor(s). MDPI and/or the editor(s) disclaim responsibility for any injury to people or property resulting from any ideas, methods, instructions or products referred to in the content. |
© 2023 by the authors. Licensee MDPI, Basel, Switzerland. This article is an open access article distributed under the terms and conditions of the Creative Commons Attribution (CC BY) license (https://creativecommons.org/licenses/by/4.0/).
Share and Cite
Xian, W.; Chen, B.; Fang, B.; Guo, K.; Liu, J.; Shi, Y.; Wei, X. Effects of Different Full-Reference Quality Assessment Metrics in End-to-End Deep Video Coding. Electronics 2023, 12, 3036. https://doi.org/10.3390/electronics12143036
Xian W, Chen B, Fang B, Guo K, Liu J, Shi Y, Wei X. Effects of Different Full-Reference Quality Assessment Metrics in End-to-End Deep Video Coding. Electronics. 2023; 12(14):3036. https://doi.org/10.3390/electronics12143036
Chicago/Turabian StyleXian, Weizhi, Bin Chen, Bin Fang, Kunyin Guo, Jie Liu, Ye Shi, and Xuekai Wei. 2023. "Effects of Different Full-Reference Quality Assessment Metrics in End-to-End Deep Video Coding" Electronics 12, no. 14: 3036. https://doi.org/10.3390/electronics12143036
APA StyleXian, W., Chen, B., Fang, B., Guo, K., Liu, J., Shi, Y., & Wei, X. (2023). Effects of Different Full-Reference Quality Assessment Metrics in End-to-End Deep Video Coding. Electronics, 12(14), 3036. https://doi.org/10.3390/electronics12143036

