You are currently viewing a new version of our website. To view the old version click .
Electronics
  • Article
  • Open Access

21 June 2023

An Exploratory Verification Method for Validation of Sea Surface Radiance of HY-1C Satellite UVI Payload Based on SOA Algorithm

,
,
,
and
1
Shanghai Institute of Technical Physics, Chinese Academy of Sciences, Shanghai 200083, China
2
Key Laboratory of Infrared System Detection and Imaging Technology, Chinese Academy of Sciences, Shanghai 200083, China
3
University of Chinese Academy of Sciences, Beijing 100049, China
4
States Key Laboratory of Satellite Ocean Environment Dynamics, Second Institute of Oceanography, Ministry of Natural Resources, Hangzhou 310012, China
This article belongs to the Topic Computational Intelligence in Remote Sensing

Abstract

To support the application of ocean surface radiance data from the ultraviolet imager (UVI) payload of the HY-1C oceanographic satellite and to improve the quantification level of ocean observation technology, the authenticity check study of ocean surface radiance data from the UVI payload was conducted to provide a basis for the quantification application of data products. The UVI load makes up for the lack of detection capabilities of modern ocean remote sensing satellites in the ultraviolet band. The UVDRAMS (Ultra-Violet Dual-band RadiAnce Measurement System) was used to verify the surface radiance data collected at 16 stations in the study area and the pupil radiance data collected by the UVI payload to establish an effective radiative transfer model and to identify the model parameters using the seeker optimization algorithm (SOA). The study of the UVDRAMS measurement system based on the SOA algorithm and the validation of the sea surface radiance of the UVI payload of the HY-1C satellite shows that 97.2% of the incident pupil radiance of the UVI payload is contributed by the atmospheric reflected radiance, and only 2.8% is from the real radiation of the water surface, while the high signal-to-noise ratio of the UVI payload of the HY-1C ocean satellite can effectively distinguish the reflectance of the water body. The high signal-to-noise ratio of the UVI payload of the HY-1C ocean satellite can effectively distinguish the amount of standard deviation in the on-satellite radiation variation, which meets the observation requirements and provides a new way of thinking and technology for further quantitative research in the future.

1. Introduction

The ocean plays an important role in global climate and weather change, and marine remote sensing (RS) satellites can be used for effective observation of the marine environment and climate [1]. The continuous development of marine RS satellites enables them to play an increasingly important role in marine disaster prevention and reduction, environmental protection, marine ecology, marine rights protection, resource development, and many other fields [2,3,4]. The acquisition of marine RS data is a complicated process that is affected by many factors, such as atmospheric radiation transmission characteristics, the RS operating environment, the RS working state, the state of the observed target, etc. To improve the quantification level of marine observation technology and to judge whether the RS data received by the marine RS sensor meet the design requirements and whether the RS inversion products can accurately and truly reflect the actual situation, the validation method of the marine satellite payload needs to be studied [5].
The quantitative application of RS data is an important issue that needs to be solved for the further development of RS technology [6]. The development of quantitative RS technology calls for higher requirements for determining the accuracy of satellite RS data and the quality of products. This requires not only the continuous improvement and development of new RS devices to improve the accuracy of quantitative RS but also accurate calibration of the radiation measurement results of RS devices and checking whether the products of RS data accurately reflect the geophysical parameters detected. Therefore, the validation of RS data is put forward as necessary to study. At present, there are two main methods of validation. One is a direct test [7], that is, to obtain the true value of the ground via synchronous ground measurements with a satellite-borne remote sensor and to compare and analyze the data results with RS data. The other is the indirect test method [8], including cross-validation, which uses other verified satellite products of known accuracy to test satellite products, space–time analysis, the process model, etc.
Due to the serious air pollution problems in some Asian countries, S. V. V. Arun Kumar et al. [9] cross-verified the distribution data on chlorophyll A in the Arabian Sea with SeaWiFS, MODIS-Aqua, MODIS-Terra, and MERIS, and analyzed the differences in the data in different sea areas. In recent years, scientists have also carried out much verification work on RS data from the payload of the GOES-16 geostationary orbit weather satellite, which was launched in 2016. Bartlett B et al. [10,11] used a novel geospatial database and image abstraction techniques to conduct a detector-level in-depth analysis of data from target sites on the Advanced Baseline Imager (ABI) of GOES-16 to provide independent verification of the SI traceability of its spectral radiation observations. Additionally, they established a new performance benchmark for NOAA’s next-generation geostationary observation instrument products. In 2016, ESA launched the Sentinel-3A/B satellite, which is equipped with the OLCI (Ocean Land Color Instrument) and SLSTR (Sea and Land Surface Temperature Radiometer) to measure sea temperature, sea color, sea level height, and sea ice thickness. The measured data can be used to monitor the Earth’s climate change, marine pollution, and biological productivity. Jungang Yang et al. [12] verified the accuracy and long-term stability of Sentinel-3A SWH by double cross-verifying Sentinel-3A SWH data with NDBC buoy data and Sentinel-3A SWH data with Jason-3 data. In December 2017, Japan’s newest generation of the Earth Environment Change Observation Satellite (GCOM) was equipped with a multi-wavelength optical radiometer (SGLI) [13], which has a central wavelength of 380 nm and a bandwidth of 10 nm on the ultraviolet spectrum. After its successful launch, the in-orbit test was conducted [14,15,16].
In the processing of satellite data, many novel algorithms have also been introduced. Tian, H et al. [17], used the optical image data of Landsat-7 and -8 and Sentinel-2 optical images and used the decision tree classification method to classify winter crops at the pixel level. The overall classification accuracy rate reached 96.22%, making a significant contribution to the rapid and accurate mapping of winter crops. Tian, H. et al. [18] used Sentinel-2, Landsat-8, and Sentinel-1 RS image data to distinguish garlic from winter wheat. Through the cross-coupling of these three satellite data sets to carry out classification extraction, the results show that, compared with single satellite data, the mixed processing of multi-source satellite RS data significantly improves classification accuracy. Anahita Modabberi et al. [19] used the MODIS-Aqua Chl-a data from 2003 to 2017 in the study of eutrophication in the Caspian Sea and innovatively introduced the pod algorithm to extract the dominant features. The research showed that the degradation of the Caspian Sea was significantly accelerated.
These satellite payloads have certain limitations in the observation of ocean RS. Due to the limitation of the observation spectrum of the detectors, the working bands of these satellite payloads are basically distributed in visible light, near-infrared, and other similar bands and lack the ability to observe the optical characteristics of ocean water bodies in the ultraviolet band. Only the SGLI payload carried by the GCOM launched by Japan has observation capabilities in the near-ultraviolet and 380 nm bands. On 7 September 2018, China launched a new generation of ocean RS satellites (HY-1C) [20]. The load of the ultraviolet imager (UVI) carried on the HY-1C ocean satellite uses a large-field combined ultraviolet transmission optical system and an ultraviolet GaN focal plane detector. It has a resolution of 500 m, a huge width of 2900 km, a high signal-to-noise ratio of 1000 times, and a dynamic response that is 1.2 times the solar dual width. It expands the spectrum coverage of satellites; has an ultraviolet dual band (345 nm~365 nm and 375 nm~395 nm) [21,22]; improves the capabilities of atmospheric correction, CDOM, and carbon cycle monitoring; and provides new means of detecting offshore oil spouts. It is the first time China has used ultraviolet technology to carry out space and marine civilian RS applications.
Limited by the spatial resolution and spectral differences, this also creates another problem. The UVI payload carried on HY-1C cannot be indirectly cross-validated with the observation data of other satellite payloads. To evaluate the authenticity and accuracy of the RS data of ocean surface radiance under a UVI load and the degree of how well the sensor design index meets the requirements, a direct authenticity test was conducted on the ocean surface radiance RS data of the UVI load. In this paper, the ocean surface radiance data was collected by the Ultraviolet Dual-band Radiance Measurement System (UVDRAMS) in September 2018 from 16 stations in the study area, where the main performance and parameters of the UVDRAMS were consistent with the UVI load, and the entrance pupil radiance data were collected by the UVI load. The satellite–ground synchrotron radiation verification was carried out, the satellite–ground synchrotron radiation transmission model was established, and the model parameters were identified using the seeker optimization algorithm (SOA) [23]. According to the established satellite-to-ground synchrotron radiation transfer model, the contribution components of the entrance pupil radiance of the UVI load were analyzed, and it was judged whether the signal-to-noise ratio index of the HY-1C ocean satellite’s UVI load can meet the observation requirements to provide further information for the future. Carrying out this quantitative research has laid a technical foundation.
In the study of this paper, the UVI load makes up for the lack of detection capabilities of modern ocean RS satellites in the ultraviolet band. Through the ocean in situ synchronous observation experiment combined with the SOA algorithm, a set of exploratory satellite-to-earth synchrotron radiation transmission models is established, and through this model, the authenticity of the UVI load data is checked.

2. The Validation Method of the HY-1C Satellite’s Ultraviolet Imager

2.1. The Validation Method Principle

An authenticity check is an independent method to obtain the reference data representing the ground truth value and to realize the accuracy verification and uncertainty evaluation of RS data or products through comparing and analyzing RS data or products. Broadly speaking, the authenticity check includes checking the authenticity of satellite loads, RS common products, and RS application products [24].
After converting the digital quantities output from the remote sensors into radiometric quantities by calibration, the required physical parameters must be extracted from these radiometric quantities [25]. To determine whether the geophysical information obtained from satellite data correctly reflects the objective existence, i.e., the quality of the satellite data product, it must be evaluated using an independent method, such as performing a veracity test [26,27]. The flow chart of the validation method principle used in this paper is shown in Figure 1.
Figure 1. Flowchart of the principle of obtaining and validating the sea surface radiance.
Satellite products and field-measured data have different temporal-spatial sampling characteristics, and it is necessary to determine a reasonable temporal-spatial window according to the spatial resolution of satellite products, as well as the temporal-spatial variation and uniformity of water bodies, and calculate the mean value of effective pixels in the spatial window and the mean value of pixels in the time window. The mean value of the effective on-site measurement is used as a matching data pair and included in the verification data set. In this experiment, we use the time window of the HY-1C satellite transit to conduct an ocean on-site observation experiment to obtain the ocean surface ultraviolet radiance L s f c , and at the same time, collect this UVI load entrance pupil radiance data L s a t within a period of time. According to the principle of atmospheric radiative transfer, an atmospheric radiative transfer model is constructed.

2.2. Modeling of Satellite–Ground Synchrotron Radiation Transport

In the ultraviolet spectral range, it is known from radiative transfer theory that the surface is assumed to be a Lambertian surface, that the downward atmospheric thermal radiation is isotropic, and that the spectral radiation received by the satellite is the total contribution of the interaction between the solar spectral radiation, the atmosphere, and the terrestrial target [28]. The first component is the thermal radiation emitted by the object target, the magnitude of which is determined by the emissivity of the object’s surface and the atmospheric transmittance between the target and the satellite; the second component is the reflected radiation from the object target to the total radiation of the downgradient atmospheric radiation, the ambient background radiation, and the thermal radiation component of the solar incidence, which is normally neglected; and the third component is the atmospheric uplink radiation between the object and the satellite, which is related to the content and physical state of the absorbing gas in the atmosphere. In the case of ocean observations, the observational model is simplified, and the radiance observed in space by the UVI payload is shown in Equation (1) [29].
L s a t = t × L s f c + L s k y t o p = L s k y _ t r a n s L s k y × L s f c + L s k y _ r e f
where L s a t is the radiance received by the pupil of the satellite load sensor; t is the total atmospheric transmittance, which is determined by the skylight upward radiation L s k y and the skylight upward radiation through the atmosphere L s k y _ t r a n s ; L s f c is the in situ measured radiance from the sea surface upwards; and L s k y _ r e f is the atmospheric reflected radiance.
Assuming that the nature of the thermal radiation L s f c is uniform in waters of a similar sea state in the ocean, then by accurately measuring the surface upward radiance and performing simultaneous verification analysis with the incoming pupil radiance L s a t collected by the UVI load, t and L s k y _ r e f can be obtained. For the determination of the pupil radiance L s a t of the UVI payload, a look-up table of radiance and sensor DN values was established by integrating sphere radiometric calibration before the satellite launch, and the pupil radiance L s a t can be obtained from the corresponding DN values of the UVI payload. The sea surface ultraviolet radiance measured synchronously on site is the basis for the verification of satellite–terrestrial synchrotron radiation, and for in situ optical measurements of ocean waters, in situ observations using the above-water method [30] can yield the sea surface upward radiance L s f c and the skylight upward radiation L s k y of the UV band. The total atmospheric transmittance t and atmospheric reflectance L s k y _ r e f are obtained by fitting the ocean radiance data from multiple regional stations into Equation (1).
The synchrotron radiation transport model was converted to form a one-dimensional linear regression equation, as shown in Equation (2).
y = a x + b
where y represents L s a t ; a represents the total atmospheric transmittance; x is the in situ measured radiance L s f c from the sea surface upwards; and b is the atmospheric reflected radiance L s k y _ r e f . The in situ observation data from some stations are selected and combined with the satellite-based simultaneous RS data, and the optimal solutions for a and b can be obtained by fitting and optimizing with the intelligent optimization algorithm.

2.3. Synchrotron Radiation Transmission Model Parameter Identification Method Based on SOA Algorithm

The seeker optimization algorithm (SOA) simulates the random search behavior of humans and directly applies the intelligent search behavior of humans to the search for optimization problem solutions [31]. In optimization calculations, human random search behavior can be understood in this way: in the search process of continuous space, there may be a better solution around the solution, and the optimal solution may exist in the neighborhood of the better solution. Therefore, when the searcher is in a better position, they should search in a smaller neighborhood. When the searcher is in a poor position, they should search in a larger neighborhood [32,33]. To this end, the SOA uses fuzzy logic that effectively describes the natural language and uncertain reasoning to model the above search rules and determine the search step size. The SOA obtains social experience and cognitive experience through social learning and cognitive learning, respectively, and determines the direction of the individual search by combining the self-organizing aggregation behavior of intelligent groups, self-centered egoistic behavior, and human pre-action behavior [34].
The uncertain reasoning behavior of the SOA uses the approximation ability of the fuzzy system to simulate human intelligent search behavior and to establish the connection between perception (objective function value) and behavior (step size) [35]. The Gaussian membership function is used to represent the fuzzy variable of the search step size, as shown in Equation (3):
u A ( x ) = exp [ ( x u ) 2 / 2 δ 2 ]
where u A is the Gaussian membership degree, x is the input variable, and u and δ are membership function parameters.
The fuzzy variable “small” of the objective function adopts a linear membership function so that the membership degree is directly proportional to the order of the function values, i.e., the maximum membership value u max = 1.0 in the best position, the minimum membership value u min = 0.0111 in the worst position, and so on for other positions. This can be expressed by Equations (4) and (5):
u i = u max s I i s I ( u max u min ) , i = 1 , 2 , , s
u i j = r a n d ( u i , 1 ) , j = 1 , 2 , , D
where u i is the membership degree of the objective function value i; u i j is the membership degree of the objective function value i in the j-dimension search space; I i is the sequence number of x i ( t ) after the population function values are arranged in descending order; and D is the dimension of the search space.
After obtaining the membership degree u i j , the step size can be obtained according to the behavior of uncertain reasoning, as shown in Equation (6):
α i j = δ i j ln ( u i j )
where α i j is the search step size of the j-dimension search space, and δ i j is the parameter of the Gaussian membership function, whose value can be determined by Equations (7) and (8):
δ i j = ω a b s ( x min x max )
ω = ( T max t ) / T max
where x min and x max are the positions in the same subgroup with the minimum and maximum functional values, respectively; ω is the inertia weight, which decreases linearly from 0.9 to 0.1 with the increase in evolutionary algebra; t and T max are the current iteration number and the maximum iteration number, respectively; and the function a b s ( · ) takes the absolute value of each entry.
Through the analysis and modeling of human egoistic behavior, altruistic behavior, and pre-acting behavior, the egoistic direction d i , e g o , altruistic direction d i , a l t , and pre-acting direction d i , p r o of any i-th search individual are obtained, respectively, as shown in Equations (9)–(11):
d i , e g o ( t ) = p i , b e s t x i ( t )
d i , a l t ( t ) = g i , b e s t x i ( t )
d i , p r o ( t ) = x i ( t 1 ) x i ( t 2 )
The searcher considers all factors and determines the search direction by using a randomly weighted geometric average of the three directions, as shown in Equation (12):
d i ( t ) = s i g n ( ω d i , p r o + φ 1 d i , e g o + φ 2 d i , a l t )
where x i ( t 1 ) and x i ( t 2 ) are the best positions in { x i ( t 2 ) , x i ( t 1 ) , x i ( t ) } ; g i , b e s t is the best position based on the collective history of the neighborhood where the i-th search individual is located and p i , b e s t is the best position that the i-th search individual has experienced thus far; s i g n ( · ) denotes the sign function of each dimension of the input vector; φ 1 and φ 2 are real numbers uniformly and randomly selected in the known interval [0, 1]; and ω is the inertia weight, which decreases linearly from 0.9 to 0.1 with the increase in evolutionary algebra.
After determining the search direction and step size, the position is updated, as shown in Equations (13) and (14):
Δ x i j ( t + 1 ) = α i j ( t ) d i j ( t )
x i j ( t + 1 ) = x i j ( t ) + Δ x i j ( t + 1 )

3. Marine In Situ Observation Field Test Verification

The Ultraviolet Dual-band Radiance Measurement System (UVDRAMS), developed by the Shanghai Institute of Technical Physics, Chinese Academy of Sciences, is used in this marine observation experiment. Its main performance and parameters are consistent with the UVI load. The UVDRAMS has an ultraviolet dual band (345 nm~365 nm and 375 nm~395 nm), high sensitivity, and a large dynamic range. It has two dynamic ranges, covering 0.4~0.5 times the solar constant and up to 1.2 times the solar constant. The two dynamic ranges can simultaneously obtain high signal-to-noise ratio observation data. The performance parameters are shown in Table 1.
Table 1. The specifications of UVDRAMS.
Table 1. The specifications of UVDRAMS.
Ultraviolet Dual-Band Radiance Measurement System
Detector spectrumB1 (345 nm~365 nm)B2 (375 nm~395 nm)
Center wavelength355 nm385 nm
SNR>1000 (typical radiance of 7.5 mW·cm−2·um−1·sr−1)>1000 (typical radiance of 6.1 mW·cm−2·um−1·sr−1)
Dynamic range (mW·cm−2·um−1·sr−1)High dynamic of 35.6
Low dynamic of 17.5
High Dynamic of 36.1
Low Dynamic of 18.6
FOV23°
Angular resolution0.68 mrad
Absolute radiometric calibration accuracy<5%
The module structure of the UVDRAMS is shown in Figure 2.
Figure 2. The module structure of UVDRAMS.
The schematic diagram of the UVDRAMS marine observation process [36] is shown in Figure 3.
Figure 3. Schematic diagram of sea surface observation.
To ensure the validity and stability of the observation results, the sea area of the observed experiment needs to be relatively stable in space and time [37,38,39,40]. The main site of the observation experiment is located in the northern South China Sea (E107.5°~113.5°, N16°~20°) around Hainan Island, China. It covers coastal turbid water and offshore clean water with a maximum depth of more than 1000 m. In situ sea surface radiation measurements were carried out from 12 September to 14 October 2018 from Zhoushan Island, Zhejiang, China, to the test site in the northern South China Sea. The observation time point was selected to be 0.5 h before and after the transit of HY-1C, and the time correlation of the observation data was maintained. To increase the number of simultaneous observation tests and obtain more observation data, observation tests were also carried out along the route. A total of 17 observation tests were carried out throughout the voyage when the weather and sea conditions allowed. There were 3 stations in the East China Sea area and 13 stations in the South China Sea area around Hainan Island. Specific test site statistics and experimental sea areas are shown in Table 2 and Figure 4.
Table 2. The experiment results at each station.
Figure 4. The study area (3 stations in the East China Sea area and 13 stations in the South China Sea area around Hainan Island). In the figure, the red × is represent our observation sites).

4. Results and Discussion

4.1. Data Analysis of Marine Field Observations

In total, 17 simultaneous observations were made by the UVDRAMS in the East China Sea and South China Sea, and 14 effective samples of the UV bispectral RS reflectance were obtained from sampling stations. To ensure the stability of data quality, 10 sets of observation experiments were carried out at each sampling site. In each window time, we will continuously conduct 10 sets of experiments to obtain data, with an interval of 2 min each time, and 10 sets of observation data were obtained and 100 image pixels (pixels 250–350) in the middle of the field of view of the UVDRAMS were selected for analysis to reduce the incident energy inhomogeneity caused by the opening problem at both edges of the field of view. The following analysis was also based on these image points.
Taking the observation data of station NH50 (17°27′11″ N, 109°25′47″ E), a typical station located in the northern part of the South China Sea, as an example, the measured UV spectral radiance associated with the ocean water body is shown in Figure 5.
Figure 5. The UV spectral radiance of NH50.
The RS reflectance curves of the NH50 station, calculated from the RS reflectance model analysis, are shown in Figure 6.
Figure 6. The RS reflectance of NH50.
The test results showed that the average RS reflectance of the NH50 station was 0.063 sr−1 in the B1 spectral band and 0.007 sr−1 in the B2 spectral band. For the single-observation data, the RS reflectance varied little among the pixels with good consistency.
The water observation results of all the observation stations are demonstrated in Table 2, where the geographic latitude and longitude of each station and the L s f c and L s k y required in the transmission model are included.

4.2. Analysis of the Synchronous Observation Data with the UVI Load

Based on the distribution of the sea observation stations shown in Figure 4, the simultaneous observation data of satellite loads at multiple stations were analyzed. The on-satellite observation data of the large clear area with less cloud coverage around the stations were selected according to the precise latitude and longitude information, and 10 groups of DN values from 100 × 100 pixel positions within the sensor’s field of view in the relevant sea area were selected, and L s a t was calculated. The original in-orbit UV images of sea observation with the HY-1C UVI load are shown in Figure 7.
Figure 7. The UV image of the sea surface.
The on-satellite pupil radiance L s a t of the sea surface in the cloud-free area around Hainan Island was selected and analyzed. The statistical results of these 100 images show that the average radiance of L s a t is 5.964 mW·cm−2·um−1·sr−1, and the standard deviation of L s a t is 0.983.
The distribution results are shown in Figure 8. It was found that the distribution of pupil radiance in the clear and cloud-free environment obtained from the satellite load observations was highly concentrated.
Figure 8. The distribution results of UVI.

4.3. Analysis of the Satellite–Ground Synchrotron Radiation Data Based on the SOA Algorithm

The 140 sets of upward radiance data from all 14 observation stations and the corresponding UVI load radiance data received at the entrance pupil of the synchronous transit sensor are shown in Figure 9.
Figure 9. Sea surface radiance data of 14 observation stations and corresponding UVI load pupil radiance data.
In the data analysis of this experiment, the average value of the data of each site was calculated, the surface upward radiance data from 12 of the 14 observation stations and the radiance data received by the pupil of the UVI load synchrotron transit sensor were selected, and the SOA algorithm was employed for iterative fitting.
Assuming that the population size of the SOA algorithm is 50, the maximum number of iterations is 50, the space dimension is 2, the maximum membership degree is 0.95, the minimum membership degree is 0.0111, the maximum weight is 0.9, and the minimum weight is 0.1 (Equation (2)). The range of a and b is [0, 10]. The core problem of the optimization algorithm is to select the objective function:
F = ( L s a t ( i ) L s a t ( i ) ) 2 N
where F is the root mean square error between the model L s a t and the actual L s a t , and N is the number of data samples. The change curve of the objective function based on the number of iterations is shown in Figure 10.
Figure 10. The change curve of the objective function based on the number of iterations.
The best fitting value of F is 1.2212, and thus, the optimal solution is a = 0.6002 and b = 5.7993.
Then, the synchrotron radiation transmission model could be obtained as shown in Equation (16):
L s a t = 0.6002 × L s f c + 5.7993
where the atmospheric transmittance is 60.02% and the atmospheric reflected radiance is 5.7993 mW·cm−2·um−1·sr−1.
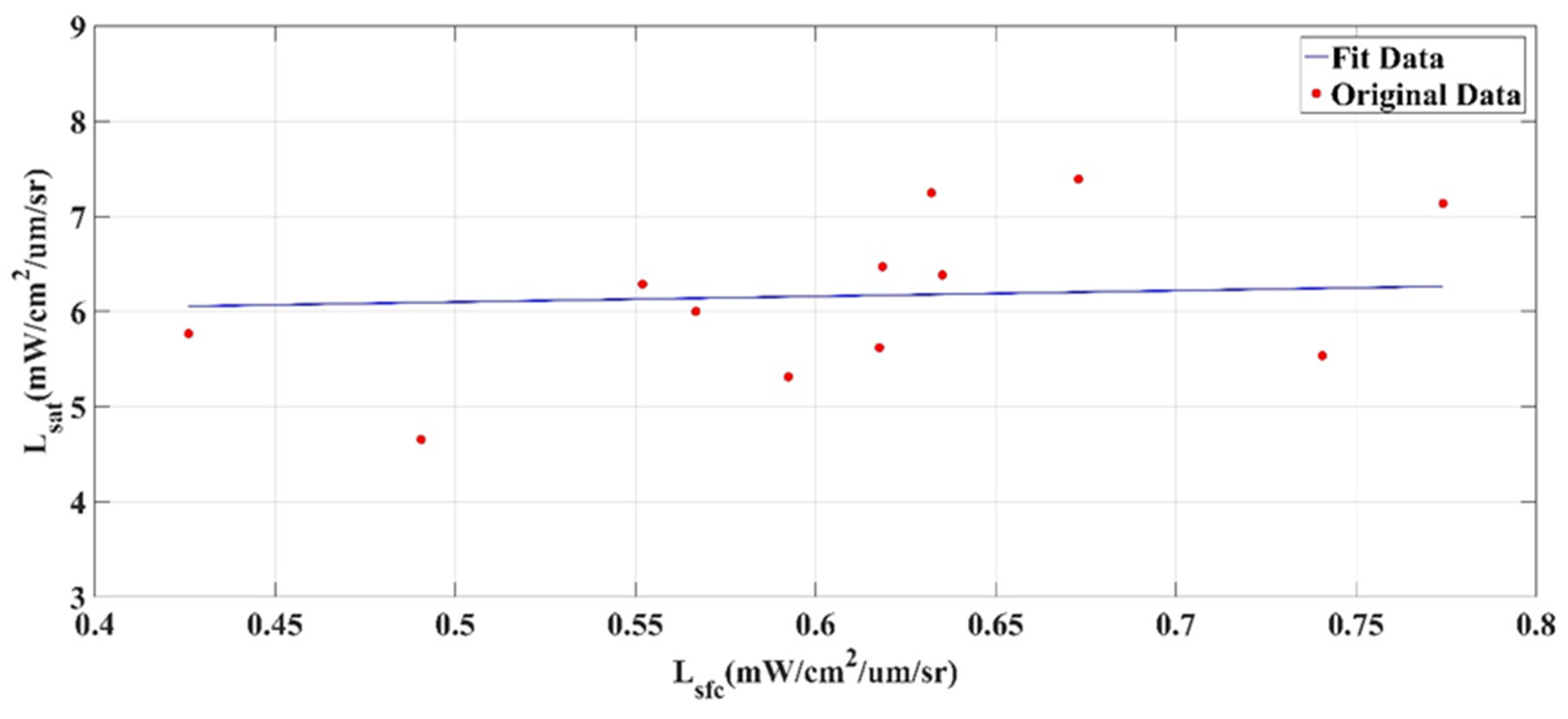
The distribution and fitted curves of the raw sea surface radiance data observed by the UVDRAMS are shown in Figure 11.
Figure 11. The UVDRAMS data distribution and the fitting curve.
The radiance data from the other two stations, station NH09 and station NH23, were analyzed for validation analysis. The original radiance data, validation radiance data distribution, and fitted curves of UVDRAMS observations are shown in Figure 12.
Figure 12. The raw data, validation data distribution, and the fitted curve plots (the coefficient of determination R-squared is 0.4719, Pearson’s r is 0.69, and the RMSE is 0.1456).
From Figure 11, we calculated that the coefficient of determination R-squared of the fitted line is 0.4719, the Pearson correlation coefficient is 0.69, and the root mean square error (RMSE) is 0.1456. The Pearson correlation coefficient, also known as the simple correlation coefficient, is used to study the degree of linear correlation between variables and quantitatively describes the degree of correlation between variables. In this paper, we calculated the Pearson correlation coefficient to be 0.69. In statistics, we generally regard the correlation coefficient between 0.6 and 0.8 as a strong correlation, which verifies the validity of our fitting curve.
In addition to the SOA algorithm, we also used several other commonly used heuristic search algorithms, such as genetic algorithm (GA), ant colony optimization (ACO), and simulated annealing (SA) algorithms, to fit the experimental data and compare the RMSE of the fitted curve, R-squared, and Pearson’s r. The results are shown in Table 3. As can be seen from Table 3, the SOA algorithm is the algorithm with the best fitting effect.
Table 3. Comparison results of SOA algorithm and other heuristic search algorithms.
In Figure 11, it can be seen that the difference between the measured radiance values of station NH09 and the fitted values of the UV radiative transfer model is 2.7%, and the difference in that for station NH23 is 3.4%, respectively. The results verified the validity of the UV radiative transfer model.
From the fitted straight line in the figure, it can be seen that 97.2% of the incident pupil radiance of the UVI load is obtained due to the contribution of atmospheric reflected radiance, and only 2.8% is obtained from the surface radiation of the water body. The average standard deviation of the in situ observed radiance at the sea surface is 0.015 mW·cm−2·um−1·sr−1, and the inverse variation of the observed data at the water surface is 0.009 mW·cm−2·um−1·sr−1 after the attenuation of the atmospheric passage rate. The signal-to-noise ratio of the RS sensor must be at least 640 to effectively distinguish the standard deviation of water body reflectivity in the on-satellite radiation variation, whereas the UVI payload of the HY-1C ocean satellite is designed to have a signal-to-noise ratio of more than 1000 to meet the observation requirements.
Authors should discuss the results and how they can be interpreted from the perspective of previous studies and the working hypotheses. The findings and their implications should be discussed in the broadest context possible. Future research directions may also be highlighted.

5. Conclusions

To improve the quantification of ocean observation technology and support the application of RS data of ocean surface radiance from the HY-1C oceanographic satellite’s ultraviolet imager (UVI) payload, a veracity check study of RS data of ocean surface radiance from the UVI payload was conducted.
Using the ocean surface radiance data from 14 stations in the study area that were obtained with the UVDRAMS, as well as the UVI load synchronous observation radiance data combined with the SOA algorithm for identification, optimization, and fitting, a satellite-to-ground synchrotron radiation transfer model was obtained.
The model shows that the coefficient of determination between the fitted curve and the actual observed value is 0.4719, and the square root mean error (RMSE) is 0.1456. The difference between the in situ observed ocean surface radiance values at the two validation sites and the modeled radiance values is 2.7% and 3.4%, respectively, which verifies the validity of the satellite–ground synchrotron radiation transport model.
Our study shows that 97.2% of the incident radiance of the UVI payload is contributed by the atmospheric reflected radiance, and only 2.8% is from the real radiation on the surface of the water body. The signal-to-noise ratio index of >1000 of the HY-1C ocean satellite’s UVI payload can effectively distinguish the standard deviation of the reflectivity of the water body in the on-satellite radiation variation, which fully meets the observation requirements. This paper provides preliminary quantified baseline data and a sea surface UV synchrotron radiation measurement solution for verifying the UVI payload of the HY-1C ocean satellite platform and lays a technical foundation for further quantified research in the future.

Author Contributions

Conceptualization, L.L. and Q.L.; methodology, L.L., Q.L. and Q.Z. software, L.L.; validation, L.L.; formal analysis, L.L.; investigation, L.L.; resources, L.L. and D.Y.; data curation, L.L.; writing—original draft preparation, L.L.; writing—review and editing, Q.L., Q.Z., D.Y. and Z.M.; visualization, Q.Z. and L.L.; supervision, D.Y. and Z.M.; project administration, D.Y.; funding acquisition, D.Y. All authors have read and agreed to the published version of the manuscript.

Funding

This research was funded by the National Natural Science Foundation of China (NSFC) grant number 12103075.

Data Availability Statement

Data available in a publicly accessible repository that does not issue DOIs. Publicly available datasets were analyzed in this study. The HY-1C data can be found here: [https://osdds.nsoas.org.cn/].

Conflicts of Interest

The authors declare no conflict of interest.

References

  1. Emery, B.; Camps, A. Introduction to Satellite Remote Sensing: Atmosphere, Ocean, Land and Cryosphere Applications; Elsevier: Amsterdam, The Netherlands, 2017. [Google Scholar]
  2. Amani, M.; Mehravar, S.; Asiyabi, R.M.; Moghimi, A.; Ghorbanian, A.; Ahmadi, S.A.; Ebrahimy, H.; Moghaddam, S.H.A.; Naboureh, A.; Ranjgar, B. Ocean Remote Sensing Techniques and Applications: A Review (Part II). Water 2022, 14, 3401. [Google Scholar] [CrossRef]
  3. Amani, M.; Moghimi, A.; Mirmazloumi, S.M.; Ranjgar, B.; Ghorbanian, A.; Ojaghi, S.; Ebrahimy, H.; Naboureh, A.; Nazari, M.E.; Mahdavi, S. Ocean Remote Sensing Techniques and Applications: A Review (Part I). Water 2022, 14, 3400. [Google Scholar] [CrossRef]
  4. Werdell, P.J.; McKinna, L.I.; Boss, E.; Ackleson, S.G.; Craig, S.E.; Gregg, W.W.; Lee, Z.; Maritorena, S.; Roesler, C.S.; Rousseaux, C.S. An overview of approaches and challenges for retrieving marine inherent optical properties from ocean color remote sensing. Prog. Oceanogr. 2018, 160, 186–212. [Google Scholar] [CrossRef]
  5. Singh, R.K.; Shanmugam, P. A multidisciplinary remote sensing ocean color sensor: Analysis of user needs and recommendations for future developments. IEEE J. Sel. Top. Appl. Earth Obs. Remote Sens. 2016, 9, 5223–5238. [Google Scholar] [CrossRef]
  6. Wu, X.; Xiao, Q.; Wen, J.; You, D.; Hueni, A. Advances in quantitative remote sensing product validation: Overview and current status. Earth-Sci. Rev. 2019, 196, 102875. [Google Scholar] [CrossRef]
  7. Jin, M.; Ji, Z.; Shaomin, L.; Yujia, W. Review on validation of remotely sensed land surface temperature. Adv. Earth Sci. 2017, 32, 615. [Google Scholar]
  8. Jiang, H. Indirect validation of ocean remote sensing data via numerical model: An example of wave heights from altimeter. Remote Sens. 2020, 12, 2627. [Google Scholar] [CrossRef]
  9. Arun Kumar, S.; Babu, K.; Shukla, A. Comparative analysis of chlorophyll-a distribution from SEAWIFS, MODIS-AQUA, MODIS-TERRA and MERIS in the Arabian Sea. Mar. Geod. 2015, 38, 40–57. [Google Scholar] [CrossRef]
  10. Bartlett, B.; Casey, J.; Padula, F.; Pearlman, A.; Pogorzala, D.; Cao, C. Independent validation of the advanced baseline imager (ABI) on NOAA’s GOES-16: Post-launch ABI airborne science field campaign results. In Proceedings of the Earth Observing Systems XXIII, San Diego, CA, USA, 19–23 August 2018; pp. 143–157. [Google Scholar]
  11. McCorkel, J.; Efremova, B.; Hair, J.; Andrade, M.; Holben, B. GOES-16 ABI solar reflective channel validation for earth science application. Remote Sens. Environ. 2020, 237, 111438. [Google Scholar] [CrossRef]
  12. Yang, J.; Zhang, J. Validation of Sentinel-3A/3B satellite altimetry wave heights with buoy and Jason-3 data. Sensors 2019, 19, 2914. [Google Scholar] [CrossRef]
  13. Urabe, T.; Okamura, Y.; Tanaka, K.; Mokuno, M. In-orbit commissioning activities results of GCOM-C/SGLI. In Proceedings of the Sensors, Systems, and Next-Generation Satellites XXII, Berlin, Germany, 10–13 September 2018; pp. 88–107. [Google Scholar]
  14. Nakajima, T.Y.; Ishida, H.; Nagao, T.M.; Hori, M.; Letu, H.; Higuchi, R.; Tamaru, N.; Imoto, N.; Yamazaki, A. Theoretical basis of the algorithms and early phase results of the GCOM-C (Shikisai) SGLI cloud products. Prog. Earth Planet. Sci. 2019, 6, 52. [Google Scholar] [CrossRef]
  15. Tanaka, K.; Okamura, Y.; Mokuno, M.; Amano, T.; Yoshida, J. First year on-orbit calibration activities of SGLI on GCOM-C satellite. In Proceedings of the Earth Observing Missions and Sensors: Development, Implementation, and Characterization V, Honolulu, HI, USA, 24–26 September 2018; pp. 101–110. [Google Scholar]
  16. Urabe, T.; Ando, S.; Okamura, Y.; Tanaka, K.; Mokuno, M.; Amano, T.; Shiratama, K.; Yoshida, J. Pre-launch instrument characterization results and in-orbit verification plan of GCOM-C/SGLI. In Proceedings of the Sensors, Systems, and Next-Generation Satellites XXI, Warsaw, Poland, 11–14 September 2017; pp. 130–143. [Google Scholar]
  17. Tian, H.; Huang, N.; Niu, Z.; Qin, Y.; Pei, J.; Wang, J. Mapping winter crops in China with multi-source satellite imagery and phenology-based algorithm. Remote Sens. 2019, 11, 820. [Google Scholar] [CrossRef]
  18. Tian, H.; Pei, J.; Huang, J.; Li, X.; Wang, J.; Zhou, B.; Qin, Y.; Wang, L. Garlic and winter wheat identification based on active and passive satellite imagery and the google earth engine in northern china. Remote Sens. 2020, 12, 3539. [Google Scholar] [CrossRef]
  19. Modabberi, A.; Noori, R.; Madani, K.; Ehsani, A.H.; Mehr, A.D.; Hooshyaripor, F.; Kløve, B. Caspian Sea is eutrophying: The alarming message of satellite data. Environ. Res. Lett. 2020, 15, 124047. [Google Scholar] [CrossRef]
  20. Shanshan, M. A LM-2C Launches HY-1C Satellite. Aerosp. China 2018, 19, 59. [Google Scholar]
  21. Suo, Z.; Lu, Y.; Liu, J.; Ding, J.; Xing, Q.; Yin, D.; Xu, F.; Liu, J. HY-1C ultraviolet imager captures algae blooms floating on water surface. Harmful Algae 2022, 114, 102218. [Google Scholar] [CrossRef] [PubMed]
  22. Suo, Z.; Lu, Y.; Liu, J.; Ding, J.; Yin, D.; Xu, F.; Jiao, J. Ultraviolet remote sensing of marine oil spills: A new approach of Haiyang-1C satellite. Opt. Express 2021, 29, 13486–13495. [Google Scholar] [CrossRef] [PubMed]
  23. Dai, C.; Chen, W.; Song, Y.; Zhu, Y. Seeker optimization algorithm: A novel stochastic search algorithm for global numerical optimization. J. Syst. Eng. Electron. 2010, 21, 300–311. [Google Scholar] [CrossRef]
  24. Zhang, R.; Tian, J.; Li, Z.; Su, H.; Chen, S.; Tang, X. Principles and methods for the validation of quantitative remote sensing products. Sci. China Earth Sci. 2010, 53, 741–751. [Google Scholar] [CrossRef]
  25. Olteţeanu, A.-M.; Zunjani, F.H. A visual remote associates test and its validation. Front. Psychol. 2020, 11, 26. [Google Scholar] [CrossRef]
  26. Van Etten, A.; Lindenbaum, D.; Bacastow, T.M. Spacenet: A remote sensing dataset and challenge series. arXiv 2018, arXiv:1807.01232. [Google Scholar]
  27. Xue, J.; Su, B. Significant remote sensing vegetation indices: A review of developments and applications. J. Sens. 2017, 2017, 1353691. [Google Scholar] [CrossRef]
  28. Ruiz-Arias, J.A. Spectral integration of clear-sky atmospheric transmittance: Review and worldwide performance. Renew. Sustain. Energy Rev. 2022, 161, 112302. [Google Scholar] [CrossRef]
  29. Kobayashi, S.; Sanga-Ngoie, K. A comparative study of radiometric correction methods for optical remote sensing imagery: The IRC vs. other image-based C-correction methods. Int. J. Remote Sens. 2009, 30, 285–314. [Google Scholar] [CrossRef]
  30. Zibordi, G.; Voss, K.; Johnson, B.; Mueller, J. Protocols for Satellite Ocean Color Data Validation: In Situ Optical Radiometry; IOCCG Protocols Series; IOCCG: Dratmouth, NS, Canada, 2019. [Google Scholar]
  31. Duan, S.; Luo, H.; Liu, H. A Multi-Strategy Seeker Optimization Algorithm for Optimization Constrained Engineering Problems. IEEE Access 2022, 10, 7165–7195. [Google Scholar] [CrossRef]
  32. Shafik, M.B.; Chen, H.; Rashed, G.I.; El-Sehiemy, R.A. Adaptive multi objective parallel seeker optimization algorithm for incorporating TCSC devices into optimal power flow framework. IEEE Access 2019, 7, 36934–36947. [Google Scholar] [CrossRef]
  33. Choudhury, S.; Dash, T.P.; Bhowmik, P.; Rout, P.K. A novel control approach based on hybrid Fuzzy Logic and Seeker Optimization for optimal energy management between micro-sources and supercapacitor in an islanded Microgrid. J. King Saud Univ.-Eng. Sci. 2020, 32, 27–41. [Google Scholar] [CrossRef]
  34. Cui, H.; Guan, Y.; Chen, H.; Deng, W. A novel advancing signal processing method based on coupled multi-stable stochastic resonance for fault detection. Appl. Sci. 2021, 11, 5385. [Google Scholar] [CrossRef]
  35. Kumar, D.; Samantaray, S. Implementation of multi-objective seeker-optimization-algorithm for optimal planning of primary distribution systems including DSTATCOM. Int. J. Electr. Power Energy Syst. 2016, 77, 439–449. [Google Scholar] [CrossRef]
  36. Ruddick, K.G.; Voss, K.; Boss, E.; Castagna, A.; Frouin, R.; Gilerson, A.; Hieronymi, M.; Johnson, B.C.; Kuusk, J.; Lee, Z. A review of protocols for fiducial reference measurements of water-leaving radiance for validation of satellite remote-sensing data over water. Remote Sens. 2019, 11, 2198. [Google Scholar] [CrossRef]
  37. Mueller, R.; Trentmann, J.; Träger-Chatterjee, C.; Posselt, R.; Stöckli, R. The role of the effective cloud albedo for climate monitoring and analysis. Remote Sens. 2011, 3, 2305–2320. [Google Scholar] [CrossRef]
  38. Liu, Y.; Wu, W.; Jensen, M.P.; Toto, T. Relationship between cloud radiative forcing, cloud fraction and cloud albedo, and new surface-based approach for determining cloud albedo. Atmos. Chem. Phys. 2011, 11, 7155–7170. [Google Scholar] [CrossRef]
  39. Harrison, E.F.; Minnis, P.; Barkstrom, B.; Ramanathan, V.; Cess, R.; Gibson, G. Seasonal variation of cloud radiative forcing derived from the Earth Radiation Budget Experiment. J. Geophys. Res. Atmos. 1990, 95, 18687–18703. [Google Scholar] [CrossRef]
  40. Ramanathan, V.; Cess, R.; Harrison, E.; Minnis, P.; Barkstrom, B.; Ahmad, E.; Hartmann, D. Cloud-radiative forcing and climate: Results from the Earth Radiation Budget Experiment. Science 1989, 243, 57–63. [Google Scholar] [CrossRef] [PubMed]
Disclaimer/Publisher’s Note: The statements, opinions and data contained in all publications are solely those of the individual author(s) and contributor(s) and not of MDPI and/or the editor(s). MDPI and/or the editor(s) disclaim responsibility for any injury to people or property resulting from any ideas, methods, instructions or products referred to in the content.

Article Metrics

Citations

Article Access Statistics

Multiple requests from the same IP address are counted as one view.