A Gray-Box Stability Analysis Method of Grid-Connected Inverter Considering Synchronization Dynamics
Abstract
1. Introduction
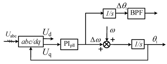
2. Impedance Measurement Three-Phase Grid-Connected Inverter
3. Theoretical Analysis
3.1. Impedance Measurement Error and Its Compensation Method
3.2. Improved Stability Criteria Based on Gershgorin Circle Theorem
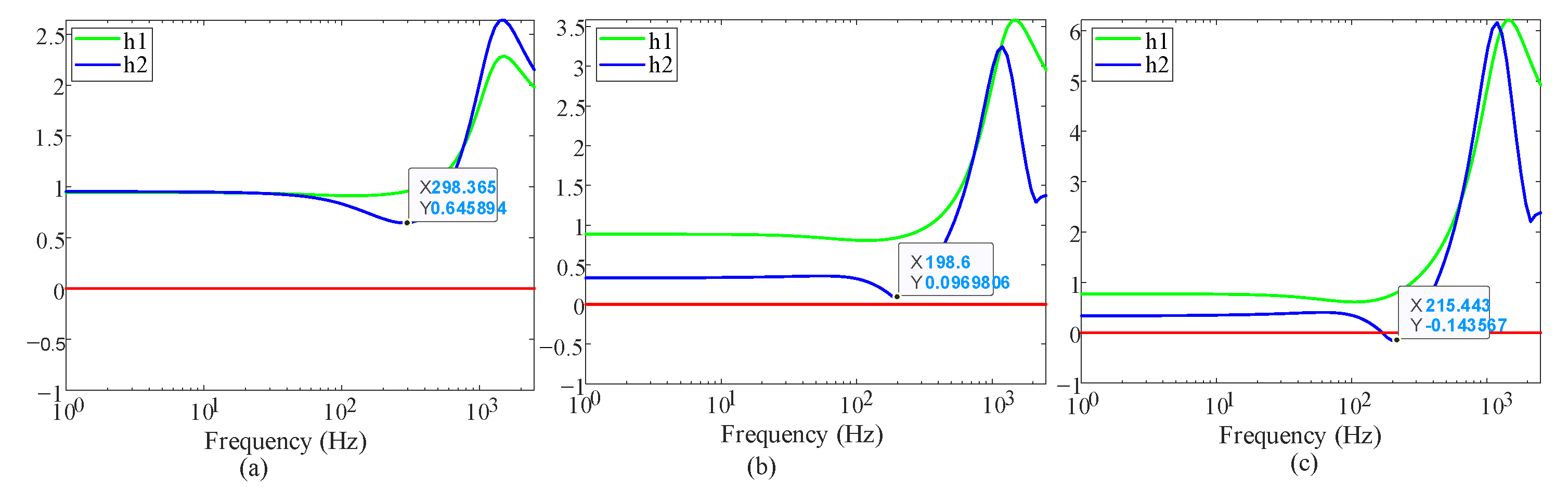
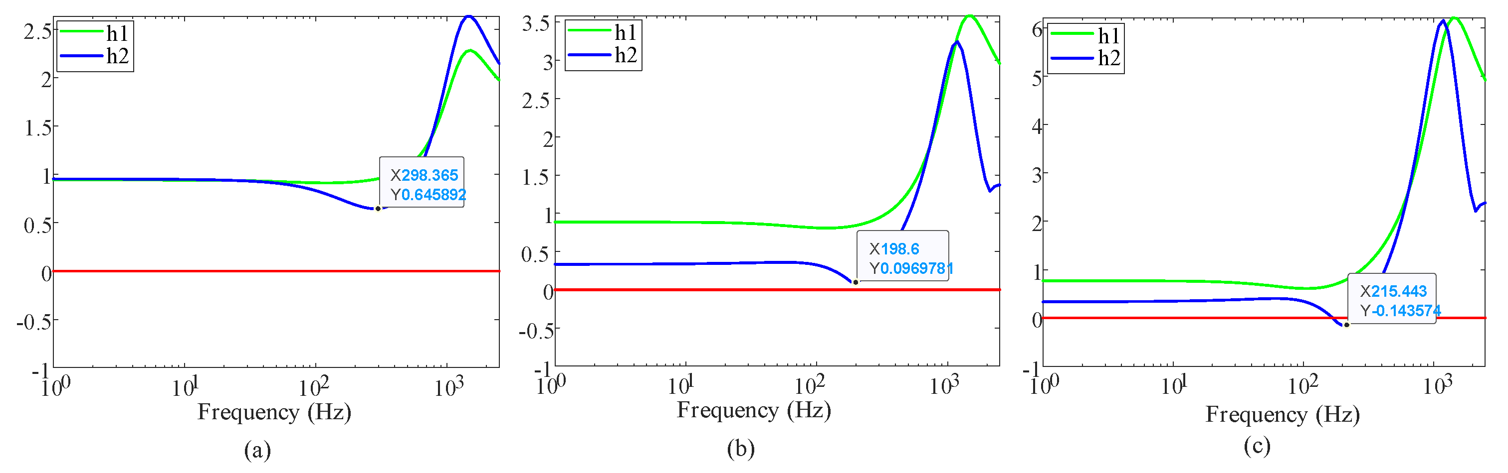
4. Results and Discussion
5. Conclusions
Author Contributions
Funding
Data Availability Statement
Conflicts of Interest
References
- Zhao, E.; Han, Y.; Lin, X.; Yang, P.; Blaabjerg, F.; Zalhaf, A. Impedance characteristics investigation and oscillation stability analysis for two-stage PV inverter under weak grid condition. Electr. Power Syst. Res. 2022, 209, 108053. [Google Scholar] [CrossRef]
- Tu, C.; Gao, J.; Fan, X.; Qi, G.; Fei, J. Stability Analysis of the Grid-Connected Inverter Considering the Asymmetric Positive-Feedback Loops Introduced by the PLL in Weak Grids. IEEE Trans. Ind. Electron. 2022, 69, 5793–5802. [Google Scholar] [CrossRef]
- Gupta, B.; Sekhar, K. A Current Controller Gain Characterization of Weak Grid Coupled Solar Inverter Through Impedance Interaction Modeling. IEEE Trans. Ind. Electron. 2023, 70, 2520–2530. [Google Scholar] [CrossRef]
- Fang, T.; Zhang, Y.; Shuheng, S.; Wu, H.; Liu, H.; Zhang, H. High-Bandwidth Grid-Connected Inverter to Enhance System Robustness Against Weak Grid. IEEE Trans. Ind. Electron. 2023, 70, 6993–7003. [Google Scholar] [CrossRef]
- Cao, W.; Ma, Y.; Yang, Y.; Wang, F.; Tolbert, L.M. D–Q impedance based stability analysis and parameter design of three-phase inverter-based AC power systems. IEEE Trans. Ind. Electron. 2017, 64, 6017–6028. [Google Scholar] [CrossRef]
- Wen, B.; Dong, D.; Boroyevich, D.; Burgos, R.; Mattavelli, P.; Shen, Z. Impedance-based analysis of grid-synchronization stability for three-phase paralleled converters. IEEE Trans. Power Electron. 2016, 31, 26–38. [Google Scholar] [CrossRef]
- Wang, X.; Harnefors, L.; Blaabjerg, F. Unified impedance model of grid-connected voltage-source converters. IEEE Trans. Power Electron. 2018, 33, 1775–1787. [Google Scholar] [CrossRef]
- Neshvad, S.; Chatzinotas, S.; Sachau, J. Wideband Identification of Power Network Parameters Using Pseudo-Random Binary Sequences on Power Inverters. IEEE Trans. Smart Grid. 2015, 5, 2293–2301. [Google Scholar] [CrossRef]
- Wen, B.; Boroyevich, D.; Burgos, R.; Mattavelli, P.; Shen, Z. Small-signal stability analysis of three-phase AC systems in the presence of constant power loads based on measured d-q frame impedances. IEEE Trans. Power Electron. 2015, 30, 5952–5963. [Google Scholar] [CrossRef]
- Valdivia, V.; Lazaro, A.; Burgos, A.; Zumel, P.; Fernandez, C.; Sanz, M. Black-box modeling of three-phase voltage source inverters for system-level analysis. IEEE Trans. Power Electron. 2012, 59, 3648–3662. [Google Scholar] [CrossRef]
- Wu, T.-F.; Misra, M.; Jhang, Y.-Y.; Huang, Y.-H.; Lin, L.-C. Direct digital control of single-phase grid-connected inverters with LCL filter based on inductance estimation model. IEEE Trans. Power Electron. 2019, 34, 1851–1862. [Google Scholar] [CrossRef]
- Zhou, W.; Wang, Y.; Chen, Z. Frequency and Temperature-Dependent Power Cable Modelling for Stability Analysis of Grid-Connected Inverter. In Proceedings of the 2018 IEEE 4th Southern Power Electronics Conference (SPEC), Singapore, 10–13 December 2018; pp. 1–8. [Google Scholar]
- Zhou, W.; Raymundo, E.T.-O.; Göthner, F.; Beerten, J.; Zadeh, M.K.; Wang, Y.; Chen, Z. A Robust Circuit and Controller Parameters’ Identification Method of Grid-Connected Voltage-Source Converters Using Vector Fitting Algorithm. IEEE J. Emerg. Sel. Top. Power Electron. 2022, 10, 2748–2763. [Google Scholar] [CrossRef]
- Rygg, A.; Molinas, M. Apparent Impedance Analysis: A Small-Signal Method for Stability Analysis of Power Electronic-Based Systems. IEEE J. Emerg. Sel. Top. Power Electron. 2017, 5, 1474–1486. [Google Scholar] [CrossRef]
- Bakhshizadeh, K.; Blaabjerg, F.; Hjerrild, J.; Kocewiak, L.; Bak, L. Improving the Impedance-Based Stability Criterion by Using the Vector Fitting Method. IEEE Trans. Energy Convers. 2018, 33, 1739–1747. [Google Scholar] [CrossRef]
- Zhou, W.; Raymundo, E.T.-O.; Wang, Y.; Chen, Z. A Gray-Box Hierarchical Oscillatory Instability Source Identification Method of Multiple-Inverter-Fed Power Systems. IEEE J. Emerg. Sel. Top. Power Electron. 2021, 9, 3095–3113. [Google Scholar] [CrossRef]
- Zhou, W.; Wang, Y.; Chen, Z. A gray-box parameters identification method of voltage source converter using vector fitting algorithm. In Proceedings of the 2019 10th International Conference on Power Electronics and ECCE Asia (ICPE 2019-ECCE Asia), Busan, Republic of Korea, 27–30 May 2019; pp. 2948–2955. [Google Scholar]
- Zhou, W.; Wang, Y.; Cai, P.; Chen, Z. A Gray-Box Impedance Reshaping Method of Grid-Connected Inverter for Resonance Damping. In Proceedings of the 2019 10th International Conference on Power Electronics and ECCE Asia (ICPE 2019-ECCE Asia), Busan, Republic of Korea, 27–30 May 2019; pp. 2660–2667. [Google Scholar]
- Zhou, W.; Wang, Y.; Chen, Z. Vector fitting-based reduced order modelling method for power cables. In Proceedings of the 15th IET International Conference on AC and DC Power Transmission (ACDC 2019), Coventry, UK, 5–7 February 2019; pp. 1–6. [Google Scholar]
- Zhong, P.; Sun, J.; Tian, Z.; Huang, M.; Yu, P.; Zha, X. An Improved Impedance Measurement Method for Grid-Connected Inverter Systems Considering the Background Harmonics and Frequency Deviation. IEEE J. Emerg. Sel. Top. Power Electron. 2021, 9, 4236–4247. [Google Scholar] [CrossRef]
- Shen, Z.; Jaksic, M.; Zhou, B.; Mattavelli, P.; Boroyevich, D.; Verhulst, J.; Belkhayat, M. Analysis of Phase Locked Loop (PLL) influence on DQ impedance measurement in three-phase AC systems. In Proceedings of the 2013 Twenty-Eighth Annual IEEE Applied Power Electronics Conference and Exposition (APEC), Long Beach, CA, USA, 17–21 March 2013; pp. 939–945. [Google Scholar]
- Martin, D.; Nam, I.; Siegers, J.; Santi, E. Wide bandwidth three-phase impedance identification using existing power electronics inverter. In Proceedings of the 2013 Twenty-Eighth Annual IEEE Applied Power Electronics Conference and Exposition (APEC), Long Beach, CA, USA, 17–21 March 2013; pp. 334–341. [Google Scholar]
- Cespedes, M.; Sun, J. Three-phase impedance measurement for system stability analysis. In Proceedings of the 2013 IEEE 14th Workshop on Control and Modeling for Power Electronics (COMPEL), Salt Lake City, UT, USA, 23–26 June 2013; pp. 1–6. [Google Scholar]
- Roinila, T.; Vilkko, M.; Sun, J. Online Grid Impedance Measurement Using Discrete-Interval Binary Sequence Injection. IEEE J. Emerg. Sel. Top. Power Electron. 2014, 2, 985–993. [Google Scholar] [CrossRef]
- Roinila, T.; Messo, T.; Luhtala, R.; Scharrenberg, R.; de Jong, E.C.W.; Fabian, A.; Sun, Y. Hardware-in-the-Loop Methods for Real-Time Frequency-Response Measurements of on-Board Power Distribution Systems. IEEE Trans. Ind. Electron. 2019, 66, 5769–5777. [Google Scholar] [CrossRef]
- Gong, H.; Yang, D.; Wang, X. Impact Analysis and Mitigation of Synchronization Dynamics for DQ Impedance Measurement. IEEE Trans. Power Electron. 2019, 34, 8797–8807. [Google Scholar] [CrossRef]
- Ren, Y.; Chen, L.; Min, Y.; Li, G.; Wang, L.; Zhang, Y. A Strictly Sufficient Stability Criterion for Grid-Connected Converters Based on Impedance Models and Gershgorin’s Theorem. IEEE Trans. Power Deliv. 2020, 35, 1606–1609. [Google Scholar] [CrossRef]
- Zeng, Z.; Zhao, J.; Liu, Z.; Mao, L.; Qu, K. Stability assessment for multiple grid-connected converters based on impedance-ratio matrix and Gershgorin’s Theorem. Int. J. Electr. Power Energy Syst. 2022, 138, 107869. [Google Scholar]
- Wen, B.; Boroyevich, D.; Mattavelli, P.; Shen, Z.; Burgos, R. Experimental verification of the Generalized Nyquist stability criterion for balanced three-phase ac systems in the presence of constant power loads. In Proceedings of the 2012 IEEE Energy Conversion Congress and Exposition (ECCE), Raleigh, NC, USA, 15–20 September 2012; pp. 3926–3933. [Google Scholar]
- Wen, B.; Burgos, R.; Boroyevich, D.; Mattavelli, P.; Shen, Z. AC stability analysis and DQ frame impedance specifications in power-electronics-based distributed power systems. IEEE J. Emerg. Sel. Top. Power Electron. 2017, 5, 1455–1465. [Google Scholar]
- Wen, B.; Boroyevich, D.; Burgos, R.; Mattavelli, P.; Shen, Z. Analysis of d-q small-signal impedance of grid-tied inverters. IEEE Trans. Power Electron. 2016, 31, 675–687. [Google Scholar] [CrossRef]
- Jiang, K.; Zhang, C.; Ge, X. Low-frequency oscillation analysis of the train-grid system based on an improved forbidden-region criterion. IEEE Trans. Ind. Appl. 2018, 54, 5064–5073. [Google Scholar] [CrossRef]
- Xu, H.; Wu, H.; Li, Z.; Yan, Q.; Blaabjerg, F. Gershgorin-Circle Based Low-Complexity Generalized Nyquist Stability Criterion for DFIG Driven Wind Turbines. IEEE J. Emerg. Sel. Top. Circuits Syst. 2022, 12, 29–40. [Google Scholar] [CrossRef]
- Zhong, P.; Sun, J.; Li, Q.; Wang, Y.; Zha, X. Impedance Measurement of Grid-Tied Inverter With Deviate-Frequency Harmonic Current Injection. In Proceedings of the 2019 IEEE 4th International Future Energy Electronics Conference (IFEEC), Singapore, 25–28 November 2019; pp. 1–5. [Google Scholar]
- Hu, Y.; Wu, W.; Zhang, B. A Fast Method to Identify the Order of Frequency-Dependent Network Equivalents. IEEE Trans. Power Syst. 2016, 31, 54–62. [Google Scholar] [CrossRef]















| Parameter | Value | Parameter | Value |
|---|---|---|---|
| Switching frequency | 15 kHz | Inductance of inverter output inductor | 3 mH |
| Inverter input dc voltage | 700 V | Grid voltage | 220 V |
| Proportional gain of current controller | 4 | Integrator gain of current controller | 2000 |
| Proportional gain of inverter PLL | 2.5 | Integral gain of inverter PLL | 50 |
| D channel current reference | 20 A | Line frequency | 50 Hz |
| Parameter | Value | Parameter | Value |
|---|---|---|---|
| 1 | −15.979 | ||
| E | 0.003 |
Disclaimer/Publisher’s Note: The statements, opinions and data contained in all publications are solely those of the individual author(s) and contributor(s) and not of MDPI and/or the editor(s). MDPI and/or the editor(s) disclaim responsibility for any injury to people or property resulting from any ideas, methods, instructions or products referred to in the content. |
© 2023 by the authors. Licensee MDPI, Basel, Switzerland. This article is an open access article distributed under the terms and conditions of the Creative Commons Attribution (CC BY) license (https://creativecommons.org/licenses/by/4.0/).
Share and Cite
Zheng, T.; Kong, F.; Li, G.; Wang, Z.; Chen, Y. A Gray-Box Stability Analysis Method of Grid-Connected Inverter Considering Synchronization Dynamics. Electronics 2023, 12, 2509. https://doi.org/10.3390/electronics12112509
Zheng T, Kong F, Li G, Wang Z, Chen Y. A Gray-Box Stability Analysis Method of Grid-Connected Inverter Considering Synchronization Dynamics. Electronics. 2023; 12(11):2509. https://doi.org/10.3390/electronics12112509
Chicago/Turabian StyleZheng, Tianzhi, Fannie Kong, Guojin Li, Zhenmin Wang, and Yanming Chen. 2023. "A Gray-Box Stability Analysis Method of Grid-Connected Inverter Considering Synchronization Dynamics" Electronics 12, no. 11: 2509. https://doi.org/10.3390/electronics12112509
APA StyleZheng, T., Kong, F., Li, G., Wang, Z., & Chen, Y. (2023). A Gray-Box Stability Analysis Method of Grid-Connected Inverter Considering Synchronization Dynamics. Electronics, 12(11), 2509. https://doi.org/10.3390/electronics12112509

