Three-Stage Operational Amplifier with Frequency Compensation Using Cascade Zero
Abstract
1. Introduction
2. Compensation Method
3. Proposed op-amp
3.1. Conventional Two-Stage op-amp
3.2. Proposed op-amp
4. Simulation Results
4.1. AC and DC Simulation
4.2. THD Analysis Simulation
4.3. Monte Carlo Simulation
4.4. The Relationship between Phase Margin and Load Capacitance
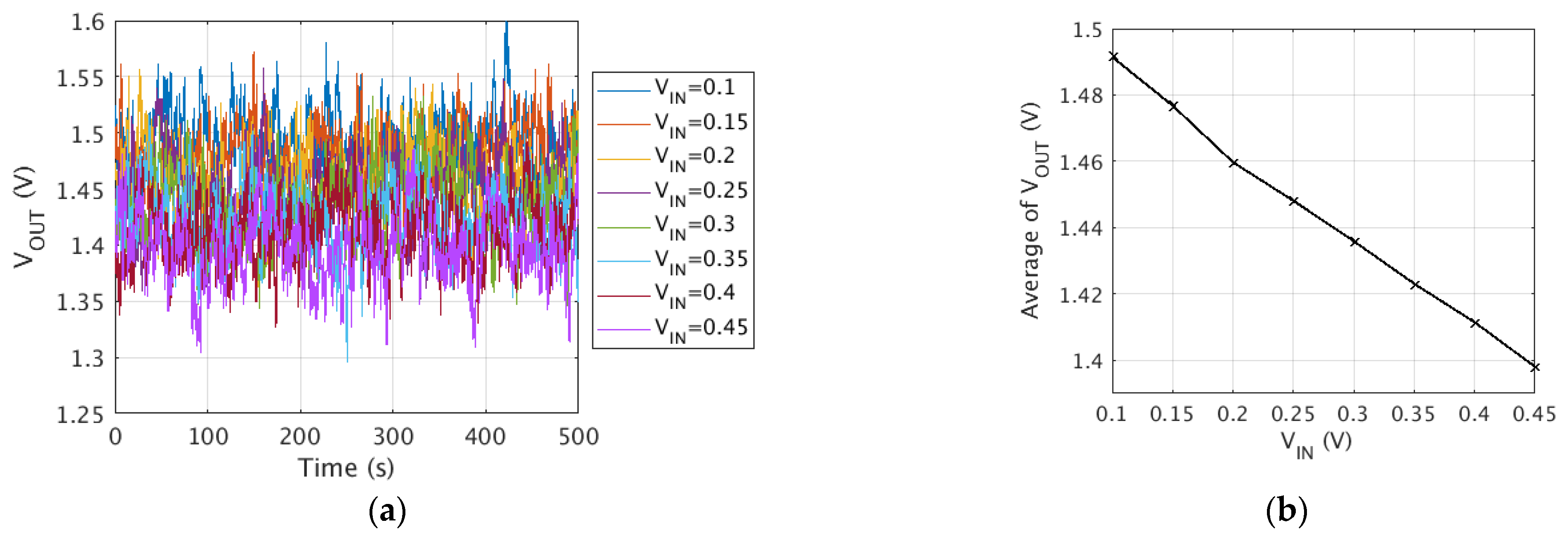
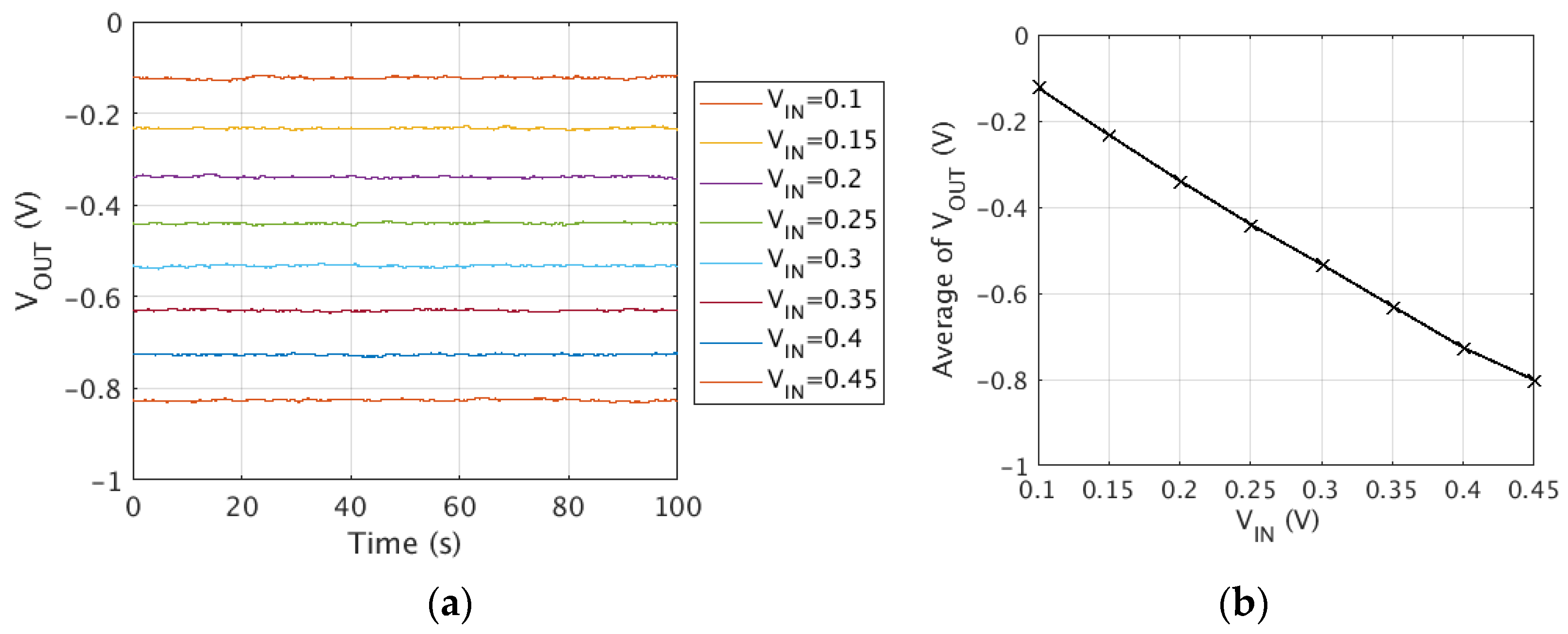
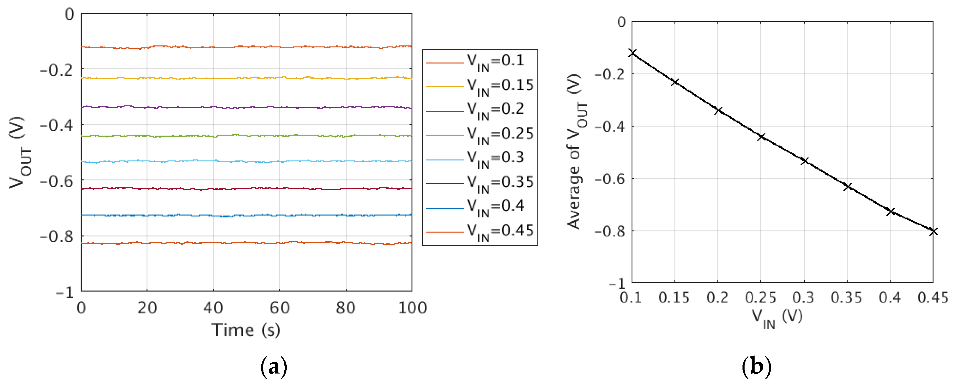
5. Measurement Results
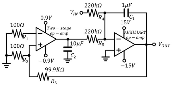
5.1. DC Gain Measurement
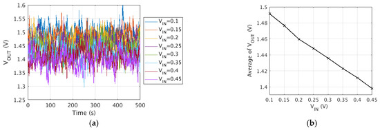
5.2. Unity–Gain Frequency and Phase Margin Measurement
5.3. Slew-Rate Measurement
6. Conclusions
Author Contributions
Funding
Data Availability Statement
Acknowledgments
Conflicts of Interest
References
- Bult, K.; Geelen, G.J.G.M. A fast-settling CMOS op amp for SC circuits with 90-dB DC gain. IEEE J. Solid-State Circuits 1990, 25, 1379–1384. [Google Scholar] [CrossRef]
- Wang, L.; Yin, Y.S.; Guan, X.Z. Design of a gain-boosted telescopic fully differential amplifier with CMFB circuit. In Proceedings of the 2012 2nd International Conference on Consumer Electronics, Communications and Networks (CECNet), Yichang, China, 21–23 April 2012. [Google Scholar] [CrossRef]
- Martin, K.; Sedra, A. Effects of the op amp finite gain and bandwidth on the performance of switched-capacitor filters. IEEE Trans. Circuits Syst. 1981, 28, 822–829. [Google Scholar] [CrossRef]
- Ali, A.M.A.; Nagaraj, K. Background calibration of operational amplifier gain error in pipelined A/D converters. IEEE Trans. Circuits Syst. II Analog. Digit. Signal Process. 2003, 50, 631–634. [Google Scholar] [CrossRef]
- Hui, H.W.; Woo, Y.H.; Hung, C.H.; Leung, K.N. A Double Gain-Boosted Amplifier with Widened Output Swing Based on Signal-and Transient-Current Boosting Technique in CMOS 130-nm Technology. In Proceedings of the 2018 IEEE International Conference on Electron Devices and Solid State Circuits (EDSSC), Shenzhen, China, 6–8 June 2018. [Google Scholar] [CrossRef]
- Kuo, P.Y.; Tsai, S.D. An Enhanced Scheme of Multi-Stage Amplifier with High-Speed High-Gain Blocks and Recycling Frequency Cascode Circuitry to Improve Gain-Bandwidth and Slew Rate. IEEE Access 2019, 7, 130820–130829. [Google Scholar] [CrossRef]
- Wang, F.; Harjani, R. An improved model for the slewing behavior of opamps. IEEE Trans. Circuits Syst. II Analog Digit. Signal Process. 1995, 42, 679–681. [Google Scholar] [CrossRef]
- Bryant, J.M. Simple Op Amp Measurements. Analog Dialogue 2011, 45, 21–23. Available online: https://www.analog.com/media/en/analog-dialogue/volume-45/number-2/articles/simple-op-amp-measurements.pdf (accessed on 20 April 2023).
- Allen, P.E.; Holberg, D.R. CMOS Analog Circuit Design, 2nd ed.; OXFORD University Press: New York, NY, USA, 2002; pp. 269–282. [Google Scholar]
- Fordjour, S.A.; Riad, J. A 175.2-mW 4-Stage OTA with Wide Load Range (400 pF–12 nF) Using Active Parallel Compensation. IEEE Trans. Very Large Scale Integr. Syst. 2020, 28, 1621–16229. [Google Scholar] [CrossRef]
- Aminzadeh, H.; Dashti, M.A. Dual loop cascode-Miller compensation with damping factor control unit for three-stage amplifiers driving ultralarge load capacitors. Int. J. Circuit Theory Appl. 2019, 47, 1–18. [Google Scholar] [CrossRef]
- Akbari, M.; Biabanifard, S.; Asadi, S.; Yagoub, M.C.E. Designand analysis of DC gain and transconductance boosted recycling folded cascode OTA. AEU-Int. J. Electron. Commun. 2014, 68, 1047–1052. [Google Scholar] [CrossRef]
- Mesri, A.; Pirbazari, M.M.; Hadidi, K.; Khoei, A. High gain two-stage amplifier with positive capacitive feedback compensation. IET Circuits Devices Syst. 2015, 29, 181–190. [Google Scholar] [CrossRef]
- Padma, S.; Das, S.; Sen, S.; Parikh, C.D. High Performance Operational Amplifier with 90 dB Gain in SCL 180 nm Technology. In Proceedings of the 2020 24th International Symposium on VLSI Design and Test (VDAT), Bhubaneswar, India, 23–25 July 2020. [Google Scholar] [CrossRef]




























| MOSFET | Two-Stage op-amp | Proposed op-amp | ||
|---|---|---|---|---|
| Width (μm) | Length (μm) | Width (μm) | Length (μm) | |
| MCI | 40 | 0.3 | 20 | 0.3 |
| MPI | 40 | 0.3 | 20 | 0.3 |
| MNI | 12 | 0.3 | 6 | 0.3 |
| MCO | 800 | 0.3 | 800 | 0.3 |
| MNO | 240 | 0.3 | 240 | 0.3 |
| Parameter | Two-Stage op-amp | Proposed op-amp |
|---|---|---|
| Supply voltage (V) | 1.8 | 1.8 |
| Current consumption (mA) | 4.252 | 4.252 |
| Rf (Ω) | 154.1 | 154.1 |
| CL (pF) | 32 | 32 |
| CC1 (pF) | - | 9.6 |
| CC2 (pF) | 2.41 | 2.41 |
| DC Gain (dB) | 63.59 | 99.19 |
| Unity–gain Frequency (MHz) | 82.70 | 81.03 |
| Phase margin (°) | 66.53 | 65.17 |
| Parameter | [6] | [10] | [11] | [12] | [13] | Two-Stage op-amp | This Work |
|---|---|---|---|---|---|---|---|
| Technology | 0.18 μm | 130 nm | 90 nm | 0.18 μm | 0.18 μm | 0.18 μm | 1.8 μm |
| Supply voltage (V) | 1.8 | 1.2 | 1.2 | 1.2 | 1.8 | 1.8 | 1.8 |
| Power (mW) | 0.85 | 0.1752 | 0.0204 | 1.8 | 0.86 | 7.742 | 7.742 |
| Core size (μm2) | - | 7000 | - | 1400 | 3038.5 | 6720 | 14,892 |
| CL (pF) | 5 | 12,000 | 500 | 5 | 5 | 32 | 32 |
| DC Gain (dB) | 105.5 | 107 | >100 | 65.5 | 82.7 | 63.62 | 99.83 |
| Unity–gain Frequency (MHz) | 231.77 | 1.18 | 4.65 | 146.9 | 88.7 | 86.96 | 86.96 |
| Phase margin (°) | 53 | 48.1 | 57 | 81.1 | 68.7 | 54.8 | 51.7 |
| Total compensation capacitance (pF) | 10.5 | 3.1 | 1.55 | 5 | 0.75 | 2.41 | 12.01 |
| FOMS (MHz∙pF/mW) | 1214 | - | 113,970 | 548 | 516 | 359.4 | 359.4 |
| FOML (V/μs∙pF/mW) | 78 | - | 41,912 | - | 50 | 372 | 372 |
| I FOMS (MHz∙pF/mA) | 2186 | 96,990 | 136,764 | 987 | 944 | 647 | 647 |
| I FOML (V/μs∙pF/mA) | 140 | 11,510 | 50,294 | - | 92 | 669.6 | 669.6 |
Disclaimer/Publisher’s Note: The statements, opinions and data contained in all publications are solely those of the individual author(s) and contributor(s) and not of MDPI and/or the editor(s). MDPI and/or the editor(s) disclaim responsibility for any injury to people or property resulting from any ideas, methods, instructions or products referred to in the content. |
© 2023 by the authors. Licensee MDPI, Basel, Switzerland. This article is an open access article distributed under the terms and conditions of the Creative Commons Attribution (CC BY) license (https://creativecommons.org/licenses/by/4.0/).
Share and Cite
Jin, Y.; Seo, Y.; Kim, S.; Cho, S. Three-Stage Operational Amplifier with Frequency Compensation Using Cascade Zero. Electronics 2023, 12, 2361. https://doi.org/10.3390/electronics12112361
Jin Y, Seo Y, Kim S, Cho S. Three-Stage Operational Amplifier with Frequency Compensation Using Cascade Zero. Electronics. 2023; 12(11):2361. https://doi.org/10.3390/electronics12112361
Chicago/Turabian StyleJin, Yurin, Yeonho Seo, Sungmi Kim, and Seongik Cho. 2023. "Three-Stage Operational Amplifier with Frequency Compensation Using Cascade Zero" Electronics 12, no. 11: 2361. https://doi.org/10.3390/electronics12112361
APA StyleJin, Y., Seo, Y., Kim, S., & Cho, S. (2023). Three-Stage Operational Amplifier with Frequency Compensation Using Cascade Zero. Electronics, 12(11), 2361. https://doi.org/10.3390/electronics12112361

