The Voltage Balance Control Strategy of Static Var Generators DC-Side Capacitors Based on Fuzzy-PI Adaptive Cascaded H-Bridge
Abstract
:1. Introduction
2. SVG Mathematical Model
Cascaded SVG Primary Circuit Topology
3. SVG Control Strategy Based on the DQ Coordinate System
3.1. Cascaded SVG Primary Circuit Topology
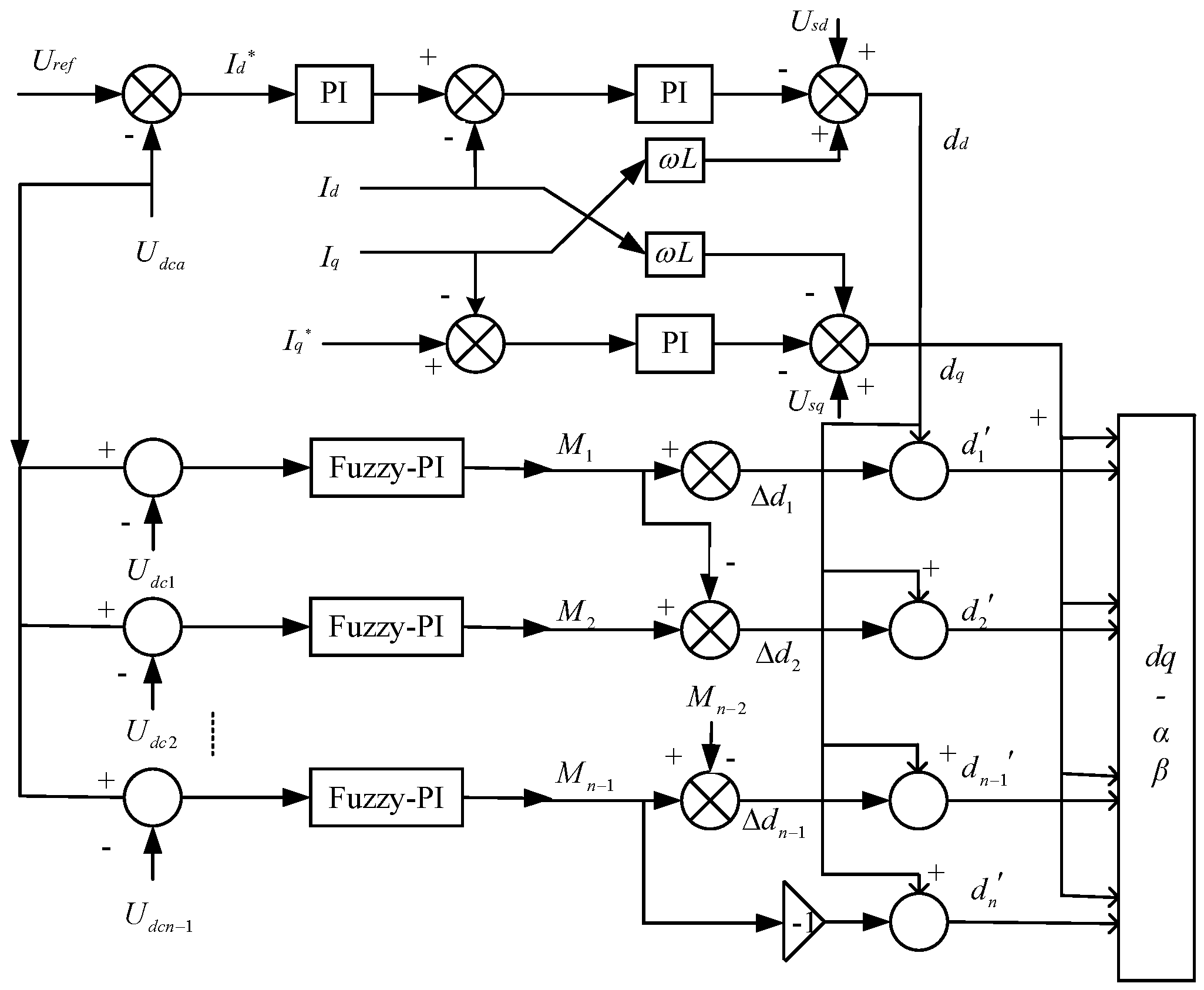
3.2. DC Side Voltage Balance Control Mechanism
3.3. Fuzzy-PI Controller
3.3.1. Fuzzy-PI Controller
3.3.2. Domain of Discourse and Membership Function
3.3.3. Establishment of the Fuzzy Rule Base
- (1)
- When the error E is too large, the response speed of the system will be slow, and KP should take a more significant value; at the same time, to ensure that the system does not have integral saturation and limit the necessary action, KI should take a smaller value.
- (2)
- When the error E is around medium size, KP should take a small value, and KI should take a significant discount to ensure the system response speed and control overshoot.
- (3)
- When the error E is too small, to avoid excessive error in the steady-state operation of the system and affect the control effect, KP and KI should take larger values.
3.3.4. Fuzzy Inference and Defuzzification
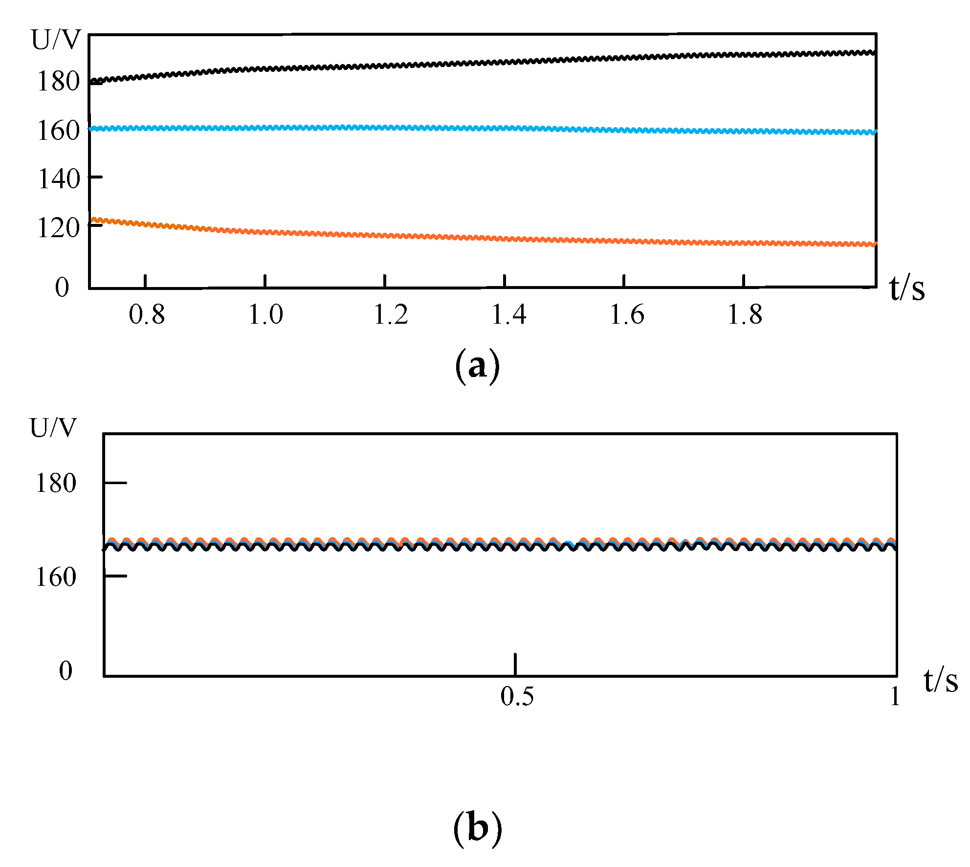
4. Simulation and Analysis
5. Conclusions
- (1)
- Compared with the traditional PI control, this paper is based on the fuzzy PI control voltage balance strategy, which significantly improves the response speed and accuracy of the DC-side voltage balance controller.
- (2)
- The overall system current DQ decoupling controls the output of the public active-duty cycle and reactive duty cycle, and the voltage balance controller increases the duty cycle correction on the common active-duty cycle component to achieve the effect of voltage balance.
- (3)
- While ensuring the constant voltage of the DC side, the DC side voltage balance controller does not have a coupling effect with the dual closed-loop control of the system, and the control structure is simple and easy to implement.
Author Contributions
Funding
Data Availability Statement
Acknowledgments
Conflicts of Interest
References
- Rodriguez, E.; Leyva, R.; Qingxiang, L.; Townsend, C.D.; Farivar, G.G.; Ceballos, S.; Pou, J. Enhancing Inductive Operation of Low-Capacitance Cascaded H-Bridge StatComs Using Optimal Third-Harmonic Circulating Current. IEEE Trans. Power Electron. 2021, 36, 10788–10800. [Google Scholar] [CrossRef]
- Ge, X.; Gao, F. Flexible Third Harmonic Voltage Control of Low Capacitance Cascaded H-Bridge STATCOM. IEEE Trans. Power Electron. 2018, 33, 1884–1889. [Google Scholar] [CrossRef]
- Farivar, G.; Townsend, C.; Pou, J.; Hredzak, B. Low-Capacitance StatCom With Modular Inductive Filter. IEEE Trans. Power Electron. 2019, 34, 3192–3203. [Google Scholar] [CrossRef]
- Xia, L.; Ma, C.; Rong, D.; Lu, D. DC voltage control of small capacitance cascade STATCOM under imbalance. Power Electron. Technol. 2021, 55, 32–35. [Google Scholar]
- Tao, X.; Li, Y.; Sun, M. A novel voltage balance method for cascaded H-bridge rectifier. In Proceedings of the 2010 IEEE Vehicle Power and Propulsion Conference, Lille, France, 1–3 September 2010; pp. 1–5. [Google Scholar]
- She, X.; Huang, A.Q.; Wang, G.; Zhao, T.; Wang, F.; Yao, W. A new voltage-balancing controller in cascaded multilevel converters. In Proceedings of the 2011 IEEE Energy Conversion Congress and Exposition, Phoenix, AZ, USA, 17–22 September 2011; pp. 177–184. [Google Scholar]
- Tao, X.; Li, Y.; Sun, M. A new method for DC bus voltage balance control of H-bridge cascaded PWM rectifier. J. Electrotech. Technol. 2011, 26, 85–90, 105. [Google Scholar]
- Han, C.; Huang, A.Q.; Liu, Y.; Chen, B. A generalized control strategy of per-phase DC voltage balancing for cascaded multilevel converter-based STATCOM. In Proceedings of the 2007 IEEE Power Electronics Specialists Conference, Orlando, FL, USA, 17–21 June 2007; pp. 1746–1752. [Google Scholar]
- Zhao, T.; Wang, G.; Bhattacharya, S.; Huang, A.Q. Voltage and power balance control for a cascaded H-bridge converter-based solid-state transformer. IEEE Trans. Power Electron. 2013, 28, 1523–1532. [Google Scholar] [CrossRef]
- Yang, D.; Wu, N.; Yin, L.; Lu, Z. Natural Frame Control of Single-Phase Cascaded H-Bridge Multilevel Converter Based on Fictive-Phases Construction. IEEE Trans. Ind. Electron. 2018, 65, 3848–3857. [Google Scholar] [CrossRef]
- Liu, X.; Zhi, Z.; An, X.; Chen, Z. Research on control strategy of cascaded H-bridge SVG. Electr. Autom. 2019, 41, 4–7. [Google Scholar]
- Lu, Y.; Wu, C.; Zheng, Y.; Ju, Y. DC-side voltage balance control strategy of cascaded H-bridge rectifier. Electron. Des. Eng. 2022, 30, 75–81. [Google Scholar] [CrossRef]
- Zhu, H. Control Strategy for Voltage and Power Sharing of Cascaded H-Bridge Solid-State Transformers; Xiangtan University: Xiangtan, China, 2018. [Google Scholar]
- Bisht, N.; Das, A. A Circuit Topology of Cascaded H-Bridge STATCOM to Operate With Multiple Faulty Bypassed Cells. IEEE Trans. Ind. Appl. 2021, 57, 5345–5355. [Google Scholar] [CrossRef]
- Liu, B.; Song, W.; Li, Y.; Zhan, B. Performance Improvement of DC Capacitor Voltage Balancing Control for Cascaded H-Bridge Multilevel Converters. IEEE Trans. Power Electron. 2021, 36, 3354–3366. [Google Scholar] [CrossRef]
- Li, L.; Lu, X.; Ji, H.; Li, Z. Control method for DC side voltage balance of cascaded H-bridge SVG. J. Electrotech. Technol. 2016, 31, 1–7. [Google Scholar]
- Pan, H.; Zhu, H.; Xiao, Z.; Zhu, M.; Long, H.; Liu, Y. A novel DC voltage and reactive power balance control strategy for cascaded H-bridge rectifiers. Chin. J. Electr. Eng. 2017, 37, 3565–3573, +3685. [Google Scholar]
- Liu, D.; Li, W.; Hao, J.; Zhou, Z.; Zhang, L. Multi-level static var generator control based on feedforward decoupling. J. Beihua Univ. (Nat. Sci. Ed.) 2017, 18, 129–134. [Google Scholar]
- Xiang, L.; Jian, W.; Xiaojie, Y.; Kun, W. An improved proportional pulse compensation strategy for DC voltage balance of cascaded H-bridge rectifier. In Proceedings of the 2016 IEEE Energy Conversion Congress and Exposition (ECCE), Milwaukee, WI, USA, 18–22 September 2016; pp. 1–6. [Google Scholar]
- Allehyani, M.F.; Abuagreb, M.; Johnson, B.K. The Effect of Frequency Droop Damping on System Parameters and Battery Sizing During Load Change Condition. In Proceedings of the 2022 International Conference on Electrical, Computer and Energy Technologies (ICECET), Prague, Czech Republic, 20–22 July 2022; pp. 1–5. [Google Scholar] [CrossRef]
- Sain, C.; Banerjee, A.; Kumar Biswas, P.; Sudhakar Babu, T.; Dragicevic, T. Updated PSO optimized fuzzy-PI controlled buck type multi-phase inverter-based PMSM drive with an over-current protection scheme. IET Electr. Power Appl. 2020, 14, 2331–2339. [Google Scholar] [CrossRef]
- Yuan, Y.; Chen, X.; Lan, M. Fuzzy PI control strategy23 for output voltage balance of cascaded H-bridge rectifiers. J. Electr. Power Syst. Autom. 2020, 32, 116–122. [Google Scholar]
















| EC | NB | NM | NS | ZE | PS | PM | PB | |
|---|---|---|---|---|---|---|---|---|
| E | ||||||||
| NB | PB | PB | PM | PM | PS | ZE | ZE | |
| NM | PB | PB | PM | PS | PS | ZE | NS | |
| NS | PM | PM | PM | PS | ZE | NS | NS | |
| ZE | PM | PM | PS | ZE | NS | NM | NM | |
| PS | PS | PS | ZE | NS | NS | NM | NM | |
| PM | PS | ZE | NS | NM | NM | NM | NB | |
| PB | ZE | ZE | NM | NM | NM | NB | NB | |
| EC | NB | NM | NS | ZE | PS | PM | PB | |
|---|---|---|---|---|---|---|---|---|
| E | ||||||||
| NB | NB | NB | NM | NM | NS | ZE | ZE | |
| NM | NB | NB | NM | NS | NS | ZE | ZE | |
| NS | NB | PM | NS | NS | ZE | PS | PS | |
| ZE | NM | NM | NS | ZE | PS | PM | PM | |
| PS | NM | NM | ZE | PS | PS | PM | NM | |
| PM | ZE | ZE | PS | PS | PM | NM | PB | |
| PB | ZE | ZE | PS | PM | NM | PB | PB | |
| Parameter | Quantity | Symbol |
|---|---|---|
| power voltage | 220 | V |
| Number of H-bridges | 3 | piece |
| grid frequency | 50 | HZ |
| Filter inductor | 5 | mH |
| DC side capacitance | 10,000 | μF |
| DC side reference voltage | 500 | V |
| DC side equivalent resistance | 50/100/150 | Ω |
| DC side equivalent resistance | 220 | V |
Disclaimer/Publisher’s Note: The statements, opinions and data contained in all publications are solely those of the individual author(s) and contributor(s) and not of MDPI and/or the editor(s). MDPI and/or the editor(s) disclaim responsibility for any injury to people or property resulting from any ideas, methods, instructions or products referred to in the content. |
© 2022 by the authors. Licensee MDPI, Basel, Switzerland. This article is an open access article distributed under the terms and conditions of the Creative Commons Attribution (CC BY) license (https://creativecommons.org/licenses/by/4.0/).
Share and Cite
Gong, R.; Feng, Y. The Voltage Balance Control Strategy of Static Var Generators DC-Side Capacitors Based on Fuzzy-PI Adaptive Cascaded H-Bridge. Electronics 2023, 12, 39. https://doi.org/10.3390/electronics12010039
Gong R, Feng Y. The Voltage Balance Control Strategy of Static Var Generators DC-Side Capacitors Based on Fuzzy-PI Adaptive Cascaded H-Bridge. Electronics. 2023; 12(1):39. https://doi.org/10.3390/electronics12010039
Chicago/Turabian StyleGong, Renxi, and Yuan Feng. 2023. "The Voltage Balance Control Strategy of Static Var Generators DC-Side Capacitors Based on Fuzzy-PI Adaptive Cascaded H-Bridge" Electronics 12, no. 1: 39. https://doi.org/10.3390/electronics12010039
APA StyleGong, R., & Feng, Y. (2023). The Voltage Balance Control Strategy of Static Var Generators DC-Side Capacitors Based on Fuzzy-PI Adaptive Cascaded H-Bridge. Electronics, 12(1), 39. https://doi.org/10.3390/electronics12010039

