Finite-Size and Illumination Conditions Effects in All-Dielectric Metasurfaces
Abstract
1. Introduction
2. Methods
3. Validation
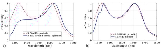
4. Results
5. Conclusions
Author Contributions
Funding
Acknowledgments
Conflicts of Interest
Appendix A. Scattering from Axially Symmetric Particles on a Stratified Medium
References
- Kuznetsov, A.I.; Miroshnichenko, A.E.; Brongersma, M.L.; Kivshar, Y.S.; Luk’yanchuk, B. Optically resonant dielectric nanostructures. Science 2016, 354, aag2472. [Google Scholar] [CrossRef] [PubMed]
- Carletti, L.; Locatelli, A.; Stepanenko, O.; Leo, G.; De Angelis, C. Enhanced second-harmonic generation from magnetic resonance in AlGaAs nanoantennas. Opt. Express 2015, 23, 26544. [Google Scholar] [CrossRef] [PubMed]
- Gili, V.F.; Carletti, L.; Locatelli, A.; Rocco, D.; Finazzi, M.; Ghirardini, L.; Favero, I.; Gomez, C.; Lemaître, A.; Celebrano, M.; et al. Monolithic AlGaAs second-harmonic nanoantennas. Opt. Express 2016, 24, 15965. [Google Scholar] [CrossRef] [PubMed]
- Liu, S.; Sinclair, M.B.; Saravi, S.; Keeler, G.A.; Yang, Y.; Reno, J.; Peake, G.M.; Setzpfandt, F.; Staude, I.; Pertsch, T.; et al. Resonantly Enhanced Second-Harmonic Generation Using III-V Semiconductor All-Dielectric Metasurfaces. Nano Lett. 2016, 16, 5426–5432. [Google Scholar] [CrossRef]
- Ghirardini, L.; Carletti, L.; Gili, V.; Pellegrini, G.; Duò, L.; Finazzi, M.; Rocco, D.; Locatelli, A.; De Angelis, C.; Favero, I.; et al. Polarization properties of second-harmonic generation in AlGaAs optical nanoantennas. Opt. Lett. 2017, 42, 559–562. [Google Scholar] [CrossRef]
- Marino, G.; Solntsev, A.S.; Xu, L.; Gili, V.; Carletti, L.; Poddubny, A.N.; Smirnova, D.; Chen, H.; Zhang, G.; Zayats, A.; et al. Sum-frequency generation and photon-pair creation in AlGaAs nano-scale resonators. In Proceedings of the 2017 Conference on Lasers and Electro-Optics (CLEO), San Jose, CA, USA, 14–19 May 2017. [Google Scholar]
- Smirnova, D.; Kivshar, Y.S. Multipolar nonlinear nanophotonics. Optica 2016, 3, 1241–1255. [Google Scholar] [CrossRef]
- Lapine, M. New degrees of freedom in nonlinear metamaterials. Phys. Status Solidi (B) Basic Res. 2017, 254, 1600462. [Google Scholar] [CrossRef][Green Version]
- Krasnok, A.; Tymchenko, M.; Alù, A. Nonlinear metasurfaces: A paradigm shift in nonlinear optics. Mater. Today 2018, 21, 8–21. [Google Scholar] [CrossRef]
- Heydari, S.; Bazgir, M.; Zarrabi, F.B.; Gandji, N.P.; Rastan, I. Novel optical polarizer design based on metasurface nano aperture for biological sensing in mid-infrared regime. Opt. Quantum Electron. 2017, 49, 83. [Google Scholar] [CrossRef]
- Ebrahimi, S.; Poorgholam-Khanjari, S. Highly Q-factor optical metasurface based on DNA nanorods with Fano response for on-chip optical sensing. Optik 2021, 232, 166576. [Google Scholar] [CrossRef]
- Mobasser, S.; Poorgholam-Khanjari, S.; Bazgir, M.; Zarrabi, F.B. Highly Sensitive Reconfigurable Plasmonic Metasurface with Dual-Band Response for Optical Sensing and Switching in the Mid-Infrared Spectrum. J. Electron. Mater. 2021, 50, 120–128. [Google Scholar] [CrossRef]
- Krasnok, A.; Savelev, R. All-Dielectric Nanophotonics: Fundamentals, Fabrication and Applications. In World Scientific Handbook of Metamaterials and Plasmonics-Volume 1; Mayer, S., Ed.; World Scientific: Singapore, 2017; Chapter 8; pp. 337–385. [Google Scholar]
- Jahani, S.; Jacob, Z. All-dielectric metamaterials. Nat. Nanotechnol. 2016, 11, 23–36. [Google Scholar] [CrossRef] [PubMed]
- Zhao, Q.; Zhou, J.; Zhang, F.; Lippens, D. Mie resonance-based dielectric metamaterials. Mater. Today 2009, 12, 60–69. [Google Scholar] [CrossRef]
- Chen, H.T.; Taylor, A.J.; Yu, N. A review of metasurfaces: Physics and applications. Rep. Prog. Phys. 2016, 79, 076401. [Google Scholar] [CrossRef]
- Carletti, L.; Rocco, D.; Locatelli, A.; De Angelis, C.; Gili, V.F.; Ravaro, M.; Favero, I.; Leo, G.; Finazzi, M.; Ghirardini, L.; et al. Controlling second-harmonic generation at the nanoscale with monolithic AlGaAs-on-AlOx antennas. Nanotechnology 2017, 28, 114005. [Google Scholar] [CrossRef]
- Carletti, L.; Marino, G.; Ghirardini, L.; Gili, V.F.; Rocco, D.; Favero, I.; Locatelli, A.; Zayats, A.V.; Celebrano, M.; Finazzi, M.; et al. Nonlinear Goniometry by Second-Harmonic Generation in AlGaAs Nanoantennas. ACS Photonics 2018, 5, 4386–4392. [Google Scholar] [CrossRef]
- Carletti, L.; Locatelli, A.; Neshev, D.; De Angelis, C. Shaping the Radiation Pattern of Second-Harmonic Generation from AlGaAs Dielectric Nanoantennas. ACS Photonics 2016, 3, 1500–1507. [Google Scholar] [CrossRef]
- Camacho-Morales, R.; Rahmani, M.; Kruk, S.; Wang, L.; Xu, L.; Smirnova, D.A.; Solntsev, A.S.; Miroshnichenko, A.; Tan, H.H.; Karouta, F.; et al. Nonlinear Generation of Vector Beams from AlGaAs Nanoantennas. Nano Lett. 2016, 16, 7191–7197. [Google Scholar] [CrossRef]
- Kruk, S.S.; Camacho-Morales, R.; Xu, L.; Rahmani, M.; Smirnova, D.A.; Wang, L.; Tan, H.H.; Jagadish, C.; Neshev, D.N.; Kivshar, Y.S. Nonlinear optical magnetism revealed by second-harmonic generation in nanoantennas. Nano Lett. 2017, 17, 3914–3918. [Google Scholar] [CrossRef]
- Shcherbakov, M.R.; Vabishchevich, P.P.; Shorokhov, A.S.; Chong, K.E.; Choi, D.Y.; Staude, I.; Miroshnichenko, A.E.; Neshev, D.N.; Fedyanin, A.A.; Kivshar, Y.S. Ultrafast All-Optical Switching with Magnetic Resonances in Nonlinear Dielectric Nanostructures. Nano Lett. 2015, 15, 6985–6990. [Google Scholar] [CrossRef]
- Della Valle, G.; Hopkins, B.; Ganzer, L.; Stoll, T.; Rahmani, M.; Longhi, S.; Kivshar, Y.S.; De Angelis, C.; Neshev, D.N.; Cerullo, G. Nonlinear Anisotropic Dielectric Metasurfaces for Ultrafast Nanophotonics. ACS Photonics 2017, 4, 2129–2136. [Google Scholar] [CrossRef]
- Shcherbakov, M.R.; Neshev, D.N.; Hopkins, B.; Shorokhov, A.S.; Staude, I.; Melik-Gaykazyan, E.V.; Decker, M.; Ezhov, A.A.; Miroshnichenko, A.E.; Brener, I.; et al. Enhanced third-harmonic generation in silicon nanoparticles driven by magnetic response. Nano Lett. 2014, 14, 6488–6492. [Google Scholar] [CrossRef] [PubMed]
- Yang, Y.; Wang, W.; Boulesbaa, A.; Kravchenko, I.I.; Briggs, D.P.; Puretzky, A.; Geohegan, D.; Valentine, J. Nonlinear Fano-Resonant Dielectric Metasurfaces. Nano Lett. 2015, 15, 7388–7393. [Google Scholar] [CrossRef] [PubMed]
- Babicheva, V.E.; Evlyukhin, A.B. Multipole lattice effects in high refractive index metasurfaces. J. Appl. Phys. 2021, 129, 040902. [Google Scholar] [CrossRef]
- Castellanos, G.W.; Bai, P.; Gómez Rivas, J. Lattice resonances in dielectric metasurfaces. J. Appl. Phys. 2019, 125, 213105. [Google Scholar] [CrossRef]
- Utyushev, A.D.; Zakomirnyi, V.I.; Ershov, A.E.; Gerasimov, V.S.; Karpov, S.V.; Rasskazov, I.L. Collective Lattice Resonances in All-Dielectric Nanostructures under Oblique Incidence. Photonics 2020, 7, 24. [Google Scholar] [CrossRef]
- Joseph, S.; Pandey, S.; Sarkar, S.; Joseph, J. Bound states in the continuum in resonant nanostructures: An overview of engineered materials for tailored applications. Nanophotonics 2021, 10, 4175–4207. [Google Scholar] [CrossRef]
- Zundel, L.; Manjavacas, A. Finite-size effects on periodic arrays of nanostructures. J. Phys. Photonics 2018, 1, 015004. [Google Scholar] [CrossRef]
- Zakomirnyi, V.I.; Ershov, A.E.; Gerasimov, V.S.; Karpov, S.V.; Ågren, H.; Rasskazov, I.L. Collective lattice resonances in arrays of dielectric nanoparticles: A matter of size. Opt. Lett. 2019, 44, 5743–5746. [Google Scholar] [CrossRef]
- Zakomirnyi, V.I.; Karpov, S.V.; Ågren, H.; Rasskazov, I.L. Collective lattice resonances in disordered and quasi-random all-dielectric metasurfaces. J. Opt. Soc. Am. B 2019, 36, E21–E29. [Google Scholar] [CrossRef]
- Ziolkowski, R.W. Mixtures of Multipoles—Should They Be in Your EM Toolbox? IEEE Open J. Antennas Propag. 2022, 3, 154–188. [Google Scholar] [CrossRef]
- Czajkowski, K.M.; Bancerek, M.; Antosiewicz, T.J. Multipole analysis of substrate-supported dielectric nanoresonator metasurfaces via the T-matrix method. Phys. Rev. B 2020, 102, 085431. [Google Scholar] [CrossRef]
- Li, J.; Verellen, N.; Van Dorpe, P. Engineering electric and magnetic dipole coupling in arrays of dielectric nanoparticles. J. Appl. Phys. 2018, 123, 083101. [Google Scholar] [CrossRef]
- Babicheva, V.E.; Evlyukhin, A.B. Analytical model of resonant electromagnetic dipole-quadrupole coupling in nanoparticle arrays. Phys. Rev. B 2019, 99, 195444. [Google Scholar] [CrossRef]
- Theobald, D.; Beutel, D.; Borgmann, L.; Mescher, H.; Gomard, G.; Rockstuhl, C.; Lemmer, U. Simulation of light scattering in large, disordered nanostructures using a periodic T-matrix method. J. Quant. Spectrosc. Radiat. Transf. 2021, 272, 107802. [Google Scholar] [CrossRef]
- Kostyukov, A.S.; Rasskazov, I.L.; Gerasimov, V.S.; Polyutov, S.P.; Karpov, S.V.; Ershov, A.E. Multipolar Lattice Resonances in Plasmonic Finite-Size Metasurfaces. Photonics 2021, 8, 109. [Google Scholar] [CrossRef]
- Egel, A.; Czajkowski, K.M.; Theobald, D.; Ladutenko, K.; Kuznetsov, A.S.; Pattelli, L. SMUTHI: A python package for the simulation of light scattering by multiple particles near or between planar interfaces. J. Quant. Spectrosc. Radiat. Transf. 2021, 273, 107846. [Google Scholar] [CrossRef]
- Sharma, K.K. Optics: Principles and Applications, 1st ed.; Academic Press: Cambridge, MA, USA, 2006. [Google Scholar]
- Egel, A.; Kettlitz, S.W.; Lemmer, U. Efficient evaluation of Sommerfeld integrals for the optical simulation of many scattering particles in planarly layered media. J. Opt. Soc. Am. A 2016, 33, 698–706. [Google Scholar] [CrossRef]
- Egel, A.; Lemmer, U. Dipole emission in stratified media with multiple spherical scatterers: Enhanced outcoupling from OLEDs. J. Quant. Spectrosc. Radiat. Transf. 2014, 148, 165–176. [Google Scholar] [CrossRef]
- Tognazzi, A.; Rocco, D.; Gandolfi, M.; Locatelli, A.; Carletti, L.; De Angelis, C. High Quality Factor Silicon Membrane Metasurface for Intensity-Based Refractive Index Sensing. Optics 2021, 2, 193–199. [Google Scholar] [CrossRef]
- Smirnova, D.A.; Khanikaev, A.B.; Smirnov, L.A.; Kivshar, Y.S. Multipolar Third-Harmonic Generation Driven by Optically Induced Magnetic Resonances. ACS Photonics 2016, 3, 1468–1476. [Google Scholar] [CrossRef]
- Videen, G. Light scattering from a particle on or near a perfectly conducting surface. Opt. Commun. 1995, 115, 1–7. [Google Scholar] [CrossRef]
- Wriedt, T.; Doicu, A. Light scattering from a particle on or near a surface. Opt. Commun. 1998, 152, 376–384. [Google Scholar] [CrossRef]
- Tsang, L.; Kong, J.A.; Ding, K.H. Scattering of Electromagnetic Waves. Theory and Applications, 1st ed.; Wiley: Hoboken, NJ, USA, 2000. [Google Scholar]
- Doicu, A.; Wriedt, T.; Eremin, Y.A. Light Scattering by Systems of Particles, 1st ed.; Springer: Berlin/Heidelberg, Germany, 2006. [Google Scholar]
- Frezza, F.; Mangini, F.; Pajewski, L.; Schettini, G.; Tedeschi, N. Spectral domain method for the electromagnetic scattering by a buried sphere. J. Opt. Soc. Am. A 2013, 30, 783–790. [Google Scholar] [CrossRef] [PubMed]
- Frezza, F.; Mangini, F.; Tedeschi, N. Electromagnetic scattering by two concentric spheres buried in a stratified material. J. Opt. Soc. Am. A 2015, 32, 277–286. [Google Scholar] [CrossRef]
- Frezza, F.; Mangini, F. Vectorial spherical-harmonics representation of an inhomogeneous elliptically polarized plane wave. J. Opt. Soc. Am. A 2015, 32, 1379–1383. [Google Scholar] [CrossRef]
- Frezza, F.; Mangini, F. Electromagnetic scattering by a buried sphere in a lossy medium of an inhomogeneous plane wave at arbitrary incidence: Spectral-domain method. J. Opt. Soc. Am. A 2016, 33, 947–953. [Google Scholar] [CrossRef]
- Frezza, F.; Mangini, F. Electromagnetic scattering of an inhomogeneous elliptically polarized plane wave by a multilayered sphere. J. Electromagn. Waves Appl. 2016, 30, 492–504. [Google Scholar] [CrossRef]






Publisher’s Note: MDPI stays neutral with regard to jurisdictional claims in published maps and institutional affiliations. |
© 2022 by the authors. Licensee MDPI, Basel, Switzerland. This article is an open access article distributed under the terms and conditions of the Creative Commons Attribution (CC BY) license (https://creativecommons.org/licenses/by/4.0/).
Share and Cite
Ciarella, L.; Tognazzi, A.; Mangini, F.; De Angelis, C.; Pattelli, L.; Frezza, F. Finite-Size and Illumination Conditions Effects in All-Dielectric Metasurfaces. Electronics 2022, 11, 1017. https://doi.org/10.3390/electronics11071017
Ciarella L, Tognazzi A, Mangini F, De Angelis C, Pattelli L, Frezza F. Finite-Size and Illumination Conditions Effects in All-Dielectric Metasurfaces. Electronics. 2022; 11(7):1017. https://doi.org/10.3390/electronics11071017
Chicago/Turabian StyleCiarella, Luca, Andrea Tognazzi, Fabio Mangini, Costantino De Angelis, Lorenzo Pattelli, and Fabrizio Frezza. 2022. "Finite-Size and Illumination Conditions Effects in All-Dielectric Metasurfaces" Electronics 11, no. 7: 1017. https://doi.org/10.3390/electronics11071017
APA StyleCiarella, L., Tognazzi, A., Mangini, F., De Angelis, C., Pattelli, L., & Frezza, F. (2022). Finite-Size and Illumination Conditions Effects in All-Dielectric Metasurfaces. Electronics, 11(7), 1017. https://doi.org/10.3390/electronics11071017

