Soft-Switching Full-Bridge Topology with AC Distribution Solution in Power Converters’ Auxiliary Power Supplies
Abstract
:1. Introduction
- ▪
- In the second section, the main arrangement and requirements of a distributed auxiliary power supply are investigated;
- ▪
- In the third section, the soft-switching full-bridge converter topology and the operation conditions are analyzed. Furthermore, simulation runs are presented to describe and validate the operation of the main auxiliary converter;
- ▪
- In the fourth section, an actual case of study is presented and the AC distribution solution for the auxiliary power supplies are considered.
- ▪
- In the fifth section, the main converter benefits and the AC distribution are discussed, considering the advantages and the drawbacks compared with the traditional DC rails solutions.
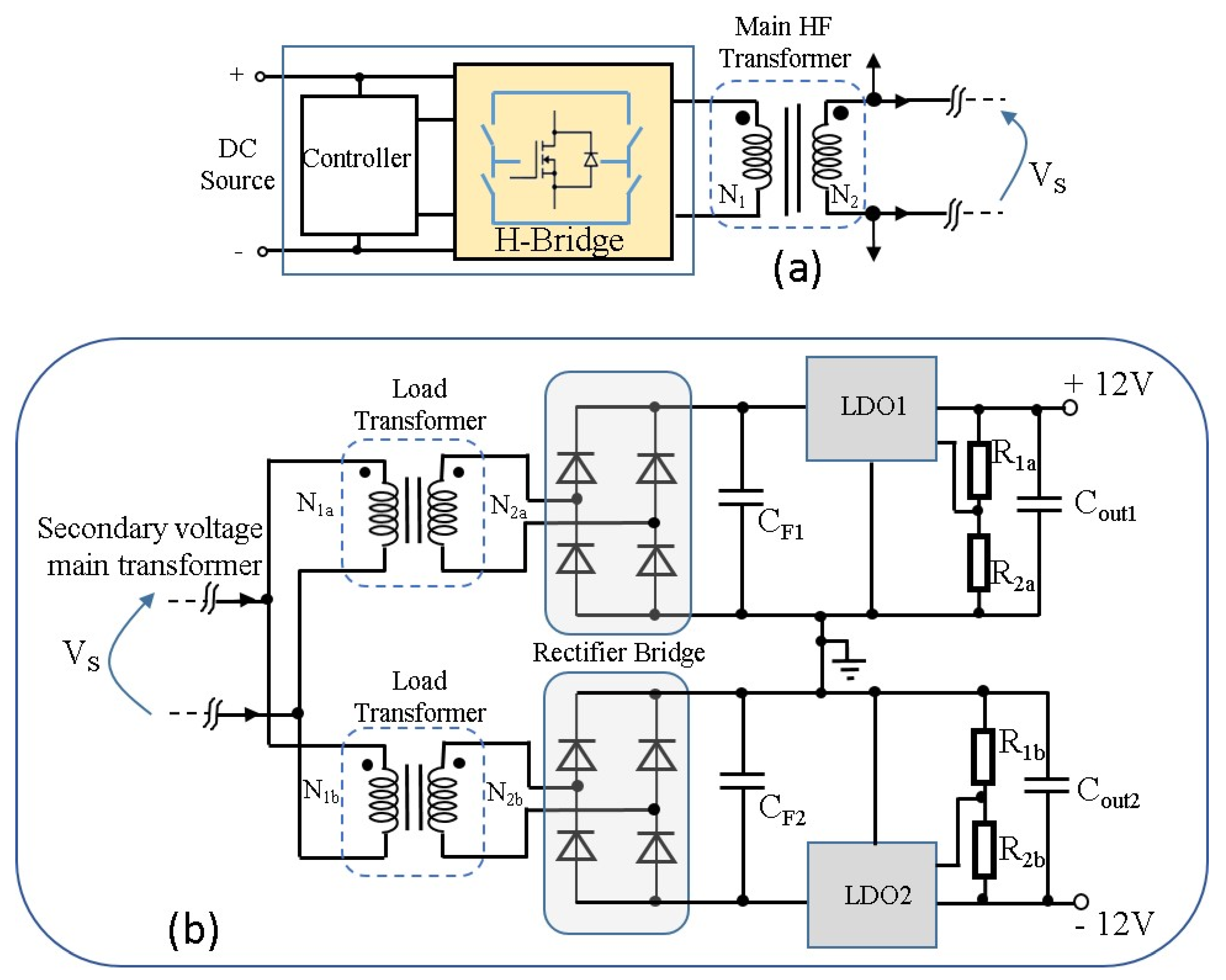
2. Auxiliary Power Supply Arrangement and Load Request
- gate driver circuits;
- microcontroller circuits;
- sensing interface circuits;
- I/O circuits.
2.1. Gate Driver Circuit Power Supply Requirements
2.2. Low-Voltage Control and Processing Circuit’s Power Supply Requirements
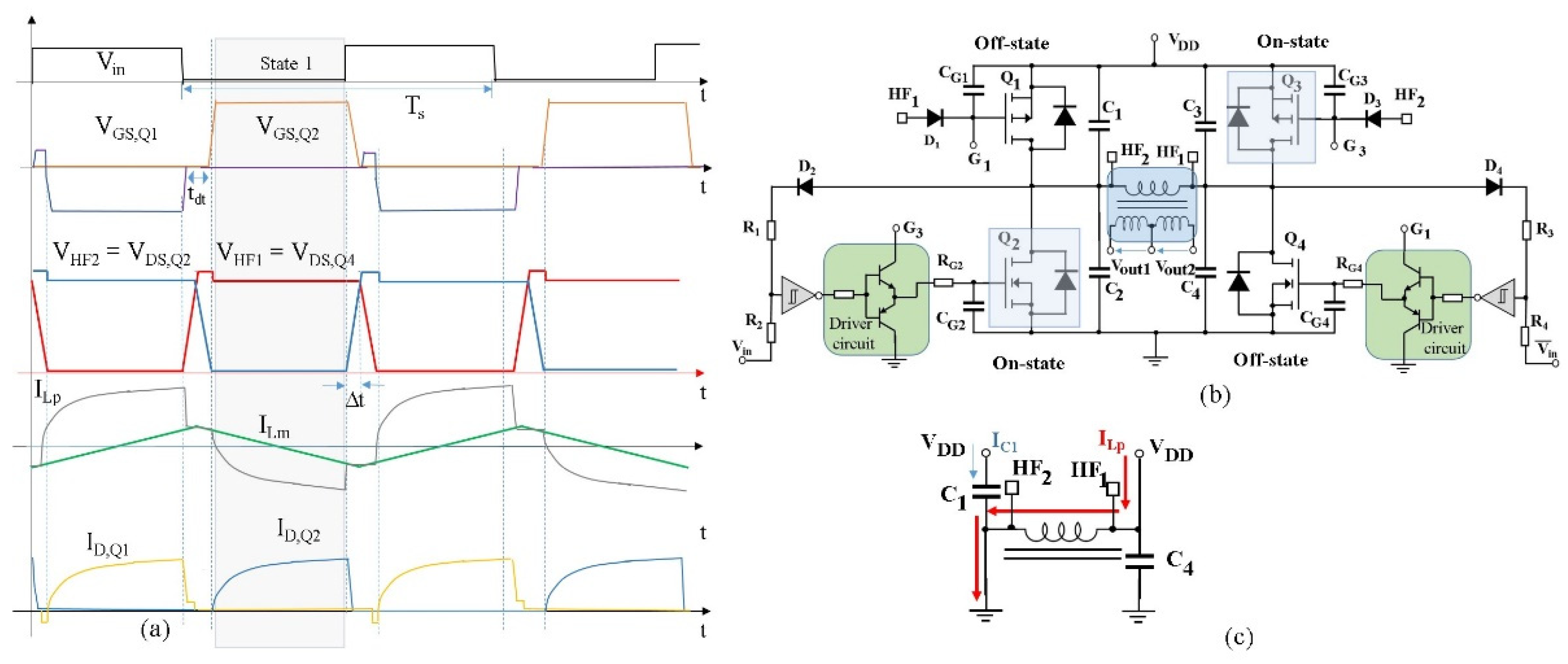
3. Soft-Switching Full-Bridge Converter Topology
3.1. Power Converter Operation
3.2. HF Transformer Selection Issue
3.3. Notes on the Snubber Capacitor Selection
- ▪
- Ci >> Coss,i (where Coss,i is the output inner capacitor of MOSFET, i switches equal to CDS of Figure 4) must be imposed to control the Δti.
- ▪
- To maintain the softness in switching turn-off transient, the following empirical relation can be used:
- ▪
- An energetic criterion can be further considered:
- ▪
- Furthermore, the capacitors Ci cannot be of too great value, in order to not increase the capacitor energy losses shown in (8).
- ▪
- On the other hand, the capacitors Ci cannot be too small so as to not go against the first criterion and to have a margin of adaptation of the circuit to compensate for the asymmetries of the magnetization current.
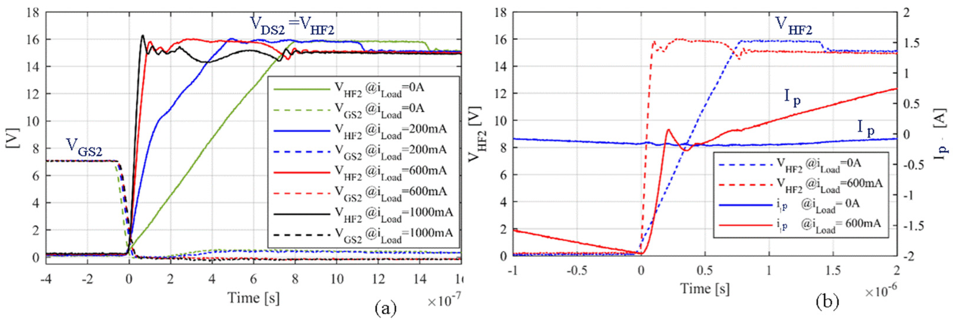
3.4. Power Converter Simulation Results
- VDD = 15 V,
- C1 = C2 = C3 = C4 = 10 nF,
- CG1 = CG2 = CG3 = CG4= 1 nF,
- Lp = Ls = 20 μH
4. AC Distribution for Auxiliary Power Supplies
4.1. A Case of Study
4.2. AC Distribution Experimental Evaluation
4.3. Maximum Load Request
5. Discussion
- Simple power-stage topology with an innovative soft-switching driving technique.
- The power rate of the full-bridge auxiliary converter can be designed to power several electronic circuits at the same time.
- Satisfactory efficiency of the auxiliary AC-DC converter, when the power required by the various loads is sufficient, thanks to the use of the zero-voltage soft-switching technique.
- Simplified open-loop control circuit, with 50% of the duty cycle on the full-bridge circuit, without the control capability of the HF transformer secondary voltages.
- The secondary side of the auxiliary DC-AC HF transformer is distributed into the different points of the power converter to supply the several requested low-voltage circuits.
- The electrical quantities distributed are in AC, from which the front-end device of every supplied circuit is another HF transformer (called load transformer).
- Every HF transformer achieves galvanic isolation on the electronic circuits powered, from which the noise rejection is improved.
- Easy scalability of the LPS arrangement. Additional LPSs can be easily added to the system, without the need to redesign the core H-bridge and main HF transformer (verified that the maximum power ratings of the converter are not overcome). The main HF transformer load limits are discussed in Section 4.3.
- Lower EMI emission. Flyback converters are highly emissive due to the hard switching commutations that cause high dv/dt and di/dt.
- Lower switching losses. The proposed solution is soft switching (zero-voltage commutation), while the Flyback is hard switching in these kinds of applications.
- Lower breakdown voltage semiconductors. Flyback converter switches must be sized for a much higher voltage (input voltage + overvoltage at commutation + secondary voltage scaled by the Flyback transformer factor + safety margin), compared to the proposed solution (input voltage + safety margin) [33].
- Lower voltage ripple on the load. During the Flyback converter operations, the load is supplied only for part of the period, while in the proposed converter, the load is always supplied, except during the voltage transition. This results in a lower ripple voltage for the same load current and filter capacitance.
- Higher efficiency due to the soft-switching commutation.
- Better use of the magnetic component. The HF transformer magnetic cycle is on the fourth quadrant of the BH plane.
- The main advantages of the Flyback versus the presented topology are:
- Lower component count. A lower number of semiconductors and passive components.
- Widely used. Plenty of material is available in the literature and dedicated IC solutions are available on the market [34].
- Voltage regulation. The voltage on the secondary side can be regulated by acting on the duty cycle at the primary side.
- One DC/AC half or full-bridge solution, one transformer and one rectifier, for each isolated supply. Moreover, this would include additional filters for the EMI compatibility.
- One DC/DC stage for each non-isolated supply
6. Conclusions
Author Contributions
Funding
Conflicts of Interest
Appendix A
Load Transformer Selection Example
| Part Number | Turn Ratio | Lm [µH] | Lσ1 [µH] | Rσ1 [Ω] | Lσ2 [µH] | Rσ2 [Ω] | Volt-Time Product [V∗µs] |
|---|---|---|---|---|---|---|---|
| Main Transformer | 1:1.55 | 158 | 0.5 | 0.014 | 0.8 | 0.022 | 443 |
| Load Transformer DA2099-AL_ | 1:1 | 3790 | 6.5 | 2.3 | 6.5 | 2.85 | 221 |

References
- Stupar, A.; McRae, T.; Vukadinović, N.; Prodić, A.; Taylor, J.A. Multi-Objective Optimization of Multi-Level DC–DC Converters Using Geometric Programming. IEEE Trans. Power Electron. 2019, 34, 11912–11939. [Google Scholar] [CrossRef]
- Martinez, W.; Kimura, S.; Imaoka, J.; Yamamoto, M.; Cortes, C.A. Volume comparison of DC-DC converters for electric vehicles. In Proceedings of the 2015 IEEE Workshop on Power Electronics and Power Quality Applications (PEPQA), Bogota, Colombia, 2–4 June 2015; pp. 1–6. [Google Scholar] [CrossRef]
- Musumeci, S.; Mandrile, F.; Barba, V.; Palma, M. Low-Voltage GaN FETs in Motor Control Application; Issues and Advantages: A Review. Energies 2021, 14, 6378. [Google Scholar] [CrossRef]
- Rodriguez, A.; Rogina, M.R.; Saeed, M.; Lamar, D.G.; Arias, M.; Lopez, M.; Briz, F. Auxiliary power supply based on a modular ISOP flyback configuration with very high input voltage. In Proceedings of the 2016 IEEE Energy Conversion Congress and Exposition (ECCE), Milwaukee, WI, USA, 18–22 September 2016; pp. 1–7. [Google Scholar] [CrossRef] [Green Version]
- Ragonese, E.; Spina, N.; Parisi, A.; Palmisano, G. An Experimental Comparison of Galvanically Isolated DC-DC Converters: Isolation Technology and Integration Approach. Electronics 2021, 10, 1186. [Google Scholar] [CrossRef]
- Cui, Y.; Yang, F.; Tolbert, L.M.; Costinett, D.J.; Wang, F.; Blalock, B.J. Load-Dependent Soft-Switching Method of Half-Bridge Current Doubler for High-Voltage Point-of-Load Converter in Data Center Power Supplies. IEEE Trans. Power Electron. 2017, 32, 2925–2938. [Google Scholar] [CrossRef]
- Shan, Z.; Tse, C.K.; Tan, S. Pre-Energized Auxiliary Circuits for Very Fast Transient Loads: Coping With Load-Informed Power Management for Computer Loads. IEEE Trans. Circuits Syst. 2014, 61, 637–648. [Google Scholar] [CrossRef] [Green Version]
- Zhang, X.; Sheh, G.; Banerjee, S. Gate Driving Circuit Design and Gate Driver Power Supply Structure for SiC MOSFETs. In Proceedings of the PCIM Europe 2019, International Exhibition and Conference for Power Electronics, Intelligent Motion, Renewable Energy and Energy Management, Nuremberg, Germany, 7–9 May 2019; pp. 1–7. [Google Scholar]
- Batarseh, I.; Harb, A. Isolated Switch-Mode DC-DC Converters. In Power Electronics; Springer: Cham, Switzerland, 2018. [Google Scholar] [CrossRef]
- Huang, M.; Lu, Y.; Martins, R.P. Review of Analog-Assisted-Digital and Digital-Assisted-Analog Low Dropout Regulators. IEEE Trans. Circuits Syst. 2021, 68, 24–29. [Google Scholar] [CrossRef]
- Chrysostomou, M.; Christofides, N.; Ioannou, S.; Polycarpou, A. Multicell Power Supplies for Improved Energy Efficiency in the Information and Communications Technology Infrastructures. Energies 2021, 14, 7038. [Google Scholar] [CrossRef]
- Seliger, B.; Popov, J.; Eckardt, B.; März, M. Galvanic isolated auxiliary power supply with high power density and efficiency. In Proceedings of the IEEE 36th International Telecommunications Energy Conference (INTELEC), Vancouver, BC, Canada, 28 September–2 October 2014; pp. 1–7. [Google Scholar] [CrossRef]
- Dongsheng, M.; Wing-Hung, K.; Chi-Ying, T.; Mok, P.K.T. Single-inductor multiple-output switching converters with time-multiplexing control in discontinuous conduction mode. IEEE J. Solid-State Circuits 2003, 38, 89–100. [Google Scholar] [CrossRef]
- Ray, O.; Mishra, S. A multi-port converter topology with simultaneous isolated and non-isolated outputs. In Proceedings of the IECON 2013 39th Annual Conference of the IEEE Industrial Electronics Society, Vienna, Austria, 10–13 November 2013; pp. 7118–7123. [Google Scholar] [CrossRef]
- Novaković, B.; Štern, D.; Stamenković, I.; Milivojević, N. Flyback Converter as Auxiliary Power Supply for Low-cost Single-phase Motor System. In Proceedings of the EUROCON 2005—The International Conference on Computer as a Tool, Belgrade, Montenegro, 21–24 November 2005; pp. 1493–1496. [Google Scholar] [CrossRef]
- Medina-Garcia, A.; Schlenk, M.; Morales, D.P.; Rodriguez, N. Resonant Hybrid Flyback, a New Topology for High Density Power Adaptors. Electronics 2018, 7, 363. [Google Scholar] [CrossRef] [Green Version]
- Hamada, S.; Nakaoka, M. A novel zero-voltage and zero-current switching PWM DC-DC converter with reduced conduction losses. IEEE Trans. Power Electron. 2002, 17, 413–419. [Google Scholar] [CrossRef]
- Morimoto, K.; Doi, T.; Manabe, H.; Ahmed, N.A.; Hyun-Woo, L.; Nakaoka, M. Advanced high frequency transformer linked soft switching PWM DC-DC power converter with utility AC dual voltage modes for low voltage and large current applications. In Proceedings of the 2005 European Conference on Power Electronics and Applications, Dresden, Germany, 11–14 September 2005; p. 10. [Google Scholar] [CrossRef]
- Buonomo, S.; Musumeci, S.; Pagano, R.; Porto, C.; Raciti, A.; Scollo, R. Driving a New Monolithic Cascode Device in a DC–DC Converter Application. IEEE Trans. Ind. Electron. 2008, 55, 2439–2449. [Google Scholar] [CrossRef]
- Heinig, S.; Jacobs, K.; Ilves, K.; Norrga, S.; Nee, H.-P. Auxiliary Power Supplies for High-Power Converter Submodules: State of the Art and Future Prospects. IEEE Trans. Power Electron. 2022, 37, 6807–6820. [Google Scholar] [CrossRef]
- Chang, G.; Fan, S.; Tseng, S. Multi-output auxiliary power supply with lossless snubber. In Proceedings of the 6th IEEE Conference on Industrial Electronics and Applications, Beijing, China, 21–23 June 2011; pp. 2172–2178. [Google Scholar] [CrossRef]
- Liu, J.; Yang, X.; Hao, X.; Liu, T.; Zhao, M. Design of auxiliary power supply for high voltage power electronics devices. In Proceedings of the 7th International Power Electronics and Motion Control Conference, Harbin, China, 2–5 June 2012; pp. 1661–1665. [Google Scholar] [CrossRef]
- Miloudi, M.; Bendaoud, A.; Miloudi, H.; Nemmich, S.; Slimani, H. Analysis and reduction of common-mode and differential-mode EMI noise in a Flyback switch-mode power supply (SMPS). In Proceedings of the 2012 20th Telecommunications Forum (TELFOR), Belgrade, Serbia, 20–22 November 2012; pp. 1080–1083. [Google Scholar] [CrossRef]
- Musumeci, S. Gate charge control of high-voltage Silicon-Carbide (SiC) MOSFET in power converter applications. In Proceedings of the 2015 International Conference on Clean Electrical Power (ICCEP), Taormina, Italy, 16–18 June 2015; pp. 709–715. [Google Scholar] [CrossRef]
- Darbas, C.; Olivier, J.-C.; Ginot, N.; Poitiers, F.; Batard, C. Cascaded Smart Gate Drivers for Modular Multilevel Converters Control: A Decentralized Voltage Balancing Algorithm. Energies 2021, 14, 3589. [Google Scholar] [CrossRef]
- Rice, J.; Mookken, J. SiC MOSFET gate drive design considerations. In Proceedings of the 2015 IEEE International Workshop on Integrated Power Packaging (IWIPP), Chicago, IL, USA, 3–6 May 2015; pp. 24–27. [Google Scholar] [CrossRef]
- Armando, E.; Fusillo, F.; Musumeci, S.; Scrimizzi, F. Low Voltage Trench-Gate MOSFETs for High Efficiency Auxiliary Power Supply Applications. In Proceedings of the 2019 International Conference on Clean Electrical Power (ICCEP), Otranto, Italy, 2–4 July 2019; pp. 165–170. [Google Scholar] [CrossRef]
- Martin, S.M.; Flautner, K.; Mudge, T.; Blaauw, D. Combined dynamic voltage scaling and adaptive body biasing for lower power microprocessors under dynamic workloads. In Proceedings of the IEEE/ACM International Conference on Computer Aided Design, San Jose, CA, USA, 10–14 November 2002; pp. 721–725. [Google Scholar] [CrossRef]
- Musumeci, S.; Fratta, A.; Armando, E.; Mandrile, F.; Borlo, S. Soft Switching Full-Bridge Isolated Circuit Solution for Auxiliary Power Supply in Power Converter Systems. In Proceedings of the IECON 2019—45th Annual Conference of the IEEE Industrial Electronics Society, Lisbon, Portugal, 14–17 October 2019; pp. 1985–1990. [CrossRef]
- Karampoorian, H.R.; Papi, G.; Vahedi, A.; Zadehgol, A. Optimum design of high frequency transformer for compact and light weight switch mode power supplies (SMPS). In Proceedings of the 2006 IEEE GCC Conference (GCC), Manama, Bahrain, 20–22 March 2006; pp. 1–6. [Google Scholar] [CrossRef]
- Stella, F.; Olanrewaju, O.; Yang, Z.; Castellazzi, A.; Pellegrino, G. Experimentally validated methodology for real-time temperature cycle tracking in SiC power modules. Microelectron. Reliab. 2018, 88–90, 615–619. [Google Scholar] [CrossRef]
- Mendoza-Varela, I.A.; Alvarez-Diazcomas, A.; Rodriguez-Resendiz, J.; Martinez-Prado, M.A. Modeling and Control of a Phase-Shifted Full-Bridge Converter for a LiFePO4 Battery Charger. Electronics 2021, 10, 2568. [Google Scholar] [CrossRef]
- Tahan, M.; Bamgboje, D.O.; Hu, T. Compensated Single Input Multiple Output Flyback converter. Energies 2021, 14, 3009. [Google Scholar] [CrossRef]
- Leng, C.-M.; Chiu, H.-J. Three-Output Flyback Converter with Synchronous Rectification for Improving Cross-Regulation and Efficiency. Electronics 2021, 10, 430. [Google Scholar] [CrossRef]



























| MOSFET Parameters | N-Channel | P-Channel |
|---|---|---|
| RDSon (@|4.5| V) | 23 mΩ (@ 7 A) | 58 mΩ (@ 5.6 A) |
| VGS,TH | 3 V | −3 V |
| QG | 14 nC | 17 nC |
| Ciss | 1000 pF | 1330 pF |
| Crss | 115 pF | 115 pF |
| Coss | 155 pF | 185 pF |
Publisher’s Note: MDPI stays neutral with regard to jurisdictional claims in published maps and institutional affiliations. |
© 2022 by the authors. Licensee MDPI, Basel, Switzerland. This article is an open access article distributed under the terms and conditions of the Creative Commons Attribution (CC BY) license (https://creativecommons.org/licenses/by/4.0/).
Share and Cite
Musumeci, S.; Stella, F.; Mandrile, F.; Armando, E.; Fratta, A. Soft-Switching Full-Bridge Topology with AC Distribution Solution in Power Converters’ Auxiliary Power Supplies. Electronics 2022, 11, 884. https://doi.org/10.3390/electronics11060884
Musumeci S, Stella F, Mandrile F, Armando E, Fratta A. Soft-Switching Full-Bridge Topology with AC Distribution Solution in Power Converters’ Auxiliary Power Supplies. Electronics. 2022; 11(6):884. https://doi.org/10.3390/electronics11060884
Chicago/Turabian StyleMusumeci, Salvatore, Fausto Stella, Fabio Mandrile, Eric Armando, and Antonino Fratta. 2022. "Soft-Switching Full-Bridge Topology with AC Distribution Solution in Power Converters’ Auxiliary Power Supplies" Electronics 11, no. 6: 884. https://doi.org/10.3390/electronics11060884
APA StyleMusumeci, S., Stella, F., Mandrile, F., Armando, E., & Fratta, A. (2022). Soft-Switching Full-Bridge Topology with AC Distribution Solution in Power Converters’ Auxiliary Power Supplies. Electronics, 11(6), 884. https://doi.org/10.3390/electronics11060884

