A Novel Fixed-Time Trajectory Tracking Strategy of Unmanned Surface Vessel Based on the Fractional Sliding Mode Control Method
Abstract
:1. Introduction
- 1.
- To solve the USV trajectory tracking problem, a novel fixed-time fractional-order sliding mode control (FTFOSMC) strategy is proposed and applied. Compared with the AFNTSMC and NFTSMC control strategies, it reduces the number of control parameters and guarantees accurate trajectory tracking control.
- 2.
- Considering the external disturbance and unmodeled dynamics as the lumped uncertainties, a novel fixed-time fractional-order neural network sliding mode control strategy combined with the RBF-NN (RBF-FTFOSMC) is proposed to ensure that the system can converge in fixed time and effectively realize an accurate estimation of lumped uncertainties.
2. Problem Description and Preliminaries
2.1. Preliminaries
2.2. Problem Description
3. Control Strategy Design and Stability Analysis
3.1. Model Transformation
3.2. Fixed-Time Fractional-Order Sliding Mode Control Strategy
3.3. RBF-FTFOSMC Control Strategy
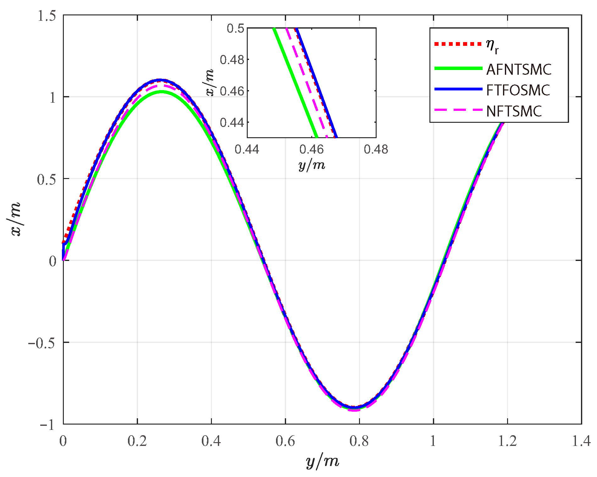
4. Simulation and Discussion
5. Conclusions
6. Future Recommendation
Author Contributions
Funding
Institutional Review Board Statement
Informed Consent Statement
Data Availability Statement
Conflicts of Interest
References
- Yuan, L.; Yin, G.; Xia, L. Optimal design of path algorithm for unmanned surface vessel under complex sea conditions. J. Mil. Transp. Univ. 2021, 23, 83–87. [Google Scholar]
- Bajrami, X.; Pajaziti, A.; Likaj, R.; Shala, A.; Berisha, R.; Bruqi, M. Control Theory Application for Swing Up and Stabilisation of Rotating Inverted Pendulum. Symmetry 2021, 13, 1491. [Google Scholar] [CrossRef]
- Bi, X.Y.; Xiu, M.C.; Chen, G.L. Path planning method of unmanned channel survey ship based on improved A * algorithm. Geomat. Inf. Sci. Wuhan Univ. 2019, 44, 1258–1264. [Google Scholar]
- Ning, W.; Yu, H.Z.; Choon, K.A. Autonomous pilot of unmanned surface vehicles: Bridging path planning and tracking. IEEE Trans. Veh. Commun. 2021. [Google Scholar] [CrossRef]
- Yan, W. Modeling and Path Tracking Control of Unmanned Surface Vessel; School of Oceanography Institute, ZheJiang University: Hangzhou, China, 2019; pp. 2–12. [Google Scholar]
- Bang, Q.A.; Sha, Y.; Zhen, H.Y. Improved ant colony algorithm for unmanned surface vehicle smooth path planning. Control Theory Appl. 2021, 38, 1006–1014. [Google Scholar]
- Xin, L.J.; Yan, S.Y. Mathematical Model of Ship Motion Mechanism Modeling and Identification Modeling; Dalian Maritime University: Dalian, China, 1999; pp. 35–47. [Google Scholar]
- Asfihani, T.; Arif, D.K.; Putra, F.P.; Firmansyah, M.A. Comparison of LQG and adaptive PID Controller for USV heading control. J. Phys. Conf. Ser. 2019, 1218, 1742–1751. [Google Scholar] [CrossRef]
- Steenson, L.; Phillips, A.; Rogers, E. Experimental verification of a depth controller using model predictive control with constraints onboard a thruster actuated AUV. IFAC Proc. Vol. 2012, 45, 275–280. [Google Scholar] [CrossRef]
- Ning, W.; Ying, G.; Xue, F.Z. Data-driven performance-prescribed reinforcement learning control of an unmanned surface vehicle. IEEE Trans. Neural Netw. Learn. Syst. 2021, 32, 5456–5467. [Google Scholar]
- Nan, D.; Li, J.; Weng, Y.; Lian, L.; Yu, C.; Li, S. Data-Driven Adaptive PID Control of Unknown Quadrotor UAVs. In Proceedings of the 2020 IEEE 9th Data Driven Control and Learning Systems Conference (DDCLS), Liuzhou, China, 20–22 November 2020; pp. 953–958. [Google Scholar] [CrossRef]
- Wang, R.; Deng, H.; Miao, K. RBF network based integral backstepping sliding mode control for USV. In Proceedings of the MATEC Web of Conferences, Chengdu, China, 16–17 December 2017; Volume 139, p. 00143. [Google Scholar]
- El-Fakdi, A.; Cufí, X. An Innovative Low Cost Educational Underwater Robotics Platform for Promoting Engineering Interest among Secondary School Students. Electronics 2022, 11, 373. [Google Scholar] [CrossRef]
- Zhang, J.; Zhou, S. Robust adaptive anti-windup wheel slip tracking control for intelligent vehicle with fast terminal sliding mode observer. Proc. Inst. Mech. Eng. Part D J. Automob. Eng. 2020, 234, 3373–3384. [Google Scholar] [CrossRef]
- Ark, D.; Kanti, S.M.; Pankhuri, A. Event-Triggered adaptive integral higher-order sliding mode control for load frequency problems in multi-area power systems. Iran. J. Sci. Technol. 2018, 43, 137–152. [Google Scholar]
- Vo, A.T.; Truong, T.N.; Kang, H.J. A novel fixed-time control algorithm for trajectory tracking control of uncertain magnetic levitation systems. IEEE Access 2021, 9, 47698–47712. [Google Scholar] [CrossRef]
- Yang, J.; Wang, Q.L.; Li, Y. Review of sliding mode variable structure control. In Proceedings of the 31st China Control Conference, Hefei, China, 25–27 July 2012; Volume B, pp. 1263–1268. [Google Scholar]
- Qiu, B.; Wang, G.; Fan, Y.; Mu, D.; Sun, X. Adaptive Sliding Mode Trajectory Tracking Control for Unmanned Surface Vehicle with Modeling Uncertainties and Input Saturation. Appl. Sci. 2019, 9, 1240. [Google Scholar] [CrossRef] [Green Version]
- Lopac, N.; Bulic, N.; Vrkic, N. Sliding Mode Observer-Based Load Angle Estimation for Salient-Pole Wound Rotor Synchronous Generators. Energies 2019, 12, 1609. [Google Scholar] [CrossRef] [Green Version]
- Yang, L.; Bang, X.J.; Jian, Q.L.; Jin, C.; Guo, P.L. Event-Triggered Sliding Mode Control for Attitude Stabilization of a Rigid Spacecraft. IEEE Trans. Syst. Man Cybern. Syst. 2018, 50, 3290–3299. [Google Scholar]
- Liu, H.; Cheng, L.; Tan, M. Exponential Finite-Time Consensus of Fractional-Order Multiagent Systems. IEEE Trans. Syst. Man Cybern. Syst. 2020, 50, 1549–1558. [Google Scholar] [CrossRef]
- Polyakov, A. Nonlinear feedback design for fixed-time stabilization of linear control systems. IEEE Trans. Autom. Control 2012, 57, 2106–2110. [Google Scholar] [CrossRef] [Green Version]
- Mandelbrot, B.B.; Wheeler, J.A. The fractal geometry of nature. Am. J. Phys. 1983, 51, 18–25. [Google Scholar] [CrossRef]
- Lurie, B.J. Three-Parameter Tunable Tilt-Integral-Derivative Controller. U.S. Patent US5371670A, 12 June 1994. [Google Scholar]
- Podlubny, I. Fractional-order systems and PIλDμ-controllers. IEEE Trans. Autom. Control 1999, 44, 208–214. [Google Scholar] [CrossRef]
- Wan, J.; He, B.; Wang, D. Fractional-order PID Motion Control for AUV Using Cloud-model-based Quantum Genetic Algorithm. IEEE Access 2019, 7, 124828–124843. [Google Scholar] [CrossRef]
- Lin, W.; Chong, Q.Z. Design of optimal fractional-order PID controllers using particle swarm optimization algorithm for DC motor system. In Proceedings of the 2015 IEEE Advanced Information Technology, Electronic and Automation Control Conference (IAEAC), Chongqing, China, 19–20 December 2015; Volume 24, pp. 175–179. [Google Scholar]
- Fei, J.; Wang, H. Experimental Investigation of Recurrent Neural Network Fractional-order Sliding Mode Control of Active Power Filter. IEEE Trans. Circuits Syst. II Express Briefs 2020, 67, 2522–2526. [Google Scholar] [CrossRef]
- Xu, L.; Ma, H.; Guo, D. Backstepping Sliding-Mode and Cascade Active Disturbance Rejection Control for a Quadrotor UAV. IEEE/ASME Trans. Mechatron. 2020, 25, 2743–2753. [Google Scholar] [CrossRef]
- Ning, W.; Shun, F.S. Finite-time unknown observer based interactive trajectory tracking control of asymmetric underactuated surface vehicles. IEEE Trans. Control Syst. Technol. 2021, 29, 794–803. [Google Scholar]
- Wu, C.; Zhao, M.; Min, C. Adaptive neural formation control of autonomous underactuated surface vessels based on disturbance observer with leader–follower strategy. Trans. Inst. Meas. Control 2021, 43, 2972–2982. [Google Scholar] [CrossRef]
- Ning, W.; Choon, K.A. Coordinated trajectory tracking control of a marine aerial-surface heterogeneous system. IEEE/ASME Trans. Mechatron. 2021, 26, 3198–3210. [Google Scholar]
- Li, J.; Zhang, G.; Li, B. Robust Adaptive Neural Cooperative Control for the USV-UAV Based onthe LVS-LVA Guidance Principle. J. Mar. Sci. Eng. 2022, 10, 51. [Google Scholar] [CrossRef]
- Wang, H.; Wang, D.; Peng, Z.H. Adaptive dynamic surface control for cooperative path following of multiple autonomous surface vessels. Control Theory Appl. 2013, 30, 637–643. [Google Scholar]
- Zhang, H.; Yao, J.; Sui, J.H. Neural sliding mode path following control for underctuated ship based on DSC. Ship Eng. 2019, 41, 85–90, 121. [Google Scholar]
- Carlucho, I.; Paula, M.D.; Wang, S. Adaptive low-level control of autonomous underwater vehicles using deep reinforcement learning. Robot. Auton. Syst. 2018, 107, 71–86. [Google Scholar] [CrossRef] [Green Version]
- Zhang, Y.; Tang, S.; Guo, J. Adaptive terminal angle constraint interception against maneuvering targets with fast fixed-time convergence. Int. J. Robust Nonlinear Control 2018, 28, 2996–3014. [Google Scholar] [CrossRef]
- Liu, R.; Geng, Q.; Fei, Q.; Yin, Q. Trajectory tracking control of UAV based on non-singular fixed-time terminal sliding mode. In Proceedings of the 2021 40th Chinese Control Conference (CCC), Shanghai, China, 26–28 July 2021; pp. 7886–7891. [Google Scholar] [CrossRef]
- Wang, N.; He, H. Dynamics-Level finite-time fuzzy monocular visual servo of an unmanned surface vehicle. IEEE Trans. Ind. Electron. 2020, 67, 9648–9658. [Google Scholar] [CrossRef]
- Huang, S.; Zhou, B.; Bu, S. Robust fixed-time sliding mode control for fractional-order nonlinear hydro-turbine governing system. Renew. Energy 2019, 139, 447–458. [Google Scholar] [CrossRef]
- Shuang, Z.; Shuo, Y.; Xin, B.Y. Adaptive neural network fixed-time control design for bilateral teleoperation with time delay. IEEE Trans. Cybern. 2021, 35, 1–14. [Google Scholar]
- Tran, M.D.; Kang, H.J. A novel adaptive finite-time tracking control for robotic manipulators using nonsingular terminal sliding mode and RBF neural networks. Int. J. Precis. Eng. Manuf. 2016, 17, 863–870. [Google Scholar] [CrossRef]
- Skjetne, R.; Fossen, T.I.; Kokotovic, P.V. Adaptive maneuvering, with experiments, for a model ship in a marine control laboratory. Automatica 2004, 41, 289–298. [Google Scholar] [CrossRef]







| Variable Name | Definition | Variable Name | Definition |
|---|---|---|---|
| Parameters | Values | Parameters | Values | Parameters | Values |
|---|---|---|---|---|---|
| m | 23.8000 | −0.8612 | −2.0 | ||
| 1.7600 | −36.2823 | −10.0 | |||
| 0.460 | 0.1079 | 0.0 | |||
| −0.7225 | 0.1052 | 0.0 | |||
| −1.3274 | 5.0437 | −1.0 | |||
| −5.8664 |
| Control Strategy | Sliding Mode Parameter | Control Rate Parameter |
|---|---|---|
| AFNTSMC | ||
| NFTSMC | ||
| FTFOSMC | ||
Publisher’s Note: MDPI stays neutral with regard to jurisdictional claims in published maps and institutional affiliations. |
© 2022 by the authors. Licensee MDPI, Basel, Switzerland. This article is an open access article distributed under the terms and conditions of the Creative Commons Attribution (CC BY) license (https://creativecommons.org/licenses/by/4.0/).
Share and Cite
Chen, D.; Zhang, J.; Li, Z. A Novel Fixed-Time Trajectory Tracking Strategy of Unmanned Surface Vessel Based on the Fractional Sliding Mode Control Method. Electronics 2022, 11, 726. https://doi.org/10.3390/electronics11050726
Chen D, Zhang J, Li Z. A Novel Fixed-Time Trajectory Tracking Strategy of Unmanned Surface Vessel Based on the Fractional Sliding Mode Control Method. Electronics. 2022; 11(5):726. https://doi.org/10.3390/electronics11050726
Chicago/Turabian StyleChen, Dong, Jundong Zhang, and Zhongkun Li. 2022. "A Novel Fixed-Time Trajectory Tracking Strategy of Unmanned Surface Vessel Based on the Fractional Sliding Mode Control Method" Electronics 11, no. 5: 726. https://doi.org/10.3390/electronics11050726
APA StyleChen, D., Zhang, J., & Li, Z. (2022). A Novel Fixed-Time Trajectory Tracking Strategy of Unmanned Surface Vessel Based on the Fractional Sliding Mode Control Method. Electronics, 11(5), 726. https://doi.org/10.3390/electronics11050726
