Control Synchronization Design of a Multiple Electrohydraulic Actuator System with Linearization Dynamics and an External Disturbance Observer
Abstract
1. Introduction
2. Motion Plant Description
2.1. Nonlinear Dynamics of MEHAs
2.2. Feedback Linearization Transformation
3. Synchronous Protocol Derivation
4. Simulation Results
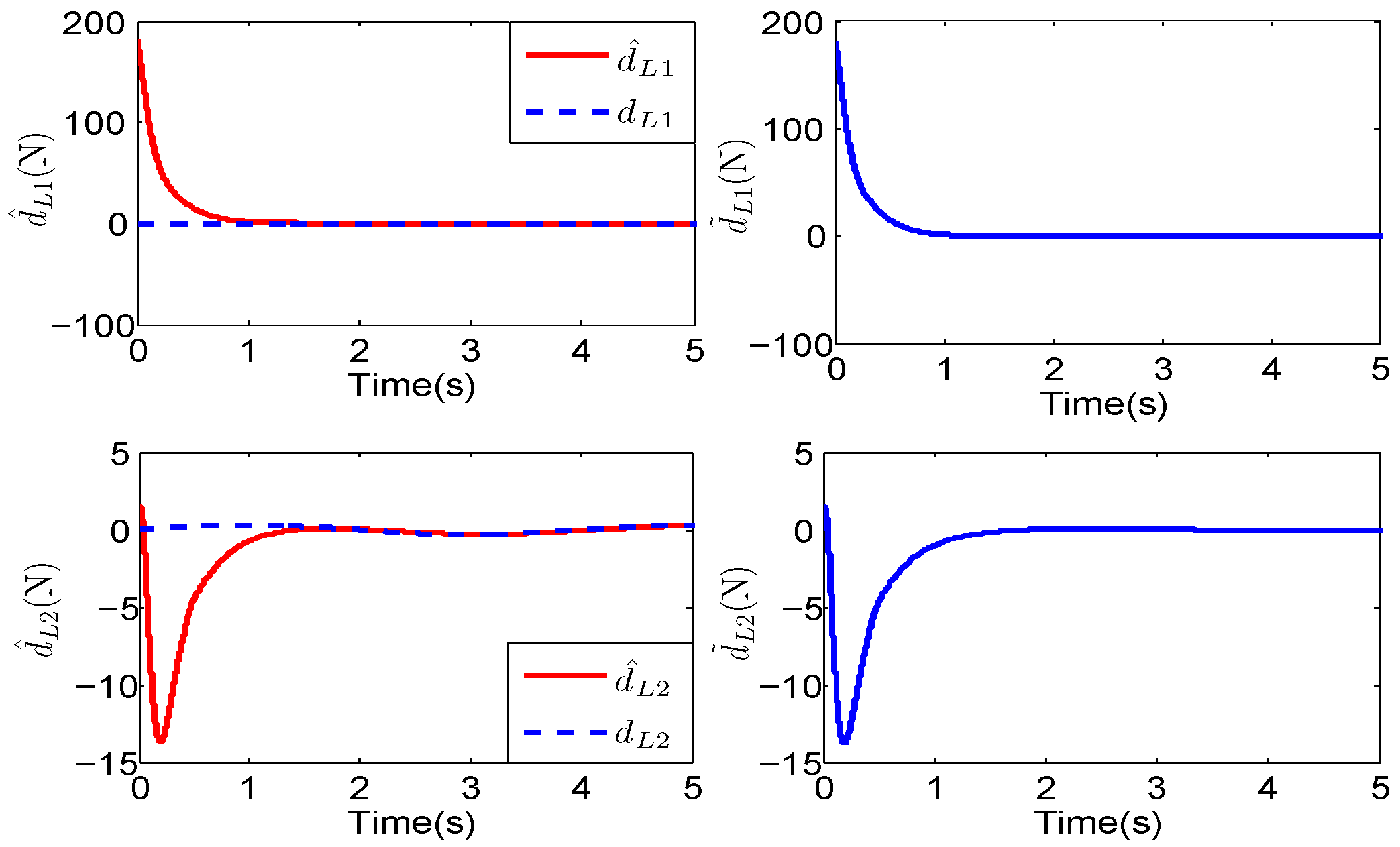
4.1. Simulation Verification of the Two Nodes
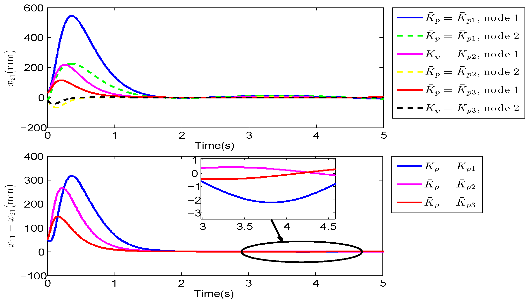
4.2. Comparison with Different State-Feedback Matrices
5. Experimental Verification
5.1. Experimental Verification of Two Nodes
5.2. Experimental Comparison Results
6. Conclusions
Author Contributions
Funding
Conflicts of Interest
Nomenclature
| Discharge coefficient of the servo valve | |
| w | Area gradient of the servo valve |
| , | Supply pressure and return pressure |
| Load pressure of the hydraulic cylinder | |
| Density of the hydraulic oil | |
| Total leakage coefficient of the hydraulic cylinder | |
| Effective bulk modulus | |
| Annulus area of the hydraulic cylinder chamber | |
| Total volume of the hydraulic power mechanism | |
| K | Spring stiffness coefficient of the hydraulic cylinder |
| m, b | Load mass and viscous damping coefficients |
| External load of the electrohydraulic system | |
| , u | Gain and control voltage of the servo valve |
| ⊗ | Kronecker product for the matrix |
| Identity matrix with n orders |
References
- Yang, Y.; Ma, L.; Huang, D. Development and repetitive learning control of lower limb exoskeleton driven by electro-hydraulic actuators. IEEE Trans. Ind. Electron. 2017, 64, 4169–4178. [Google Scholar] [CrossRef]
- Chen, G.; Wang, J.; Wang, S.; Zhao, J.; Shen, W. Compliance control for a hydraulic bouncing system. ISA Trans. 2018, 79, 232–238. [Google Scholar] [CrossRef] [PubMed]
- Semini, C.; Barasuol, V.; Goldsmith, J.; Frigerio, M.; Focchi, M.; Gao, Y.; Caldwell, D.G. Design of the hydraulically actuated, torque-controlled quadruped robot HyQ2Max. IEEE/ASME Trans. Mechatronics 2017, 22, 635–646. [Google Scholar] [CrossRef]
- Koivumäki, J.; Mattila, J. Stability-guaranteed impedance control of hydraulic robotic manipulators. IEEE/ASME Trans. Mechatronics 2017, 22, 601–612. [Google Scholar] [CrossRef]
- Shen, G.; Zhu, Z.; Zhao, J.; Zhu, W.; Tang, Y.; Li, X. Real-time tracking control of electro-hydraulic force servo systems using offline feedback control and adaptive control. ISA Trans. 2017, 67, 356–370. [Google Scholar] [CrossRef]
- Guo, Q.; Chen, Z.; Shi, Y.; Yan, Y.; Guo, F. Synchronous control of multiple electrohydraulic actuators under distributed switching topologies with lumped uncertainty. J. Franklin Inst. 2022, 359, 4288–4306. [Google Scholar] [CrossRef]
- Yao, J.; Deng, W.; Sun, W. Precision motion control for electro-hydraulic servo systems with noise alleviation: A desired compensation adaptive approach. IEEE/ASME Trans. Mechatronics 2017, 22, 1859–1868. [Google Scholar] [CrossRef]
- Tran, D.T.; Ba, D.X.; Ahn, K.K. Adaptive backstepping sliding mode control for equilibrium position tracking of an electrohydraulic elastic manipulator. IEEE Trans. Ind. Electron. 2020, 67, 3860–3869. [Google Scholar] [CrossRef]
- Guo, Q.; Zuo, Z.; Ding, Z. Parametric adaptive control of single-rod electrohydraulic system with block-strict-feedback model. Automatica 2020, 113, 108807. [Google Scholar] [CrossRef]
- Yang, C.; Jiang, Y.; Li, Z.; He, W.; Su, C.Y. Neural control of bimanual robots with guaranteed global stability and motion precision. IEEE Trans. Ind. Informat. 2017, 13, 1162–1171. [Google Scholar] [CrossRef]
- Kim, W.; Shin, D.; Won, D.; Chung, C.C. Disturbance-observer-based position tracking controller in the presence of biased sinusoidal disturbance for Electrohydraulic actuators. IEEE Trans. Control Syst. Technol. 2013, 21, 2290–2298. [Google Scholar] [CrossRef]
- Guo, Q.; Chen, Z. Neural adaptive control of single-rod electrohydraulic system with lumped uncertainty. Mech. Syst. Signal Proc. 2021, 146, 106869. [Google Scholar] [CrossRef]
- Li, S.; Wei, J.; Guo, K.; Zhu, W. Nonlinear robust prediction control of hybrid active-passive heave compensator with extended disturbance observer. IEEE Trans. Ind. Electron. 2017, 64, 6684–6694. [Google Scholar] [CrossRef]
- He, W.; Meng, T.; Huang, D.; Li, X. Adaptive boundary iterative learning control for an Euler-Bernoulli beam system with input constraint. IEEE Trans. Neural Netw. Learn. Syst. 2018, 29, 1539–1549. [Google Scholar] [CrossRef] [PubMed]
- Guo, Q.; Zhang, Y.; Celler, B.G.; Su, S.W. Neural adaptive backstepping control of a robotic manipulator with prescribed performance constraint. IEEE Trans. Neural Netw. Learn. Syst. 2019, 30, 3572–3583. [Google Scholar] [CrossRef] [PubMed]
- Zheng, D.; Xu, H. Adaptive backstepping-flatness control based on an adaptive state observer for a torque tracking electrohydraulic system. IEEE/ASME Trans. Mechatronics 2016, 21, 2440–2452. [Google Scholar] [CrossRef]
- Wang, N.; Xu, L.; Xie, F.; Shi, Y.; Wang, Y. Research on the dynamic characteristics of pneumatic proportional regulator in pneumatic-loading system and design of fuzzy adaptive controller. Sci. China Technol. Sci. 2022, 65, 956–965. [Google Scholar] [CrossRef]
- Ning, F.; Shi, Y.; Cai, Y.; Xu, W. Research and application progress of data mining technology in electric power system. J. Adv. Mfg. Sci. Technol. 2021, 1, 2021007. [Google Scholar] [CrossRef]
- Yao, J.; Di, D.; Jiang, G.; Gao, S.; Yan, H. Real-time acceleration harmonics estimation for an electro-hydraulic servo shaking table using Kalman Filter with a linear model. IEEE Trans. Control Syst. Technol. 2014, 22, 794–800. [Google Scholar] [CrossRef]
- Yang, C.; Qu, Z.; Han, J. Decoupled-space control and experimental evaluation of spatial electrohydraulic robotic manipulators using singular value decomposition algorithms. IEEE Trans. Ind. Electron. 2014, 61, 3427–3438. [Google Scholar] [CrossRef]
- Jafari, M.; Xu, H. A biologically-inspired intelligent controller for distributed velocity control of multiple electro-Hydraulic servo-systems. In Proceedings of the Symposium Series on Computational Intelligence, Honolulu, HI, USA, 27 November–1 December 2017. [Google Scholar]
- Cao, Y.; Yu, W.; Ren, W.; Chen, G. An overview of recent progress in the study of distributed multi-agent coordination. IEEE Trans. Autom. Control 2013, 9, 427–438. [Google Scholar] [CrossRef]
- Lawton, J.R.; Beard, R.W. Synchronized multiple spacecraft rotations. Automatica 2002, 38, 1359–1364. [Google Scholar] [CrossRef]
- Olfati-Saber, R.; Shamma, J.S. Consensus filters for sensor networks and distributed sensor fusion. In Proceedings of the IEEE Conference Decision Control & European Control Conference, Seville, Spain, 12–15 December 2015; pp. 6698–6703. [Google Scholar]
- Ren, W.; Beard, R.W. Information consensus in multivehicle cooperative control. IEEE Control Syst. Mag. 2007, 27, 71–82. [Google Scholar]
- Fax, J.A.; Murray, R.M. Information flow and cooperative control of vehicle formations. IEEE Trans. Autom. Control 2004, 49, 115–120. [Google Scholar] [CrossRef]
- Su, H.; Wang, X.; Lin, Z. Flocking of multi-agents with a virtual leader. IEEE Trans. Autom. Control 2009, 54, 293–307. [Google Scholar] [CrossRef]
- Olfati-Saber, R.; Fax, J.A.; Murray, R.M. Consensus and cooperation in networked multi-agent systems. Proc. IEEE 2007, 95, 215–233. [Google Scholar] [CrossRef]
- Hong, Y.; Hu, J.; Gao, L. Tracking control for multi-agent consensus with an active leader and variable topology. Automatica 2006, 42, 1177–1182. [Google Scholar] [CrossRef]
- Li, Z.; Liu, X.; Ren, W.; Xie, L. Consensus control of linear multi-agent systems with distributed adaptive protocols. In Proceedings of the American Control Conference, Montreal, QC, Canada, 27–29 June 2012; pp. 1573–1578. [Google Scholar]
- Li, Z.; Ren, W.; Liu, X. Consensus of multi-agent systems with general linear and lipschitz nonlinear dynamics using distributed adaptive protocols. IEEE Trans. Autom. Control 2013, 58, 1786–1791. [Google Scholar] [CrossRef]
- Zhang, H.; Lewis, F.L. Adaptive cooperative tracking control of higher-order nonlinear systems with unknown dynamics. Automatica 2012, 48, 1432–1439. [Google Scholar] [CrossRef]
- Wen, G.; Duan, Z.; Yu, W.; Chen, G. Consensus of multi-agent systems with nonlinear dynamics and sampled-data information: A delayed-input approach. Int. J. Robust Nonlin. 2013, 23, 602–619. [Google Scholar] [CrossRef]
- Zuo, Z.; Lin, T. A new class of finite-time nonlinear consensus protocols for multi-agent systems. Int. J. Control Autom. 2014, 87, 363–370. [Google Scholar] [CrossRef]
- Ma, C.; Zhang, J. Necessary and sufficient conditions for consensusability of linear multi-agent systems. IEEE Trans. Autom. Control 2010, 55, 1263–1268. [Google Scholar]
- Yu, W.; Lewis, F.L. Some necessary and sufficient conditions for second-order consensus in multi-agent dynamical systems. Automatica 2010, 46, 1089–1095. [Google Scholar] [CrossRef]
- Lin, P.; Jia, Y. Average consensus in networks of multi-agents with both switching topology and coupling time-delay. Physica A 2008, 387, 303–313. [Google Scholar] [CrossRef]
- Xiao, F.; Wang, L. Asynchronous consensus in continuous-time multi-agent systems with switching topology and time-varying delays. IEEE Trans. Autom. Control 2008, 53, 1804–1816. [Google Scholar] [CrossRef]
- Wei, N.; Cheng, D. Leader-following consensus of multi-agent systems under fixed and switching topologies. Syst. Control. Lett. 2010, 59, 209–217. [Google Scholar]
- Wen, G.; Duan, Z.; Ren, W.; Chen, G. Distributed consensus of multi-agent systems with general linear node dynamics and intermittent communications. Int. J. Robust Nonlin. 2014, 24, 2438–2457. [Google Scholar] [CrossRef]
- Seo, J.; Shim, H.; Back, J. Consensus of high-order linear systems using dynamic output feedback compensator: Low gain approach. Automatica 2009, 45, 2659–2664. [Google Scholar] [CrossRef]
- Li, Z.; Duan, Z.; Chen, G.; Huang, L. Consensus of multiagent systems and synchronization of complex networks: A unified viewpoint. IEEE Trans. Circuits I 2010, 57, 213–224. [Google Scholar]
- Li, Z.; Liu, X.; Lin, P.; Ren, W. Consensus of linear multi-agent systems with reduced-order observer-based protocols. Syst. Control. Lett. 2011, 60, 510–516. [Google Scholar] [CrossRef]
- Li, Z.; Wen, G.; Duan, Z.; Ren, W. Designing fully distributed consensus protocols for linear multi-agent systems with directed graphs. IEEE Trans. Autom. Control 2015, 60, 1152–1157. [Google Scholar] [CrossRef]
- Su, H.; Chen, G.; Wang, X.; Lin, Z. Adaptive second-order consensus of networked mobile agents with nonlinear dynamics. Automatica 2011, 47, 368–375. [Google Scholar] [CrossRef]
- Guo, Q.; Chen, Z.; Shi, Y.; Li, X.; Yan, Y.; Guo, F.; Li, S. Synchronous control for multiple electrohydraulic actuators with feedback linearization. Mech. Syst. Signal Proc. 2022, 178, 109280. [Google Scholar] [CrossRef]
- Merritt, H. Hydraulic Control Systems; John Wiley & Sons: New York, NY, USA, 1967. [Google Scholar]
- Khalil, H.K. Nonlinear Systems, 3rd ed.; Prentice Hall: Upper Saddle River, NJ, USA, 2002. [Google Scholar]
- Ren, W.; Beard, R.W. Distributed Consensus in Multi-Vehicle Cooperative Control Theory and Applications; Springer: London, UK, 2008. [Google Scholar]














Publisher’s Note: MDPI stays neutral with regard to jurisdictional claims in published maps and institutional affiliations. |
© 2022 by the authors. Licensee MDPI, Basel, Switzerland. This article is an open access article distributed under the terms and conditions of the Creative Commons Attribution (CC BY) license (https://creativecommons.org/licenses/by/4.0/).
Share and Cite
Qi, J.; Guo, Q.; Ren, H.; Chen, Z.; Yan, Y.; Jiang, D. Control Synchronization Design of a Multiple Electrohydraulic Actuator System with Linearization Dynamics and an External Disturbance Observer. Electronics 2022, 11, 3925. https://doi.org/10.3390/electronics11233925
Qi J, Guo Q, Ren H, Chen Z, Yan Y, Jiang D. Control Synchronization Design of a Multiple Electrohydraulic Actuator System with Linearization Dynamics and an External Disturbance Observer. Electronics. 2022; 11(23):3925. https://doi.org/10.3390/electronics11233925
Chicago/Turabian StyleQi, Jun, Qing Guo, Hualong Ren, Zhenlei Chen, Yao Yan, and Dan Jiang. 2022. "Control Synchronization Design of a Multiple Electrohydraulic Actuator System with Linearization Dynamics and an External Disturbance Observer" Electronics 11, no. 23: 3925. https://doi.org/10.3390/electronics11233925
APA StyleQi, J., Guo, Q., Ren, H., Chen, Z., Yan, Y., & Jiang, D. (2022). Control Synchronization Design of a Multiple Electrohydraulic Actuator System with Linearization Dynamics and an External Disturbance Observer. Electronics, 11(23), 3925. https://doi.org/10.3390/electronics11233925

