An Improved Nonlinear Tuna Swarm Optimization Algorithm Based on Circle Chaos Map and Levy Flight Operator
Abstract
1. Introduction
- (1)
- At the CLTSO initialization stage, this paper introduces the Circle chaotic map to uniformly generate individual positions. Because the initial positions of tuna individuals are randomly generated, the initial tuna individuals are likely to cluster together. In this paper, the emergence of the initial individual aggregation problem can be effectively solved by introducing the Circle chaotic map.
- (2)
- In CLTSO, the optimal individual and its follower positions are updated by using Levy flight strategy. Because Levy flight uses a combination of long and short steps, it can significantly enlarge the search scope of CLTSO.
- (3)
- In the iterative process of CLTSO, a nonlinear convergence factor is introduced to balance the exploration and the exploitation. In CLTSO, a large convergence factor in the initial iteration can bring the common individuals closer to the optimal individuals. A smaller convergence factor at the end of iteration increases the capability of followers to explore local scope.
2. An Overview of Tuna Optimization Algorithms
2.1. Population Initialization
2.2. Parabolic Foraging Strategy
2.3. Spiral Foraging Strategy
2.4. Pseudocode of TSO
| Algorithm 1 Pseudocode of TSO Algorithm |
| Initialization: Set parameters NP, Dim, a, z and Initialize the position of tuna Xi (i = 1, 2, …, NP) by (1) Counter t = 0 while do Calculate the fitness value of all tuna Update the position and value of the best tuna for (each tuna) do Update , , p by (5), (6), (3) if (rand < z) then Update by (1) else if (rand z) then if (rand < 0.5) then Update by (4) else if (rand 0.5) then Update by (2) t = t + 1 return the best fitness value f () and the best tuna |
3. The Improved Tuna Swarm Optimization Algorithm
3.1. Circle Chaotic Map
3.2. Levy Flight
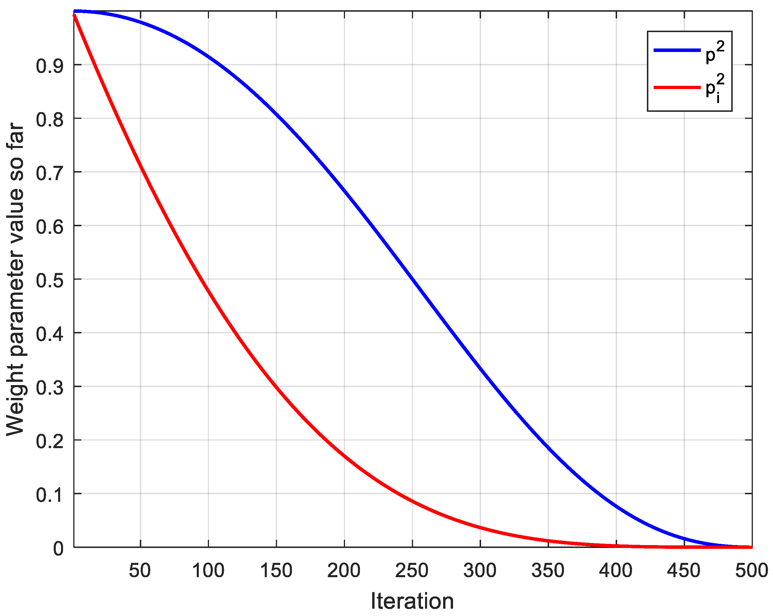
3.3. Nonlinear Adaptive Weight
3.4. Improved Nonlinear Tuna Swarm Optimization Algorithm Based on Circular Chaotic Map and Levy Flight Operator
| Algorithm 2 Pseudocode of CLTSO Algorithm |
| Initialization:Set parametersNP, Dim, a, z and . Initialize the position of tuna Xi (i = 1, 2, …, NP) by (10) Counter t = 0 while T < do Calculate the fitness value of all tuna Update the position and value of the best tuna for (each tuna) do Update , , by (20), (21), (22) if (rand < z) then Update by (10) else if (rand z) then if (rand < 0.5) then Update by (23) else if (rand 0.5) then Update by (25) t = t + 1 return the best fitness value f () and the best tuna |
3.5. Time Complexity Analysis
- Initialize individuals in the TSO, each with a dimension of , so calculations are required.
- Calculate the fitness value of each individual in the tuna population and select the optimal individual in the current population. Therefore, it needs to calculate times.
- Update the values of parameters , , and , which are computed 3 times.
- Update all tuna individuals in the search space, which are computed times.
- Return the best individual, , in the tuna population, which requires this code to be executed 1 time.
- 1.
- Initialize individuals in the CLTSO, each with a dimension of , so calculations are required.
- 2.
- Calculate the fitness value of each individual in the tuna population and select the optimal individual in the current population. Therefore, it needs to be calculated times.
- 3.
- Update the values of parameters , , and , which needs to be calculated 3 times.
- 4.
- Update all tuna individuals in the search space, which needs to be calculated times.
- 5.
- When each individual in the tuna population is updated, the Levy operator needs to be calculated 1 time. Therefore, it needs to be run N times in total.
- 6.
- Return the best individual, , in the tuna population, which requires this code to be executed 1 time.
4. Simulation Experiments and Results Analysis
4.1. Benchmark Function
4.2. Comparison Algorithm and Parameter Setting
4.3. Results and Analysis
4.4. Effectiveness Analysis of Improved Operators
5. Optimization Engineering Example Using CLTSO
6. Conclusions
Author Contributions
Funding
Institutional Review Board Statement
Informed Consent Statement
Data Availability Statement
Conflicts of Interest
References
- Narendra, P.M.; Fukunaga, K. A branch and bound algorithm for feature subsets election. IEEE Trans Comput. 1977, 26, 917–922. [Google Scholar] [CrossRef]
- Wu, G.; Pedrycz, W.; Suganthan, P.N.; Mallipeddi, R. A variable reduction strategy for evolutionary algorithms handling equality constraints. Appl. Soft Comput. J. 2015, 37, 774–786. [Google Scholar] [CrossRef]
- Zhang, H.; Cui, L.; Zhang, X.; Luo, Y. Data-driven robust approximate optimal tracking control for unknown general non-linear systems using adaptive dynamic programming method. IEEE Trans. Neural Netw. 2011, 22, 2226–2236. [Google Scholar] [CrossRef]
- Slowik, A.; Halina, K. Nature inspired methods and their industry applications—Swarm intelligence algorithms. IEEE Trans. Ind. Inform. 2017, 14, 1004–1015. [Google Scholar] [CrossRef]
- Chakraborty, A.; Kar, A.K. Swarm intelligence: A review of algorithms. Nat.-Inspir. Comput. Optim. 2017, 10, 475–494. [Google Scholar]
- Liu, W.; Dridi, M.; Fei, H.; el Hassani, A.H. Hybrid metaheuristics for solving a home health care routing and scheduling problem with time windows, synchronized visits and lunch breaks. Expert Syst. Appl. 2021, 183, 115307. [Google Scholar] [CrossRef]
- Wang, X.; Zhao, H.; Han, T.; Zhou, H.; Li, C. A grey wolf optimizer using Gaussian estimation of distribution and its application in the multi-UAV multi-target urban tracking problem. Appl. Soft Comput. 2019, 78, 240–260. [Google Scholar] [CrossRef]
- Wang, Y.-G. A maximum-likelihood method for estimating natural mortality and catchability coefficient from catch-and-effort data. Mar. Freshw. Res. 1999, 50, 307–311. [Google Scholar] [CrossRef]
- Wu, J.; Ding, Z. Improved grey model by dragonfly algorithm for Chinese tourism demand forecasting. In Proceedings of the 33rd International Conference on Industrial, Engineering and Other Applications of Applied Intelligent Systems, Kitakyushu, Japan, 22–25 September 2020. [Google Scholar]
- Wu, J.; Cui, Z.; Chen, Y.; Kong, D.; Wang, Y.-G. A new hybrid model to predict the electrical load in five states of Australia. Energy 2019, 166, 598–609. [Google Scholar] [CrossRef]
- Webb, B. Swarm Intelligence: From Natural to Artificial Systems. Connect. Sci. 2002, 14, 163–164. [Google Scholar] [CrossRef]
- Kennedy, J. Swarm Intelligence. In Handbook of Nature-Inspired and Innovative Computing; Springer: Berlin/Heidelberg, Germany, 2006; pp. 187–219. [Google Scholar]
- Ashlock, D. Evolutionary Computation for Modeling and Optimization; Springer: New York, NY, USA, 2006; Volume 51, p. 743. [Google Scholar]
- Rao, R.V.; Savsani, V.J.; Vakharia, D.P. Teaching–learning-based optimization: A novel method for constrained mechanical design optimization problems. Comput.-Aided Des. 2011, 43, 303–315. [Google Scholar] [CrossRef]
- Mirjalili, S.; Mirjalili, S.M.; Hatamlou, A. Multi-Verse Optimizer: A nature-inspired algorithm for global optimization. Neural Comput. Appl. 2015, 27, 495–513. [Google Scholar] [CrossRef]
- Chopra, N.; Ansari, M.M. Golden jackal optimization: A novel nature-inspired optimizer for engineering applications. Expert Syst. Appl. 2022, 198, 116924. [Google Scholar] [CrossRef]
- Mirjalili, S.; Mirjalili, S.M.; Lewis, A. Grey wolf optimizer. Adv. Eng. Softw. 2014, 69, 46–61. [Google Scholar] [CrossRef]
- Chen, D.; Ge, Y.; Wan, Y.; Deng, Y.; Chen, Y.; Zou, F. Poplar optimization algorithm: A new meta-heuristic optimization technique for numerical optimization and image segmentation. Expert Syst. Appl. 2022, 200, 1–17. [Google Scholar] [CrossRef]
- Man, K.F.; Tang, K.S.; Kwong, S. Genetic Algorithms. Perspect. Neural Comput. 1989, 83, 55–80. [Google Scholar]
- Simon, D. Biogeography-based optimization. IEEE Trans. Evol. Comput. 2008, 12, 702–713. [Google Scholar] [CrossRef]
- Du, Z.; Li, S.; Sun, Y.; Li, N. Adaptive particle swarm optimization algorithm based on levy flights mechanism. In Proceedings of the 2017 Chinese Automation Congress (CAC), Jinan, China, 20–22 October 2017. [Google Scholar]
- Yu, H.; Yu, Y.; Liu, Y.; Wang, Y.; Gao, S. Chaotic grey wolf optimization. In Proceedings of the 2016 International Conference on Progress in Informatics and Computing (PIC), Beijing, China, 23–26 December 2016; pp. 103–113. [Google Scholar]
- Yuan, X.; Yang, D.; Liu, H. MPPT of PV system under partial shading condition based on adaptive inertia weight particle swarm optimization algorithm. In Proceedings of the 2015 IEEE International Conference on Cyber Technology in Automation, Control, and Intelligent Systems (CYBER), Shenyang, China, 8–12 June 2015; pp. 729–733. [Google Scholar]
- Park, S.; Kim, Y.; Kim, J.; Lee, J. Speeded-up cuckoo search using opposition-based learning. In Proceedings of the 2014 14th International Conference on Control, Automation and Systems (ICCAS 2014), Seoul, Korea, 22–25 October 2014; pp. 535–539. [Google Scholar]
- Hatamlou, A. Black hole: A new heuristic optimization approach for data clustering. Inf. Sci. 2013, 222, 175–184. [Google Scholar] [CrossRef]
- Xie, W.; Wang, J.S.; Tao, Y. Improved Black Hole Algorithm Based on Golden Sine Operator and Levy Flight Operator. IEEE Access 2019, 7, 161459–161486. [Google Scholar] [CrossRef]
- Xie, L.; Han, T.; Zhou, H.; Zhang, Z.-R.; Han, B.; Tang, A. Tuna Swarm Optimization: A Novel Swarm-Based Metaheuristic Algorithm for Global Optimization. Comput. Intell. Neurosci. 2021, 2021, 9210050. [Google Scholar] [CrossRef]
- Mirjalili, S.; Lewis, A. The whale optimization algorithm. Adv. Eng. Softw. 2016, 95, 51–67. [Google Scholar] [CrossRef]
- Mirjalili, S.; Gandomi, A.H.; Mirjalili, S.Z.; Saremi, S.; Faris, H.; Mirjalili, S.M. Salp Swarm Algorithm: A bio-inspired optimizer for engineering design problems. Adv. Eng. Softw. 2017, 114, 163–191. [Google Scholar] [CrossRef]
- Hu, D.; Yang, S. Improved Tuna Algorithm to Optimize ELM Model for PV Power Prediction. J. Wuhan Univ. Technol. 2022, 44, 97–104. [Google Scholar]
- Kumar, C.; Mary, D.M. A novel chaotic-driven Tuna Swarm Optimizer with Newton-Raphson method for parameter identification of three-diode equivalent circuit model of solar photovoltaic cells/modules. Optik 2022, 264, 169379. [Google Scholar] [CrossRef]
- Arora, S.; Anand, P. Chaotic grasshopper optimization algorithm for global optimization. Neural Comput. Appl. 2019, 31, 4385–4405. [Google Scholar] [CrossRef]
- Guangyuan, P.; Junfei, Q.; Honggui, H. A new strategy of chaotic PSO and its application in optimization design for pipe network. In Proceedings of the 32nd Chinese Control Conference, Xi’an, China, 26–28 July 2013; pp. 8022–8027. [Google Scholar]
- Pluhacek, M.; Senkerik, R.; Zelinka, I.; Davendra, D. Designing PID Controllers by Means of PSO Algorithm Enhanced by Various Chaotic Maps. In Proceedings of the 2013 8th EUROSIM Congress on Modelling and Simulation, Cardiff, UK, 10–13 September 2013; pp. 19–23. [Google Scholar]
- Zhao, J. Chaotic particle swarm optimization algorithm based on tent mapping for dynamic origin-destination matrix estimation. In Proceedings of the 2011 International Conference on Electric Information and Control Engineering, Wuhan, China, 15–17 April 2011; pp. 221–224. [Google Scholar]
- Zhang, J.; Zhu, Y.; Zhu, H.; Cheng, J. Some improvements to logistic map for chaotic signal generator. In Proceedings of the 2017 3rd IEEE International Conference on Computer and Communications (ICCC), Chengdu, China, 13–16 December 2017; pp. 1090–1093. [Google Scholar]
- Li, M.; Sun, X.; Li, W.; Wang, Y. Improved Chaotic Particle Swarm Optimization using circle map for training SVM. In Proceedings of the 2009 Fourth International on Conference on Bio-Inspired Computing, Beijing, China, 16–19 October 2009; pp. 1–7. [Google Scholar]
- Vasuyta, K.; Zakharchenko, I. Modified discrete chaotic map bas-ed on Chebyshev polynomial. In Proceedings of the 2016 Third International Scientific-Practical Conference Problems of Info communications Science and Technology (PIC S&T), Kharkov, Ukraine, 4–6 October 2016; pp. 217–219. [Google Scholar]
- Jiteurtragool, N.; Ketthong, P.; Wannaboon, C.; San-Um, W. A topologically simple keyed hash function based on circular chaotic sinusoidal map network. In Proceedings of the 2013 15th International Conference on Advanced Communications Technology (ICACT), Seoul, Korea, 27–30 January 2013; pp. 1089–1094. [Google Scholar]
- Petavratzis, E.; Moysis, L.; Volos, C.; Nistazakis, H.; Muñoz-Pacheco, J.M.; Stouboulos, I. Motion Control of a Mobile Robot Based on a Chaotic Iterative Map. In Proceedings of the 2020 9th International Conference on Modern Circuits and Systems Technologies (MOCAST), Pradesh, India, 7–9 September 2020; pp. 1–4. [Google Scholar]
- Zhang, D.M.; Xu, H.; Wang, Y.R.; Song, T.; Wang. Whale optimization algorithm for embedded circle mapping and one-dimensional oppositional learning based small hole imaging. Control. Decis. 2021, 36, 1173–1180. [Google Scholar]
- Song, L.; Chen, W.; Chen, W.; Lin, Y.; Sun, X. Improvement and application of sparrow search algorithm based on hybrid strategy. J. Beijing Univ. Aeronaut. Astronaut. 2021, 1, 1–16. [Google Scholar]
- Viswanathan, G.M.; Afanasyev, V.; Buldyrev, S.V.; Havlin, S.; Da Luz, M.G.E.; Raposo, E.P.; Stanley, H.E. Levy fights search patterns of biological organisms. Phys. A Stat. Mech. Its Appl. 2001, 295, 85–88. [Google Scholar] [CrossRef]
- Biagini, F.; Hu, Y.; Øksendal, B.; Zhang, T. Stochastic Optimal Control and Applications. In Stochastic Calculus for Fractional Brownian Motion and Applications; Springer: London, UK, 2008. [Google Scholar]
- Yan, X.F.; Ye, D.Y. An improved flora foraging algorithm based on Levy flight. Comput. Syst. Appl. 2015, 24, 124–132. [Google Scholar]
- Haklı, H.; Uğuz, H. A novel particle swarm optimization algorithm with Levy flight. Appl. Soft Comput. 2014, 23, 333–345. [Google Scholar] [CrossRef]
- Liu, C.; Ye, C. Bat algorithm with Levy flight characteristics. Chin. J. Intell. Syst. 2013, 8, 240–246. [Google Scholar]
- Mantegna, R.N. Fast accurate algorithm for numerical simulation of Lévy stable stochastic processes. Phys. Rev. 1994, 49, 4677–4689. [Google Scholar] [CrossRef] [PubMed]
- Zhang, J.; Wang, J.S. Improved Whale Optimization Algorithm Based on Nonlinear Adaptive Weight and Golden Sine Operator. IEEE Access. 2020, 8, 77013–77048. [Google Scholar] [CrossRef]
- Zhang, J.; Wang, J.S. Improved Salp Swarm Algorithm Based on Levy Flight and Sine Cosine Operator. IEEE Access. 2020, 8, 99740–99771. [Google Scholar] [CrossRef]
- Aloui, M.; Hamidi, F. A Chaotic Krill Herd Optimization Algorithm for Global Numerical Estimation of the Attraction. Domain Nonlinear Syst. 2021, 9, 1743. [Google Scholar]
- Liang, J.J.; Qu, B.Y.; Suganthan, P.N. Problem Definitions and Evaluation Criteria for the CEC 2014 Special Session and Competition on Single Objective Real-Parameter Numerical Optimization; Technical Report; Computational Intelligence Laboratory, Zhengzhou University: Zhengzhou, China, 2013; p. 201311. [Google Scholar]
- Reddy, R.B.; Uttara, K.M. Performance Analysis of Mimo Radar Waveform Using Accelerated Particle Swarm Optimization Algorithm. Signal Image Process. 2012, 3, 4. [Google Scholar] [CrossRef]
- Guvenc, U.; Duman, S.; Kahraman, H.T.; Aras, S.; Katı, M. Fitness-Distance Balance based adaptive guided differential evolution algorithm for security-constrained optimal power flow problem incorporating renewable energy sources. Appl. Soft Comput. 2021, 108, 107421. [Google Scholar] [CrossRef]
- Hansen, N.; Müller, S.D.; Koumoutsakos, P. Reducing the time complexity of the derandomized evolution strategy with covariance matrix adaptation (CMA-ES). Evol. Comput. 2003, 11, 1–18. [Google Scholar] [CrossRef]
- García, S.; Molina, D.; Lozano, M.; Herrera, F. A study on the use of non-parametric tests for analyzing the evolutionary algorithms’ behaviour: A case study on the CEC’2005 special session on real parameter optimization. J. Heuristics 2008, 15, 617. [Google Scholar] [CrossRef]











| Symbol | Meaning |
|---|---|
| Tuna individual in TSO | |
| The upper boundary of the search space of TSO | |
| The lower boundary of the search space of TSO | |
| Population size of TSO | |
| Distance parameter | |
| Weight parameters of tuna following the best individual | |
| Weight parameters of tuna following the front individual | |
| Weight parameters in parabolic foraging strategy | |
| The step length of Levy flight | |
| Current number of iterations of the algorithm | |
| Maximum number of iterations of the algorithm | |
| Improved version of | |
| Improved version of | |
| Improved version of |
| Function | Dim | Range | |
|---|---|---|---|
| 30,100 | [−100, 100] | 0 | |
| 30,100 | [−10, 10] | 0 | |
| 30,100 | [−100, 100] | 0 | |
| 30,100 | [−100, 100] | 0 | |
| 30,100 | [−30, 30] | 0 | |
| 30,100 | [−100, 100] | 0 | |
| 30,100 | [−1.28, 1.28] | 0 | |
| 30,100 | [−500, 500] | −418. 9829 × D | |
| 30,100 | [−5.12, 5.12] | 0 | |
| 30,100 | [−32, 32] | 8.8818 × 10-16 | |
| 30,100 | [−600, 600] | 0 | |
| 30,100 | [−50, 50] | 0 | |
| 30,100 | [−50, 50] | 0 | |
| 2 | [−65.53, 65.53] | 0.998004 | |
| 50 | [−100, 100] | 100 | |
| 50 | [−100, 100] | 200 | |
| 50 | [−100, 100] | 300 | |
| 50 | [−100, 100] | 500 | |
| 50 | [−100, 100] | 1800 | |
| 50 | [−100, 100] | 2000 | |
| 50 | [−100, 100] | 2100 | |
| 50 | [−100, 100] | 3000 |
| Algorithm | Parameter Value |
|---|---|
| APSO | |
| WOA | |
| FDB-AGDE | |
| CMA-ES | |
| TSO | |
| CLTSO | |
| CTSO | |
| LTSO |
| Function | Performance | APSO | WOA | FDB-AGDE | CMA-ES | TSO | CLTSO |
|---|---|---|---|---|---|---|---|
| Mean | 5.09 × 10−39 | 4.82 × 10−150 | 1.23 × 10−8 | 5.99 × 10−15 | 0 | 0 | |
| Std | 1.05 × 10−39 | 2.59 × 10−149 | 1.34 × 101 | 3.94 × 10−15 | 0 | 0 | |
| Mean | 4.38 × 10−1 | 8.02 × 10−103 | 4.49 × 10−6 | 1.83 × 10−7 | 1.71 × 10−252 | 0 | |
| Std | 5.79 × 10−1 | 3.63 × 10−102 | 5.61 × 101 | 4.53 × 10−8 | 0 | 0 | |
| Mean | 1.32 × 101 | 2.01 × 104 | 1.08 × 10−96 | 6.14 × 10−6 | 0 | 0 | |
| Std | 4.84 × 100 | 9.41 × 103 | 6.35 × 104 | 1.16 × 10−5 | 0 | 0 | |
| Mean | 4.96 × 10−1 | 3.61 × 101 | 1.64 × 100 | 8.37 × 10−6 | 6.42 × 10−249 | 0 | |
| Std | 1.75 × 10−1 | 2.69 × 101 | 1.45 × 101 | 2.29 × 10−6 | 0 | 0 | |
| Mean | 5.02 × 101 | 2.72 × 101 | 1.50 × 102 | 6.64 × 101 | 2.94 × 10−4 | 2.12 × 10−4 | |
| Std | 4.56 × 101 | 4.96 × 10−1 | 1.14 × 102 | 1.52 × 102 | 7.65 × 10−1 | 3.82 × 10−5 | |
| Mean | 4.01 × 10−32 | 8.72 × 10−2 | 1.09 × 10−8 | 6.59 × 10−15 | 1.37 × 10−9 | 2.04 × 10−10 | |
| Std | 1.60 × 10−32 | 9.95 × 10−2 | 1.33 × 101 | 3.44 × 10−15 | 8.89 × 10−6 | 2.40 × 10−10 | |
| Mean | 1.54 × 10−1 | 1.53 × 10−3 | 2.36 × 10−2 | 2.44 × 10−2 | 2.16 × 10−5 | 1.81 × 10−5 | |
| Std | 2.03 × 10−2 | 2.05 × 10−3 | 9.40 × 100 | 6.71 × 10−3 | 2.19 × 10−4 | 6.32 × 10−5 | |
| Mean | –1.09 × 102 | –1.16 × 104 | –1.26 × 104 | –4.41 × 1011 | –8.38 × 102 | –1.26 × 104 | |
| Std | 3.25 × 100 | 1.50 × 103 | 3.32 × 10−1 | 2.34 × 1012 | 1.17 × 104 | 6.00 × 10−8 | |
| Mean | 7.42 × 101 | 0 | 3.11 × 101 | 5.60 × 101 | 0 | 0 | |
| Std | 5.96 × 100 | 0 | 1.62 × 101 | 6.32 × 101 | 0 | 0 | |
| Mean | 5.36 × 10−1 | 4.56 × 10−15 | 6.78 × 10−7 | 7.01 × 10−1 | 8.88 × 10−16 | 8.88 × 10−16 | |
| Std | 5.28 × 10−1 | 2.15 × 10−15 | 3.73 × 10−1 | 3.78 × 100 | 8.29 × 10−16 | 0 | |
| Mean | 8.49 × 10−3 | 1.61 × 10−3 | 2.85 × 10−7 | 3.29 × 10−4 | 0 | 0 | |
| Std | 1.67 × 10−2 | 8.69 × 10−3 | 1.64 × 101 | 1.77 × 10−3 | 0 | 0 | |
| Mean | 1.08 × 10−1 | 6.17 × 10−3 | 1.74 × 10−25 | 2.01 × 10−15 | 2.65 × 10−10 | 6.75 × 10−14 | |
| Std | 1.21 × 10−1 | 6.67 × 10−3 | 2.01 × 101 | 1.14 × 10−15 | 1.14 × 10−7 | 3.87 × 10−11 | |
| Mean | 2.38 × 10−3 | 3.11 × 10−1 | 1.87 × 10−19 | 3.77 × 10−14 | 5.12 × 10−8 | 1.24 × 10−9 | |
| Std | 4.42 × 10−3 | 2.72 × 10−1 | 1.54 × 101 | 3.15 × 10−14 | 2.84 × 10−3 | 3.77 × 10−9 | |
| Mean | 1.27 × 101 | 2.27 × 100 | 9.98 × 10−1 | 7.65 × 100 | 9.98 × 10−1 | 9.98 × 10−1 | |
| Std | 1.12 × 10−13 | 2.91 × 100 | 2.71 × 100 | 3.59 × 100 | 9.31 × 10−1 | 2.69 × 10−16 |
| Function | Performance | APSO | WOA | FDB-AGDE | CMA-ES | TSO | CLTSO |
|---|---|---|---|---|---|---|---|
| Mean | 1.84 × 101 | 1.03 × 10−149 | 7.27 × 101 | 1.83 × 10−3 | 0 | 0 | |
| Std | 1.40 × 100 | 4.01 × 10−149 | 1.98 × 101 | 4.15 × 10−4 | 0 | 0 | |
| Mean | 4.13 × 101 | 6.59 × 10−102 | 7.95 × 100 | 2.99 × 10−1 | 8.66 × 10−235 | 0 | |
| Std | 2.74 × 100 | 2.42 × 10−101 | 7.89 × 100 | 1.09 × 10−1 | 0 | 0 | |
| Mean | 2.23 × 102 | 8.92 × 105 | 7.05 × 10−86 | 4.80 × 105 | 0 | 0 | |
| Std | 1.40 × 101 | 2.09 × 105 | 1.05 × 101 | 1.31 × 105 | 0 | 0 | |
| Mean | 2.29 × 100 | 7.06 × 101 | 5.91 × 101 | 1.73 × 100 | 5.52 × 10−229 | 0 | |
| Std | 8.35 × 10−2 | 2.77 × 101 | 6.11 × 100 | 3.03 × 10−1 | 0 | 0 | |
| Mean | 6.22 × 103 | 9.77 × 101 | 1.30 × 105 | 3.59 × 102 | 1.08 × 10−1 | 1.89 × 10−3 | |
| Std | 2.28 × 103 | 4.05 × 10−1 | 9.66 × 105 | 1.49 × 103 | 1.99 × 10−1 | 4.41 × 10−3 | |
| Mean | 2.66 × 101 | 1.76 × 100 | 5.27 × 10−5 | 1.71 × 10−3 | 5.10 × 10−5 | 4.65 × 10−5 | |
| Std | 7.14 × 100 | 6.30 × 10−1 | 1.37 × 101 | 3.09 × 10−4 | 2.37 × 10−2 | 7.68 × 10−5 | |
| Mean | 1.83 × 103 | 1.67 × 10−3 | 2.81 × 10−1 | 1.39 × 10−1 | 2.76 × 10−4 | 1.04 × 10−4 | |
| Std | 6.20 × 102 | 1.19 × 10−3 | 1.37 × 101 | 1.83 × 10−2 | 3.08 × 10−4 | 1.13 × 10−4 | |
| Mean | −2.35 × 102 | −3.73 × 104 | −3.45 × 104 | −1.81 × 105 | −2.79 × 103 | −4.19 × 104 | |
| Std | 9.35 × 100 | 5.59 × 103 | 4.00 × 103 | 3.12 × 104 | 3.91 × 104 | 2.95 × 10−3 | |
| Mean | 4.33 × 102 | 0 | 2.25 × 102 | 6.69 × 102 | 0 | 0 | |
| Std | 2.60 × 101 | 0 | 1.18 × 102 | 1.64 × 102 | 0 | 0 | |
| Mean | 3.58 × 100 | 4.20 × 10−15 | 5.86 × 100 | 9.41 × 10−3 | 8.88 × 10−16 | 8.88 × 10−16 | |
| Std | 3.04 × 10−1 | 2.23 × 10−15 | 4.11 × 100 | 1.04 × 101 | 8.29 × 10−16 | 0 | |
| Mean | 4.39 × 10−1 | 0 | 1.71 × 100 | 3.49 × 10−2 | 0 | 0 | |
| Std | 6.34 × 10−2 | 0 | 1.12 × 101 | 6.78 × 10−3 | 0 | 0 | |
| Mean | 5.46 × 10−1 | 1.80 × 10−2 | 6.02 × 10−3 | 2.12 × 10−4 | 2.49 × 10−8 | 2.78 × 10−9 | |
| Std | 1.09 × 10−1 | 7.22 × 10−3 | 9.60 × 100 | 5.70 × 10−5 | 5.86 × 10−5 | 2.19 × 10−7 | |
| Mean | 8.73 × 100 | 1.65 × 100 | 5.93 × 10−1 | 3.76 × 10−3 | 2.02 × 10−4 | 6.80 × 10−6 | |
| Std | 2.13 × 100 | 7.21 × 10−1 | 1.53 × 101 | 2.83 × 10−3 | 4.38 × 10−3 | 7.14 × 10−6 |
| Function | Performance | APSO | WOA | FDB-AGDE | CMA-ES | TSO | CLTSO |
|---|---|---|---|---|---|---|---|
| Mean | 1.19 × 1010 | 8.85 × 108 | 3.36 × 105 | 1.84 × 107 | 2.22 × 106 | 4.35 × 105 | |
| Std | 3.12 × 107 | 3.34 × 108 | 7.01 × 107 | 3.94 × 106 | 1.21 × 106 | 4.35 × 105 | |
| Mean | 1.65 × 1011 | 7.71 × 1010 | 3.36 × 102 | 2.02 × 104 | 1.00 × 104 | 2.75 × 102 | |
| Std | 3.25 × 108 | 7.86 × 109 | 1.20 × 101 | 5.08 × 104 | 4.94 × 109 | 1.15 × 104 | |
| Mean | 1.99 × 108 | 9.77 × 104 | 7.36 × 102 | 8.33 × 105 | 8.38 × 103 | 3.59 × 102 | |
| Std | 3.10 × 103 | 9.92 × 103 | 1.09 × 101 | 1.18 × 105 | 7.60 × 103 | 3.29 × 101 | |
| Mean | 5.20 × 102 | 5.21 × 102 | 5.21 × 102 | 5.21 × 102 | 5.21 × 102 | 5.20 × 102 | |
| Std | 9.69 × 102 | 8.62 × 10−2 | 1.14 × 101 | 4.43 × 10−2 | 3.13 × 102 | 1.06 × 10−1 | |
| Mean | 1.39 × 109 | 4.83 × 105 | 2.96 × 103 | 5.07 × 104 | 2.27 × 103 | 1.98 × 103 | |
| Std | 1.98 × 104 | 4.22 × 105 | 2.00 × 103 | 2.89 × 104 | 2.91 × 103 | 1.56 × 103 | |
| Mean | 3.17 × 103 | 3.04 × 105 | 3.13 × 103 | 8.77 × 105 | 4.66 × 103 | 2.67 × 103 | |
| Std | 5.98 × 102 | 2.31 × 105 | 1.56 × 101 | 3.70 × 105 | 4.86 × 103 | 2.25 × 102 | |
| Mean | 9.39 × 108 | 1.12 × 107 | 3.56 × 104 | 5.20 × 106 | 4.10 × 104 | 6.27 × 103 | |
| Std | 1.14 × 106 | 5.43 × 106 | 1.05 × 105 | 2.42 × 106 | 2.33 × 105 | 6.06 × 104 | |
| Mean | 3.20 × 103 | 3.79 × 105 | 1.26 × 104 | 4.00 × 103 | 3.20 × 103 | 3.20 × 103 | |
| Std | 7.83 × 10−4 | 2.41 × 105 | 9.53 × 100 | 2.93 × 102 | 1.92 × 103 | 0 |
| Algorithm | Rank Mean |
|---|---|
| CLTSO | 1.39 |
| TSO | 2.48 |
| FDB-AGDE | 3.68 |
| CMA-ES | 4.09 |
| WOA | 4.14 |
| APSO | 5.23 |
| Function | CLTSO vs. WOA | CLTSO vs. APSO | CLTSO vs. FDB-AGDE | CLTSO vs. CMAES | CLTSO vs. TSO |
|---|---|---|---|---|---|
| 1.21 × 10−12 | 1.21 × 10−12 | 7.94 × 10−3 | 1.21 × 10−12 | NaN | |
| 1.21 × 10−12 | 1.21 × 10−12 | 7.94 × 10−3 | 1.21 × 10−12 | 1.21 × 10−12 | |
| 1.21 × 10−12 | 1.21 × 10−12 | 7.94 × 10−3 | 1.21 × 10−12 | NaN | |
| 1.21 × 10−12 | 1.21 × 10−12 | 7.94 × 10−3 | 1.21 × 10−12 | 1.21 × 10−12 | |
| 3.02 × 10−11 | 3.02 × 10−11 | 7.94 × 10−3 | 3.02 × 10−11 | 4.18 × 10−9 | |
| 3.02 × 10−11 | 3.02 × 10−11 | 7.94 × 10−3 | 3.02 × 10−11 | 2.78 × 10−7 | |
| 3.82 × 10−10 | 3.02 × 10−11 | 7.94 × 10−3 | 3.02 × 10−11 | 6.20 × 10−4 | |
| 3.02 × 10−11 | 3.02 × 10−11 | 7.94 × 10−3 | 3.02 × 10−11 | 3.65 × 10−8 | |
| NaN | 1.21 × 10−12 | 7.94 × 10−3 | 1.21 × 10−12 | NaN | |
| 3.06 × 10−9 | 1.21 × 10−12 | 7.94 × 10−3 | 1.21 × 10−12 | NaN | |
| NaN | 1.21 × 10−12 | 7.94 × 10−3 | 1.21 × 10−12 | NaN | |
| 3.02 × 10−11 | 3.02 × 10−11 | 7.94 × 10−3 | 3.02 × 10−11 | 6.53 × 10−8 | |
| 3.02 × 10−11 | 3.02 × 10−11 | 7.94 × 10−3 | 3.02 × 10−11 | 1.69 × 10−9 | |
| 1.57 × 10−11 | 1.39 × 10−4 | NaN | 1.57 × 10−11 | 1.22 × 10−1 | |
| 7.94 × 10−3 | 7.94 × 10−3 | 1.59 × 10−2 | 7.94 × 10−3 | 1.51 × 10−1 | |
| 7.94 × 10−3 | 7.94 × 10−3 | 8.41 × 10−1 | 4.21 × 10−1 | 6.90 × 10−1 | |
| 7.94 × 10−3 | 7.94 × 10−3 | 7.94 × 10−3 | 7.94 × 10−3 | 7.94 × 10−3 | |
| 7.94 × 10−3 | 7.94 × 10−3 | 7.94 × 10−3 | 7.94 × 10−3 | 7.94 × 10−3 | |
| 7.94 × 10−3 | 7.94 × 10−3 | 8.41 × 10−1 | 7.94 × 10−3 | 8.41 × 10−1 | |
| 7.94 × 10−3 | 7.94 × 10−3 | 7.94 × 10−3 | 7.94 × 10−3 | 7.94 × 10−3 | |
| 7.94 × 10−3 | 7.94 × 10−3 | 4.21 × 10−1 | 7.94 × 10−3 | 1.51 × 10−1 | |
| 7.94 × 10−3 | 7.94 × 10−3 | 7.94 × 10−3 | 7.94 × 10−3 | 1.00 × 100 |
| Algorithm | MAE |
|---|---|
| CLTSO | 2.06 × 104 |
| FDB-AGDE | 2.70 × 104 |
| CMA-ES | 1.21 × 106 |
| TSO | 3.82 × 106 |
| WOA | 3.55 × 109 |
| APSO | 9.60 × 109 |
| Function | APSO | WOA | FDB-AGDE | CMA-ES | TSO | CLTSO |
|---|---|---|---|---|---|---|
| 0.5014 | 0.2206 | 8.2466 | 2.6347 | 0.2277 | 0.2603 | |
| 0.4465 | 0.3333 | 8.7963 | 2.8552 | 0.2389 | 0.27260 | |
| 0.5782 | 1.3826 | 8.4424 | 4.0751 | 1.2743 | 1.2819 | |
| 4.3284 | 0.2083 | 8.8472 | 2.4857 | 0.1960 | 0.1942 | |
| 0.7193 | 0.2458 | 3.586 | 2.7163 | 0.2440 | 0.3442 | |
| 0.8572 | 0.1921 | 8.8967 | 2.4867 | 0.1879 | 0.1946 | |
| 0.7557 | 0.4226 | 13.6329 | 2.7073 | 0.3906 | 0.3860 | |
| 1.0016 | 0.2599 | 23.6696 | 2.6709 | 0.2689 | 0.2698 | |
| 0.5113 | 0.2074 | 26.1973 | 2.5678 | 0.2126 | 0.2246 | |
| 0.5619 | 0.2370 | 21.3863 | 3.9514 | 0.3425 | 0.3350 | |
| 0.5321 | 0.4213 | 20.6873 | 2.9784 | 0.3491 | 0.4298 | |
| 1.9510 | 0.9889 | 19.5429 | 3.5528 | 0.8823 | 0.8381 | |
| 1.8874 | 0.8468 | 11.6196 | 6.1577 | 2.2185 | 1.5804 | |
| 2.0775 | 3.0364 | 4.9752 | 4.7462 | 2.2598 | 2.2449 | |
| 1.9327 | 2.3167 | 15.5858 | 21.6152 | 2.4425 | 2.6542 | |
| 1.4227 | 1.9362 | 14.8224 | 21.4082 | 1.9444 | 2.0605 | |
| 1.4958 | 2.0395 | 14.6579 | 22.1484 | 2.0020 | 1.9974 | |
| 1.2775 | 2.2311 | 15.6855 | 21.5255 | 2.1373 | 2.2258 | |
| 1.7849 | 2.1867 | 15.3276 | 22.2718 | 2.0847 | 2.2293 | |
| 2.5258 | 2.2063 | 29.3849 | 20.9746 | 2.1806 | 2.2839 | |
| 3.0010 | 2.4824 | 30.1273 | 23.3055 | 2.4337 | 2.5681 | |
| 6.1130 | 6.2426 | 49.8559 | 27.5203 | 5.9850 | 6.0176 |
| Function | Performance | TSO | LTSO | CTSO | CLTSO |
|---|---|---|---|---|---|
| Mean | 0 | 0 | 0 | 0 | |
| Std | 0 | 0 | 0 | 0 | |
| Mean | 9.66 × 10−237 | 0 | 0 | 0 | |
| Std | 0 | 0 | 0 | 0 | |
| Mean | 0 | 0 | 0 | 0 | |
| Std | 0 | 0 | 0 | 0 | |
| Mean | 1.26 × 10−233 | 0 | 0 | 0 | |
| Std | 0 | 0 | 0 | 0 | |
| Mean | 2.52 × 10−3 | 4.84 × 10−4 | 2.35 × 10−3 | 1.27 × 10−5 | |
| Std | 3.37 × 10−4 | 2.47 × 10−2 | 6.09 × 10−3 | 5.71 × 10−5 | |
| Mean | 9.33 × 10−4 | 6.07 × 10−5 | 2.92 × 10−4 | 3.07 × 10−5 | |
| Std | 2.93 × 10−3 | 8.82 × 10−5 | 1.76 × 10−2 | 2.78 × 10−5 | |
| Mean | 1.34 × 10−4 | 4.20 × 10−5 | 8.46 × 10−5 | 4.07 × 10−5 | |
| Std | 1.62 × 10−4 | 6.46 × 10−5 | 1.41 × 10−4 | 3.07 × 10−5 | |
| Mean | −4.19 × 104 | −4.19 × 104 | −4.19 × 104 | −4.19 × 104 | |
| Std | 2.51 × 104 | 2.51 × 104 | 7.54 × 103 | 5.30 × 10−8 | |
| Mean | 0 | 0 | 0 | 0 | |
| Std | 0 | 0 | 0 | 0 | |
| Mean | 8.88 × 10−16 | 8.88 × 10−16 | 8.88 × 10−16 | 8.88 × 10−16 | |
| Std | 0 | 0 | 0 | 0 | |
| Mean | 0 | 0 | 0 | 0 | |
| Std | 0 | 0 | 0 | 0 | |
| Mean | 5.26 × 10−5 | 1.41 × 10−6 | 7.65 × 10−7 | 5.14 × 10−10 | |
| Std | 2.72 × 10−5 | 2.04 × 10−7 | 8.98 × 10−5 | 1.52 × 10−7 | |
| Mean | 7.86 × 10−4 | 7.47 × 10−6 | 9.84 × 10−6 | 3.60 × 10−7 | |
| Std | 7.73 × 10−4 | 5.16 × 10−3 | 1.58 × 10−3 | 2.08 × 10−5 | |
| Mean | 9.98 × 10−1 | 9.98 × 10−1 | 9.98 × 10−1 | 9.98 × 10−1 | |
| Std | 5.99 × 10−1 | 5.99 × 10−1 | 5.99 × 10−1 | 1.72 × 10−16 | |
| Mean | 1.15 × 106 | 1.69 × 106 | 2.32 × 106 | 9.51 × 105 | |
| Std | 1.45 × 106 | 6.65 × 105 | 2.06 × 106 | 3.35 × 105 | |
| Mean | 1.38 × 104 | 1.12 × 104 | 1.61 × 103 | 3.40 × 102 | |
| Std | 7.08 × 103 | 1.93 × 103 | 8.20 × 103 | 2.05 × 103 | |
| Mean | 3.16 × 103 | 4.72 × 102 | 4.57 × 103 | 3.71 × 102 | |
| Std | 6.55 × 103 | 2.28 × 102 | 1.62 × 104 | 4.36 × 101 | |
| Mean | 5.21 × 102 | 5.20 × 102 | 5.21 × 102 | 5.20 × 102 | |
| Std | 3.13 × 102 | 3.12 × 102 | 3.13 × 102 | 4.47 × 10−2 | |
| Mean | 5.54 × 103 | 8.74 × 103 | 4.22 × 103 | 3.78 × 103 | |
| Std | 2.93 × 103 | 3.42 × 103 | 2.35 × 103 | 1.34 × 103 | |
| Mean | 6.52 × 103 | 3.09 × 103 | 5.49 × 103 | 2.62 × 103 | |
| Std | 3.39 × 103 | 1.59 × 103 | 4.34 × 103 | 1.85 × 102 | |
| Mean | 2.15 × 104 | 7.56 × 104 | 1.95 × 104 | 1.90 × 104 | |
| Std | 1.30 × 105 | 3.01 × 104 | 6.81 × 104 | 3.08 × 104 | |
| Mean | 3.20 × 103 | 3.20 × 103 | 3.20 × 103 | 3.20 × 103 | |
| Std | 0 | 0 | 0 | 0 |
| Algorithm | Rank Mean |
|---|---|
| CLTSO | 1.80 |
| LTSO | 2.25 |
| CTSO | 2.84 |
| TSO | 3.11 |
| Algorithm | MAE |
|---|---|
| CLTSO | 4.42 × 104 |
| LTSO | 8.06 × 104 |
| CTSO | 1.08 × 105 |
| TSO | 1.18 × 105 |
| Dataset | Model | Classification Accuracy |
|---|---|---|
| Iris | CLTSO-BP neural network | 100% |
| BP neural network | 95.2% | |
| Wine | CLTSO-BP neural network | 100% |
| BP neural network | 94.4% | |
| Wine Quality | CLTSO-BP neural network | 65.6% |
| BP neural network | 45.2% |
Publisher’s Note: MDPI stays neutral with regard to jurisdictional claims in published maps and institutional affiliations. |
© 2022 by the authors. Licensee MDPI, Basel, Switzerland. This article is an open access article distributed under the terms and conditions of the Creative Commons Attribution (CC BY) license (https://creativecommons.org/licenses/by/4.0/).
Share and Cite
Wang, W.; Tian, J. An Improved Nonlinear Tuna Swarm Optimization Algorithm Based on Circle Chaos Map and Levy Flight Operator. Electronics 2022, 11, 3678. https://doi.org/10.3390/electronics11223678
Wang W, Tian J. An Improved Nonlinear Tuna Swarm Optimization Algorithm Based on Circle Chaos Map and Levy Flight Operator. Electronics. 2022; 11(22):3678. https://doi.org/10.3390/electronics11223678
Chicago/Turabian StyleWang, Wentao, and Jun Tian. 2022. "An Improved Nonlinear Tuna Swarm Optimization Algorithm Based on Circle Chaos Map and Levy Flight Operator" Electronics 11, no. 22: 3678. https://doi.org/10.3390/electronics11223678
APA StyleWang, W., & Tian, J. (2022). An Improved Nonlinear Tuna Swarm Optimization Algorithm Based on Circle Chaos Map and Levy Flight Operator. Electronics, 11(22), 3678. https://doi.org/10.3390/electronics11223678
