Outage Performance of Interference Cancellation-Aided Two-Way Relaying Cognitive Network with Primary TAS/SC Communication and Secondary Partial Relay Selection
Abstract
1. Introduction
1.1. Related Works
1.2. Motivation and Main Contribution
- We propose the TAS/SC technique for the primary network to enhance the OP performance for the primary network as well as to increase the spectrum access possibility of the secondary network.
- Based on the exact closed-form expression of the OP of the primary network, we derived the closed-form expressions of the transmit power for the secondary source and relay nodes under the condition that the minimum QoS of the primary network must be guaranteed.
- The PRS method is applied to the secondary network to enhance the OP performance at the secondary sources.
- We derive new exact closed-form formulas of OP at the source nodes over the block Rayleigh fading channel, which are checked and corrected with Monte Carlo simulations.
2. System Model
3. Performance Analysis
3.1. OP of the Primary Network
3.2. Transmit Power of , and
3.3. OP of the Secondary Network
- Case 1:
- Case 2:where
- Case 1: or
- Case 2: or
4. Simulation Results
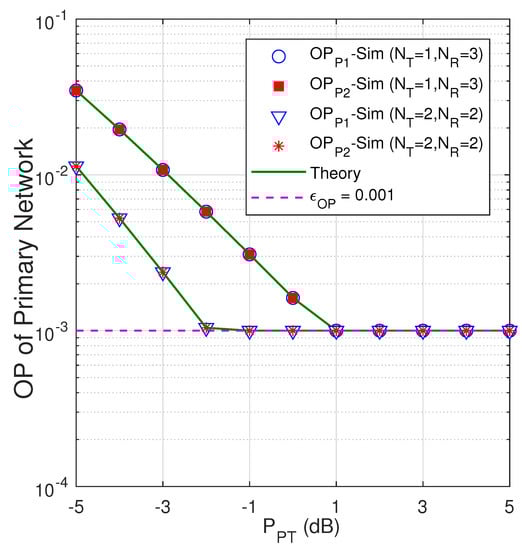
4.1. OP of the Primary Network and Transmit Power of the Secondary Transmitters
4.2. OP of the Secondary Network
5. Conclusions
Author Contributions
Funding
Conflicts of Interest
References
- Mitola, J.; Maguire, G.Q. Cognitive Radio: Making Software Radios More Personal. IEEE Pers. Commun. 1999, 6, 13–18. [Google Scholar] [CrossRef]
- Nguyen, T.V.; An, B. Cognitive Multihop Wireless Powered Relaying Networks Over Nakagami- m Fading Channels. IEEE Access 2019, 7, 154600–154616. [Google Scholar] [CrossRef]
- Nguyen, T.V.; Tran, T.N.; Shim, K.; Thien, H.T.; An, B. A Deep-Neural-Network-Based Relay Selection Scheme in Wireless-Powered Cognitive IoT Networks. IEEE Internet Things J. 2021, 8, 7423–7436. [Google Scholar] [CrossRef]
- Nguyen, T.T.; Vu, T.H.; Nguyen, T.V.; Costa, D.B.d.; Ho, C.D. Underlay Cognitive NOMA-Based Coordinated Direct and Relay Transmission. IEEE Wirel. Commun. Lett. 2021, 10, 854–858. [Google Scholar] [CrossRef]
- Vu, T.H.; Nguyen, T.V.; Costa, D.B.d.; Kim, S. Performance Analysis and Deep Learning Design of Underlay Cognitive NOMA-Based CDRT Networks with Imperfect SIC and Co-Channel Interference. IEEE Trans. Commun. 2021, 69, 8159–8174. [Google Scholar] [CrossRef]
- Phong, N.N.; Thanh, T.L.; Trung, D.Q.; Nallanathan, A. Secure Communications in Cognitive Underlay Networks Over Nakagami-m Channel. Phys. Commun. 2017, 25, 610–618. [Google Scholar]
- Duy, T.T.; Khan, L.C.; Binh, N.T.; Nhat, N.L. Intercept Probability Analysis of Cooperative Cognitive Networks Using Fountain Codes and Cooperative Jamming. EAI Trans. Ind. Netw. Intell. Syst. 2021, 8, 1–9. [Google Scholar] [CrossRef]
- Tran, T.D.; Ngoc, P.T.D.; Phuong, T.T. Performance Enhancement for Multihop Cognitive DF and AF Relaying Protocols under Joint Impact of Interference and Hardware Noises: NOMA for Primary Network and Best-Path Selection for Secondary Network. Wirel. Commun. Mob. Comput. 2021, 2021, 1–15. [Google Scholar] [CrossRef]
- Thanh, T.L.; Tan, N.N.; Trung, D.T.; Phuong, T.T.; Voznak, M.; Aravanis, A.I. Broadcasting in Cognitive Radio Networks: A Fountain Codes Approach. IEEE Trans. Veh. Technol. 2022, 71, 11289–11294. [Google Scholar] [CrossRef]
- Nam, P.M.; Do, D.T.; Tung, N.T.; Tin, P.T. Energy Harvesting Assisted Cognitive Radio: Random Location-Based Transceivers Scheme and Performance Analysis. Telecommun. Syst. 2018, 65, 123–132. [Google Scholar] [CrossRef]
- Nguyen, T.H.; Jung, W.S.; Tu, L.T.; Chien, T.V.; Yoo, D.; Ro, S. Performance Analysis and Optimization of the Coverage Probability in Dual Hop LoRa Networks with Different Fading Channels. IEEE Access 2020, 8, 107087–107102. [Google Scholar] [CrossRef]
- Ha, D.H.; Duy, T.T.; Son, P.N.; Thuong, L.T.; Voznak, M. Security-Reliability Trade-Off Analysis for Rateless Codes-Based Relaying Protocols Using NOMA, Cooperative Jamming and Partial Relay Selection. IEEE Access 2021, 9, 131087–131108. [Google Scholar] [CrossRef]
- Nguyen, T.N.; Nguyen, V.S.; Nguyen, H.G.; Tu, L.T.; Chien, T.V.; Nguyen, T.H. On the Performance of Underlay Device-to-Device Communications. Sensors 2022, 22, 1456. [Google Scholar] [CrossRef] [PubMed]
- Tuan, P.V.; Son, P.N. Intelligent Reflecting Surface Assisted Transceiver Design Optimization in Non-linear SWIPT Network with Heterogeneous Users. Wirel. Netw. 2022, 28, 1889–1908. [Google Scholar] [CrossRef]
- Thien, H.T.; Tuan, P.V.; Koo, I. A Secure-Transmission Maximization Scheme for SWIPT Systems Assisted by an Intelligent Reflecting Surface and Deep Learning. IEEE Access 2022, 10, 31851–31867. [Google Scholar] [CrossRef]
- Fredj, K.B.; Aissa, S. Performance of Amplify-and-Forward Systems with Partial Relay Selection under Spectrum-Sharing Constraints. IEEE Trans. Wirel. Commun. 2012, 11, 500–504. [Google Scholar] [CrossRef]
- Jaafar, W.; Ohtsuki, T.; Ajib, W.; Haccoun, D. Impact of the CSI on the Performance of Cognitive Relay Networks with Partial Relay Selection. IEEE Trans. Veh. Technol. 2016, 65, 673–684. [Google Scholar] [CrossRef]
- Duy, T.T.; Alexandropoulos, G.C.; Vu, T.T.; Vo, N.S.; Duong, T.Q. Outage Performance of Cognitive Cooperative Networks with Relay Selection over Double-Rayleigh Fading Channels. IET Commun. 2016, 10, 57–64. [Google Scholar] [CrossRef]
- Arzykulov, S.; Nauryzbayev, G.; Tsiftsis, T.A.; Maham, B. Performance Analysis of Underlay Cognitive Radio Nonorthogonal Multiple Access Networks. IEEE Trans. Veh. Technol. 2019, 68, 9318–9322. [Google Scholar] [CrossRef]
- Jee, A.; Janghel, K.; Prakriya, S. Performance of Adaptive Multi-User Underlay NOMA Transmission with Simple User Selection. IEEE Trans. Cogn. Commun. Netw. 2022, 8, 871–887. [Google Scholar] [CrossRef]
- Gupta, M.; Prakriya, S. Performance of CSI-based Power Control and NOMA/OMA Switching for Uplink Underlay Networks with Imperfect SIC. IEEE Trans. Cogn. Commun. Netw. 2022. [CrossRef]
- Bariah, L.; Muhaidat, S.; Al-Dweik, A. Error Performance of NOMA-Based Cognitive Radio Networks with Partial Relay Selection and Interference Power Constraints. IEEE Trans. Commun. 2020, 68, 765–777. [Google Scholar] [CrossRef]
- Im, G.; Lee, J.H. Outage Probability for Cooperative NOMA Systems with Imperfect SIC in Cognitive Radio Networks. IEEE Commun. Lett. 2019, 23, 692–695. [Google Scholar] [CrossRef]
- Vu, T.H.; Nguyen, T.V.; Nguyen, T.T.; Sim, S. Performance Analysis and Deep Learning Design of Wireless Powered Cognitive NOMA IoT Short-Packet Communications with Imperfect CSI and SIC. IEEE Internet Things J. 2022, 9, 10464–10479. [Google Scholar] [CrossRef]
- Vu, T.H.; Nguyen, T.V.; Da Costa, D.B.; Kim, S. Reconfigurable Intelligent Surface-Aided Cognitive NOMA Networks: Performance Analysis and Deep Learning Evaluation. IEEE Trans. Wirel. Commun. 2022. [Google Scholar] [CrossRef]
- Popovski, P.; Yomo, H. Physical Network Coding in Two-Way Wireless Relay Channels. In Proceedings of the 2007 IEEE International Conference on Communications, Glasgow, UK, 24–28 June 2007; pp. 1–6. [Google Scholar]
- Duy, T.T.; Kong, H.Y. Exact Outage Probability of Cognitive Two-Way Relaying Scheme with Opportunistic Relay Selection under Interference Constraint. IET Commun. 2012, 6, 2750–2759. [Google Scholar] [CrossRef]
- Yonghui, L.; Louie, R.H.Y.; Vucetic, B. Relay Selection with Network Coding in Two-Way Relay Channels. IEEE Trans. Veh. Technol. 2010, 59, 4489–4499. [Google Scholar]
- Son, P.N.; Kong, H.Y. Exact Outage Probability of Two-Way Decode-and-Forward Scheme with Opportunistic Relay Selection Under Physical Layer Security. Wirel. Pers. Commun. 2014, 77, 2889–2917. [Google Scholar] [CrossRef]
- Son, P.N.; Kong, H.Y. Improvement of The Two-way Decode-and-forward Scheme by Energy Harvesting and Digital Network Coding Relay. Trans. Emerg. Telecommun. Technol. 2017, 28, 1–14. [Google Scholar] [CrossRef]
- Tan, N.N.; Minh, T.H.Q.; Tran, P.T.; Voznak, M.; Duy, T.T.; Nguyen, T.; Tin, P.T. Performance Enhancement for Energy Harvesting Based Two-Way Relay Protocols in Wireless Ad-hoc Networks with Partial and Full Relay Selection Methods. Ad-hoc Networks 2019, 54, 178–187. [Google Scholar]
- Song, L.; Hong, G.; Jiao, B.; Debbah, M. Joint Relay Selection and Analog Network Coding Using Differential Modulation in Two-Way Relay Channels. IEEE Trans. Veh. Technol. 2010, 59, 2932–2939. [Google Scholar] [CrossRef]
- Huynh, T.P.; Son, P.N.; Voznak, M. Exact Outage Probability of Two-way Decode-and-forward NOMA Scheme with Opportunistic Relay Selection. KSII Trans. Internet Inf. Syst. 2019, 13, 5862–5887. [Google Scholar]
- Son, P.N.; Tran, T.D. A New Approach for Two-Way Relaying Networks: Improving Performance by Successive Interference Cancellation, Digital Network Coding and Opportunistic Relay Selection. Wirel. Netw. 2020, 26, 1315–1329. [Google Scholar] [CrossRef]
- Dao, T.T.T.; Son, P.N. Cancel-decode-encode Processing On Two-way Cooperative NOMA Schemes In Realistic Conditions. Wirel. Commun. Mob. Comput. 2021, 2021, 1–15. [Google Scholar] [CrossRef]
- Thanh, T.L.; Tiep, M.H. Cooperative Spectrum-Sharing with Two-way AF Relaying In The Presence of Direct Communications. EAI Endorsed Trans. Ind. Netw. Intell. Syst. 2018, 5, 1–9. [Google Scholar] [CrossRef]
- Tung, N.T.; Nam, P.M.; Tin, P.T. Performance Evaluation of a Two-way Relay Network with Energy Harvesting and Hardware Noises. Digit. Commun. Netw. 2021, 7, 45–54. [Google Scholar] [CrossRef]
- Thuy, D.T.T.; Son, P.N. Multi-Constraint Two-way Underlay Cognitive Network Using Reconfigurable Intelligent Surface. Wirel. Netw. 2022, 28, 2017–2030. [Google Scholar]
- Son, P.N.; Duy, T.T.; Khuong, H.V. SIC-coding Schemes For Underlay Two-way Relaying Cognitive Networks. Wirel. Commun. Mob. Comput. 2020, 2020, 1–17. [Google Scholar] [CrossRef]
- Duy, T.T.; Son, P.N.; Truong, S.N.; Truong, P.Q.; Phan, V.; Ho-Van, K.; Tuan, P.V.; Khanh, L. Outage Probability of Interference Cancellation Based Two-Way Relaying Cognitive Radio Protocol with Primary MIMO Communication. In Proceedings of the International Conference on Communications and Electronics—ICCE, Phu Quoc Island, Vietnam, 15 July 2020; pp. 1–6. [Google Scholar]
- Alzubaidi, O.T.H.; Hindia, M.N.; Dimyati, K.; Noordin, K.A.; Wahab, A.N.A.; Qamar, F.; Hassan, R. Interference Challenges and Management in B5G Network Design: A Comprehensive Review. Electronics 2022, 11, 2842. [Google Scholar] [CrossRef]
- Taha, D.H.Y.; Haci, H.; Serener, A. Novel Channel/QoS Aware Downlink Scheduler for Next-Generation Cellular Networks. Electronics 2022, 11, 2895. [Google Scholar] [CrossRef]






Publisher’s Note: MDPI stays neutral with regard to jurisdictional claims in published maps and institutional affiliations. |
© 2022 by the authors. Licensee MDPI, Basel, Switzerland. This article is an open access article distributed under the terms and conditions of the Creative Commons Attribution (CC BY) license (https://creativecommons.org/licenses/by/4.0/).
Share and Cite
Minh Nam, P.; Hung, H.D.; Tu, L.-T.; Tuan, P.V.; Duy, T.T.; Hanh, T. Outage Performance of Interference Cancellation-Aided Two-Way Relaying Cognitive Network with Primary TAS/SC Communication and Secondary Partial Relay Selection. Electronics 2022, 11, 3645. https://doi.org/10.3390/electronics11223645
Minh Nam P, Hung HD, Tu L-T, Tuan PV, Duy TT, Hanh T. Outage Performance of Interference Cancellation-Aided Two-Way Relaying Cognitive Network with Primary TAS/SC Communication and Secondary Partial Relay Selection. Electronics. 2022; 11(22):3645. https://doi.org/10.3390/electronics11223645
Chicago/Turabian StyleMinh Nam, Pham, Ha Duy Hung, Lam-Thanh Tu, Pham Viet Tuan, Tran Trung Duy, and Tan Hanh. 2022. "Outage Performance of Interference Cancellation-Aided Two-Way Relaying Cognitive Network with Primary TAS/SC Communication and Secondary Partial Relay Selection" Electronics 11, no. 22: 3645. https://doi.org/10.3390/electronics11223645
APA StyleMinh Nam, P., Hung, H. D., Tu, L.-T., Tuan, P. V., Duy, T. T., & Hanh, T. (2022). Outage Performance of Interference Cancellation-Aided Two-Way Relaying Cognitive Network with Primary TAS/SC Communication and Secondary Partial Relay Selection. Electronics, 11(22), 3645. https://doi.org/10.3390/electronics11223645

