Tunnel FET and MOSFET Hybrid Integrated 9T SRAM with Data-Aware Write Technique for Ultra-Low Power Applications
Abstract
1. Introduction
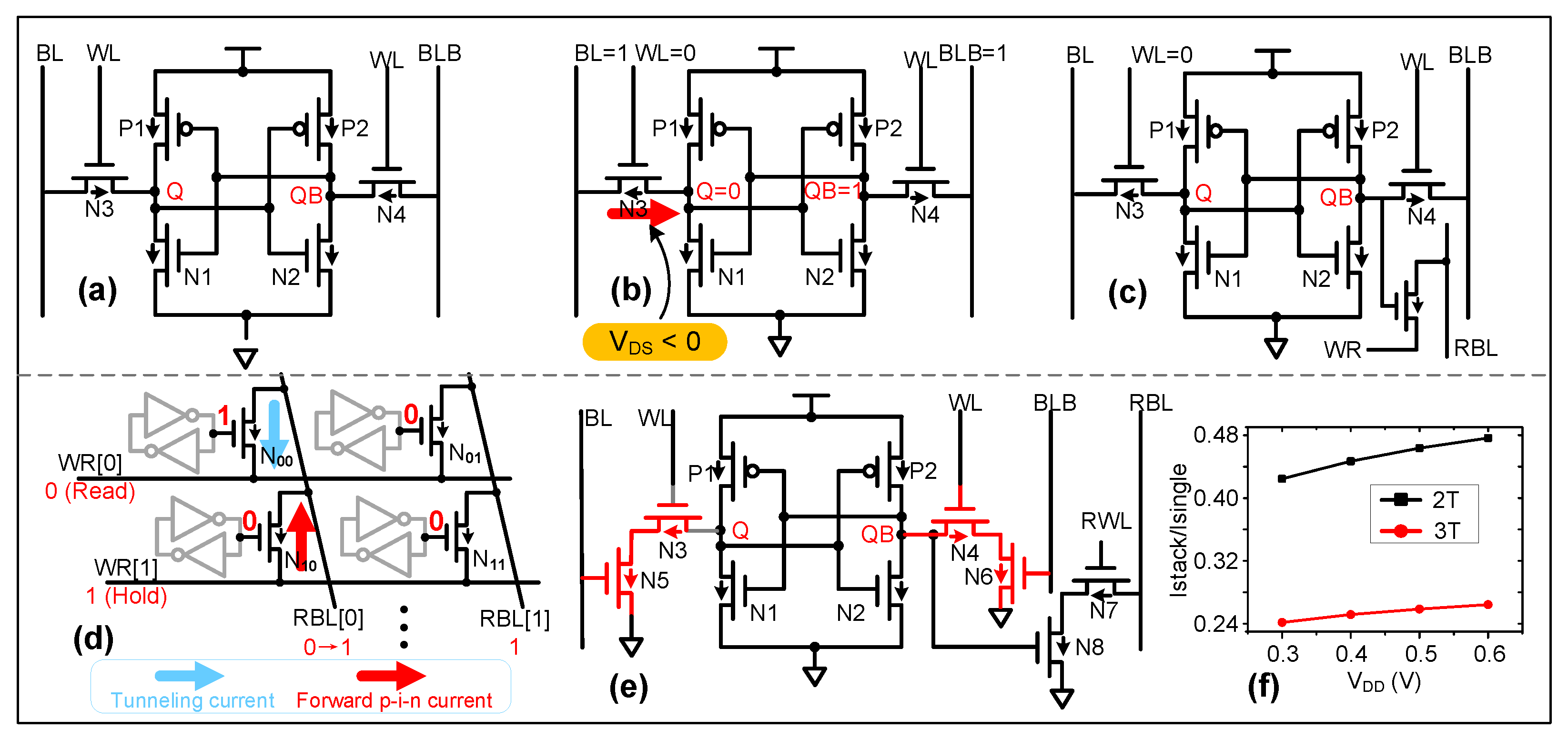
2. The Influences of the Forward P-I-N Current and the Stacked TFETs
3. Proposed HI-9T with Data-Aware Write Technique
3.1. Write, Read and Hold Operation
3.2. Half-Selected Issue
4. Comparison and Discussion
4.1. Write Static Noise Margin
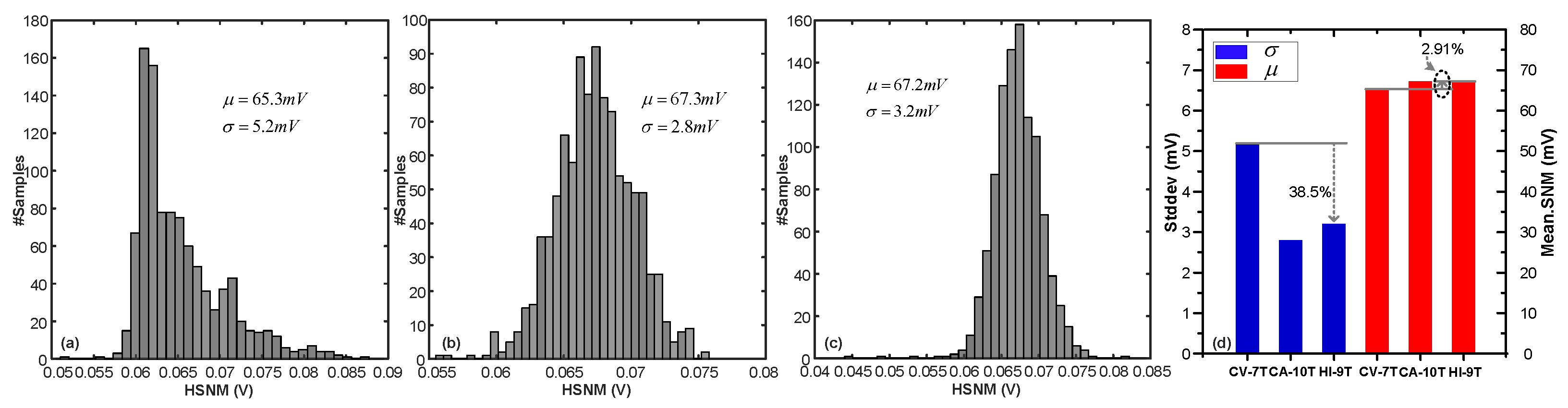
4.2. Hold/Read Static Noise Margin
4.3. Power Consumption
4.4. Read/Write Delay
5. Conclusions
Author Contributions
Funding
Data Availability Statement
Conflicts of Interest
References
- Zhang, Y. Single-Mode CMOS 6T-SRAM Macros With Keeper-Loading-Free Peripherals and Row-Separate Dynamic Body Bias Achieving 2.53fW/bit Leakage for AIoT Sensing Platforms. In Proceedings of the 2022 IEEE International Solid- State Circuits Conference (ISSCC), San Francisco, CA, USA, 20–24 February 2022; pp. 132–133. [Google Scholar]
- Sun, J.; Guo, H.; Li, G.; Jiao, H. An Ultra-Low-Voltage Bit-Interleaved Synthesizable 13T SRAM Circuit. IEEE J.-Solid-State Circuits 2022, 57, 1–13. [Google Scholar] [CrossRef]
- Kanithan, S.; Anthoniraj, S.; Manikandan, P. Temperature influence on dielectric tunnel FET characterization and subthreshold characterization. Silicon 2022, 8, 1–9. [Google Scholar] [CrossRef]
- Gupta, A.; Chiang, C.K.; Yang, W.Y.; Hsieh, E.R.; Chung, S.S. Design of Low Voltage Vertical Channel Face-tunneling TFET Using Ge/SiGe Materials and Its SRAM Circuit Performance. In Proceedings of the 2020 International Symposium on VLSI Technology, Systems and Applications (VLSI-TSA), Hsinchu, China, 10–13 August 2020; pp. 132–133. [Google Scholar]
- Upadhyay, A.K.; Rahi, S.B.; Tayal, S. Recent progress on negative capacitance tunnel FET for low-power applications: Device perspective. Microelectron. J. 2022, 129, 105583. [Google Scholar] [CrossRef]
- Convertino, C.; Zota, C.B.; Schmid, H. A hybrid III–V tunnel FET and MOSFET technology platform integrated on silicon. Nat. Electron. 2021, 2, 162–170. [Google Scholar] [CrossRef]
- International Technology Roadmap for Semiconductors (ITRS), Process Integration, Devices, and Structures (PIDS) Chapter. Available online: http://www.itrs.net (accessed on 12 June 2021).
- Bag, B.U. Bhowmick. Review of Emerging Tunnel FET Structures. Micro Nanoelectron. Devices 2022, 781, 51–68. [Google Scholar]
- Karthik, K.; Pandey, C.K. A Review of Tunnel Field-Effect Transistors for Improved ON-State Behaviour. Silicon 2022, 8, 1–23. [Google Scholar] [CrossRef]
- Lin, Z.; Chen, P.; Ye, L. Challenges and solutions of the TFET circuit design. IEEE Trans. Circuits Syst. Regul. Pap. 2020, 67, 4918–4931. [Google Scholar] [CrossRef]
- Universal TFET Model (Version 1.6.8). Available online: http://dx.doi.org/10.4231/D3901ZG9H (accessed on 26 August 2021).
- Luong, G.V.; Strangio, S.; Tiedemann, A.T.; Bernardy, P.; Trellenkamp, S.; Palestri, P.; Mantl, S.; Zhao, Q.T. Strained Silicon Complementary TFET SRAM: Experimental Demonstration and Simulations. IEEE J. Electron. Devices Soc. 2018, 6, 1033–1040. [Google Scholar] [CrossRef]
- Singh, J.; Ramakrishnan, K.; Mookerjea, S.; Datta, S.; Vijaykrishnan, N.; Pradhan, D. A novel Si-Tunnel FET based SRAM design for ultra low-power 0.3V VDD applications. In Proceedings of the 2010 15th Asia and South Pacific Design Automation Conference (ASP-DAC), Taipei, China, 18–21 January 2010; pp. 181–186. [Google Scholar]
- Ahmad, S.; Ahmad, S.A.; Muqeem, M.; Alam, N.; Hasan, M. TFET-Based Robust 7T SRAM Cell for Low Power Application. IEEE Trans. Electron. Devices 2019, 66, 3834–3840. [Google Scholar] [CrossRef]
- Kim, D.; Lee, Y.; Cai, J.; Lauer, I.; Chang, L.; Koester, S.J.; Sylvester, D.; Blaauw, D. Low-Power Circuit Analysis and Design Based on Heterojunction Tunneling Transistors (HETTs). IEEE Trans. Very Large Scale Integr. Syst. 2013, 9, 1632–1643. [Google Scholar]
- Strangio, S.; Palestri, P.; Esseni, D.; Selmi, L.; Crupi, F. Performance analysis of different SRAM cell topologies employing tunnel-FETs. In Proceedings of the 72nd Device Research Conference, Santa Barbara, CA, USA, 22–25 June 2014; pp. 143–144. [Google Scholar]
- Chen, Y.N.; Fan, M.L.; Hu, V.P.H.; Su, P.; Chuang, C.T. Evaluation of Stability, Performance of Ultra-Low Voltage MOSFET, TFET, and Mixed TFET-MOSFET SRAM Cell With Write-Assist Circuits. IEEE J. Emerg. Sel. Top. Circuits Syst. 2014, 4, 389–399. [Google Scholar] [CrossRef]
- Saripalli, V.; Datta, S.; Narayanan, V.; Kulkarni, J.P. Variation-tolerant ultra low-power heterojunction tunnel FET SRAM design. In Proceedings of the 2011 IEEE/ACM International Symposium on Nanoscale Architectures, San Diego, CA, USA, 8–9 June 2011; pp. 45–52. [Google Scholar]
- Pandey, R.; Saripalli, V.; Kulkarni, J.P.; Narayanan, V.; Datta,, S. Impact of Single Trap Random Telegraph Noise on Heterojunction TFET SRAM Stability. IEEE Electron. Device Lett. 2014, 3, 393–395. [Google Scholar] [CrossRef]
- Yang, L.; Zhu, J.; Chen, C.; Wang, Z.; Liu, Z.; Huang, Q.; Ye, L.; Huang, R. Combinational Access Tunnel FET SRAM for Ultra-Low Power Applications. In Proceedings of the 2018 IEEE International Symposium on Circuits and Systems (ISCAS), Florence, Italy, 27–30 May 2018; pp. 4335–4339. [Google Scholar]
- Sheikh, S.; Das, S.; Lakshmi, B. Junctionless TFET Based SRAM for Low Power Applications. In Proceedings of the 2022 2nd International Conference on Intelligent Technologies (CONIT), Hubli, India, 24–26 June 2022; pp. 1–5. [Google Scholar]
- Lin, Z.; Li, L.; Wu, X. Half-select disturb-free 10T tunnel FET SRAM Cell with improved noise margin and low power consumption. IEEE Trans. Circuits Syst. II Express Briefs 2021, 7, 2628–2632. [Google Scholar] [CrossRef]
- Gadarapulla, R.; Sriadibhatla, S. Tunnel FET based SRAM cells-a comparative review. In Proceedings of the International Conference on Microelectronic Devices, Circuits and Systems, Vellore, India, 11–13 August 2021; pp. 217–228. [Google Scholar]
- Wang, J.; Su, P.; Chuang, C. Impacts of work function variation and line edge roughness on hybrid TFET-MOSFET monolithic 3D SRAMs. In Proceedings of the 2017 International Symposium on VLSI Technology, Systems and Application (VLSI-TSA), Hsinchu, China, 24–27 April 2017; pp. 30–31. [Google Scholar]
- Gupta, N.; Makosiej, A.; Vladimirescu, A.; Amara, A.; Anghel, C. 16Kb hybrid TFET/CMOS reconfigurable CAM/SRAM array based on 9T-TFET bitcell. In Proceedings of the 2016 46th European Solid-State Device Research Conference (ESSDERC), Lausanne, Switzerland, 12–15 September 2016; pp. 356–359. [Google Scholar]
- Wang, Z.; Zhong, Y.; Chen, C.; Ye, L.; Huang, Q.; Yang, L.; Wang, Y.; Huang, R. Ultra-Low Power Hybrid TFET-MOSFET Topologies for Standard Logic Cells with Improved Comprehensive Performance. In Proceedings of the 2019 IEEE International Symposium on Circuits and Systems (ISCAS), Sapporo, Japan, 26–29 May 2019; pp. 1–5. [Google Scholar]
- Tu, M.H.; Lin, J.Y.; Tsai, M.C.; Lu, C.Y.; Lin, Y.J.; Wang, M.H.; Huang, H.S.; Lee, K.D.; Shih, W.C.; Jou, S.J.; et al. A Single-Ended Disturb-Free 9T Subthreshold SRAM with Cross-Point Data-Aware Write Word-Line Structure, Negative Bit-Line, and Adaptive Read Operation Timing Tracing. IEEE J. Solid-State Circuits 2012, 6, 1469–1482. [Google Scholar] [CrossRef]
- Mohammed, M.U.; Chowdhury, M.H. Reliability and Energy Efficiency of the Tunneling Transistor-Based 6T SRAM Cell in Sub-10 nm Domain. IEEE Trans. Circuits Syst. II Express Briefs 2018, 12, 1829–1833. [Google Scholar] [CrossRef]









| HSNM (mV) | WM (mV) | Write Delay (ps) | Read Delay (ps) | Static Power (nW) | Dynamic Power Consumption (fJ) | |||||||||||||||||||
|---|---|---|---|---|---|---|---|---|---|---|---|---|---|---|---|---|---|---|---|---|---|---|---|---|
| VDD | 0.3 V | 0.4 V | 0.5 V | 0.6 V | 0.3 V | 0.4 V | 0.5 V | 0.6 V | 0.3 V | 0.4 V | 0.5 V | 0.6 V | 0.3 V | 0.4 V | 0.5 V | 0.6 V | 0.3 V | 0.4 V | 0.5 V | 0.6 V | 0.3 V | 0.4 V | 0.5 V | 0.6 V |
| CV-7T | 23.2 | 31.7 | 46.6 | 59.5 | 207 | 271 | 325 | 363 | 113 | 97 | 89 | 87 | 183 | 156 | 153 | 150 | 90 | 8.5 × | 5.5 × | 1.4 × | 0.99 | 1.78 | 2.81 | 4.09 |
| CA-10T | 24.8 | 33.7 | 48.3 | 67.5 | 135 | 133 | 131 | – | 260 | 250 | 283 | – | 473 | 394 | 341 | 302 | 5 | 5 | 5 | 5 | 1.28 | 2.38 | 4.18 | – |
| HI-9T | 24.6 | 33.7 | 48.7 | 67.9 | 217 | 269 | 314 | 346 | 167 | 148 | 128 | 162 | 473 | 394 | 341 | 302 | 5 | 5 | 5 | 5 | 1.14 | 2.05 | 3.24 | 4.06 |
Publisher’s Note: MDPI stays neutral with regard to jurisdictional claims in published maps and institutional affiliations. |
© 2022 by the authors. Licensee MDPI, Basel, Switzerland. This article is an open access article distributed under the terms and conditions of the Creative Commons Attribution (CC BY) license (https://creativecommons.org/licenses/by/4.0/).
Share and Cite
Lu, W.; Lu, Y.; Dong, L.; Peng, C.; Wu, X.; Lin, Z.; Chen, J. Tunnel FET and MOSFET Hybrid Integrated 9T SRAM with Data-Aware Write Technique for Ultra-Low Power Applications. Electronics 2022, 11, 3392. https://doi.org/10.3390/electronics11203392
Lu W, Lu Y, Dong L, Peng C, Wu X, Lin Z, Chen J. Tunnel FET and MOSFET Hybrid Integrated 9T SRAM with Data-Aware Write Technique for Ultra-Low Power Applications. Electronics. 2022; 11(20):3392. https://doi.org/10.3390/electronics11203392
Chicago/Turabian StyleLu, Wenjuan, Yixiao Lu, Lanzhi Dong, Chunyu Peng, Xiulong Wu, Zhiting Lin, and Junning Chen. 2022. "Tunnel FET and MOSFET Hybrid Integrated 9T SRAM with Data-Aware Write Technique for Ultra-Low Power Applications" Electronics 11, no. 20: 3392. https://doi.org/10.3390/electronics11203392
APA StyleLu, W., Lu, Y., Dong, L., Peng, C., Wu, X., Lin, Z., & Chen, J. (2022). Tunnel FET and MOSFET Hybrid Integrated 9T SRAM with Data-Aware Write Technique for Ultra-Low Power Applications. Electronics, 11(20), 3392. https://doi.org/10.3390/electronics11203392
