A Machine Learning Based Model for Energy Usage Peak Prediction in Smart Farms
Abstract
:1. Introduction
2. Related Work
Problem Statement
3. Smart Farming in IoT
3.1. IoT in Agriculture
3.2. Smart Farm Sensors
3.3. Wireless Sensor Network System
3.4. Smart Farming Energy
3.5. Smart Farm Software Architected
4. Methodology
4.1. Linear Regression
4.2. ARIMA Model
4.3. Artificial Neural Network (ANN)
4.4. k-Nearest Neighbor (kNN)
4.5. Support Vector Machine (SVM)
4.6. Random Forest (RF)
4.7. Gradient Boosting Machine (GBM)
4.8. eXtreme Gradient Boosting (XGB)
5. Agricultural Big-Data
5.1. Dataset
5.2. Data Pre-Processing
5.3. Dataset Correlation Analysis
6. Data Analysis of Peak Energy Changes Monthly and Hour of the Day
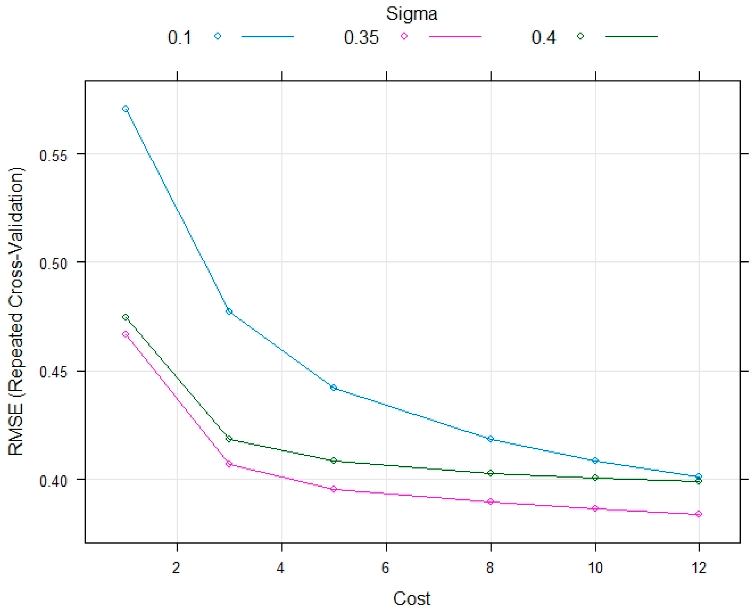
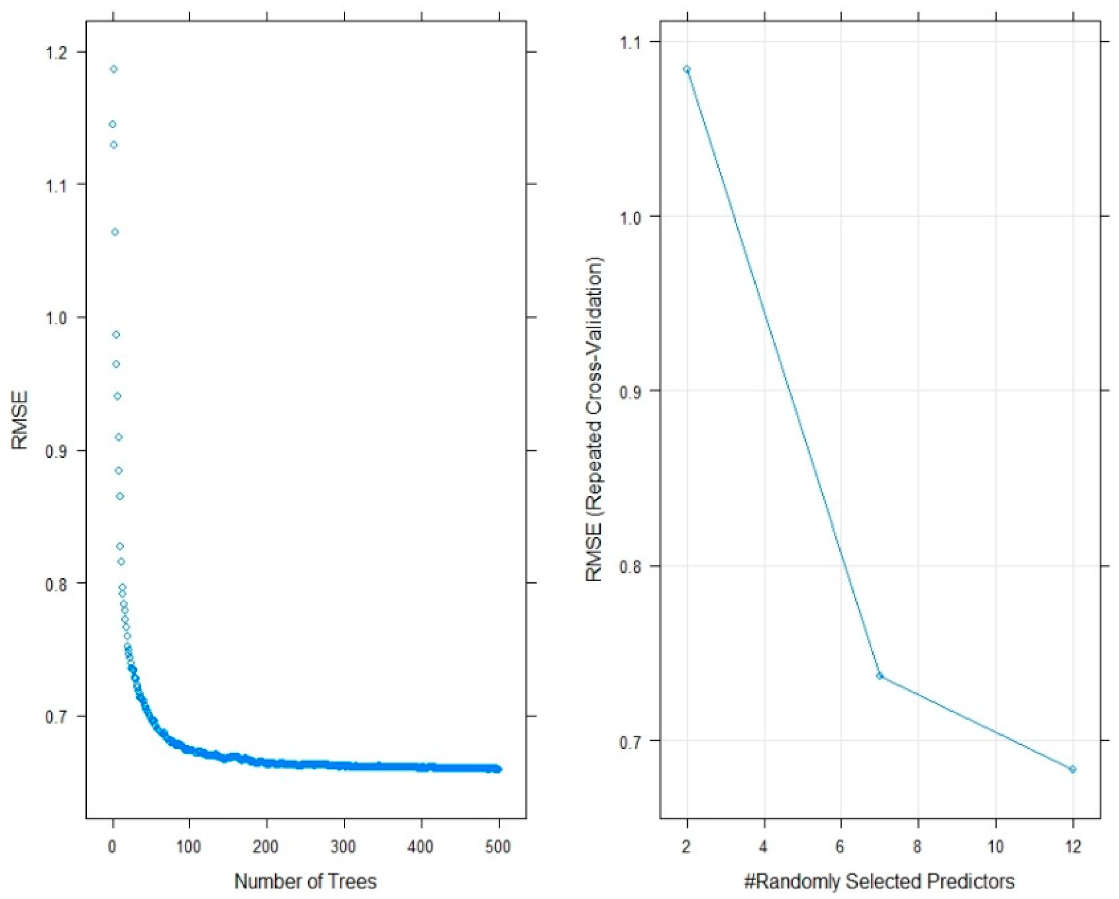
7. Model Performance
8. Result and Discussion
9. Conclusions
Author Contributions
Funding
Conflicts of Interest
Abbreviations
| Abbreviation | Meaning |
| ML | Machine Learning |
| ANN | Artificial Neural Network |
| GBM | Gradient Boosting Machine |
| XGB | eXtreme Gradient Boosting |
| kNN | k-Nearest Neighbors |
| RF | Random Forest |
| SVM | Support Vector Machine |
| ARIMA | Autoregressive integrated moving average |
| LR | Linear Regression |
| WSN | Wireless sensor network |
| ARIMA (p, d, q) | p is the number of autoregressive terms, d is the number of non-seasonal differences needed for stationarity, and q is the number of lagged forecast errors in the prediction equation. |
| ACF | Auto Correlation Function |
| DTs | Decision Trees |
| kW | Kilowatt-hour |
| CARET (R package) | Classification and Regression Training |
| CART (decision tree) | Classification and Regression Trees |
| RMSE | Root Mean Square Error |
| MSE | Mean Square Error |
| MAE | Mean Average Error |
| R2 | R-squared |
References
- Escamilla-García, A.; Soto-Zarazúa, G.M.; Toledano-Ayala, M.; Rivas-Araiza, E.; Gastélum-Barrios, A. Applications of Artificial Neural Networks in Greenhouse Technology and Overview for Smart Agriculture Development. Appl. Sci. 2020, 10, 3835. [Google Scholar] [CrossRef]
- Bozchalui, M.C.; Canizares, C.A.; Bhattacharya, K. Optimal Energy Management of Greenhouses in Smart Grids. IEEE Trans. Smart Grid 2014, 6, 827–835. [Google Scholar] [CrossRef]
- Codeluppi, G.; Cilfone, A.; Davoli, L.; Ferrari, G. AI at the Edge: A Smart Gateway for Greenhouse Air Temperature Forecasting. In Proceedings of the 2020 IEEE International Workshop on Metrology for Agriculture and Forestry (MetroAgriFor), Trento, Italy, 4–6 November 2020; pp. 348–353. [Google Scholar]
- Al Amin, M.A.; Hoque, A. Comparison of ARIMA and SVM for Short-term Load Forecasting. In Proceedings of the 2019 9th Annual Information Technology, Electromechanical Engineering and Microelectronics Conference (IEMECON), Jaipur, India, 13–15 March 2019; pp. 1–6. [Google Scholar]
- Lin, X.; Sun, X.; Manogaran, G.; Rawal, B.S. Advanced energy consumption system for smart farm based on reactive energy utilization technologies. Environ. Impact Assess. Rev. 2021, 86, 106496. [Google Scholar] [CrossRef]
- Wang, J.; Hu, J. A robust combination approach for short-term wind speed forecasting and analysis–Combination of the ARIMA (Autoregressive Integrated Moving Average), ELM (Extreme Learning Machine), SVM (Support Vector Machine) and LSSVM (Least Square SVM) forecasts using a GPR (Gaussian Process Regression) model. Energy 2015, 93, 41–56. [Google Scholar]
- Dahane, A.; Benameur, R.; Kechar, B.; Benyamina, A. An IoT Based Smart Farming System Using Machine Learning. In Proceedings of the 2020 International Symposium on Networks, Computers and Communications (ISNCC), Montreal, QC, Canada, 20–22 October 2020; pp. 1–6. [Google Scholar]
- Ghanshala, K.K.; Chauhan, R.; Joshi, R.C. A Novel Framework for Smart Crop Monitoring Using Internet of Things (IOT). In Proceedings of the First International Conference on Secure Cyber Computing and Communications (ICSCCC 2018), Jalandhar, India, 15–17 December 2018; pp. 62–67. [Google Scholar]
- Mancini, F.; Nastasi, B. Solar Energy Data Analytics: PV Deployment and Land Use. Energies 2020, 13, 417. [Google Scholar] [CrossRef] [Green Version]
- Júnior, D.S.D.O.S.; Oliveira, J.; Neto, P.S.D.M. An intelligent hybridization of ARIMA with machine learning models for time series forecasting. Knowl.-Based Syst. 2019, 175, 72–86. [Google Scholar] [CrossRef]
- Cai, W.; Wei, R.; Xu, L.; Ding, X. A method for modelling greenhouse temperature using gradient boost decision tree. Inf. Process. Agric. 2021. [Google Scholar] [CrossRef]
- Doshi, J.; Patel, T.; Bharti, S.K. Smart Farming using IoT, a solution for optimally monitoring farming conditions. Procedia Comput. Sci. 2019, 160, 746–751. [Google Scholar] [CrossRef]
- Patokar, A.; Gohokar, V.V. Precision Agriculture System Design Using Wireless Sensor Network. Inf. Commun. Technol. 2018, 625, 169–177. [Google Scholar]
- Muthunoori, N.; Munaswamy, P. Smart agriculture system using IoT technology. Smart agriculture system using IoT technology. Int. J. Adv. Res. Sci. Eng. 2019, 7, 98–102. [Google Scholar]
- Ahsan, M.; Mahmud, M.; Saha, P.; Gupta, K.; Siddique, Z. Effect of Data Scaling Methods on Machine Learning Algorithms and Model Performance. Technologies 2021, 9, 52. [Google Scholar] [CrossRef]
- Balasubramaniyan, M.; Navaneethan, C. Applications of Internet of Things for smart farming–A survey. Mater. Today Proc. 2021, 47, 18–24. [Google Scholar] [CrossRef]
- Phan, T.-T.-H.; Nguyen, X.H. Combining statistical machine learning models with ARIMA for water level forecasting: The case of the Red river. Adv. Water Resour. 2020, 142, 103656. [Google Scholar] [CrossRef]
- Tatapudi, A.; Suresh, V.P. Prediction of Crops based on Environmental Factors using IoT & Machine Learning Algorithms. Int. J. Innov. Technol. Explor. Eng. 2019, 9, 5395–5401. [Google Scholar]
- Israr, U.; Fayaz, M.; Aman, M.; Kim, D. An optimization scheme for IoT based smart greenhouse climate control with efficient energy consumption. Computing 2021, 1–25. [Google Scholar] [CrossRef]
- Cifuentes, J.; Marulanda, G.; Bello, A.; Reneses, J. Air Temperature Forecasting Using Machine Learning Techniques: A Review. Energies 2020, 13, 4215. [Google Scholar] [CrossRef]
- De Gelder, A.; Dieleman, J.A.; Bot, G.P.A.; Marcelis, L.F.M. An overview of climate and crop yield in closed green-houses. J. Hortic. Sci. Biotechnol. 2012, 87, 193–202. [Google Scholar] [CrossRef]
- Danica, M.; Basic, B.D. Determination of influential parameters for heat consumption in district heating systems using machine learning. Energy 2020, 201, 117585. [Google Scholar]
- Chen, R.-C.; Dewi, C.; Huang, S.-W.; Caraka, R.E. Selecting critical features for data classification based on machine learning methods. J. Big Data 2020, 7, 52. [Google Scholar] [CrossRef]
- Jaiganesh, S.; Gunaseelan, K.; Ellappan, V. IOT agriculture to improve food and farming technology. In Proceedings of the 2017 Conference on Emerging Devices and Smart Systems (ICEDSS), Mallasamudram, India, 3–4 March 2017; pp. 260–266. [Google Scholar]
- Anand, N.; Puri, V. Smart farming: IoT based smart sensors agriculture stick for live temperature and moisture monitoring using Arduino, cloud computing & solar technology. In Proceedings of the International Conference on Communication and Computing Systems (ICCCS-2016), Gurgaon, India, 9–11 September 2016. [Google Scholar]
- Subashini, M.; Das, S.; Heble, S.; Raj, U.; Karthik, R. Internet of Things based Wireless Plant Sensor for Smart Farming. Indones. J. Electr. Eng. Comput. Sci. 2018, 10, 456–468. [Google Scholar]
- Mahbub, M. A smart farming concept based on smart embedded electronics, internet of things and wireless sensor network. Internet Things 2020, 9, 100161. [Google Scholar] [CrossRef]
- Kang, B.; Park, D.; Cho, K.; Shin, C.; Cho, S.; Park, J. A Study on the Greenhouse Auto Control System Based on Wireless Sensor Network. In Proceedings of the 2008 International Conference on Security Technology, Sanya, China, 13–15 December 2008; pp. 41–44. [Google Scholar]
- Zhu, Y.; Song, J.; Dong, F. Applications of wireless sensor network in the agriculture environment monitoring. Procedia Eng. 2011, 16, 608–614. [Google Scholar] [CrossRef] [Green Version]
- Nandurkar, S.R.; Thool, V.R.; Thool, R.C. Design and development of precision agriculture system using wireless sensor network. In Proceedings of the 2014 First International Conference on Automation, Control, Energy and Systems (ACES), Adisaptagram, India, 1–2 February 2014; pp. 1–6. [Google Scholar]
- Mathew, J.P.; Mani, P. Software architecture pattern selection model for Internet of Things based systems. IET Softw. 2018, 12, 390–396. [Google Scholar]
- Zyrianoff, I.; Heideker, A.; Silva, D.; Kleinschmidt, J.; Soininen, J.-P.; Cinotti, T.S.; Kamienski, C. Architecting and Deploying IoT Smart Applications: A Performance–Oriented Approach. Sensors 2020, 20, 84. [Google Scholar] [CrossRef] [Green Version]
- Saravanakumar, V.; Sathishkumar, V.E.; Park, J.; Shin, C.; Cho, Y. A Prediction of Nutrition Water for Strawberry Production using Linear Regression. Int. J. Adv. Smart Converg. 2020, 9, 132–140. [Google Scholar]
- Saravanakumar, V.; Sathishkumar, V.E.; Shin, C.; Kim, Y.; Cho, Y. A Forecasting Method Based on ARIMA Model for Best-Fitted Nutrition Water Supplement on Fruits. Int. J. Eng. Adv. Technol. (IJEAT) 2019, 9, 3167–3173. [Google Scholar]
- Elyasichamazkoti, F.; Khajehpoor, A. Application of Machine Learning for Wind Energy from Design to Energy–Water Nexus. Energy Nexus. 2021, 2, 100011. [Google Scholar] [CrossRef]
- Balducci, F.; Impedovo, D.; Pirlo, G. Machine Learning Applications on Agricultural Datasets for Smart Farm Enhancement. Machines 2018, 6, 38. [Google Scholar] [CrossRef] [Green Version]
- Venkatesan, S.K.; Lee, M.B.; Park, J.W.; Shin, C.S.; Cho, Y. A Comparative Study based on Random Forest and Support Vector Machine for Strawberry Production Forecasting. J. Inf. Technol. Appl. Eng. 2019, 9, 45–52. [Google Scholar] [CrossRef]
- Ma, Y.; Zhang, S.; Qi, D.; Luo, Z.; Li, R.; Potter, T.; Zhang, Y. Driving drowsiness detection with EEG using a modified hierarchical extreme learning machine algorithm with particle swarm optimization: A pilot study. Electronics 2020, 9, 775. [Google Scholar] [CrossRef]
- Golden, C.E.; Rothrock, M.J.; Mishra, A. Comparison between random forest and gradient boosting machine methods for predicting Listeria spp. prevalence in the environment of pastured poultry farms. Food Res. Int. 2019, 122, 47–55. [Google Scholar] [CrossRef] [Green Version]
- Singh, U.; Rizwan, M.; Alaraj, M.; Alsaidan, I. A Machine Learning-Based Gradient Boosting Regression Approach for Wind Power Production Forecasting: A Step towards Smart Grid Environments. Energies 2021, 14, 5196. [Google Scholar] [CrossRef]
- Nagaraju, A.; Reddy, M.K.; Reddy, C.V.; Mohandas, R. Multifactor Analysis to Predict Best Crop using Xg-Boost Algorithm. In Proceedings of the 2021 5th International Conference on Trends in Electronics and Informatics (ICOEI), Tamilnadu, India, 3–5 June 2021; pp. 155–163. [Google Scholar]
- Ryan, M. Agricultural Big Data Analytics and the Ethics of Power. J. Agric. Environ. Ethics 2019, 33, 49–69. [Google Scholar] [CrossRef] [Green Version]
- Antonio, S.G. A dynamic sampling strategy based on confidence level of virtual metrology predictions. In Proceedings of the Annual SEMI Advanced Semiconductor Manufacturing Conference (ASMC), Saratoga Springs, NY, USA, 15–18 May 2017; pp. 78–83. [Google Scholar]
- Abbas, K.; Afaq, M.; Ahmed Khan, T.; Song, W.C. A block chain and machine learning-based drug supply chain management and recommendation system for smart pharmaceutical industry. Electronics 2020, 9, 852. [Google Scholar] [CrossRef]

















| Data Variables | Description |
|---|---|
| Outside weather statuses (temperature, wind speed and solar radiation and humidity) | Inside the greenhouse is about 80 to 85 degrees Fahrenheit, wind speed continuous 1.2 = 2.50 mph |
| Indoor air temperature, humidity at different | RH mean daily mean relative humidity [50%] |
| Light inside the greenhouse | On average, greenhouses require six hours of direct or full-spectrum light per day. If natural illumination is not possible, additional illumination must be employed. Supplemental lighting uses a large number of high-intensity artificial lights to improve crop growth and productivity. |
| Soil humidity and air temperature | The relationship between soil moisture and near-surface air temperature is crucial for climate change and climatic extremes. Annual air temperature is inversely proportional to soil moisture, which results in dry wet soil warmer cold climates. |
| Dew point energy production | The humidity of 40% RH at 20 °C equals 6.0 °C dew point temperature. With a short dew point control band, it’s easy to control the environment and save energy. With a short dew point control band, it’s easy to maintain the environment and save energy |
| Heat exchange rates and power of energy pumps | Evaporator and condenser side temperatures, carrier fluid temperatures from various borehole heat exchangers, ground loop mass flow rate, and electrical power at the heat pump compressor and circulation pump were all monitored fluid temperatures from various borehole heat exchangers, ground loop mass flow rate, and electrical power at the heat pump compressor and circulation pump were all monitored. |
| Data Variables | Type | Measurement |
|---|---|---|
| Internal temperature | Continuous | 18 °C to 26 °C |
| Internal humidity | Continuous | 60–80% |
| Ventilation temperature | Continuous | The temperature is 32 °C (90 °F) during the day and 24 °C (75 °F) at night. |
| Heating temperature | Continuous | 80 to 85 degrees Fahrenheit |
| Outside temperature | Continuous | Winter (−6~3 to 10 °C) |
| Outside solar temperature | Continuous | Spring (6 to 15 °C) |
| Dew Point | Continuous | Summer (20 to 32 °C) |
| Hourly accumulated light | Continuous | Fall (15 to 22 °C) |
| Hourly solar radiation | Continuous | 59 °F and 95 °F |
| Temperature difference | Continuous | Grams of water per cubic meter of air (g/m3) |
| Crop output production | Continuous | Moles of light (mol photons) per square meter (m−2) per day (d−1) |
| Variable | Count | Mean | Std | Max |
|---|---|---|---|---|
| Internal temperature | 20,111 | 22.24 | 4.91 | 4.80 |
| Internal humidity | 20,111 | 70.39 | 16.79 | 19.10 |
| Ventilation temperature | 20,111 | 22.50 | 2.85 | 16.00 |
| Heating temperature | 20,111 | 19.22 | 1.99 | 16.00 |
| Outside temperature | 20,111 | 14.326 | 9.56 | −14.20 |
| Outside solar temperature | 20,111 | 75.35 | 98.01 | 1.00 |
| Dew Point | 20,111 | 91.67 | 84.83 | −2.700 |
| Hourly accumulated light | 20,111 | 86.129 | 116.42 | 1.000 |
| Hourly solar radiation | 20,111 | 73.475 | 96.65 | 1.000 |
| Temperature difference | 20,111 | 0.4061 | 4.0352 | −32.70 |
| Crop Output Production | 20,111 | −347 | 136.07 | −78,962 |
| Models | Training | Testing | ||||||
|---|---|---|---|---|---|---|---|---|
| RMSE | R2 | MAE | MAPE | RMSE | R2 | MAE | MAPE | |
| ARIMA | 4.24 | 0.96 | 1.98 | 132.0 | 4.01 | 0.97 | 1.86 | 124.3 |
| LR | 2.09 | 0.78 | 1.73 | 26.5 | 2.67 | 0.84 | 1.37 | 25.46 |
| ANN | 21.79 | 0.18 | 21.23 | 95.2 | 21.28 | 0.18 | 21.24 | 95.26 |
| kNN | 1.97 | 0.83 | 1.28 | 26.7 | 1.84 | 0.94 | 1.48 | 26.8 |
| SVM | 0.37 | 0.99 | 0.25 | 27.3 | 1.05 | 0.95 | 1.79 | 26.81 |
| GBM | 0.65 | 0.98 | 0.37 | 27.4 | 1.08 | 0.97 | 1.68 | 26 |
| RF | 0.34 | 0.99 | 0.12 | 27.3 | 1.01 | 0.93 | 0.62 | 26.63 |
| XGB | 0.70 | 0.99 | 0.48 | 25.8 | 1.03 | 0.96 | 1.06 | 25.3 |
Publisher’s Note: MDPI stays neutral with regard to jurisdictional claims in published maps and institutional affiliations. |
© 2022 by the authors. Licensee MDPI, Basel, Switzerland. This article is an open access article distributed under the terms and conditions of the Creative Commons Attribution (CC BY) license (https://creativecommons.org/licenses/by/4.0/).
Share and Cite
Venkatesan, S.; Lim, J.; Ko, H.; Cho, Y. A Machine Learning Based Model for Energy Usage Peak Prediction in Smart Farms. Electronics 2022, 11, 218. https://doi.org/10.3390/electronics11020218
Venkatesan S, Lim J, Ko H, Cho Y. A Machine Learning Based Model for Energy Usage Peak Prediction in Smart Farms. Electronics. 2022; 11(2):218. https://doi.org/10.3390/electronics11020218
Chicago/Turabian StyleVenkatesan, SaravanaKumar, Jonghyun Lim, Hoon Ko, and Yongyun Cho. 2022. "A Machine Learning Based Model for Energy Usage Peak Prediction in Smart Farms" Electronics 11, no. 2: 218. https://doi.org/10.3390/electronics11020218
APA StyleVenkatesan, S., Lim, J., Ko, H., & Cho, Y. (2022). A Machine Learning Based Model for Energy Usage Peak Prediction in Smart Farms. Electronics, 11(2), 218. https://doi.org/10.3390/electronics11020218

