Prerequisites and Theoretical Foundations of the Statistical Method of Frequency Stabilization in Information and Telecommunication Systems
Abstract
:1. Introduction
2. Materials and Methods
- -
- Deviation of the frequency of the generator itself from the nominal value;
- -
- The deviation of the duration of the time interval from the nominal value, which is common to all generators. The latter makes it possible to exclude the contribution of the second term to the deviation of the measured phase value from the nominal value and thereby determine the deviation of the frequency of the generator itself from the nominal value.
- -
- Average signal frequency of -th oscillator on -th measuring interval coincides with the nominal frequency , and the frequency deviation has only a random component (, );
- -
- Average duration of -th the measurement time interval coincides with the nominal duration , and the deviation of the duration of the measuring interval has only a random component ().
- -
- Estimation of the duration of the deviation of -th measuring interval (, ) can be carried out by measuring the phase values of oscillator signals, only at this interval;
- -
- Forming the assessment according to the measurement results at each time interval corresponds to -multiple indirect measurement based on direct measurements () on -th measuring interval.
- -
- The evaluation in this case cannot be obtained only from the results of measurements at one interval;
- -
- The assessment obtained from the measurement results in general, is biased.
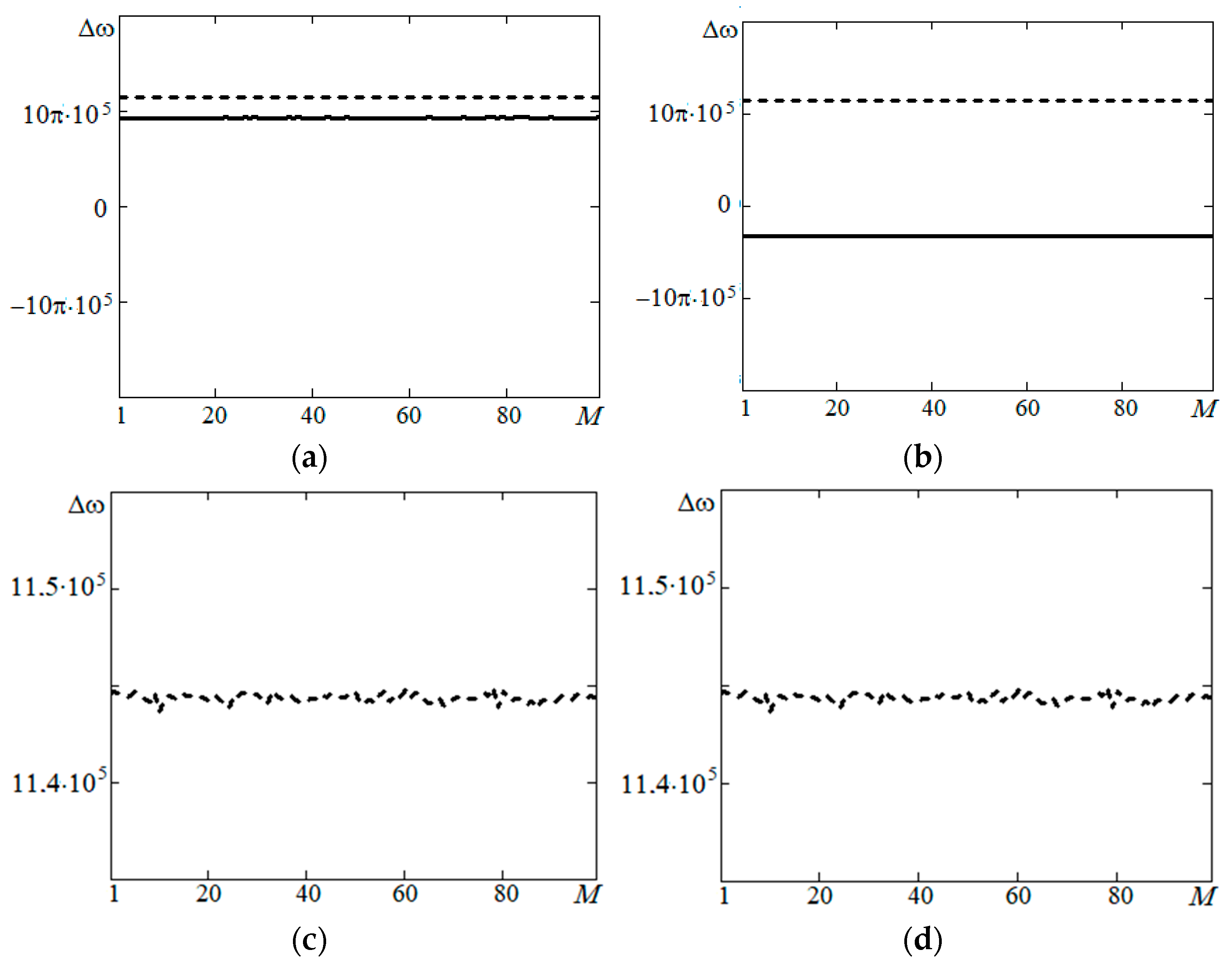
3. Results
- -
- In the system, all oscillators have the same parameters (frequency , relative instability );
- -
- In the system, oscillators belong to two groups (the frequency of the first 50 oscillators is , relative instability—, frequency of other 50 oscillators is , relative instability ).
4. Discussion
5. Conclusions
- The standard deviation of the frequency of oscillator signals when using a method based on the use of the properties of synergy and emergence of a system of simultaneously and independently operating oscillators can be reduced in once. This makes it possible to reduce the power of phase noise in the generated signal by an appropriate number of times.
- Provided the resulting estimates of the frequencies of the oscillator signals are unbiased. However, if this condition is not met, the same bias occurs for all estimates, which requires further research to exclude it.
- -
- At the first stage, the estimation bias is defined as a function of the parameters () using the relation (14);
- -
- At the second stage, the value for each of the oscillators is selected from the minimum condition of the expression , which is a function with respect to ().
Author Contributions
Funding
Data Availability Statement
Acknowledgments
Conflicts of Interest
References
- Glotov, A.F. Intellectualization of information systems: Approaches and directions. Geomatics 2015, 18–24. [Google Scholar]
- Lesson, D.B. Oscillator Phase Noise: A 50-Year Review. IEEE Trans. Ultrason. Ferroelectr. Freq. Control 2016, 63, 1208–1225. [Google Scholar] [CrossRef] [PubMed]
- Demir, A.; Mehrotra, A.; Roychowdhure, J. Phase noise in oscillators: A unifying theory and numerical methods for characterization. IEEE Trans. Circuitts Syst. I. Fundam. Theory Appl. 2000, 47, 655–674. [Google Scholar] [CrossRef] [Green Version]
- Zheng, T.; Chen, L.; Chen, T.; Wei, S.M. Virtual synchronous generator technology and prospects. Autom. Electr. Power Syst. 2015, 39, 165–175. [Google Scholar]
- Shao, H.; Li, P.; Fu, W.B.; Yang, G.H. Wind-solar grid-connected technology based on virtual synchronous generator control strategy. Electr. Autom. 2018, 40, 16–18. [Google Scholar]
- Ling, Y.L. Adaptive control of distributed power inverter based on VSG. Energy Conserv. 2020, 39, 5–9. [Google Scholar]
- Ren, D.J.; Wei, Y.B.; Xi, Z.F.; Zhang, J. Control strategy of inverter power sharing based on VSG. Power Electron. Technol. 2020, 54, 28–31. [Google Scholar]
- Huo, X.X.; Wu, P.; Huang, X.; Yan, J.J.; Wang, K.Y.; Xu, K.; Yao, C.; Chen, P.Y. Microgrid Stability Control Based on Adaptive Parameter Virtual Synchronous Machine. Electr. Power Constr. 2019, 40, 79–86. [Google Scholar]
- Cheng, G.; Shao, X.; Wang, G. Adaptive control strategy for virtual synchronous generator parameters. Renew. Energy 2021, 39, 1655–1661. [Google Scholar]
- Lu, Z.; Sheng, W.; Zhong, Q.; Liu, H.; Zeng, Z. Virtual synchronous generator and its applications in micro-grid. Proc. CSEE 2014, 34, 2591–2603. [Google Scholar]
- Zhao, D.M.; Zhang, N.; Liu, Y.H.; Zhang, X. Integrated control strategy for smooth switching of microgrid and island operation mode based on energy storage. Power Syst. Technol. 2013, 37, 301–306. [Google Scholar]
- Li, P.; Zhang, X.S.; Zhao, B.; Wang, Z.L.; Sun, J.R. Microgrid design and mode switching control strategy of multi-microgrid and multi-grid point structure. Autom. Electr. Power Syst. 2015, 39, 172–178. [Google Scholar]
- Wang, J.S.; Tang, C.H.; Chen, N.; Tan, K.; Mao, J.X. A microgrid on-off and off-grid smooth switching control strategy based on self-recognition of operating mode. Autom. Electr. Power Syst. 2015, 39, 185–191. [Google Scholar]
- Yang, Y.C.; Zhou, Z.G. Distributed power grid-connected inverter seamless switching control strategy. J. Electr. Power Syst. Autom. 2016, 28, 91–97. [Google Scholar]
- Shi, R.L.; Zhang, X.; Xu, H.Z.; Liu, F.; Hu, C.; Yu, Y. Seamless switching control strategy of microgrid operation mode based on virtual synchronous generator. Autom. Electr. Power Syst. 2016, 40, 16–23. [Google Scholar]
- Wang, C.S.; Xiao, Z.X.; Wang, S.X. Integrated control and analysis of microgrid. Autom. Electr. Power Syst. 2008, 7, 98–103. [Google Scholar]
- Bai, W.; Liu, L.Q.; Zhang, C.M.; Ma, L.Q. Seamless switching control technology of virtual synchronous generator. Autom. Instrument. 2017, 38, 13–17. [Google Scholar]
- Gu, B.S.; Wang, J.H.; Luo, F.F.; Ji, Z.D.; Lv, Z.P.; Gu, W.; Wang, T. Three phase four leg virtual synchronous generator pre synchronization, multi loop control and load imbalance control method. Acta Electrotech. Sin. 2017, 32, 138–150. [Google Scholar]
- Wan, X.F.; Zhan, Z.L.; Liao, Z.P.; Xi, R.X. Research on seamless switching strategy of virtual synchronous generator on and off grid. J. Electron. Measur. Instrum. 2018, 32, 33–40. [Google Scholar]
- Ji, Y.; Su, J.; Ding, B. Microgrid inverter VSG off-grid switching and fault handling. Control Eng. 2021, 28, 1496–1504. [Google Scholar]
- Li, B.; Zhou, L.; Yu, X.R.; Zheng, C.; Liu, J.H. A microgrid inverter secondary frequency modulation scheme based on improved virtual synchronous generator algorithm. Power Syst. Technol. 2017, 41, 2680–2687. [Google Scholar]
- Safaryan, O.A.; Pilipenko, I.A.; Boldyrikhin, N.V.; Yukhnov, V.I. Multidimensional likelihood function in the problem of estimating time-frequency parameters of signals. In Proceedings of the 2021 Radiation and Scattering of Electromagnetic Waves, RSEMW, Divnomorskoe, Russia, 28 June–2 July 2021; pp. 393–396. [Google Scholar]
- Safaryan, O.A.; Pilipenko, I.A.; Saharov, I.A. Features of Frequency Generators Stabilization in Distributed Information-Measuring Systems. In Proceedings of the 2019 Radiation and Scattering of Electromagnetic Waves, RSEMW 2019, Divnomorskoe, Russia, 24–28 June 2019; pp. 208–211. [Google Scholar]
- Safaryan, O.A.; Pilipenk, I.A. Method of estimation of generator stability parameters, RADAR. In Proceedings of the XXVI International Scientific and Technical Conference, Voronezh, Russia, 29 September–1 October 2020; pp. 204–211. [Google Scholar]




Publisher’s Note: MDPI stays neutral with regard to jurisdictional claims in published maps and institutional affiliations. |
© 2022 by the authors. Licensee MDPI, Basel, Switzerland. This article is an open access article distributed under the terms and conditions of the Creative Commons Attribution (CC BY) license (https://creativecommons.org/licenses/by/4.0/).
Share and Cite
Safaryan, O.A.; Alferova, I.A. Prerequisites and Theoretical Foundations of the Statistical Method of Frequency Stabilization in Information and Telecommunication Systems. Electronics 2022, 11, 2809. https://doi.org/10.3390/electronics11182809
Safaryan OA, Alferova IA. Prerequisites and Theoretical Foundations of the Statistical Method of Frequency Stabilization in Information and Telecommunication Systems. Electronics. 2022; 11(18):2809. https://doi.org/10.3390/electronics11182809
Chicago/Turabian StyleSafaryan, Olga Alexandrovna, and Irina Alexandrovna Alferova. 2022. "Prerequisites and Theoretical Foundations of the Statistical Method of Frequency Stabilization in Information and Telecommunication Systems" Electronics 11, no. 18: 2809. https://doi.org/10.3390/electronics11182809
APA StyleSafaryan, O. A., & Alferova, I. A. (2022). Prerequisites and Theoretical Foundations of the Statistical Method of Frequency Stabilization in Information and Telecommunication Systems. Electronics, 11(18), 2809. https://doi.org/10.3390/electronics11182809
