Design Science Research Framework for Performance Analysis Using Machine Learning Techniques
Abstract
:1. Introduction
- -
- a methodological framework using design science research (DSR) for data analysis with machine learning techniques, such as classification algorithms;
- -
- a theoretical approach to classification evaluation metrics;
- -
- a set of competencies for evaluating the managers’ performance using 360 feedback;
- -
- an approach to apply the methodological framework to a performance related dataset.
2. Materials and Methods
2.1. Machine Learning Techniques—Clustering and Classification
2.1.1. Feature Selection
2.1.2. Clustering
2.1.3. Classification
2.2. Design Science Research
3. Methods
3.1. Artifacts Development in Design Science Research
3.2. Metrics for Evaluating Classification Models
3.3. General Algorithm for Determining the Classification Model Evaluation Metrics
| Pseudocode 1 |
![]() |
| Pseudocode 2 |
![]() |
4. Analysis and Results
| Script 1 |
| from pycaret.clustering import * dataset = get_clusters(dataset, num_clusters = 4, ignore_features = [‘ID_Manager’, ‘Industry_sector’, ‘Region’]) |
| Script 2 |
| clf1 = setup(df, target = ‘Cluster’, silent = True, ignore_features = [‘ID_Manager’, ‘Industry_sector’,’Region’]) # train multiple models algorithms = [‘knn’,’dt’,’catboost’,’nb’,’rbfsvm’,’lr’,’gpc’,’mlp’,’rf’,’qda’,’ada’,’gbc’,’lda’,’et’, ‘xgboost’,’lightgbm’,’svm’,’ridge’] models = [create_model(i) for i in algorithms] final_models = [finalize_model(models[i]) for i in range(len(algorithms))] for x in range(len(algorithms)): save_model(final_models[x], ‘D:/’+ algorithms [x]) |
| Script 3 |
| algorithms = [‘knn’,’dt’,’catboost’,’nb’,’rbfsvm’,’lr’,’gpc’,’mlp’,’rf’,’qda’,’ada’,’gbc’,’lda’,’et’, ‘xgboost’,’lightgbm’,’svm’,’ridge’] from pycaret.classification import * for i in range(len(algorithms)): clasificator = load_model(‘D:/’ + algorithms[i]) dataset = predict_model(clasificator, data = dataset) dataset.rename(columns = {‘Label’:’Label_’ + algorithms[i],’Score’: ‘Score_’ + algorithms[i]}, inplace = True) |
| Script 4 |
| algorithms = [‘knn’,’dt’,’catboost’,’nb’,’rbfsvm’,’lr’,’gpc’,’mlp’,’rf’,’qda’,’ada’,’gbc’,’lda’,’et’, ‘xgboost’,’lightgbm’,’svm’,’ridge’] final_models = [finalize_model(models[i]) for i in range(len(al))] for x in range(len(al)): save_model(final_models[x], ‘D:/[x]) best = compare_models(include = al) results = pull() print(results) |
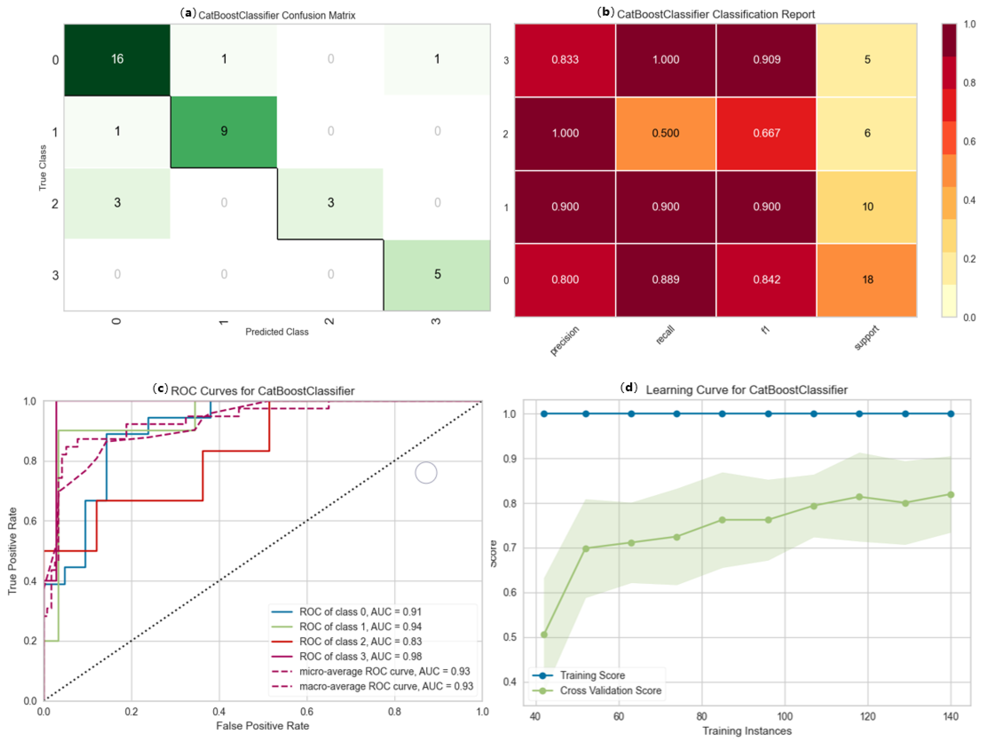
- -
- The algorithm has a significant ability to label instances correctly, particularly in classes 1 and 2.
- -
- For classes 0, 1, and 3, the algorithm had a high capacity to find all instances; however, it correctly labelled only half of the instances in class 2.
- -
- The values of f1 for classes 0, 1, and 3 are appropriate and approximately equal to an average of 0.9; however, for class 2, f1 is only 0.667. Although the precision of the classification of the instances in class 2 was 1, the algorithm identified only three out of the six instances of class 2.
5. Conclusions
Author Contributions
Funding
Acknowledgments
Conflicts of Interest
Appendix A
| Competence | Statements | Evaluation Scale | ||||
|---|---|---|---|---|---|---|
| Decision making capacity | Assess the implications of a strategic or potentially risky decision and the impact it may have on the organization | 1 | 2 | 3 | 4 | 5 |
| Make good decisions based on a mix of analysis, intuition, experience and logic. | 1 | 2 | 3 | 4 | 5 | |
| Most of the solutions and suggestions offered by him/her prove to be correct and precise in time. | 1 | 2 | 3 | 4 | 5 | |
| It takes less popular measures when the situation demands it or implements decisions even if it does not have the consent of all its subordinates. | 1 | 2 | 3 | 4 | 5 | |
| Conflict management | Manage issues firmly, directly and in a timely manner. | 1 | 2 | 3 | 4 | 5 |
| He/she is an active listener, able to understand the source of conflicts and to suggest proper solutions. | 1 | 2 | 3 | 4 | 5 | |
| It easily reaches armistices and agreements, with the involvement of a minimum number of third parties. | 1 | 2 | 3 | 4 | 5 | |
| He/she finds ways out of difficult situations and manages to value the disputes. | 1 | 2 | 3 | 4 | 5 | |
| Relationships management | It relates well to all categories of people, regardless of the hierarchical level, both inside and outside the company. | 1 | 2 | 3 | 4 | 5 |
| Communication with colleagues is clear and efficient. | 1 | 2 | 3 | 4 | 5 | |
| Provides current, direct, complete, actionable, positive and/or corrective feedback to others. | 1 | 2 | 3 | 4 | 5 | |
| Encourages open dialogue within the team. | 1 | 2 | 3 | 4 | 5 | |
| Employee motivation | Maintains a constant dialogue with the team members for whom he is responsible for the quality and quantity of work and results | 1 | 2 | 3 | 4 | 5 |
| Appreciate the extra effort and communicate its recognition | 1 | 2 | 3 | 4 | 5 | |
| He/she is actively concerned with the development of the staff for whose performance he/she is responsible | 1 | 2 | 3 | 4 | 5 | |
| Request input from each person in the team, support visibility and invest in the right people with authority | 1 | 2 | 3 | 4 | 5 | |
| Influence and negotiation | He convinces others and gains their support | 1 | 2 | 3 | 4 | 5 |
| Use convincing arguments and ideas | 1 | 2 | 3 | 4 | 5 | |
| He/she tends to negotiate whenever he/she has the opportunity | 1 | 2 | 3 | 4 | 5 | |
| It is not discouraged by arguments against its objectives | 1 | 2 | 3 | 4 | 5 | |
| Strategic thinking | Is capable to formulate new strategies and competitive plans. | 1 | 2 | 3 | 4 | 5 |
| Can accurately anticipate future consequences and trends. | 1 | 2 | 3 | 4 | 5 | |
| Can draw up a realistic and motivating strategic plan. | 1 | 2 | 3 | 4 | 5 | |
| Think long-term, corroborating information and market trends, anticipating possible developments and alternative action plans. | 1 | 2 | 3 | 4 | 5 | |
| Results orientation | He focuses his efforts on priority tasks, reserving time for other activities as well. | 1 | 2 | 3 | 4 | 5 |
| Shows a passion for business, reflected in a “can-do” attitude | 1 | 2 | 3 | 4 | 5 | |
| Helps others manage priorities by focusing on critical activities for success. | 1 | 2 | 3 | 4 | 5 | |
| Do not get lost in irrelevant details by quickly finding the shortest path to the result. | 1 | 2 | 3 | 4 | 5 | |
| Planning and organization | Can organize people, activities and resources to finish projects successfully. | 1 | 2 | 3 | 4 | 5 |
| Can coordinate multiple activities at once to accomplish one goal. | 1 | 2 | 3 | 4 | 5 | |
| He plans his activity ahead of time and sets realistic deadlines. | 1 | 2 | 3 | 4 | 5 | |
| He is a systematic and well-organized person who sets clear priorities. | 1 | 2 | 3 | 4 | 5 | |
References
- Peffers, K.; Tuunanen, T.; Rothenberger, M.A.; Chatterjee, S. A design science research methodology for information systems research. J. Manag. Inf. Syst. 2007, 24, 45–77. [Google Scholar] [CrossRef]
- Paquette, J. A Brief Introduction to Useful Data Artifacts—And the Next Generation of Data Analysis Systems. Medium, 2021. Available online: https://medium.com/tag-bio/a-brief-introduction-to-useful-data-artifacts-and-the-next-generation-of-data-analysis-systems-1f42ef91ce92 (accessed on 30 December 2021).
- Behn, R.D. Why measure performance? different purposes require different measures. Public Adm. Rev. 2003, 63, 586–606. [Google Scholar] [CrossRef]
- Stroet, H. AI in Performance Management: What Are the Effects for Line Managers? Bachelor’s Thesis, University of Twente, Enschede, The Netherlands, 2020. [Google Scholar]
- Bhardwaj, G.; Singh, S.V.; Kumar, V. An empirical study of artificial intelligence and its impact on human resource functions. In Proceedings of the 2020 International Conference on Computation, Automation and Knowledge Management (ICCAKM), Dubai, United Arab Emirates, 9–10 January 2020. [Google Scholar] [CrossRef]
- Eight-Step Guide to Performance Evaluations for Managers—The Management Center. 2021. Available online: https://www.managementcenter.org/article/eight-step-guide-to-performance-evaluations-for-managers/ (accessed on 30 December 2021).
- Attaran, M.; Deb, P. Machine learning: The new ‘big thing’ for competitive advantage. Int. J. Knowl. Eng. Data Min. 2018, 5, 277–305. [Google Scholar] [CrossRef]
- El Bouchefry, K.; de Souza, R.S. Learning in big data: Introduction to machine learning. In Knowledge Discovery in Big Data from Astronomy and Earth Observation; Elsevier: Amsterdam, The Netherlands, 2020; pp. 225–249. [Google Scholar] [CrossRef]
- Chakraborty, T. EC3: Combining clustering and classification for Ensemble Learning. In Proceedings of the 2017 IEEE International Conference on Data Mining (ICDM), New Orleans, LA, USA, 18–21 November 2017. [Google Scholar] [CrossRef] [Green Version]
- Alapati, Y.K.; Sindhu, K. Combining Clustering with Classification: A Technique to Improve Classification Accuracy. Int. J. Comput. Sci. Eng. 2016, 5, 336–338. [Google Scholar]
- Bertsimas, D.; Dunn, J. Optimal classification trees. Mach. Learn. 2017, 106, 1039–1082. [Google Scholar] [CrossRef]
- Durcevic, S. 10 Top Business Intelligence and Analytics Trends for 2020. Information Management. 2019. Available online: https://www.information-management.com/opinion/10-top-business-intelligence-and-analytics-trends-for-2020 (accessed on 20 March 2022).
- Walowe Mwadulo, M. A review on feature selection methods for classification tasks. Int. J. Comput. Appl. Technol. Res. 2016, 5, 395–402. [Google Scholar] [CrossRef]
- Dash, M.; Koot, P.W. Feature selection for clustering. In Encyclopedia of Database Systems; Springer: Boston, MA, USA, 2009; pp. 1119–1125. [Google Scholar] [CrossRef]
- Rong, M.; Gong, D.; Gao, X. Feature selection and its use in big data: Challenges, methods, and Trends. IEEE Access 2019, 7, 19709–19725. [Google Scholar] [CrossRef]
- Madhulatha, T.S. An overview on clustering methods. IOSR J. Eng. 2012, 2, 719–725. [Google Scholar] [CrossRef]
- Witten, I.H.; Frank, E.; Hall, M.A. Data Mining: Practical Machine Learning Tools and Techniques; Elsevier: Amsterdam, The Netherlands, 2011. [Google Scholar]
- Ghosal, A.; Nandy, A.; Das, A.K.; Goswami, S.; Panday, M. A short review on different clustering techniques and their applications. In Advances in Intelligent Systems and Computing; Springer: Singapore, 2019; Volume 937, pp. 69–83. [Google Scholar] [CrossRef]
- Celebi, M.E.; Kingravi, H.A. Linear, deterministic, and order-invariant initialization methods for the K-means clustering algorithm. In Partitional Clustering Algorithms; Springer: Cham, Switzerland, 2014; pp. 79–98. [Google Scholar] [CrossRef] [Green Version]
- Sinaga, K.P.; Yang, M.-S. Unsupervised K-means clustering algorithm. IEEE Access 2020, 8, 80716–80727. [Google Scholar] [CrossRef]
- Papas, D.; Tjortjis, C. Combining clustering and classification for Software Quality Evaluation. In Artificial Intelligence: Methods and Applications; Springer: Cham, Switzerland, 2014; pp. 273–286. [Google Scholar] [CrossRef]
- Loukas, S. K-Means Clustering: How It Works & Finding the Optimum Number of Clusters in the Data. Medium, 2020. Available online: https://towardsdatascience.com/k-means-clustering-how-it-works-finding-the-optimum-number-of-clusters-in-the-data-13d18739255c (accessed on 30 December 2021).
- Rani, Y.; Harish, R. A study of hierarchical clustering algorithm. Int. J. Inf. Comput. Technol. 2013, 3, 1115–1122. [Google Scholar]
- Webb, G.I.; Fürnkranz, J.; Fürnkranz, J.; Fürnkranz, J.; Hinton, G.; Sammut, C.; Sander, J.; Vlachos, M.; Teh, Y.W.; Yang, Y.; et al. Density-based clustering. In Encyclopedia of Machine Learning; Springer: Boston, MA, USA, 2011; pp. 270–273. [Google Scholar] [CrossRef]
- Grabusts, P.; Borisov, A. Using grid-clustering methods in data classification. In Proceedings of the International Conference on Parallel Computing in Electrical Engineering, Warsaw, Poland, 25 September 2002. [Google Scholar] [CrossRef]
- Duda, R.O.; Hart, P.E. Pattern Classification and Scene Analysis; Wiley: New York, NY, USA, 1973; Volume 3. [Google Scholar]
- Narula, G. Machine Learning Algorithms for Business Applications—Complete Guide. Emerj, 2021. Available online: https://emerj.com/ai-sector-overviews/machine-learning-algorithms-for-business-applications-complete-guide/ (accessed on 30 December 2021).
- How to Select a Machine Learning Algorithm—Azure Machine Learning. 2021. Available online: https://docs.microsoft.com/en-us/azure/machine-learning/how-to-select-algorithms (accessed on 30 December 2021).
- Zhao, L.; Lee, S.; Jeong, S.P. Decision tree application to classification problems with boosting algorithm. Electronics 2021, 10, 1903. [Google Scholar] [CrossRef]
- Nunamaker, J.F.; Chen, M.; Purdin, T.D.M. Systems development in information systems research. J. Manag. Inf. Syst. 1990, 7, 89–106. [Google Scholar] [CrossRef]
- Weber, S. Design Science Research: Paradigm or Approach? AMCIS 2010 Proceedings. 2010. Available online: https://aisel.aisnet.org/amcis2010/214/ (accessed on 2 March 2022).
- Hevner, A.; March, S.; Park, J.; Ram, S. Design science in information systems research. MIS Q. Manag. Inf. Syst. 2004, 28, 75–105. [Google Scholar] [CrossRef] [Green Version]
- Venable, J.R.; Heje, J.P.; Baskerville, R.L. Choosing a Desing Science Research Methodology. ACIS 2017 Proceedings. 2017. Available online: https://aisel.aisnet.org/acis2017/112 (accessed on 2 March 2022).
- Vaishnavi, V.; Kuechler, W.; Petter, S. (Eds.) Design Science Research in Information Systems; Association for Information Systems: Atlanta, GA, USA, 2004; Available online: http://www.desrist.org/design-research-in-information-systems/ (accessed on 2 March 2022).
- Sein, M.K.; Henfridsson, O.; Purao, S.; Rossi, M.; Lindgren, R. Action design research. MIS Q. Manag. Inf. Syst. 2011, 35, 37–56. [Google Scholar] [CrossRef] [Green Version]
- Baskerville, R.; Pries-Heje, J.; Venable, J. Soft design science methodology. In Proceedings of the 4th International Conference on Design Science Research in Information Systems and Technology—DESRIST’09, Philadelphia, PA, USA, 6–8 May 2009. [Google Scholar] [CrossRef]
- Bilandzic, M.; Venable, J. Towards participatory action design research: Adapting Action Research and Design Science Research Methods for Urban Informatics. J. Community Inform. 2011, 7. [Google Scholar] [CrossRef]
- Ahmed, M.; Sundaram, D. Design Science Research Methodology: An Artefact-Centric Creation and Evaluation Approach. In Proceedings of the Australasian Conference on Information Systems (ACIS), Sydney, Australia, 30 November–2 December 2011. [Google Scholar]
- Herselman, M.; Botha, A. Evaluating an artifact in Design Science Research. In Proceedings of the 2015 Annual Research Conference on South African Institute of Computer Scientists and Information Technologists—SAICSIT’15, Stellenbosch, South Africa, 28–30 September 2015. [Google Scholar] [CrossRef]
- Peffers, K.; Tuunanen, T.; Niehaves, B. Design science research genres: Introduction to the special issue on exemplars and criteria for applicable Design Science Research. Eur. J. Inf. Syst. 2018, 27, 129–139. [Google Scholar] [CrossRef] [Green Version]
- Muntean, M.; Dănăiaţă, D.; Hurbean, L.; Jude, C. A Business Intelligence & Analytics framework for clean and affordable energy data analysis. Sustainability 2021, 13, 638. [Google Scholar] [CrossRef]
- Elragal, A.; Haddara, M. Design science research: Evaluation in the lens of Big Data Analytics. Systems 2019, 7, 27. [Google Scholar] [CrossRef] [Green Version]
- Achampong, E.K.; Dzidonu, C. Methodological Framework for Artefact Design and Development in Design Science Research. J. Adv. Sci. Technol. Res. 2017, 4, 1–8. Available online: https://www.researchgate.net/publication/329775397_Methodological_Framework_for_Artefact_Design_and_Development_in_Design_Science_Research (accessed on 30 December 2021).
- Chicco, D.; Jurman, G. The advantages of the Matthews correlation coefficient (MCC) over F1 score and accuracy in binary classification evaluation. BMC Genom. 2020, 21, 6. [Google Scholar] [CrossRef] [Green Version]
- Martens, D.; Baesens, B. Building acceptable classification models. In Annals of Information Systems; Springer: Boston, MA, USA, 2009; pp. 53–74. [Google Scholar] [CrossRef]
- Choi, J.-G.; Ko, I.; Kim, J.; Jeon, Y.; Han, S. Machine Learning Framework for multi-level classification of company revenue. IEEE Access 2021, 9, 96739–96750. [Google Scholar] [CrossRef]
- Muhammad, R.; Nadeem, A.; Azam Sindhu, M. Vovel metrics—Novel coupling metrics for improved software fault prediction. PeerJ Comput. Sci. 2021, 7, e590. [Google Scholar] [CrossRef] [PubMed]
- Hossin, M.; Sulaiman, M.N. A review on evaluation metrics for Data Classification Evaluations. Int. J. Data Min. Knowl. Manag. Process 2015, 5, 2. [Google Scholar] [CrossRef]
- Vujovic, Ž.Ð. Classification Model Evaluation Metrics. Int. J. Adv. Comput. Sci. Appl. 2021, 12, 6. [Google Scholar] [CrossRef]
- Apt360. Chestionar Pentru Evaluarea Managerilor Din Prima Linie. 2019. Available online: https://www.evaluare360.ro/wp-content/uploads/2019/01/Chestionar-angajati-Manageri-prima-line2019.pdf (accessed on 30 December 2021).
- Pramoditha, R. 5 Cute Features of CatBoost. Towardsdatascience, 2021. Available online: https://towardsdatascience.com/5-cute-features-of-catboost-61532c260f69 (accessed on 30 December 2021).
- Huilgol, P. Accuracy vs. F1-Score. Medium, 2021. Available online: https://medium.com/analytics-vidhya/accuracy-vs-f1-score-6258237beca2 (accessed on 30 December 2021).
- Goecks, L.S.; De Souza, M.; Librelato, T.P.; Trento, L.R. Design Science Research in practice: Review of applications in Industrial Engineering. Gest. Prod. 2021, 28, e5811. [Google Scholar] [CrossRef]












| Phase | Activity | Research Methods, Techniques and Tools |
|---|---|---|
| Phase 0 | Problem identification and Motivation Objectives establishment | Brainstorming, systems review and analysis, literature study, interviews, focus group |
| Phase 1 Phase n | Activities | Literature review, system analysis, field and case study. artifacts engineering |
| Validation | Simulation, informed argument, controlled experiment, case study, field study | |
| Communication | Communication framework |
| Phase | Activity/Task | Artifact (Output) |
|---|---|---|
| Ph0. Phase 0 | A01. Problem identification and Motivation A02. Objectives establishment | O01. Objectives of the solution O02. Requirements for final data visualizations |
| Ph1. Phase 1 | A11. Understanding the data Task1. Establishing the data that are necessary for the business analysis, Task2. Identifying the issues that affect the data quality A12. Validation of the information artifacts A13. Communicating the result | O11. Data specifications |
| Ph2. Phase 2 | A21. Data set design and development Task1. Accessing data sources and retrieving data Task2. Features selection Task3. Data cleaning Task4. Data transforming A22. Validation of the information artifact A23. Communication of the result | O21. Dataset |
| Ph3. Phase 3 | A31. Data modelling through clustering Task1. Choosing the clustering algorithm depending on analysis objectives, type of data, size of the dataset, cleanliness of the data Task2. Performing the clustering A32. Validation of the information artifact A33. Communication of the result | O31. Labelled dataset |
| Ph4. Phase 4 | A41. Data modelling through classification Task1. Establishing the training (80%) and test dataset (20%) Task2. Train the model for different classification algorithms Task3. Test the models Task4. Evaluate each model and select the best classification algorithm A42. Validation of the information artefacts A43. Communication of the result | O41. Training dataset O42. Test dataset O43. Classification data models O44. Results of the testing process O45. Evaluation metrics results |
| Ph5. Phase 5 | A51. Prediction with the best classification algorithm | O51. Class labels and scores for the new dataset |
| No. | Metric Name | Metric Description | |
|---|---|---|---|
| 0 | true positive (TP), true negative (TN), false positive (FP), false negative (FN) | ||
| 1 | Confusion matrix (CM) | is a summary of the prediction results; the number of correct and incorrect predictions is summarized with count values and broken down by class | ![]() |
| 2 | Precision (P) | is the number of correct classes returned by the classification model. | |
| 3 | Recall (R) | is the ability of a model to find all relevant cases within a dataset, and is the number of true positives divided by the number of true positives plus the number of false negatives | |
| 4 | F1 score | is the harmonic mean of precision and recall | |
| 5 | Receiver operating characteristic (ROC) curve | the ROC curve shows how the recall vs. precision relationship changes as we vary the threshold for identifying a positive data point in our model | ![]() |
| 6 | Area under the ROC curve (AOC) | is the measure of the ability of a classifier to (AOC) distinguish between classes and is used as a summary of the ROC curve. | |
| 7 | Accuracy (A) | the number of correct predictions made as a ratio of all predictions made. | |
| 8 | Classification report | is used to measure the quality of predictions from a classification algorithm; the following measures are displayed: precision, recall, F1, and support scores. | ![]() |
Publisher’s Note: MDPI stays neutral with regard to jurisdictional claims in published maps and institutional affiliations. |
© 2022 by the authors. Licensee MDPI, Basel, Switzerland. This article is an open access article distributed under the terms and conditions of the Creative Commons Attribution (CC BY) license (https://creativecommons.org/licenses/by/4.0/).
Share and Cite
Muntean, M.; Militaru, F.D. Design Science Research Framework for Performance Analysis Using Machine Learning Techniques. Electronics 2022, 11, 2504. https://doi.org/10.3390/electronics11162504
Muntean M, Militaru FD. Design Science Research Framework for Performance Analysis Using Machine Learning Techniques. Electronics. 2022; 11(16):2504. https://doi.org/10.3390/electronics11162504
Chicago/Turabian StyleMuntean, Mihaela, and Florin Daniel Militaru. 2022. "Design Science Research Framework for Performance Analysis Using Machine Learning Techniques" Electronics 11, no. 16: 2504. https://doi.org/10.3390/electronics11162504
APA StyleMuntean, M., & Militaru, F. D. (2022). Design Science Research Framework for Performance Analysis Using Machine Learning Techniques. Electronics, 11(16), 2504. https://doi.org/10.3390/electronics11162504






