Recent Advances in Harris Hawks Optimization: A Comparative Study and Applications
Abstract
:1. Introduction
- Good convergence speed.
- Powerful neighborhood search characteristic.
- Good balance between exploration and exploitation.
- Suitable for many kinds of problems.
- Easy to implement.
- Adaptability, scalability, flexibility, and robustness.
2. Review Methodology
3. Harris Hawks Optimization (HHO)
| Algorithm 1 Harris Hawks Optimization Algorithm. |
|
4. Experimental Results
4.1. Parameter Setting
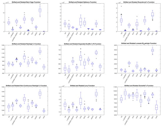
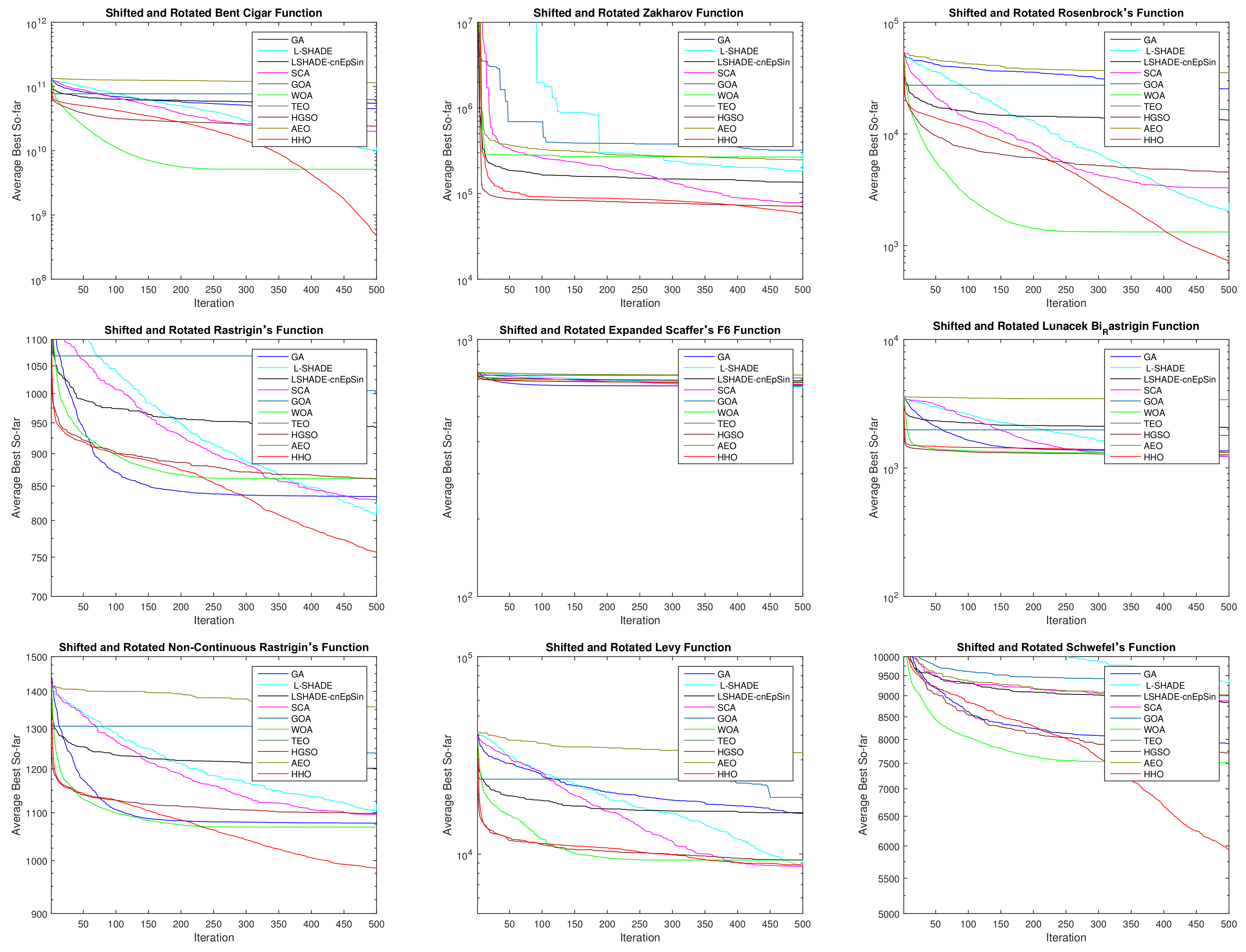
4.2. Experimental Results of CEC 2005
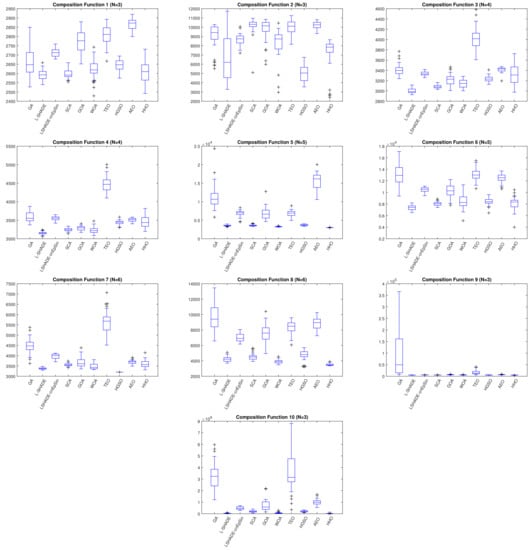
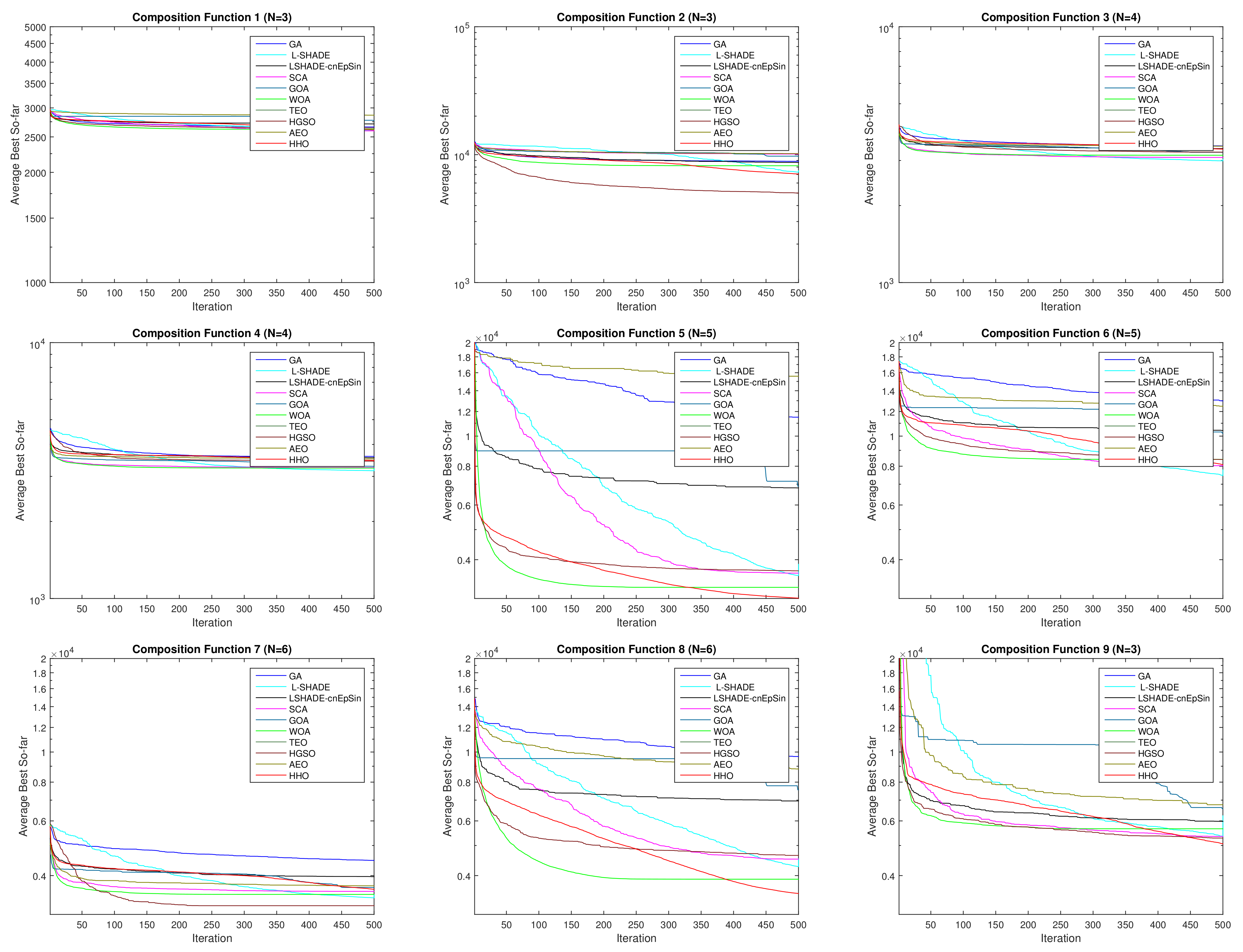
4.3. Experimental Results of CEC 2017
5. HHO Variants
5.1. Enhancement to HHO
5.1.1. Enhanced HHO
5.1.2. Binary HHO
5.1.3. Opposite HHO
5.1.4. Modified HHO
5.1.5. Improved HHO
5.1.6. Chaotic HHO
5.1.7. Dynamic HHO with Mutation Mechanism
5.1.8. Other HHO Variants
5.2. Hybrid HHO
| SN. | Modification Name | Ref. | Authors | Journal/Conf. | Year | Remarks |
|---|---|---|---|---|---|---|
| 1 | MHHO | [174] | Jouhari et al. | Symmetry | 2020 | SSA has been used as a local search in HHO. |
| 2 | HHOSA | [175] | Attiya et al. | Computational Intelligence and Neuroscience | 2020 | SA is used as a local search strategy. The authors applied HHOSA in a job scheduling problem. |
| 3 | IHDEHHO | [176] | Fu et al. | Renewable Energy | 2020 | Improved Differential evolution version is hybridized with HHO. |
| 4 | HHOSSA | [177] | Abd Elaziz et al. | Applied Soft Computing | 2020 | Population is divided into 2 halves, the first half using HHO and other half using SSA. |
| 5 | CHHO-CS | [178] | Houssein et al. | Scientific Reports | 2020 | HHO is hybridized with cuckoo search and chaotic theory. |
| 6 | HMPA | [179] | Barshandeh et al. | Engineering with Computers | 2020 | Population is divided to many subpopulations. Then, HHO and AEO are used. |
| 7 | HHO-HGSO | [180] | Xie et al. | IEEE Access | 2020 | HHO is combined with HGSO algorithm. |
| 8 | IEHHO | [181] | Fu et al. | Energy Conversion and Management | 2020 | 2 layers for population activity were developed. In the first layer a mutation-based GWO was used, and in the second one HHO was used. |
| 9 | hHHO-SCA | [183] | Kamboj et al. | Applied Soft Computing | 2020 | HHO is combined with SCA (hHHO-SCA). |
5.3. Multiobject HHO
6. HHO Applications
6.1. Power
6.1.1. Optimal Power Flow
6.1.2. Distributed Generation
6.1.3. Photovoltaic Models
6.1.4. Wind Applications
6.1.5. Economic Load Dispatch Problem
6.1.6. Unit Commitment Problem
6.2. Computer Science
6.2.1. Artificial Neural Network
6.2.2. Image Processing
6.2.3. Scheduling Problem
6.2.4. Feature Selection
6.2.5. Traveling Salesman Problem
6.3. Wireless Sensor Network
6.4. Medical Applications
6.5. Chemical Engineering and Drug Discovery
6.6. Electronic and Control Engineering
6.7. Geological Engineering
6.8. Building and Construction or Civil Engineering
6.9. Coronavirus COVID-19
6.10. Other Applications
6.10.1. Microchannel Heat Sinks Design
6.10.2. Chart Patterns Recognition
6.10.3. Water Distribution
6.10.4. Internet of Things
6.10.5. Short-Term Load Forecasting
6.10.6. Cardiomyopathy
6.10.7. Qos-Aware Service Composition
6.10.8. PEMFC Parameter Estimation
6.10.9. DVR Control System
7. A Brief Discussion
8. Conclusions and Future Work
Author Contributions
Funding
Acknowledgments
Conflicts of Interest
References
- Abualigah, L. Group search optimizer: A nature-inspired meta-heuristic optimization algorithm with its results, variants, and applications. Neural Comput. Appl. 2020, 33, 2949–2972. [Google Scholar] [CrossRef]
- Zitar, R.A.; Abualigah, L.; Al-Dmour, N.A. Review and analysis for the Red Deer Algorithm. J. Ambient. Intell. Humaniz. Comput. 2021, 1–11. [Google Scholar] [CrossRef] [PubMed]
- Hashim, F.A.; Salem, N.M.; Seddik, A.F. Automatic segmentation of optic disc from color fundus images. Jokull J. 2013, 63, 142–153. [Google Scholar]
- Fathi, H.; AlSalman, H.; Gumaei, A.; Manhrawy, I.I.; Hussien, A.G.; El-Kafrawy, P. An Efficient Cancer Classification Model Using Microarray and High-Dimensional Data. Comput. Intell. Neurosci. 2021, 2021, 7231126. [Google Scholar] [CrossRef] [PubMed]
- Nadimi-Shahraki, M.H.; Taghian, S.; Mirjalili, S.; Zamani, H.; Bahreininejad, A. GGWO: Gaze cues learning-based grey wolf optimizer and its applications for solving engineering problems. J. Comput. Sci. 2022, 61, 101636. [Google Scholar] [CrossRef]
- Almotairi, K.H.; Abualigah, L. Hybrid reptile search algorithm and remora optimization algorithm for optimization tasks and data clustering. Symmetry 2022, 14, 458. [Google Scholar] [CrossRef]
- Shah, A.; Azam, N.; Alanazi, E.; Yao, J. Image blurring and sharpening inspired three-way clustering approach. Appl. Intell. 2022, 1–25. [Google Scholar] [CrossRef]
- Alotaibi, Y. A New Meta-Heuristics Data Clustering Algorithm Based on Tabu Search and Adaptive Search Memory. Symmetry 2022, 14, 623. [Google Scholar] [CrossRef]
- Tejani, G.G.; Kumar, S.; Gandomi, A.H. Multi-objective heat transfer search algorithm for truss optimization. Eng. Comput. 2021, 37, 641–662. [Google Scholar] [CrossRef]
- Shehab, M.; Abualigah, L.; Al Hamad, H.; Alabool, H.; Alshinwan, M.; Khasawneh, A.M. Moth–flame optimization algorithm: Variants and applications. Neural Comput. Appl. 2020, 32, 9859–9884. [Google Scholar] [CrossRef]
- Abualigah, L. Multi-verse optimizer algorithm: A comprehensive survey of its results, variants, and applications. Neural Comput. Appl. 2020, 32, 12381–12401. [Google Scholar] [CrossRef]
- Islam, M.J.; Basalamah, S.; Ahmadi, M.; Sid-Ahmed, M.A. Capsule image segmentation in pharmaceutical applications using edge-based techniques. In Proceedings of the 2011 IEEE International Conference on Electro/Information Technology, Mankato, MN, USA, 15–17 May 2011; pp. 1–5. [Google Scholar]
- Kumar, S.; Tejani, G.G.; Pholdee, N.; Bureerat, S. Multi-objective passing vehicle search algorithm for structure optimization. Expert Syst. Appl. 2021, 169, 114511. [Google Scholar] [CrossRef]
- Holland, J.H. Genetic algorithms. Sci. Am. 1992, 267, 66–73. [Google Scholar] [CrossRef]
- Koza, J.R. Genetic Programming II, Automatic Discovery of Reusable Subprograms; MIT Press: Cambridge, MA, USA, 1992. [Google Scholar]
- Storn, R.; Price, K. Differential evolution–a simple and efficient heuristic for global optimization over continuous spaces. J. Glob. Optim. 1997, 11, 341–359. [Google Scholar] [CrossRef]
- Beyer, H.G.; Schwefel, H.P. Evolution strategies—A comprehensive introduction. Nat. Comput. 2002, 1, 3–52. [Google Scholar] [CrossRef]
- Abualigah, L.; Diabat, A.; Mirjalili, S.; Abd Elaziz, M.; Gandomi, A.H. The Arithmetic Optimization Algorithm. Comput. Methods Appl. Mech. Eng. 2021, 376, 113609. [Google Scholar] [CrossRef]
- Eberhart, R.; Kennedy, J. A new optimizer using particle swarm theory. In Proceedings of the MHS’95. Proceedings of the Sixth International Symposium on Micro Machine and Human Science, Nagoya, Japan, 4–6 October 1995; pp. 39–43. [Google Scholar]
- Dorigo, M.; Di Caro, G. Ant colony optimization: A new meta-heuristic. In Proceedings of the 1999 Congress on Evolutionary Computation-CEC99 (Cat. No. 99TH8406), Washington, DC, USA, 6–9 July 1999; Volume 2, pp. 1470–1477. [Google Scholar]
- Geem, Z.W.; Kim, J.H.; Loganathan, G.V. A new heuristic optimization algorithm: Harmony search. Simulation 2001, 76, 60–68. [Google Scholar] [CrossRef]
- Karaboga, D.; Basturk, B. A powerful and efficient algorithm for numerical function optimization: Artificial bee colony (ABC) algorithm. J. Glob. Optim. 2007, 39, 459–471. [Google Scholar] [CrossRef]
- Formato, R.A. Central Force Optimization. Prog. Electromagn. Res. 2007, 77, 425–491. [Google Scholar] [CrossRef] [Green Version]
- Simon, D. Biogeography-based optimization. IEEE Trans. Evol. Comput. 2008, 12, 702–713. [Google Scholar] [CrossRef] [Green Version]
- Yang, X.S.; Deb, S. Cuckoo search via Lévy flights. In Proceedings of the 2009 World Congress on Nature & Biologically Inspired Computing (NaBIC), Coimbatore, India, 9–11 December 2009; pp. 210–214. [Google Scholar]
- Das, S.; Biswas, A.; Dasgupta, S.; Abraham, A. Bacterial foraging optimization algorithm: Theoretical foundations, analysis, and applications. In Foundations of Computational Intelligence; Springer: Berlin/Heidelberg, Germany, 2009; Volume 3, pp. 23–55. [Google Scholar]
- Rashedi, E.; Nezamabadi-Pour, H.; Saryazdi, S. GSA: A gravitational search algorithm. Inf. Sci. 2009, 179, 2232–2248. [Google Scholar] [CrossRef]
- Yang, X.S. Firefly algorithm, stochastic test functions and design optimisation. Int. J. Bio-Inspired Comput. 2010, 2, 78–84. [Google Scholar] [CrossRef]
- Rao, R.V.; Savsani, V.J.; Vakharia, D. Teaching–learning-based optimization: A novel method for constrained mechanical design optimization problems. Comput.-Aided Des. 2011, 43, 303–315. [Google Scholar] [CrossRef]
- Pan, W.T. A new fruit fly optimization algorithm: Taking the financial distress model as an example. Knowl.-Based Syst. 2012, 26, 69–74. [Google Scholar] [CrossRef]
- Gandomi, A.H.; Alavi, A.H. Krill herd: A new bio-inspired optimization algorithm. Commun. Nonlinear Sci. Numer. Simul. 2012, 17, 4831–4845. [Google Scholar] [CrossRef]
- Mirjalili, S.; Mirjalili, S.M.; Lewis, A. Grey wolf optimizer. Adv. Eng. Softw. 2014, 69, 46–61. [Google Scholar] [CrossRef] [Green Version]
- Heidari, A.A.; Mirjalili, S.; Faris, H.; Aljarah, I.; Mafarja, M.; Chen, H. Harris hawks optimization: Algorithm and applications. Future Gener. Comput. Syst. 2019, 97, 849–872. [Google Scholar] [CrossRef]
- Hashim, F.A.; Houssein, E.H.; Mabrouk, M.S.; Al-Atabany, W.; Mirjalili, S. Henry gas solubility optimization: A novel physics-based algorithm. Future Gener. Comput. Syst. 2019, 101, 646–667. [Google Scholar] [CrossRef]
- Li, S.; Chen, H.; Wang, M.; Heidari, A.A.; Mirjalili, S. Slime mould algorithm: A new method for stochastic optimization. Future Gener. Comput. Syst. 2020, 111, 300–323. [Google Scholar] [CrossRef]
- Hashim, F.A.; Hussien, A.G. Snake Optimizer: A novel meta-heuristic optimization Algorithm. Knowl.-Based Syst. 2022, 242, 108320. [Google Scholar] [CrossRef]
- Abualigah, L.; Shehab, M.; Alshinwan, M.; Mirjalili, S.; Abd Elaziz, M. Ant Lion Optimizer: A Comprehensive Survey of Its Variants and Applications. Arch. Comput. Methods Eng 2020, 242, 108320. [Google Scholar] [CrossRef]
- Alsalibi, B.; Mirjalili, S.; Abualigah, L.; Gandomi, A.H. A Comprehensive Survey on the Recent Variants and Applications of Membrane-Inspired Evolutionary Algorithms. Arch. Comput. Methods Eng. 2022, 1–17. [Google Scholar] [CrossRef]
- Hashim, F.; Salem, N.; Seddik, A. Optic disc boundary detection from digital fundus images. J. Med. Imaging Health Inform. 2015, 5, 50–56. [Google Scholar] [CrossRef]
- Abualigah, L.; Almotairi, K.H.; Abd Elaziz, M.; Shehab, M.; Altalhi, M. Enhanced Flow Direction Arithmetic Optimization Algorithm for mathematical optimization problems with applications of data clustering. Eng. Anal. Bound. Elem. 2022, 138, 13–29. [Google Scholar] [CrossRef]
- Kumar, S.; Tejani, G.G.; Pholdee, N.; Bureerat, S.; Mehta, P. Hybrid heat transfer search and passing vehicle search optimizer for multi-objective structural optimization. Knowl.-Based Syst. 2021, 212, 106556. [Google Scholar] [CrossRef]
- Abualigah, L.; Shehab, M.; Alshinwan, M.; Alabool, H. Salp swarm algorithm: A comprehensive survey. Neural Comput. Appl. 2019, 32, 11195–11215. [Google Scholar] [CrossRef]
- Nadimi-Shahraki, M.H.; Zamani, H. DMDE: Diversity-maintained multi-trial vector differential evolution algorithm for non-decomposition large-scale global optimization. Expert Syst. Appl. 2022, 198, 116895. [Google Scholar] [CrossRef]
- Zamani, H.; Nadimi-Shahraki, M.H.; Gandomi, A.H. Starling murmuration optimizer: A novel bio-inspired algorithm for global and engineering optimization. Comput. Methods Appl. Mech. Eng. 2022, 392, 114616. [Google Scholar] [CrossRef]
- Abualigah, L.; Diabat, A.; Geem, Z.W. A Comprehensive Survey of the Harmony Search Algorithm in Clustering Applications. Appl. Sci. 2020, 10, 3827. [Google Scholar] [CrossRef]
- Abualigah, L.; Gandomi, A.H.; Elaziz, M.A.; Hussien, A.G.; Khasawneh, A.M.; Alshinwan, M.; Houssein, E.H. Nature-inspired optimization algorithms for text document clustering—A comprehensive analysis. Algorithms 2020, 13, 345. [Google Scholar] [CrossRef]
- Nadimi-Shahraki, M.H.; Fatahi, A.; Zamani, H.; Mirjalili, S.; Abualigah, L.; Abd Elaziz, M. Migration-based moth-flame optimization algorithm. Processes 2021, 9, 2276. [Google Scholar] [CrossRef]
- Mirjalili, S.; Lewis, A. The whale optimization algorithm. Adv. Eng. Softw. 2016, 95, 51–67. [Google Scholar] [CrossRef]
- Nadimi-Shahraki, M.H.; Taghian, S.; Mirjalili, S.; Ewees, A.A.; Abualigah, L.; Abd Elaziz, M. MTV-MFO: Multi-Trial Vector-Based Moth-Flame Optimization Algorithm. Symmetry 2021, 13, 2388. [Google Scholar] [CrossRef]
- Fatani, A.; Dahou, A.; Al-Qaness, M.A.; Lu, S.; Elaziz, M.A. Advanced feature extraction and selection approach using deep learning and Aquila optimizer for IoT intrusion detection system. Sensors 2021, 22, 140. [Google Scholar] [CrossRef] [PubMed]
- Molina, D.; Poyatos, J.; Del Ser, J.; García, S.; Hussain, A.; Herrera, F. Comprehensive Taxonomies of Nature-and Bio-inspired Optimization: Inspiration versus Algorithmic Behavior, Critical Analysis and Recommendations. arXiv 2020, arXiv:2002.08136. [Google Scholar] [CrossRef]
- Nadimi-Shahraki, M.H.; Taghian, S.; Mirjalili, S.; Abualigah, L.; Abd Elaziz, M.; Oliva, D. EWOA-OPF: Effective Whale Optimization Algorithm to Solve Optimal Power Flow Problem. Electronics 2021, 10, 2975. [Google Scholar] [CrossRef]
- Kharrich, M.; Abualigah, L.; Kamel, S.; AbdEl-Sattar, H.; Tostado-Véliz, M. An Improved Arithmetic Optimization Algorithm for design of a microgrid with energy storage system: Case study of El Kharga Oasis, Egypt. J. Energy Storage 2022, 51, 104343. [Google Scholar] [CrossRef]
- Niu, P.; Niu, S.; Chang, L. The defect of the Grey Wolf optimization algorithm and its verification method. Knowl.-Based Syst. 2019, 171, 37–43. [Google Scholar] [CrossRef]
- Hashim, F.; Mabrouk, M.S.; Al-Atabany, W. GWOMF: Grey Wolf Optimization for Motif Finding. In Proceedings of the 2017 13th International Computer Engineering Conference (ICENCO), Cairo, Egypt, 27–28 December 2017; pp. 141–146. [Google Scholar]
- Sörensen, K. Metaheuristics—The metaphor exposed. Int. Trans. Oper. Res. 2015, 22, 3–18. [Google Scholar] [CrossRef]
- Hassanien, A.E.; Emary, E. Swarm Intelligence: Principles, Advances, and Applications; CRC Press: Boca Raton, FL, USA, 2018. [Google Scholar]
- Koza, J.R. Genetic Programming II; MIT Press: Cambridge, UK, 1994; Volume 17. [Google Scholar]
- Yao, X.; Liu, Y.; Lin, G. Evolutionary programming made faster. IEEE Trans. Evol. Comput. 1999, 3, 82–102. [Google Scholar]
- Andrew, A.M. Evolution and optimum seeking. Kybernetes 1998, 27, 975–978. [Google Scholar] [CrossRef]
- Civicioglu, P. Backtracking search optimization algorithm for numerical optimization problems. Appl. Math. Comput. 2013, 219, 8121–8144. [Google Scholar] [CrossRef]
- Karaboga, D.; Basturk, B. Artificial bee colony (ABC) optimization algorithm for solving constrained optimization problems. In International Fuzzy Systems Association World Congress; Springer: Berlin/Heidelberg, Germany, 2007; pp. 789–798. [Google Scholar]
- Yang, X.S. Firefly algorithms for multimodal optimization. In International Symposium on Stochastic Algorithms; Springer: Berlin/Heidelberg, Germany, 2009; pp. 169–178. [Google Scholar]
- Mostafa, R.R.; Hussien, A.G.; Khan, M.A.; Kadry, S.; Hashim, F. Enhanced COOT optimization algorithm for Dimensionality Reduction. In Proceedings of the 2022 Fifth International Conference of Women in Data Science at Prince Sultan University (WiDS PSU), Riyadh, Saudi Arabia, 28–29 March 2022. [Google Scholar] [CrossRef]
- Chu, S.C.; Tsai, P.W.; Pan, J.S. Cat swarm optimization. In Pacific Rim International Conference on Artificial Intelligence; Springer: Berlin/Heidelberg, Germany, 2006; pp. 854–858. [Google Scholar]
- Yang, X.S. A new metaheuristic bat-inspired algorithm. In Nature Inspired Cooperative Strategies for Optimization (NICSO 2010); Springer: Berlin/Heidelberg, Germany, 2010; pp. 65–74. [Google Scholar]
- Kumar, S.; Tejani, G.G.; Mirjalili, S. Modified symbiotic organisms search for structural optimization. Eng. Comput. 2019, 35, 1269–1296. [Google Scholar] [CrossRef] [Green Version]
- Nadimi-Shahraki, M.H.; Fatahi, A.; Zamani, H.; Mirjalili, S.; Abualigah, L. An Improved Moth-Flame Optimization Algorithm with Adaptation Mechanism to Solve Numerical and Mechanical Engineering Problems. Entropy 2021, 23, 1637. [Google Scholar] [CrossRef] [PubMed]
- Hussien, A.G.; Amin, M.; Abd El Aziz, M. A comprehensive review of moth-flame optimisation: Variants, hybrids, and applications. J. Exp. Theor. Artif. Intell. 2020, 32, 705–725. [Google Scholar] [CrossRef]
- Hussien, A.G.; Heidari, A.A.; Ye, X.; Liang, G.; Chen, H.; Pan, Z. Boosting whale optimization with evolution strategy and Gaussian random walks: An image segmentation method. Eng. Comput. 2022, 1–45. [Google Scholar] [CrossRef]
- Hussien, A.G.; Hassanien, A.E.; Houssein, E.H.; Amin, M.; Azar, A.T. New binary whale optimization algorithm for discrete optimization problems. Eng. Optim. 2020, 52, 945–959. [Google Scholar] [CrossRef]
- Hussien, A.G.; Oliva, D.; Houssein, E.H.; Juan, A.A.; Yu, X. Binary whale optimization algorithm for dimensionality reduction. Mathematics 2020, 8, 1821. [Google Scholar] [CrossRef]
- Saremi, S.; Mirjalili, S.; Lewis, A. Grasshopper optimisation algorithm: Theory and application. Adv. Eng. Softw. 2017, 105, 30–47. [Google Scholar] [CrossRef] [Green Version]
- Mirjalili, S.; Gandomi, A.H.; Mirjalili, S.Z.; Saremi, S.; Faris, H.; Mirjalili, S.M. Salp Swarm Algorithm: A bio-inspired optimizer for engineering design problems. Adv. Eng. Softw. 2017, 114, 163–191. [Google Scholar] [CrossRef]
- Hussien, A.G. An enhanced opposition-based Salp Swarm Algorithm for global optimization and engineering problems. J. Ambient. Intell. Humaniz. Comput. 2021, 13, 129–150. [Google Scholar] [CrossRef]
- Hussien, A.G.; Amin, M.; Wang, M.; Liang, G.; Alsanad, A.; Gumaei, A.; Chen, H. Crow Search Algorithm: Theory, Recent Advances, and Applications. IEEE Access 2020, 8, 173548–173565. [Google Scholar] [CrossRef]
- Cheng, M.Y.; Prayogo, D. Symbiotic organisms search: A new metaheuristic optimization algorithm. Comput. Struct. 2014, 139, 98–112. [Google Scholar] [CrossRef]
- Abualigah, L.; Abd Elaziz, M.; Sumari, P.; Geem, Z.W.; Gandomi, A.H. Reptile Search Algorithm (RSA): A nature-inspired meta-heuristic optimizer. Expert Syst. Appl. 2022, 191, 116158. [Google Scholar] [CrossRef]
- Arora, S.; Singh, S. Butterfly optimization algorithm: A novel approach for global optimization. Soft Comput. 2019, 23, 715–734. [Google Scholar] [CrossRef]
- Wang, S.; Hussien, A.G.; Jia, H.; Abualigah, L.; Zheng, R. Enhanced Remora Optimization Algorithm for Solving Constrained Engineering Optimization Problems. Mathematics 2022, 10, 1696. [Google Scholar] [CrossRef]
- Zheng, R.; Jia, H.; Abualigah, L.; Liu, Q.; Wang, S. An improved arithmetic optimization algorithm with forced switching mechanism for global optimization problems. Math. Biosci. Eng. 2022, 19, 473–512. [Google Scholar] [CrossRef]
- Dhiman, G.; Kumar, V. Seagull optimization algorithm: Theory and its applications for large-scale industrial engineering problems. Knowl.-Based Syst. 2019, 165, 169–196. [Google Scholar] [CrossRef]
- Assiri, A.S.; Hussien, A.G.; Amin, M. Ant Lion Optimization: Variants, hybrids, and applications. IEEE Access 2020, 8, 77746–77764. [Google Scholar] [CrossRef]
- Kirkpatrick, S.; Gelatt, C.D.; Vecchi, M.P. Optimization by simulated annealing. Science 1983, 220, 671–680. [Google Scholar] [CrossRef]
- Erol, O.K.; Eksin, I. A new optimization method: Big bang–big crunch. Adv. Eng. Softw. 2006, 37, 106–111. [Google Scholar] [CrossRef]
- Shareef, H.; Ibrahim, A.A.; Mutlag, A.H. Lightning search algorithm. Appl. Soft Comput. 2015, 36, 315–333. [Google Scholar] [CrossRef]
- Abedinpourshotorban, H.; Shamsuddin, S.M.; Beheshti, Z.; Jawawi, D.N. Electromagnetic field optimization: A physics-inspired metaheuristic optimization algorithm. Swarm Evol. Comput. 2016, 26, 8–22. [Google Scholar] [CrossRef]
- Kaveh, A.; Dadras, A. A novel meta-heuristic optimization algorithm: Thermal exchange optimization. Adv. Eng. Softw. 2017, 110, 69–84. [Google Scholar] [CrossRef]
- Doğan, B.; Ölmez, T. A new metaheuristic for numerical function optimization: Vortex Search algorithm. Inf. Sci. 2015, 293, 125–145. [Google Scholar] [CrossRef]
- Tabari, A.; Ahmad, A. A new optimization method: Electro-Search algorithm. Comput. Chem. Eng. 2017, 103, 1–11. [Google Scholar] [CrossRef]
- Zhao, W.; Wang, L.; Zhang, Z. A novel atom search optimization for dispersion coefficient estimation in groundwater. Future Gener. Comput. Syst. 2019, 91, 601–610. [Google Scholar] [CrossRef]
- Lam, A.Y.; Li, V.O. Chemical-reaction-inspired metaheuristic for optimization. IEEE Trans. Evol. Comput. 2009, 14, 381–399. [Google Scholar] [CrossRef] [Green Version]
- Huan, T.T.; Kulkarni, A.J.; Kanesan, J.; Huang, C.J.; Abraham, A. Ideology algorithm: A socio-inspired optimization methodology. Neural Comput. Appl. 2017, 28, 845–876. [Google Scholar] [CrossRef]
- Mousavirad, S.J.; Ebrahimpour-Komleh, H. Human mental search: A new population-based metaheuristic optimization algorithm. Appl. Intell. 2017, 47, 850–887. [Google Scholar] [CrossRef]
- Shi, Y. Brain storm optimization algorithm. In International Conference in Swarm Intelligence; Springer: Berlin/Heidelberg, Germany, 2011; pp. 303–309. [Google Scholar]
- Xu, Y.; Cui, Z.; Zeng, J. Social emotional optimization algorithm for nonlinear constrained optimization problems. In International Conference on Swarm, Evolutionary, and Memetic Computing; Springer: Berlin/Heidelberg, Germany, 2010; pp. 583–590. [Google Scholar]
- Kumar, M.; Kulkarni, A.J.; Satapathy, S.C. Socio evolution & learning optimization algorithm: A socio-inspired optimization methodology. Future Gener. Comput. Syst. 2018, 81, 252–272. [Google Scholar]
- Tan, Y.; Zhu, Y. Fireworks algorithm for optimization. In International Conference in Swarm Intelligence; Springer: Berlin/Heidelberg, Germany, 2010; pp. 355–364. [Google Scholar]
- Kashan, A.H. League championship algorithm: A new algorithm for numerical function optimization. In Proceedings of the 2009 International Conference of Soft Computing and Pattern Recognition, Malacca, Malaysia, 4–7 December 2009; pp. 43–48. [Google Scholar]
- Osaba, E.; Diaz, F.; Onieva, E. Golden ball: A novel meta-heuristic to solve combinatorial optimization problems based on soccer concepts. Appl. Intell. 2014, 41, 145–166. [Google Scholar] [CrossRef]
- Razmjooy, N.; Khalilpour, M.; Ramezani, M. A new meta-heuristic optimization algorithm inspired by FIFA world cup competitions: Theory and its application in PID designing for AVR system. J. Control Autom. Electr. Syst. 2016, 27, 419–440. [Google Scholar] [CrossRef]
- Zheng, R.; Jia, H.; Abualigah, L.; Liu, Q.; Wang, S. Deep ensemble of slime mold algorithm and arithmetic optimization algorithm for global optimization. Processes 2021, 9, 1774. [Google Scholar] [CrossRef]
- Wang, S.; Liu, Q.; Liu, Y.; Jia, H.; Abualigah, L.; Zheng, R.; Wu, D. A Hybrid SSA and SMA with mutation opposition-based learning for constrained engineering problems. Comput. Intell. Neurosci. 2021, 2021. [Google Scholar] [CrossRef] [PubMed]
- Goldberg, D.E.; Holland, J.H. Genetic algorithms and machine learning. In Proceedings of the Sixth Annual Conference on Computational Learning Theory, Santa Cruz, CA, USA, 26–28 July 1993. [Google Scholar]
- Hansen, N.; Müller, S.D.; Koumoutsakos, P. Reducing the time complexity of the derandomized evolution strategy with covariance matrix adaptation (CMA-ES). Evol. Comput. 2003, 11, 1–18. [Google Scholar] [CrossRef]
- Tanabe, R.; Fukunaga, A.S. Improving the search performance of SHADE using linear population size reduction. In Proceedings of the 2014 IEEE Congress on Evolutionary Computation (CEC), Beijing, China, 6–11 July 2014; pp. 1658–1665. [Google Scholar]
- Awad, N.H.; Ali, M.Z.; Suganthan, P.N.; Reynolds, R.G. An ensemble sinusoidal parameter adaptation incorporated with L-SHADE for solving CEC2014 benchmark problems. In Proceedings of the 2016 IEEE Congress on Evolutionary Computation (CEC), Vancouver, BC, Canada, 24–29 July 2016; pp. 2958–2965. [Google Scholar]
- Mirjalili, S. SCA: A sine cosine algorithm for solving optimization problems. Knowl.-Based Syst. 2016, 96, 120–133. [Google Scholar] [CrossRef]
- Zhao, W.; Wang, L.; Zhang, Z. Artificial ecosystem-based optimization: A novel nature-inspired meta-heuristic algorithm. Neural Comput. Appl. 2020, 32, 9383–9425. [Google Scholar] [CrossRef]
- Too, J.; Abdullah, A.R.; Mohd Saad, N. A new quadratic binary harris hawk optimization for feature selection. Electronics 2019, 8, 1130. [Google Scholar] [CrossRef] [Green Version]
- Hans, R.; Kaur, H.; Kaur, N. Opposition-based Harris Hawks optimization algorithm for feature selection in breast mass classification. J. Interdiscip. Math. 2020, 23, 97–106. [Google Scholar]
- Jiao, S.; Chong, G.; Huang, C.; Hu, H.; Wang, M.; Heidari, A.A.; Chen, H.; Zhao, X. Orthogonally adapted Harris Hawk Optimization for parameter estimation of photovoltaic models. Energy 2020, 203, 117804. [Google Scholar] [CrossRef]
- Fan, C.; Zhou, Y.; Tang, Z. Neighborhood centroid opposite-based learning Harris Hawks optimization for training neural networks. Evol. Intell. 2020, 14, 1847–1867. [Google Scholar] [CrossRef]
- Song, Y.; Tan, X.; Mizzi, S. Optimal parameter extraction of the proton exchange membrane fuel cells based on a new Harris Hawks Optimization algorithm. Energy Sources Part A Recover. Util. Environ. Eff. 2020, 1–18. [Google Scholar] [CrossRef]
- Hussain, K.; Zhu, W.; Salleh, M.N.M. Long-term memory Harris’ hawk optimization for high dimensional and optimal power flow problems. IEEE Access 2019, 7, 147596–147616. [Google Scholar] [CrossRef]
- Golilarz, N.A.; Mirmozaffari, M.; Gashteroodkhani, T.A.; Ali, L.; Dolatsara, H.A.; Boskabadi, A.; Yazdi, M. Optimized wavelet-based satellite image de-noising with multi-population differential evolution-assisted harris hawks optimization algorithm. IEEE Access 2020, 8, 133076–133085. [Google Scholar] [CrossRef]
- Wunnava, A.; Naik, M.K.; Panda, R.; Jena, B.; Abraham, A. An adaptive Harris hawks optimization technique for two dimensional grey gradient based multilevel image thresholding. Appl. Soft Comput. 2020, 95, 106526. [Google Scholar] [CrossRef]
- Jia, H.; Lang, C.; Oliva, D.; Song, W.; Peng, X. Dynamic harris hawks optimization with mutation mechanism for satellite image segmentation. Remote Sens. 2019, 11, 1421. [Google Scholar] [CrossRef] [Green Version]
- Shao, K.; Fu, W.; Tan, J.; Wang, K. Coordinated Approach Fusing Time-shift Multiscale Dispersion Entropy and Vibrational Harris Hawks Optimization-based SVM for Fault Diagnosis of Rolling Bearing. Measurement 2020, 173, 108580. [Google Scholar] [CrossRef]
- Wei, Y.; Lv, H.; Chen, M.; Wang, M.; Heidari, A.A.; Chen, H.; Li, C. Predicting Entrepreneurial Intention of Students: An Extreme Learning Machine With Gaussian Barebone Harris Hawks Optimizer. IEEE Access 2020, 8, 76841–76855. [Google Scholar] [CrossRef]
- Li, C.; Li, J.; Chen, H.; Jin, M.; Ren, H. Enhanced Harris hawks optimization with multi-strategy for global optimization tasks. Expert Syst. Appl. 2021, 185, 115499. [Google Scholar] [CrossRef]
- Arini, F.Y.; Chiewchanwattana, S.; Soomlek, C.; Sunat, K. Joint Opposite Selection (JOS): A premiere joint of selective leading opposition and dynamic opposite enhanced Harris’ hawks optimization for solving single-objective problems. Expert Syst. Appl. 2022, 188, 116001. [Google Scholar] [CrossRef]
- Thaher, T.; Heidari, A.A.; Mafarja, M.; Dong, J.S.; Mirjalili, S. Binary Harris Hawks optimizer for high-dimensional, low sample size feature selection. In Evolutionary Machine Learning Techniques; Springer: Berlin/Heidelberg, Germany, 2020; pp. 251–272. [Google Scholar]
- Thaher, T.; Arman, N. Efficient Multi-Swarm Binary Harris Hawks Optimization as a Feature Selection Approach for Software Fault Prediction. In Proceedings of the 2020 11th International Conference on Information and Communication Systems (ICICS), Irbid, Jordan, 7–9 April 2020; pp. 249–254. [Google Scholar]
- Chellal, M.; Benmessahel, I. Dynamic Complex Protein Detection using Binary Harris Hawks Optimization. In Journal of Physics: Conference Series; IOP Publishing: Bristol, UK, 2020; Volume 1642, p. 012019. [Google Scholar]
- Dokeroglu, T.; Deniz, A.; Kiziloz, H.E. A robust multiobjective Harris’ Hawks Optimization algorithm for the binary classification problem. Knowl.-Based Syst. 2021, 227, 107219. [Google Scholar] [CrossRef]
- Chantar, H.; Thaher, T.; Turabieh, H.; Mafarja, M.; Sheta, A. BHHO-TVS: A binary harris hawks optimizer with time-varying scheme for solving data classification problems. Appl. Sci. 2021, 11, 6516. [Google Scholar] [CrossRef]
- Gupta, S.; Deep, K.; Heidari, A.A.; Moayedi, H.; Wang, M. Opposition-based Learning Harris Hawks Optimization with Advanced Transition Rules: Principles and Analysis. Expert Syst. Appl. 2020, 158, 113510. [Google Scholar] [CrossRef]
- Ridha, H.M.; Hizam, H.; Mirjalili, S.; Othman, M.L.; Ya’acob, M.E.; Abualigah, L. A Novel Theoretical and Practical Methodology for Extracting the Parameters of the Single and Double Diode Photovoltaic Models (December 2021). IEEE Access 2022, 10, 11110–11137. [Google Scholar] [CrossRef]
- Abbassi, A.; Mehrez, R.B.; Touaiti, B.; Abualigah, L.; Touti, E. Parameterization of Photovoltaic Solar Cell Double-Diode Model based on Improved Arithmetic Optimization Algorithm. Optik 2022, 253, 168600. [Google Scholar] [CrossRef]
- Jamei, M.; Karbasi, M.; Mosharaf-Dehkordi, M.; Olumegbon, I.A.; Abualigah, L.; Said, Z.; Asadi, A. Estimating the density of hybrid nanofluids for thermal energy application: Application of non-parametric and evolutionary polynomial regression data-intelligent techniques. Measurement 2021, 189, 110524. [Google Scholar] [CrossRef]
- Amer, D.A.; Attiya, G.; Zeidan, I.; Nasr, A.A. Elite learning Harris hawks optimizer for multi-objective task scheduling in cloud computing. J. Supercomput. 2021, 78, 2793–2818. [Google Scholar] [CrossRef]
- Akdag, O.; Ates, A.; Yeroglu, C. Modification of Harris hawks optimization algorithm with random distribution functions for optimum power flow problem. Neural Comput. Appl. 2021, 33, 1959–1985. [Google Scholar] [CrossRef]
- Zhang, Y.; Zhou, X.; Shih, P.C. Modified Harris Hawks Optimization Algorithm for Global Optimization Problems. Arab. J. Sci. Eng. 2020, 45, 10949–10974. [Google Scholar] [CrossRef]
- Yousri, D.; Allam, D.; Eteiba, M.B. Optimal photovoltaic array reconfiguration for alleviating the partial shading influence based on a modified harris hawks optimizer. Energy Convers. Manag. 2020, 206, 112470. [Google Scholar] [CrossRef]
- Zhao, L.; Li, Z.; Chen, H.; Li, J.; Xiao, J.; Yousefi, N. A multi-criteria optimization for a CCHP with the fuel cell as primary mover using modified Harris Hawks optimization. Energy Sources Part A Recover. Util. Environ. Eff. 2020, 1–16. [Google Scholar] [CrossRef]
- Liu, Y.; Chong, G.; Heidari, A.A.; Chen, H.; Liang, G.; Ye, X.; Cai, Z.; Wang, M. Horizontal and vertical crossover of Harris hawk optimizer with Nelder-Mead simplex for parameter estimation of photovoltaic models. Energy Convers. Manag. 2020, 223, 113211. [Google Scholar] [CrossRef]
- Rizk-Allah, R.M.; Hassanien, A.E. A hybrid Harris hawks-Nelder-Mead optimization for practical nonlinear ordinary differential equations. Evol. Intell. 2020, 15, 141–165. [Google Scholar] [CrossRef]
- Yousri, D.; Mirjalili, S.; Machado, J.T.; Thanikanti, S.B.; Fathy, A. Efficient fractional-order modified Harris hawks optimizer for proton exchange membrane fuel cell modeling. Eng. Appl. Artif. Intell. 2021, 100, 104193. [Google Scholar] [CrossRef]
- Irfan, M.; Oh, S.R.; Rhee, S.B. An Effective Coordination Setting for Directional Overcurrent Relays Using Modified Harris Hawk Optimization. Electronics 2021, 10, 3007. [Google Scholar] [CrossRef]
- Ge, L.; Liu, J.; Yan, J.; Rafiq, M.U. Improved Harris Hawks Optimization for Configuration of PV Intelligent Edge Terminals. IEEE Trans. Sustain. Comput. 2021. [Google Scholar] [CrossRef]
- Singh, T.; Panda, S.S.; Mohanty, S.R.; Dwibedy, A. Opposition learning based Harris hawks optimizer for data clustering. J. Ambient. Intell. Humaniz. Comput. 2021, 1–16. [Google Scholar] [CrossRef]
- Kardani, N.; Bardhan, A.; Roy, B.; Samui, P.; Nazem, M.; Armaghani, D.J.; Zhou, A. A novel improved Harris Hawks optimization algorithm coupled with ELM for predicting permeability of tight carbonates. Eng. Comput. 2021, 1–24. [Google Scholar] [CrossRef]
- Guo, W.; Xu, P.; Dai, F.; Zhao, F.; Wu, M. Improved Harris hawks optimization algorithm based on random unscented sigma point mutation strategy. Appl. Soft Comput. 2021, 113, 108012. [Google Scholar] [CrossRef]
- Liu, C. An improved Harris hawks optimizer for job-shop scheduling problem. J. Supercomput. 2021, 77, 14090–14129. [Google Scholar] [CrossRef]
- Duan, Y.X.; Liu, C.Y. An improved Harris Hawk algorithm based on Golden Sine mechanism. In Proceedings of the 2021 4th International Conference on Advanced Electronic Materials, Computers and Software Engineering (AEMCSE), Changsha, China, 26–28 March 2021; pp. 493–497. [Google Scholar]
- Hu, H.; Ao, Y.; Bai, Y.; Cheng, R.; Xu, T. An Improved Harris’s Hawks Optimization for SAR Target Recognition and Stock Market Index Prediction. IEEE Access 2020, 8, 65891–65910. [Google Scholar] [CrossRef]
- Li, Q.; Song, K.; He, Z.; Li, E.; Cheng, A.; Chen, T. The artificial tree (AT) algorithm. Eng. Appl. Artif. Intell. 2017, 65, 99–110. [Google Scholar] [CrossRef] [Green Version]
- Selim, A.; Kamel, S.; Alghamdi, A.S.; Jurado, F. Optimal Placement of DGs in Distribution System Using an Improved Harris Hawks Optimizer Based on Single-and Multi-Objective Approaches. IEEE Access 2020, 8, 52815–52829. [Google Scholar] [CrossRef]
- Sihwail, R.; Omar, K.; Ariffin, K.A.Z.; Tubishat, M. Improved Harris Hawks Optimization Using Elite Opposition-Based Learning and Novel Search Mechanism for Feature Selection. IEEE Access 2020, 8, 121127–121145. [Google Scholar] [CrossRef]
- Song, S.; Wang, P.; Heidari, A.A.; Wang, M.; Zhao, X.; Chen, H.; He, W.; Xu, S. Dimension decided Harris hawks optimization with Gaussian mutation: Balance analysis and diversity patterns. Knowl.-Based Syst. 2021, 215, 106425. [Google Scholar] [CrossRef]
- Yin, Q.; Cao, B.; Li, X.; Wang, B.; Zhang, Q.; Wei, X. An Intelligent Optimization Algorithm for Constructing a DNA Storage Code: NOL-HHO. Int. J. Mol. Sci. 2020, 21, 2191. [Google Scholar] [CrossRef] [Green Version]
- Ridha, H.M.; Heidari, A.A.; Wang, M.; Chen, H. Boosted mutation-based Harris hawks optimizer for parameters identification of single-diode solar cell models. Energy Convers. Manag. 2020, 209, 112660. [Google Scholar] [CrossRef]
- Zhang, X.; Zhao, K.; Niu, Y. Improved Harris Hawks Optimization Based on Adaptive Cooperative Foraging and Dispersed Foraging Strategies. IEEE Access 2020, 8, 160297–160314. [Google Scholar] [CrossRef]
- Menesy, A.S.; Sultan, H.M.; Selim, A.; Ashmawy, M.G.; Kamel, S. Developing and applying chaotic harris hawks optimization technique for extracting parameters of several proton exchange membrane fuel cell stacks. IEEE Access 2019, 8, 1146–1159. [Google Scholar] [CrossRef]
- Chen, H.; Jiao, S.; Wang, M.; Heidari, A.A.; Zhao, X. Parameters identification of photovoltaic cells and modules using diversification-enriched Harris hawks optimization with chaotic drifts. J. Clean. Prod. 2020, 244, 118778. [Google Scholar] [CrossRef]
- Gao, Z.-M.; Zhao, J.; Hu, Y.-R.; Chen, H.-F. The improved Harris hawk optimization algorithm with the Tent map. In Proceedings of the 2019 3rd International Conference on Electronic Information Technology and Computer Engineering (EITCE), Xiamen, China, 18–20 October 2019; pp. 336–339. [Google Scholar]
- Dhawale, D.; Kamboj, V.K.; Anand, P. An improved Chaotic Harris Hawks Optimizer for solving numerical and engineering optimization problems. Eng. Comput. 2021, 1–46. [Google Scholar] [CrossRef]
- Basha, J.; Bacanin, N.; Vukobrat, N.; Zivkovic, M.; Venkatachalam, K.; Hubálovskỳ, S.; Trojovskỳ, P. Chaotic Harris Hawks Optimization with Quasi-Reflection-Based Learning: An Application to Enhance CNN Design. Sensors 2021, 21, 6654. [Google Scholar] [CrossRef]
- Hussien, A.G.; Amin, M. A self-adaptive Harris Hawks optimization algorithm with opposition-based learning and chaotic local search strategy for global optimization and feature selection. Int. J. Mach. Learn. Cybern. 2021, 13, 309–336. [Google Scholar] [CrossRef]
- Dehkordi, A.A.; Sadiq, A.S.; Mirjalili, S.; Ghafoor, K.Z. Nonlinear-based Chaotic Harris Hawks Optimizer: Algorithm and Internet of Vehicles application. Appl. Soft Comput. 2021, 109, 107574. [Google Scholar] [CrossRef]
- Jiao, S.; Wang, C.; Gao, R.; Li, Y.; Zhang, Q. Harris Hawks Optimization with Multi-Strategy Search and Application. Symmetry 2021, 13, 2364. [Google Scholar] [CrossRef]
- Zhong, C.; Li, G. Comprehensive learning Harris hawks-equilibrium optimization with terminal replacement mechanism for constrained optimization problems. Expert Syst. Appl. 2021, 192, 116432. [Google Scholar] [CrossRef]
- Abd Elaziz, M.; Yang, H.; Lu, S. A multi-leader Harris hawk optimization based on differential evolution for feature selection and prediction influenza viruses H1N1. Artif. Intell. Rev. 2022, 55, 2675–2732. [Google Scholar] [CrossRef]
- Bujok, P. Harris Hawks Optimisation: Using of an Archive. In International Conference on Artificial Intelligence and Soft Computing; Springer: Berlin/Heidelberg, Germany, 2021; pp. 415–423. [Google Scholar]
- Al-Betar, M.A.; Awadallah, M.A.; Heidari, A.A.; Chen, H.; Al-Khraisat, H.; Li, C. Survival exploration strategies for harris hawks optimizer. Expert Syst. Appl. 2021, 168, 114243. [Google Scholar] [CrossRef]
- Qu, C.; Zhang, L.; Li, J.; Deng, F.; Tang, Y.; Zeng, X.; Peng, X. Improving feature selection performance for classification of gene expression data using Harris Hawks optimizer with variable neighborhood learning. Briefings Bioinform. 2021, 22, bbab097. [Google Scholar] [CrossRef]
- Nandi, A.; Kamboj, V.K. A Canis lupus inspired upgraded Harris hawks optimizer for nonlinear, constrained, continuous, and discrete engineering design problem. Int. J. Numer. Methods Eng. 2021, 122, 1051–1088. [Google Scholar] [CrossRef]
- Gölcük, İ.; Ozsoydan, F.B. Quantum particles-enhanced multiple Harris Hawks swarms for dynamic optimization problems. Expert Syst. Appl. 2021, 167, 114202. [Google Scholar] [CrossRef]
- Yu, Z.; Du, J.; Li, G. Compact Harris Hawks Optimization Algorithm. In Proceedings of the 2021 40th Chinese Control Conference (CCC), Shanghai, China, 26–28 July 2021; pp. 1925–1930. [Google Scholar]
- Wang, S.; Jia, H.; Liu, Q.; Zheng, R. An improved hybrid Aquila Optimizer and Harris Hawks Optimization for global optimization. Math. Biosci. Eng 2021, 18, 7076–7109. [Google Scholar] [CrossRef] [PubMed]
- Wang, S.; Jia, H.; Abualigah, L.; Liu, Q.; Zheng, R. An improved hybrid aquila optimizer and harris hawks algorithm for solving industrial engineering optimization problems. Processes 2021, 9, 1551. [Google Scholar] [CrossRef]
- Abualigah, L.; Yousri, D.; Abd Elaziz, M.; Ewees, A.A.; Al-qaness, M.A.; Gandomi, A.H. Aquila Optimizer: A novel meta-heuristic optimization Algorithm. Comput. Ind. Eng. 2021, 157, 107250. [Google Scholar] [CrossRef]
- Jouhari, H.; Lei, D.; Al-qaness, M.A.; Elaziz, M.A.; Damaševičius, R.; Korytkowski, M.; Ewees, A.A. Modified Harris Hawks Optimizer for Solving Machine Scheduling Problems. Symmetry 2020, 12, 1460. [Google Scholar] [CrossRef]
- Attiya, I.; Abd Elaziz, M.; Xiong, S. Job scheduling in cloud computing using a modified harris hawks optimization and simulated annealing algorithm. Comput. Intell. Neurosci. 2020, 2020. [Google Scholar] [CrossRef] [Green Version]
- Fu, W.; Zhang, K.; Wang, K.; Wen, B.; Fang, P.; Zou, F. A hybrid approach for multi-step wind speed forecasting based on two-layer decomposition, improved hybrid DE-HHO optimization and KELM. Renew. Energy 2021, 164, 211–229. [Google Scholar] [CrossRef]
- Abd Elaziz, M.; Heidari, A.A.; Fujita, H.; Moayedi, H. A competitive chain-based Harris Hawks Optimizer for global optimization and multi-level image thresholding problems. Appl. Soft Comput. 2020, 95, 106347. [Google Scholar] [CrossRef]
- Houssein, E.H.; Hosney, M.E.; Elhoseny, M.; Oliva, D.; Mohamed, W.M.; Hassaballah, M. Hybrid Harris hawks optimization with cuckoo search for drug design and discovery in chemoinformatics. Sci. Rep. 2020, 10, 14439. [Google Scholar] [CrossRef]
- Barshandeh, S.; Piri, F.; Sangani, S.R. HMPA: An innovative hybrid multi-population algorithm based on artificial ecosystem-based and Harris Hawks optimization algorithms for engineering problems. Eng. Comput. 2022, 38, 1581–1625. [Google Scholar] [CrossRef]
- Xie, W.; Xing, C.; Wang, J.; Guo, S.; Guo, M.W.; Zhu, L.F. Hybrid Henry Gas Solubility Optimization Algorithm Based on the Harris Hawk Optimization. IEEE Access 2020, 8, 144665–144692. [Google Scholar] [CrossRef]
- Fu, W.; Wang, K.; Tan, J.; Zhang, K. A composite framework coupling multiple feature selection, compound prediction models and novel hybrid swarm optimizer-based synchronization optimization strategy for multi-step ahead short-term wind speed forecasting. Energy Convers. Manag. 2020, 205, 112461. [Google Scholar] [CrossRef]
- Qu, C.; He, W.; Peng, X.; Peng, X. Harris Hawks Optimization with Information Exchange. Appl. Math. Model. 2020, 84, 52–75. [Google Scholar] [CrossRef]
- Kamboj, V.K.; Nandi, A.; Bhadoria, A.; Sehgal, S. An intensify Harris Hawks optimizer for numerical and engineering optimization problems. Appl. Soft Comput. 2020, 89, 106018. [Google Scholar] [CrossRef]
- Dhawale, D.; Kamboj, V.K. hHHO-IGWO: A New Hybrid Harris Hawks Optimizer for Solving Global Optimization Problems. In Proceedings of the 2020 International Conference on Computation, Automation and Knowledge Management (ICCAKM), Dubai, United Arab Emirates, 9–10 January 2020; pp. 52–57. [Google Scholar]
- Fu, W.; Shao, K.; Tan, J.; Wang, K. Fault diagnosis for rolling bearings based on composite multiscale fine-sorted dispersion entropy and SVM with hybrid mutation SCA-HHO algorithm optimization. IEEE Access 2020, 8, 13086–13104. [Google Scholar] [CrossRef]
- Suresh, T.; Brijet, Z.; Sheeba, T.B. CMVHHO-DKMLC: A Chaotic Multi Verse Harris Hawks optimization (CMV-HHO) algorithm based deep kernel optimized machine learning classifier for medical diagnosis. Biomed. Signal Process. Control 2021, 70, 103034. [Google Scholar] [CrossRef]
- ElSayed, S.K.; Elattar, E.E. Hybrid Harris hawks optimization with sequential quadratic programming for optimal coordination of directional overcurrent relays incorporating distributed generation. Alex. Eng. J. 2021, 60, 2421–2433. [Google Scholar] [CrossRef]
- Kaveh, A.; Rahmani, P.; Eslamlou, A.D. An efficient hybrid approach based on Harris Hawks optimization and imperialist competitive algorithm for structural optimization. Eng. Comput. 2021, 1–29. [Google Scholar] [CrossRef]
- Atashpaz-Gargari, E.; Lucas, C. Imperialist competitive algorithm: An algorithm for optimization inspired by imperialistic competition. In Proceedings of the 2007 IEEE Congress on Evolutionary Computation, Singapore, 25–28 September 2007; pp. 4661–4667. [Google Scholar]
- Sihwail, R.; Solaiman, O.S.; Omar, K.; Ariffin, K.A.Z.; Alswaitti, M.; Hashim, I. A Hybrid Approach for Solving Systems of Nonlinear Equations Using Harris Hawks Optimization and Newton’s Method. IEEE Access 2021, 9, 95791–95807. [Google Scholar] [CrossRef]
- Mohamed, A.W.; Hadi, A.A.; Mohamed, A.K. Gaining-sharing knowledge based algorithm for solving optimization problems: A novel nature-inspired algorithm. Int. J. Mach. Learn. Cybern. 2020, 11, 1501–1529. [Google Scholar] [CrossRef]
- Abualigah, L.; Abd Elaziz, M.; Shehab, M.; Ahmad Alomari, O.; Alshinwan, M.; Alabool, H.; Al-Arabiat, D.A. Hybrid Harris Hawks Optimization with Differential Evolution for Data Clustering. In Metaheuristics in Machine Learning: Theory and Applications; Springer: Berlin/Heidelberg, Germany, 2021; pp. 267–299. [Google Scholar]
- Azar, N.A.; Milan, S.G.; Kayhomayoon, Z. The prediction of longitudinal dispersion coefficient in natural streams using LS-SVM and ANFIS optimized by Harris hawk optimization algorithm. J. Contam. Hydrol. 2021, 240, 103781. [Google Scholar] [CrossRef] [PubMed]
- Firouzi, B.; Abbasi, A.; Sendur, P. Identification and evaluation of cracks in electrostatically actuated resonant gas sensors using Harris Hawk/Nelder Mead and perturbation methods. Smart Struct. Syst. 2021, 28, 121–142. [Google Scholar]
- Li, W.; Shi, R.; Zou, H.; Dong, J. Fireworks Harris Hawk Algorithm Based on Dynamic Competition Mechanism for Numerical Optimization. In International Conference on Swarm Intelligence; Springer: Berlin/Heidelberg, Germany, 2021; pp. 441–450. [Google Scholar]
- Li, C.; Li, J.; Chen, H.; Heidari, A.A. Memetic Harris Hawks Optimization: Developments and perspectives on project scheduling and QoS-aware web service composition. Expert Syst. Appl. 2021, 171, 114529. [Google Scholar] [CrossRef]
- Ahmad, A.A. Solving partial differential equations via a hybrid method between homotopy analytical method and Harris hawks optimization algorithm. Int. J. Nonlinear Anal. Appl. 2022, 13, 663–671. [Google Scholar]
- Yuan, Y.; Ren, J.; Zu, J.; Mu, X. An adaptive instinctive reaction strategy based on Harris hawks optimization algorithm for numerical optimization problems. AIP Adv. 2021, 11, 025012. [Google Scholar] [CrossRef]
- Setiawan, I.N.; Kurniawan, R.; Yuniarto, B.; Caraka, R.E.; Pardamean, B. Parameter Optimization of Support Vector Regression Using Harris Hawks Optimization. Procedia Comput. Sci. 2021, 179, 17–24. [Google Scholar] [CrossRef]
- Hossain, M.A.; Noor, R.M.; Yau, K.L.A.; Azzuhri, S.R.; Z’Abar, M.R.; Ahmedy, I.; Jabbarpour, M.R. Multi-Objective Harris Hawks Optimization Algorithm Based 2-Hop Routing Algorithm for CR-VANET. IEEE Access 2021, 9, 58230–58242. [Google Scholar] [CrossRef]
- Dabba, A.; Tari, A.; Meftali, S. A new multi-objective binary Harris Hawks optimization for gene selection in microarray data. J. Ambient. Intell. Humaniz. Comput. 2021, 1–20. [Google Scholar] [CrossRef]
- Jangir, P.; Heidari, A.A.; Chen, H. Elitist non-dominated sorting Harris hawks optimization: Framework and developments for multi-objective problems. Expert Syst. Appl. 2021, 186, 115747. [Google Scholar] [CrossRef]
- Du, P.; Wang, J.; Hao, Y.; Niu, T.; Yang, W. A novel hybrid model based on multi-objective Harris hawks optimization algorithm for daily PM2.5 and PM10 forecasting. Appl. Soft Comput. 2020, 96, 106620. [Google Scholar] [CrossRef]
- Islam, M.Z.; Wahab, N.I.A.; Veerasamy, V.; Hizam, H.; Mailah, N.F.; Guerrero, J.M.; Mohd Nasir, M.N. A Harris Hawks Optimization Based Single-and Multi-Objective Optimal Power Flow Considering Environmental Emission. Sustainability 2020, 12, 5248. [Google Scholar] [CrossRef]
- Fu, W.; Lu, Q. Multiobjective Optimal Control of FOPID Controller for Hydraulic Turbine Governing Systems Based on Reinforced Multiobjective Harris Hawks Optimization Coupling with Hybrid Strategies. Complexity 2020, 2020, 9274980. [Google Scholar] [CrossRef]
- Piri, J.; Mohapatra, P. An Analytical Study of Modified Multi-objective Harris Hawk Optimizer Towards Medical Data Feature Selection. Comput. Biol. Med. 2021, 135, 104558. [Google Scholar] [CrossRef]
- Shekarappa G, S.; Mahapatra, S.; Raj, S. Voltage constrained reactive power planning problem for reactive loading variation using hybrid harris hawk particle swarm optimizer. Electr. Power Components Syst. 2021, 49, 421–435. [Google Scholar] [CrossRef]
- Mohandas, P.; Devanathan, S.T. Reconfiguration with DG location and capacity optimization using crossover mutation based Harris Hawk Optimization algorithm (CMBHHO). Appl. Soft Comput. 2021, 113, 107982. [Google Scholar] [CrossRef]
- Naeijian, M.; Rahimnejad, A.; Ebrahimi, S.M.; Pourmousa, N.; Gadsden, S.A. Parameter estimation of PV solar cells and modules using Whippy Harris Hawks Optimization Algorithm. Energy Rep. 2021, 7, 4047–4063. [Google Scholar] [CrossRef]
- Bao, X.; Jia, H.; Lang, C. A novel hybrid harris hawks optimization for color image multilevel thresholding segmentation. IEEE Access 2019, 7, 76529–76546. [Google Scholar] [CrossRef]
- Utama, D.M.; Widodo, D.S. An energy-efficient flow shop scheduling using hybrid Harris hawks optimization. Bull. Electr. Eng. Inform. 2021, 10, 1154–1163. [Google Scholar] [CrossRef]
- Too, J.; Liang, G.; Chen, H. Memory-based Harris hawk optimization with learning agents: A feature selection approach. Eng. Comput. 2021, 1–22. [Google Scholar] [CrossRef]
- Abd Elaziz, M.; Yousri, D. Automatic selection of heavy-tailed distributions-based synergy Henry gas solubility and Harris hawk optimizer for feature selection: Case study drug design and discovery. Artif. Intell. Rev. 2021, 54, 4685–4730. [Google Scholar] [CrossRef]
- Balaha, H.M.; El-Gendy, E.M.; Saafan, M.M. CovH2SD: A COVID-19 detection approach based on Harris Hawks Optimization and stacked deep learning. Expert Syst. Appl. 2021, 186, 115805. [Google Scholar] [CrossRef] [PubMed]
- Abualigah, L.; Abd Elaziz, M.; Hussien, A.G.; Alsalibi, B.; Jalali, S.M.J.; Gandomi, A.H. Lightning search algorithm: A comprehensive survey. Appl. Intell. 2021, 51, 2353–2376. [Google Scholar] [CrossRef] [PubMed]
- Abualigah, L.; Zitar, R.A.; Almotairi, K.H.; Hussein, A.M.; Abd Elaziz, M.; Nikoo, M.R.; Gandomi, A.H. Wind, Solar, and Photovoltaic Renewable Energy Systems with and without Energy Storage Optimization: A Survey of Advanced Machine Learning and Deep Learning Techniques. Energies 2022, 15, 578. [Google Scholar] [CrossRef]
- Al Shinwan, M.; Abualigah, L.; Huy, T.D.; Younes Shdefat, A.; Altalhi, M.; Kim, C.; El-Sappagh, S.; Abd Elaziz, M.; Kwak, K.S. An Efficient 5G Data Plan Approach Based on Partially Distributed Mobility Architecture. Sensors 2022, 22, 349. [Google Scholar] [CrossRef] [PubMed]
- Islam, M.Z.; Wahab, N.I.A.; Veerasamy, V.; Hizam, H.; Mailah, N.F.; Khan, A.; Sabo, A. Optimal Power Flow using a Novel Harris Hawk Optimization Algorithm to Minimize Fuel Cost and Power loss. In Proceedings of the 2019 IEEE Conference on Sustainable Utilization and Development in Engineering and Technologies (CSUDET), Penang, Malaysia, 7–9 November 2019; pp. 246–250. [Google Scholar]
- Paital, S.R.; Ray, P.K.; Mohanty, S.R. A robust dual interval type-2 fuzzy lead-lag based UPFC for stability enhancement using Harris Hawks Optimization. ISA Trans. 2022, 123, 425–442. [Google Scholar] [CrossRef]
- Mohanty, D.; Panda, S. Sine cosine adopted Harris’ hawks optimization for function optimization and power system frequency controller design. Int. Trans. Electr. Energy Syst. 2021, 31, e12915. [Google Scholar] [CrossRef]
- Abdel Aleem, S.H.E.; Zobaa, A.F.; Balci, M.E.; Ismael, S.M. Harmonic overloading minimization of frequency-dependent components in harmonics polluted distribution systems using harris hawks optimization algorithm. IEEE Access 2019, 7, 100824–100837. [Google Scholar] [CrossRef]
- Diaaeldin, I.M.; Aleem, S.H.A.; El-Rafei, A.; Abdelaziz, A.Y.; Ćalasan, M. Optimal Network Reconfiguration and Distributed Generation Allocation using Harris Hawks Optimization. In Proceedings of the 2020 24th International Conference on Information Technology (IT), Zabljak, Montenegro, 18–22 February 2020; pp. 1–6. [Google Scholar]
- Abdelsalam, M.; Diab, H.Y.; El-Bary, A. A Metaheuristic Harris Hawk Optimization Approach for Coordinated Control of Energy Management in Distributed Generation Based Microgrids. Appl. Sci. 2021, 11, 4085. [Google Scholar] [CrossRef]
- Mossa, M.A.; Kamel, O.M.; Sultan, H.M.; Diab, A.A.Z. Parameter estimation of PEMFC model based on Harris Hawks’ optimization and atom search optimization algorithms. Neural Comput. Appl. 2020, 33, 5555–5570. [Google Scholar] [CrossRef]
- Chakraborty, S.; Verma, S.; Salgotra, A.; Elavarasan, R.M.; Elangovan, D.; Mihet-Popa, L. Solar-Based DG Allocation Using Harris Hawks Optimization While Considering Practical Aspects. Energies 2021, 14, 5206. [Google Scholar] [CrossRef]
- Qais, M.H.; Hasanien, H.M.; Alghuwainem, S. Parameters extraction of three-diode photovoltaic model using computation and Harris Hawks optimization. Energy 2020, 195, 117040. [Google Scholar] [CrossRef]
- Sahoo, B.P.; Panda, S. Load Frequency Control of Solar Photovoltaic/Wind/Biogas/Biodiesel Generator Based Isolated Microgrid Using Harris Hawks Optimization. In Proceedings of the 2020 First International Conference on Power, Control and Computing Technologies (ICPC2T), Raipur, India, 3–5 January 2020; pp. 188–193. [Google Scholar]
- Fang, P.; Fu, W.; Wang, K.; Xiong, D.; Zhang, K. A compositive architecture coupling outlier correction, EWT, nonlinear Volterra multi-model fusion with multi-objective optimization for short-term wind speed forecasting. Appl. Energy 2021, 307, 118191. [Google Scholar] [CrossRef]
- Roy, R.; Mukherjee, V.; Singh, R.P. Harris hawks optimization algorithm for model order reduction of interconnected wind turbines. ISA Trans. 2021. [Google Scholar] [CrossRef]
- Hassan, M.H.; Kamel, S.; Abualigah, L.; Eid, A. Development and application of slime mould algorithm for optimal economic emission dispatch. Expert Syst. Appl. 2021, 182, 115205. [Google Scholar] [CrossRef]
- Houssein, E.H.; Dirar, M.; Abualigah, L.; Mohamed, W.M. An efficient equilibrium optimizer with support vector regression for stock market prediction. Neural Comput. Appl. 2021, 34, 3165–3200. [Google Scholar] [CrossRef]
- Pham, T.N.; Van Tran, L.; Dao, S.V.T. A Multi-Restart Dynamic Harris Hawk Optimization Algorithm for the Economic Load Dispatch Problem. IEEE Access 2021, 9, 122180–122206. [Google Scholar] [CrossRef]
- Nandi, A.; Kamboj, V.K. A meliorated Harris Hawks optimizer for combinatorial unit commitment problem with photovoltaic applications. J. Electr. Syst. Inf. Technol. 2021, 8, 1–73. [Google Scholar] [CrossRef]
- Sammen, S.S.; Ghorbani, M.A.; Malik, A.; Tikhamarine, Y.; AmirRahmani, M.; Al-Ansari, N.; Chau, K.W. Enhanced Artificial Neural Network with Harris Hawks Optimization for Predicting Scour Depth Downstream of Ski-Jump Spillway. Appl. Sci. 2020, 10, 5160. [Google Scholar] [CrossRef]
- Essa, F.; Abd Elaziz, M.; Elsheikh, A.H. An enhanced productivity prediction model of active solar still using artificial neural network and Harris Hawks optimizer. Appl. Therm. Eng. 2020, 170, 115020. [Google Scholar] [CrossRef]
- Moayedi, H.; Gör, M.; Lyu, Z.; Bui, D.T. Herding Behaviors of grasshopper and Harris hawk for hybridizing the neural network in predicting the soil compression coefficient. Measurement 2020, 152, 107389. [Google Scholar] [CrossRef]
- Kolli, C.S.; Tatavarthi, U.D. Fraud detection in bank transaction with wrapper model and Harris water optimization-based deep recurrent neural network. Kybernetes 2021, 50, 1731–1750. [Google Scholar] [CrossRef]
- Bacanin, N.; Vukobrat, N.; Zivkovic, M.; Bezdan, T.; Strumberger, I. Improved Harris Hawks Optimization Adapted for Artificial Neural Network Training. In International Conference on Intelligent and Fuzzy Systems; Springer: Berlin/Heidelberg, Germany, 2021; pp. 281–289. [Google Scholar]
- Atta, E.A.; Ali, A.F.; Elshamy, A.A. Chaotic Harris Hawk Optimization Algorithm for Training Feed-Forward Neural Network. In International Conference on Advanced Intelligent Systems and Informatics; Springer: Berlin/Heidelberg, Germany, 2021; pp. 382–391. [Google Scholar]
- Agarwal, P.; Farooqi, N.; Gupta, A.; Mehta, S.; Khandelwal, S. A New Harris Hawk Whale Optimization Algorithm for Enhancing Neural Networks. In Proceedings of the 2021 Thirteenth International Conference on Contemporary Computing (IC3-2021), Noida, India, 5–7 August 2021; pp. 179–186. [Google Scholar]
- Bac, B.H.; Nguyen, H.; Thao, N.T.T.; Hanh, V.T.; Duyen, L.T.; Dung, N.T.; Du, N.K.; Hiep, N.H. Estimating heavy metals absorption efficiency in an aqueous solution using nanotube-type halloysite from weathered pegmatites and a novel Harris hawks optimization-based multiple layers perceptron neural network. Eng. Comput. 2021, 1–16. [Google Scholar] [CrossRef]
- Alamir, M.A. An enhanced artificial neural network model using the Harris Hawks optimiser for predicting food liking in the presence of background noise. Appl. Acoust. 2021, 178, 108022. [Google Scholar] [CrossRef]
- Simsek, O.I.; Alagoz, B.B. A Computational Intelligent Analysis Scheme for Optimal Engine Behavior by Using Artificial Neural Network Learning Models and Harris Hawk Optimization. In Proceedings of the 2021 International Conference on Information Technology (ICIT), Amman, Jordan, 14–15 July 2021; pp. 361–365. [Google Scholar]
- Zhang, H.; Nguyen, H.; Bui, X.N.; Pradhan, B.; Asteris, P.G.; Costache, R.; Aryal, J. A generalized artificial intelligence model for estimating the friction angle of clays in evaluating slope stability using a deep neural network and Harris Hawks optimization algorithm. Eng. Comput. 2021, 1–14. [Google Scholar] [CrossRef]
- Wunnava, A.; Naik, M.K.; Panda, R.; Jena, B.; Abraham, A. A differential evolutionary adaptive Harris hawks optimization for two dimensional practical Masi entropy-based multilevel image thresholding. J. King Saud-Univ.-Comput. Inf. Sci. 2020. [Google Scholar] [CrossRef]
- Golilarz, N.A.; Gao, H.; Demirel, H. Satellite image de-noising with harris hawks meta heuristic optimization algorithm and improved adaptive generalized gaussian distribution threshold function. IEEE Access 2019, 7, 57459–57468. [Google Scholar] [CrossRef]
- Shahid, M.; Li, J.P.; Golilarz, N.A.; Addeh, A.; Khan, J.; Haq, A.U. Wavelet Based Image DE-Noising with Optimized Thresholding Using HHO Algorithm. In Proceedings of the 2019 16th International Computer Conference on Wavelet Active Media Technology and Information Processing, Chengdu, China, 14–15 December 2019; pp. 6–12. [Google Scholar]
- Rodríguez-Esparza, E.; Zanella-Calzada, L.A.; Oliva, D.; Heidari, A.A.; Zaldivar, D.; Pérez-Cisneros, M.; Foong, L.K. An Efficient Harris Hawks-inspired Image Segmentation Method. Expert Syst. Appl. 2020, 155, 113428. [Google Scholar] [CrossRef]
- Naik, M.K.; Panda, R.; Wunnava, A.; Jena, B.; Abraham, A. A leader Harris hawks optimization for 2-D Masi entropy-based multilevel image thresholding. Multimed. Tools Appl. 2021, 80, 35543–35583. [Google Scholar] [CrossRef]
- Lin, S.; Jia, H.; Abualigah, L.; Altalhi, M. Enhanced Slime Mould Algorithm for Multilevel Thresholding Image Segmentation Using Entropy Measures. Entropy 2021, 23, 1700. [Google Scholar] [CrossRef]
- Hussien, A.G.; Hassanien, A.E.; Houssein, E.H.; Bhattacharyya, S.; Amin, M. S-shaped Binary Whale Optimization Algorithm for Feature Selection. In Recent Trends in Signal and Image Processing; Springer: Berlin/Heidelberg, Germany, 2019; pp. 79–87. [Google Scholar]
- Hussien, A.G.; Houssein, E.H.; Hassanien, A.E. A binary whale optimization algorithm with hyperbolic tangent fitness function for feature selection. In Proceedings of the 2017 Eighth International Conference on Intelligent Computing and Information Systems (ICICIS), Cairo, Egypt, 5–7 December 2017; pp. 166–172. [Google Scholar]
- Abualigah, L.M.Q. Feature Selection and Enhanced Krill Herd Algorithm for Text Document Clustering; Springer: Berlin/Heidelberg, Germany, 2019. [Google Scholar]
- Abdel-Basset, M.; Ding, W.; El-Shahat, D. A hybrid Harris Hawks optimization algorithm with simulated annealing for feature selection. Artif. Intell. Rev. 2021, 54, 593–637. [Google Scholar] [CrossRef]
- Thaher, T.; Saheb, M.; Turabieh, H.; Chantar, H. Intelligent Detection of False Information in Arabic Tweets Utilizing Hybrid Harris Hawks Based Feature Selection and Machine Learning Models. Symmetry 2021, 13, 556. [Google Scholar] [CrossRef]
- Turabieh, H.; Al Azwari, S.; Rokaya, M.; Alosaimi, W.; Alharbi, A.; Alhakami, W.; Alnfiai, M. Enhanced harris hawks optimization as a feature selection for the prediction of student performance. Computing 2021, 103, 1417–1438. [Google Scholar] [CrossRef]
- Al-Wajih, R.; Abdulkadir, S.J.; Aziz, N.; Al-Tashi, Q.; Talpur, N. Hybrid Binary Grey Wolf With Harris Hawks Optimizer for Feature Selection. IEEE Access 2021, 9, 31662–31677. [Google Scholar] [CrossRef]
- Khurma, R.A.; Awadallah, M.A.; Aljarah, I. Binary Harris Hawks Optimisation Filter Based Approach for Feature Selection. In Proceedings of the 2021 Palestinian International Conference on Information and Communication Technology (PICICT), Gaza, Palestine, 28–29 September 2021; pp. 59–64. [Google Scholar]
- Yasear, S.A.; Ku-Mahamud, K.R. Fine-Tuning the Ant Colony System Algorithm Through Harris’s Hawk Optimizer for Travelling Salesman Problem. Int. J. Intell. Eng. Syst. 2021, 14, 136–145. [Google Scholar] [CrossRef]
- Hatamlou, A. Black hole: A new heuristic optimization approach for data clustering. Inf. Sci. 2013, 222, 175–184. [Google Scholar] [CrossRef]
- Ismael, O.M.; Qasim, O.S.; Algamal, Z.Y. A new adaptive algorithm for v-support vector regression with feature selection using Harris hawks optimization algorithm. In Journal of Physics: Conference Series; IOP Publishing: Bristol, UK, 2021; Volume 1897, p. 012057. [Google Scholar]
- Safaldin, M.; Otair, M.; Abualigah, L. Improved binary gray wolf optimizer and SVM for intrusion detection system in wireless sensor networks. J. Ambient. Intell. Humaniz. Comput. 2021, 12, 1559–1576. [Google Scholar] [CrossRef]
- Khasawneh, A.M.; Kaiwartya, O.; Abualigah, L.M.; Lloret, J. Green computing in underwater wireless sensor networks pressure centric energy modeling. IEEE Syst. J. 2020, 14, 4735–4745. [Google Scholar] [CrossRef]
- Srinivas, M.; Amgoth, T. EE-hHHSS: Energy-efficient wireless sensor network with mobile sink strategy using hybrid Harris hawk-salp swarm optimization algorithm. Int. J. Commun. Syst. 2020, 33, e4569. [Google Scholar] [CrossRef]
- Bhat, S.J.; Venkata, S.K. An optimization based localization with area minimization for heterogeneous wireless sensor networks in anisotropic fields. Comput. Netw. 2020, 179, 107371. [Google Scholar] [CrossRef]
- Singh, P.; Prakash, S. Optimizing multiple ONUs placement in Fiber-Wireless (FiWi) access network using Grasshopper and Harris Hawks Optimization Algorithms. Opt. Fiber Technol. 2020, 60, 102357. [Google Scholar] [CrossRef]
- Xu, H.; Zhang, G.; Zhao, J.; Pham, Q.-V. Intelligent reflecting surface aided wireless networks-Harris Hawks optimization for beamforming design. arXiv 2020, arXiv:2010.01900. [Google Scholar]
- Sharma, R.; Prakash, S. HHO-LPWSN: Harris Hawks Optimization Algorithm for Sensor Nodes Localization Problem in Wireless Sensor Networks. EAI Endorsed Trans. Scalable Inf. Syst. 2021, 8, e5. [Google Scholar] [CrossRef]
- Jia, H.; Peng, X.; Kang, L.; Li, Y.; Jiang, Z.; Sun, K. Pulse coupled neural network based on Harris hawks optimization algorithm for image segmentation. Multimed. Tools Appl. 2020, 79, 28369–28392. [Google Scholar] [CrossRef]
- Rammurthy, D.; Mahesh, P. Whale Harris hawks optimization based deep learning classifier for brain tumor detection using MRI images. J. King Saud-Univ.-Comput. Inf. Sci. 2020. [Google Scholar] [CrossRef]
- Kaur, N.; Kaur, L.; Cheema, S.S. An enhanced version of Harris Hawks Optimization by dimension learning-based hunting for Breast Cancer Detection. Sci. Rep. 2021, 11, 21933. [Google Scholar] [CrossRef]
- Chacko, A.; Chacko, S. Deep learning-based robust medical image watermarking exploiting DCT and Harris hawks optimization. Int. J. Intell. Syst. 2021. [Google Scholar] [CrossRef]
- Bandyopadhyay, R.; Kundu, R.; Oliva, D.; Sarkar, R. Segmentation of brain MRI using an altruistic Harris Hawks’ Optimization algorithm. Knowl.-Based Syst. 2021, 232, 107468. [Google Scholar] [CrossRef]
- Iswisi, A.F.; Karan, O.; Rahebi, J. Diagnosis of Multiple Sclerosis Disease in Brain Magnetic Resonance Imaging Based on the Harris Hawks Optimization Algorithm. BioMed Res. Int. 2021, 2021. [Google Scholar] [CrossRef]
- Balamurugan, R.; Ratheesh, S.; Venila, Y.M. Classification of heart disease using adaptive Harris hawk optimization-based clustering algorithm and enhanced deep genetic algorithm. Soft Comput. 2021, 26, 2357–2373. [Google Scholar] [CrossRef]
- Hussien, A.G.; Hassanien, A.E.; Houssein, E.H. Swarming behaviour of salps algorithm for predicting chemical compound activities. In Proceedings of the 2017 Eighth International Conference on Intelligent Computing and Information Systems (ICICIS), Cairo, Egypt, 5–7 December 2017; pp. 315–320. [Google Scholar]
- Houssein, E.H.; Hosney, M.E.; Oliva, D.; Mohamed, W.M.; Hassaballah, M. A novel hybrid Harris hawks optimization and support vector machines for drug design and discovery. Comput. Chem. Eng. 2020, 133, 106656. [Google Scholar] [CrossRef]
- Houssein, E.H.; Neggaz, N.; Hosney, M.E.; Mohamed, W.M.; Hassaballah, M. Enhanced harris hawks optimization with genetic operators for selection chemical descriptors and compounds activities. Neural Comput. Appl. 2021, 33, 13601–13618. [Google Scholar] [CrossRef]
- Ekinci, S.; Hekimoğlu, B.; Eker, E. Optimum Design of PID Controller in AVR System Using Harris Hawks Optimization. In Proceedings of the 2019 3rd International Symposium on Multidisciplinary Studies and Innovative Technologies (ISMSIT), Ankara, Turkey, 11–13 October 2019; pp. 1–6. [Google Scholar]
- Ekinci, S.; Izci, D.; Hekimoğlu, B. PID Speed Control of DC Motor Using Harris Hawks Optimization Algorithm. In Proceedings of the 2020 International Conference on Electrical, Communication, and Computer Engineering (ICECCE), Istanbul, Turkey, 12–13 June 2020; pp. 1–6. [Google Scholar]
- Ekinci, S.; Hekimoğlu, B.; Demirören, A.; Kaya, S. Harris Hawks Optimization Approach for Tuning of FOPID Controller in DC-DC Buck Converter. In Proceedings of the 2019 International Artificial Intelligence and Data Processing Symposium (IDAP), Malatya, Turkey, 21–22 September 2019; pp. 1–9. [Google Scholar]
- Yousri, D.; Babu, T.S.; Fathy, A. Recent methodology based Harris Hawks optimizer for designing load frequency control incorporated in multi-interconnected renewable energy plants. Sustain. Energy, Grids Netw. 2020, 22, 100352. [Google Scholar] [CrossRef]
- Barakat, M.; Donkol, A.; Hamed, H.F.; Salama, G.M. Harris hawks-based optimization algorithm for automatic LFC of the interconnected power system using PD-PI cascade control. J. Electr. Eng. Technol. 2021, 16, 1845–1865. [Google Scholar] [CrossRef]
- Munagala, V.K.; Jatoth, R.K. Design of Fractional-Order PID/PID Controller for Speed Control of DC Motor Using Harris Hawks Optimization. In Intelligent Algorithms for Analysis and Control of Dynamical Systems; Springer: Berlin/Heidelberg, Germany, 2021; pp. 103–113. [Google Scholar]
- Bui, D.T.; Moayedi, H.; Kalantar, B.; Osouli, A.; Gör, M.; Pradhan, B.; Nguyen, H.; Rashid, A.S.A. Harris hawks optimization: A novel swarm intelligence technique for spatial assessment of landslide susceptibility. Sensors 2019, 19, 3590. [Google Scholar] [CrossRef] [PubMed] [Green Version]
- Murlidhar, B.R.; Nguyen, H.; Rostami, J.; Bui, X.; Armaghani, D.J.; Ragam, P.; Mohamad, E.T. Prediction of flyrock distance induced by mine blasting using a novel Harris Hawks optimization-based multi-layer perceptron neural network. J. Rock Mech. Geotech. Eng. 2021, 13, 1413–1427. [Google Scholar] [CrossRef]
- Yu, C.; Koopialipoor, M.; Murlidhar, B.R.; Mohammed, A.S.; Armaghani, D.J.; Mohamad, E.T.; Wang, Z. Optimal ELM–Harris Hawks optimization and ELM–Grasshopper optimization models to forecast peak particle velocity resulting from mine blasting. Nat. Resour. Res. 2021, 30, 2647–2662. [Google Scholar] [CrossRef]
- Paryani, S.; Neshat, A.; Pradhan, B. Improvement of landslide spatial modeling using machine learning methods and two Harris hawks and bat algorithms. Egypt. J. Remote Sens. Space Sci. 2021, 24, 845–855. [Google Scholar] [CrossRef]
- Golafshani, E.M.; Arashpour, M.; Behnood, A. Predicting the compressive strength of green concretes using Harris hawks optimization-based data-driven methods. Constr. Build. Mater. 2022, 318, 125944. [Google Scholar] [CrossRef]
- Parsa, P.; Naderpour, H. Shear strength estimation of reinforced concrete walls using support vector regression improved by Teaching–learning-based optimization, Particle Swarm optimization, and Harris Hawks Optimization algorithms. J. Build. Eng. 2021, 44, 102593. [Google Scholar] [CrossRef]
- Zaim, S.; Chong, J.H.; Sankaranarayanan, V.; Harky, A. COVID-19 and multiorgan response. Curr. Probl. Cardiol. 2020, 45, 100618. [Google Scholar] [CrossRef]
- Xu, S.; Li, Y. Beware of the second wave of COVID-19. Lancet 2020, 395, 1321–1322. [Google Scholar] [CrossRef]
- Houssein, E.H.; Ahmad, M.; Hosney, M.E.; Mazzara, M. Classification Approach for COVID-19 Gene Based on Harris Hawks Optimization. In Artificial Intelligence for COVID-19; Springer: Berlin/Heidelberg, Germany, 2021; pp. 575–594. [Google Scholar]
- Hu, J.; Heidari, A.A.; Shou, Y.; Ye, H.; Wang, L.; Huang, X.; Chen, H.; Chen, Y.; Wu, P. Detection of COVID-19 severity using blood gas analysis parameters and Harris hawks optimized extreme learning machine. Comput. Biol. Med. 2021, 142, 105166. [Google Scholar] [CrossRef]
- Ye, H.; Wu, P.; Zhu, T.; Xiao, Z.; Zhang, X.; Zheng, L.; Zheng, R.; Sun, Y.; Zhou, W.; Fu, Q.; et al. Diagnosing coronavirus disease 2019 (COVID-19): Efficient Harris Hawks-inspired fuzzy K-nearest neighbor prediction methods. IEEE Access 2021, 9, 17787–17802. [Google Scholar] [CrossRef]
- Bandyopadhyay, R.; Basu, A.; Cuevas, E.; Sarkar, R. Harris Hawks optimisation with Simulated Annealing as a deep feature selection method for screening of COVID-19 CT-scans. Appl. Soft Comput. 2021, 111, 107698. [Google Scholar] [CrossRef]
- Abbasi, A.; Firouzi, B.; Sendur, P. On the application of Harris hawks optimization (HHO) algorithm to the design of microchannel heat sinks. Eng. Comput. 2019, 37, 1409–1428. [Google Scholar] [CrossRef]
- Golilarz, N.A.; Addeh, A.; Gao, H.; Ali, L.; Roshandeh, A.M.; Munir, H.M.; Khan, R.U. A new automatic method for control chart patterns recognition based on ConvNet and Harris Hawks meta heuristic optimization algorithm. IEEE Access 2019, 7, 149398–149405. [Google Scholar] [CrossRef]
- Khalifeh, S.; Akbarifard, S.; Khalifeh, V.; Zallaghi, E. Optimization of Water Distribution of Network Systems Using the Harris Hawks Optimization Algorithm (Case study: Homashahr City). MethodsX 2020, 7, 100948. [Google Scholar] [CrossRef]
- Abd Elaziz, M.; Abualigah, L.; Ibrahim, R.A.; Attiya, I. IoT Workflow Scheduling Using Intelligent Arithmetic Optimization Algorithm in Fog Computing. Comput. Intell. Neurosci. 2021, 2021. [Google Scholar] [CrossRef]
- Seyfollahi, A.; Ghaffari, A. Reliable data dissemination for the Internet of Things using Harris hawks optimization. Peer-to-Peer Netw. Appl. 2020, 13, 1886–1902. [Google Scholar] [CrossRef]
- Saravanan, G.; Ibrahim, A.M.; Kumar, D.S.; Vanitha, U.; Chandrika, V. Iot Based Speed Control Of BLDC Motor With Harris Hawks Optimization Controller. Int. J. Grid Distrib. Comput. 2020, 13, 1902–1915. [Google Scholar]
- Tayab, U.B.; Zia, A.; Yang, F.; Lu, J.; Kashif, M. Short-term load forecasting for microgrid energy management system using hybrid HHO-FNN model with best-basis stationary wavelet packet transform. Energy 2020, 203, 117857. [Google Scholar] [CrossRef]
- Ding, W.; Abdel-Basset, M.; Eldrandaly, K.A.; Abdel-Fatah, L.; de Albuquerque, V.H.C. Smart Supervision of Cardiomyopathy Based on Fuzzy Harris Hawks Optimizer and Wearable Sensing Data Optimization: A New Model. IEEE Trans. Cybern. 2020, 51, 4944–4958. [Google Scholar] [CrossRef]
- Li, C.; Li, J.; Chen, H. A Meta-Heuristic-Based Approach for Qos-Aware Service Composition. IEEE Access 2020, 8, 69579–69592. [Google Scholar] [CrossRef]
- Elkady, Z.; Abdel-Rahim, N.; Mansour, A.A.; Bendary, F.M. Enhanced DVR Control System based on the Harris Hawks Optimization Algorithm. IEEE Access 2020, 8, 177721–177733. [Google Scholar] [CrossRef]
- Wolpert, D.H.; Macready, W.G. No free lunch theorems for optimization. IEEE Trans. Evol. Comput. 1997, 1, 67–82. [Google Scholar] [CrossRef] [Green Version]














| Class | Algorithmic Behavior | Algorithms | Ref. | Year |
|---|---|---|---|---|
| Evolutionary | Breeding-based Evolution | Genetic Algorithm (GA) | [14] | 1992 |
| Breeding-based Evolution | Genetic programming (GP) | [15] | 1992 | |
| Influenced by representative solutions | Differential Evolution (DE) | [16] | 1997 | |
| Breeding-based Evolution | Evolution Strategies | [17] | 2002 | |
| Mathematical Arithmetic operators | Arithmetic Optimization Algorithm | [18] | 2021 | |
| Swarm intelligence | Influenced by representative solutions | Particle Swarm Optimization (PSO) | [19] | 1995 |
| Creation and Stimergy | Ant Colony optimization (ACO) | [20] | 1999 | |
| Creation–Combination | Harmony Search Algorithm (HS) | [21] | 2001 | |
| Influenced by representative solutions | Artificial Bee Colony (ABC) | [22] | 2007 | |
| Influenced by the entire population | Central Force Optimization (CFO) | [23] | 2007 | |
| Creation–Combination | Biogeography-based optimization (BBO) | [24] | 2008 | |
| Influenced by representative solutions | Cuckoo Search (CS) | [25] | 2009 | |
| Influenced by neighborhoods | Bacterial Foraging Optimization (BFO) | [26] | 2009 | |
| Influenced by the entire population | Gravitational Search Algorithm (GSA) | [27] | 2009 | |
| Influenced by the entire population | Firefly Optimizer (FFO) | [28] | 2010 | |
| Influenced by representative solutions | Teaching–Learning-Based Optimizer (TLBO) | [29] | 2011 | |
| Influenced by representative solutions | Fruit Fly Optimization (FFO) | [30] | 2012 | |
| Influenced by representative solutions | Krill Herd (KH) | [31] | 2012 | |
| Influenced by representative solutions | Grey Wolf Optimizer (GWO) | [32] | 2014 | |
| Influenced by representative solutions | Harris Hawks Optimizer (HHO) | [33] | 2019 | |
| Influenced by representative solutions | Henry Gas Solubility Optimization (HGSO) | [34] | 2019 | |
| Influenced by representative solutions | Slime mold algorithm (SMA) | [35] | 2020 | |
| Influenced by mating behavior of snakes | Snake Optimizer | [36] | 2022 |
| No. | Parameter Name | Value |
|---|---|---|
| 1 | Population Size | 30 |
| 2 | Dim | 30 |
| 3 | Max number of iteration | 500 |
| Alg. | Parameter | Value |
|---|---|---|
| GOA | GMaX | 1 |
| GMin | 0.004 | |
| 2 | ||
| TEO | u | 1 |
| v | 0.001 | |
| SCA | a | 2 |
| EHO | Elephants number | 50 |
| Clans number | 5 | |
| Kept elephants number | 2 | |
| The scale factor | 0.5 | |
| The scale factor | 0.1 | |
| SSA | ||
| WOA | a | 2 |
| HHO | 1.5 | |
| AEO | ||
| h | rand | |
| L-SHADE | Pbest | 0.1 |
| Arc rate | 2 | |
| LSHADE-EpSin | Pbest | 0.1 |
| Arc rate | 2 | |
| CMAES | 2 |
| F | GA | CMAES | L-SHADE | LSHADE-EpSin | SCA | GOA | WOA | TEO | AEO | HHO | |
|---|---|---|---|---|---|---|---|---|---|---|---|
| F1 | Avg | 8.87 | |||||||||
| STD | |||||||||||
| F2 | Avg | ||||||||||
| STD | 8.70 | ||||||||||
| F3 | Avg | ||||||||||
| STD | |||||||||||
| F4 | Avg | 1.02 | |||||||||
| STD | 1.37 | 3.89 | 8.62 | 3.59 | |||||||
| F5 | Avg | ||||||||||
| STD | |||||||||||
| F6 | Avg | 6.71 | |||||||||
| STD | |||||||||||
| F7 | Avg | 2.65 | |||||||||
| STD | 2.61 | 3.91 | |||||||||
| F8 | Avg | ||||||||||
| STD | 1.40 | ||||||||||
| F9 | Avg | 0.00 | 0.00 | 0.00 | |||||||
| STD | 1.94 | 0.00 | 0.00 | 0.00 | |||||||
| F10 | Avg | ||||||||||
| STD | 8.79 | 1.45 | 0.00 | 0.00 | |||||||
| F11 | Avg | 0.00 | 0.00 | ||||||||
| STD | 0.00 | 0.00 | |||||||||
| F12 | Avg | 1.33 | |||||||||
| STD | |||||||||||
| F13 | Avg | 3.00 | |||||||||
| STD | |||||||||||
| F14 | Avg | 4.33 | 1.00 | 1.66 | 2.77 | 9.78 | 1.15 | 1.20 | |||
| STD | 2.45 | 2.65 | 3.73 | ||||||||
| F15 | Avg | ||||||||||
| STD | |||||||||||
| F16 | Avg | −1.03 | −1.03 | −1.03 | −1.03 | −1.03 | −1.03 | −1.03 | −1.02 | −1.03 | |
| STD | |||||||||||
| F17 | Avg | ||||||||||
| STD | |||||||||||
| F18 | Avg | 3.00 | 3.04 | 3.04 | 3.00 | 5.70 | 3.00 | 3.18 | 3.00 | ||
| STD | |||||||||||
| F19 | Avg | −3.86 | −3.86 | −3.86 | −3.86 | −3.85 | −3.86 | −3.86 | −3.44 | −3.85 | −3.86 |
| STD | |||||||||||
| F20 | Avg | −3.07 | −3.27 | −3.07 | −3.07 | −2.86 | −2.87 | −3.21 | −2.19 | −2.93 | −3.10 |
| STD | |||||||||||
| F21 | Avg | −4.30 | −6.39 | −4.30 | −4.30 | −2.46 | −2.81 | −8.36 | −4.08 | −2.78 | −5.38 |
| STD | 1.41 | 3.65 | 1.41 | 1.41 | 1.96 | 1.73 | 2.59 | 1.12 | 1.27 | ||
| F22 | Avg | −4.71 | −4.71 | −4.71 | −3.79 | −3.88 | −7.03 | −4.29 | −2.84 | −5.4137 | |
| STD | 1.69 | 1.39 | 1.69 | 1.69 | 1.72 | 1.94 | 3.11 | 1.29 | 1.01 | 1.261067 | |
| F23 | Avg | −4.70 | −9.77 | −4.70 | −4.70 | −3.44 | −3.91 | −6.51 | −4.33 | −3.04 | −5.21 |
| STD | 1.30 | 2.34 | 1.30 | 1.30 | 1.70 | 2.32 | 3.12 | 1.31 | 1.07 | 1.10 |
| F | GA | L-SHADE | LSHADE-EpSin | SCA | GOA | WOA | TEO | HGSO | AEO |
|---|---|---|---|---|---|---|---|---|---|
| F1 | |||||||||
| F2 | 0.673495053 | ||||||||
| F3 | |||||||||
| F4 | 0.853381737 | ||||||||
| F5 | |||||||||
| F6 | |||||||||
| F7 | 0.559230536 | ||||||||
| F8 | |||||||||
| F9 | 1 | NaN | NaN | ||||||
| F10 | NaN | ||||||||
| F11 | 0.160802121 | ||||||||
| F12 | 0.005322078 | ||||||||
| F13 | 0.818745653 | ||||||||
| F14 | 0.000556111 | ||||||||
| F15 | |||||||||
| F16 | 0.773119942 | ||||||||
| F17 | 0.311053163 | 0.311053163 | 0.311053163 | 0.311053163 | 0.311053163 | 0.311053163 | 0.311053163 | ||
| F18 | |||||||||
| F19 | 0.000268057 | 0.000268057 | 0.000268057 | 0.000268057 | 0.157975689 | ||||
| F20 | 0.045146208 | 0.045146208 | 0.045146208 | 0.000158461 | 0.000149316 | 0.00033679 | |||
| F21 | 0.000178356 | 0.725538189 | 0.000178356 | 0.000178356 | |||||
| F22 | 0.006097142 | 0.006097142 | 0.006097142 | 0.000178356 | 0.003182959 | ||||
| F23 | 0.003848068 | 0.003848068 | 0.003848068 | 0.002052334 | 0.000356384 |
| F | GA | L-SHADE | LSHADE-EpSin | SCA | GOA | WOA | TEO | HGSO | AEO | HHO | |
|---|---|---|---|---|---|---|---|---|---|---|---|
| F1 | Avg | ||||||||||
| STD | |||||||||||
| F2 | Avg | NA | NA | NA | NA | NA | NA | NA | NA | NA | NA |
| STD | NA | NA | NA | NA | NA | NA | NA | NA | NA | NA | |
| F3 | Avg | ||||||||||
| STD | |||||||||||
| F4 | Avg | ||||||||||
| STD | |||||||||||
| F5 | Avg | ||||||||||
| STD | |||||||||||
| F6 | Avg | ||||||||||
| STD | 9.87 | 8.04 | 7.11 | 6.21 | 6.63 | 6.38 | 7.30 | 6.94 | |||
| F7 | Avg | ||||||||||
| STD | |||||||||||
| F8 | Avg | ||||||||||
| STD | |||||||||||
| F9 | Avg | ||||||||||
| STD | |||||||||||
| F10 | Avg | ||||||||||
| STD | |||||||||||
| F11 | Avg | ||||||||||
| STD | |||||||||||
| F12 | Avg | ||||||||||
| STD | |||||||||||
| F13 | Avg | ||||||||||
| STD | |||||||||||
| F14 | Avg | ||||||||||
| STD | |||||||||||
| F15 | Avg | ||||||||||
| STD | |||||||||||
| F16 | Avg | ||||||||||
| STD | |||||||||||
| F17 | Avg | ||||||||||
| STD | |||||||||||
| F18 | Avg | ||||||||||
| STD | |||||||||||
| F19 | Avg | ||||||||||
| STD | |||||||||||
| F20 | Avg | ||||||||||
| STD | |||||||||||
| F21 | Avg | ||||||||||
| STD | |||||||||||
| F22 | Avg | ||||||||||
| STD | |||||||||||
| F23 | Avg | ||||||||||
| STD | 4. | ||||||||||
| F24 | Avg | ||||||||||
| STD | |||||||||||
| F25 | Avg | ||||||||||
| STD | |||||||||||
| F26 | Avg | ||||||||||
| STD | |||||||||||
| F27 | Avg | ||||||||||
| STD | |||||||||||
| F28 | Avg | ||||||||||
| STD | |||||||||||
| F29 | Avg | ||||||||||
| STD | |||||||||||
| F30 | Avg | ||||||||||
| STD |
| SN. | Modification Name | Ref. | Authors | Journal/Conf. | Year | Remarks |
|---|---|---|---|---|---|---|
| 1 | Binary HHO (BHHO) | [110] | Too et al. | Electronics | 2019 | Authors introduced two binary versions of HHO called (BHHO) and Quadratic Binary HHO (QBHHO). |
| 2 | Opposite HHO (OHHO) | [111] | Hans et al. | Journal of Interdisciplinary Mathematics | 2020 | Authors applied OHHO in feature selection in breast cancer classification. |
| 3 | EHHO | [112] | Jiao et al. | Energy | 2020 | Authors combined OBL and (OL) in HHO. |
| 4 | NCOHHO | [113] | Fan et al. | Evolutionary Intelligence | 2020 | Authors improved HHO by two mechanisms: neighborhood centroid and opposite-based learning. |
| 5 | IHHO | [114] | Song et al. | Energy Sources | 2020 | Two techniques were employed: Quasi-Oppositional and Chaos theory. |
| 6 | LMHHO | [115] | Hussain et al. | IEEE Access | 2019 | Long-term HHO algorithm (LMHHO) in which information share of multiple promising areas is shared. |
| 7 | CMDHHO | [116] | Golilarz et al. | IEEE Access | 2020 | 3 techniques are used with HHO, namely: Chaos theory, Multipopulation topological structure, and DE operators: mutation and crossover. |
| 8 | GCHHO | [117] | Song et al. | Knowledge-based Systems | 2020 | Gaussian mutation and Cuckoo Search were employed in HHO. |
| 9 | AHHO | [117] | Wunnava et al. | Applied Soft Computing | 2020 | Authors used mutation strategy to force the escape energy in the interval [0, 2]. |
| 10 | (DHHO/M) | [118] | Jia et al. | Remote Sensing | 2019 | A dynamic HHO algorithm with mutation strategy is proposed. |
| 11 | vibrational HHO (VHHO) | [119] | Shao et al. | Measurement | 2020 | VHHO is proposed by embedding SVM into HHO and using a periodic mutation. |
| 12 | GBHHO | [120] | Wei et al. | IEEE ACCESS | 2020 | Authors developed an improved HHO approach by using Gaussian barebone (GB) |
| Proposed | Application | Description | Results and Conclusion | Year and Authors | (Ref.) |
|---|---|---|---|---|---|
| HHOPSO | reactive power planning problem | HHo with PSO | HHOPSO has better results than HHO | Shekarappa et al. | [207] |
| CMBHHO | distribution generator (DG) | crossover and mutation is used in HHO | CMBHHO outperforms HHO, LSA, GA, amd TLBO | Mohandas and Devanathan | [208] |
| WHHO | PV solar | Whippy HHO | WHHO achieves better results | Naeijian et al. | [209] |
| NCOHHO | ANN | training multilayer feed-forward ANN | NCOHHO tested using 5 different datasets | Fan et al. | [113] |
| HHO-DE | multilevel thresholding image | Ostu’s and Kapur’s entropy method used | outperforms all other algorithms | Bao et al. | [210] |
| HHO | flow shop scheduling | hybrid algorithm based on HHO is designed | HHO achieved good results compared with others | Utama and Widodo | [211] |
| MEHHO1 and MEHHO2 | Feature selection | saving memory mechanism and adopting a learning strategy are used | MEHHO1 achieved good results compared with HHO | Too et al. | [212] |
| DHGHHD | drug discovery | HGSO enhanced HHO | 2 real-world datasets were used | Abd Elaziz and Yousri | [213] |
| CovH2SD | COVID-19 | HHO was used to optimize CNN | transfer learning techniques using 9 convolutional NN | Balaha et al. | [214] |
Publisher’s Note: MDPI stays neutral with regard to jurisdictional claims in published maps and institutional affiliations. |
© 2022 by the authors. Licensee MDPI, Basel, Switzerland. This article is an open access article distributed under the terms and conditions of the Creative Commons Attribution (CC BY) license (https://creativecommons.org/licenses/by/4.0/).
Share and Cite
Hussien, A.G.; Abualigah, L.; Abu Zitar, R.; Hashim, F.A.; Amin, M.; Saber, A.; Almotairi, K.H.; Gandomi, A.H. Recent Advances in Harris Hawks Optimization: A Comparative Study and Applications. Electronics 2022, 11, 1919. https://doi.org/10.3390/electronics11121919
Hussien AG, Abualigah L, Abu Zitar R, Hashim FA, Amin M, Saber A, Almotairi KH, Gandomi AH. Recent Advances in Harris Hawks Optimization: A Comparative Study and Applications. Electronics. 2022; 11(12):1919. https://doi.org/10.3390/electronics11121919
Chicago/Turabian StyleHussien, Abdelazim G., Laith Abualigah, Raed Abu Zitar, Fatma A. Hashim, Mohamed Amin, Abeer Saber, Khaled H. Almotairi, and Amir H. Gandomi. 2022. "Recent Advances in Harris Hawks Optimization: A Comparative Study and Applications" Electronics 11, no. 12: 1919. https://doi.org/10.3390/electronics11121919
APA StyleHussien, A. G., Abualigah, L., Abu Zitar, R., Hashim, F. A., Amin, M., Saber, A., Almotairi, K. H., & Gandomi, A. H. (2022). Recent Advances in Harris Hawks Optimization: A Comparative Study and Applications. Electronics, 11(12), 1919. https://doi.org/10.3390/electronics11121919

