Next Article in Journal
Financial Data Anomaly Discovery Using Behavioral Change Indicators
Next Article in Special Issue
RETRACTED: Energy Efficiency Maximization for Hybrid-Powered 5G Networks with Energy Cooperation
Previous Article in Journal
Self-Assembly and Self-Repair during Motion with Modular Robots
Previous Article in Special Issue
Research on Orbital Angular Momentum Multiplexing Communication System Based on Neural Network Inversion of Phase
 
 
Font Type:
Arial Georgia Verdana
Font Size:
Aa Aa Aa
Line Spacing:
Column Width:
Background:
Article

Research on Polarization Coding Cooperative Communication Scheme for FSO System

1
Periodical Agency of Chongqing, University of Technology, Chongqing 400054, China
2
School of Electrical and Electronic Engineering, Chongqing University of Technology, Chongqing 400054, China
*
Author to whom correspondence should be addressed.
Electronics 2022, 11(10), 1597; https://doi.org/10.3390/electronics11101597
Submission received: 20 April 2022 / Revised: 10 May 2022 / Accepted: 11 May 2022 / Published: 17 May 2022
(This article belongs to the Special Issue Mechatronic Control Engineering)

Abstract

:
To solve the problems of interruption events and the high bit-error rate of the FSO system caused by atmospheric turbulence, an FSO cooperative communication scheme based on system polarization code is proposed. In this scheme, the upper limit of the average bit-error rate of the atmospheric turbulence channel is used to construct the frozen bit set of the system polarization code, and the information bit set of the S R link is recovered by using the ownership relationship between the frozen bit set of the S R link and the S D link at the destination node. Finally, the information bits of the S R link and S D link are combined using equal gain combination, and the original information is recovered by decoding. The simulation results show that the FSO cooperative communication system can overcome the influence of atmospheric turbulence and improve the system performance, and the bit-error rate performance of the FSO cooperative communication system can be improved by at least 0.5dB; the outage probability of the FSO cooperative communication system can be reduced to less than 10−7, and it shows a stable inhibitory effect on strong turbulence conditions.

1. Introduction

Free-space optical (FSO) communication technology uses light as an information transmission medium, and has several features including large bandwidth, fast speed, and strong anti-interference. In particular, the technology does not depend on fixed-frequency band communication, which saves spectrum resources. However, the laser is easily affected by atmospheric turbulence, resulting in the change of beam arrival angle and the fluctuation of light intensity at the receiving end [1].
To overcome the influence of atmospheric turbulence on the FSO system, cooperative communication technology is applied to the FSO communication system to improve system performance via forming spatial diversity. In reference [2], Han Liqiang and You Yahui analyzed the influence of a relay cooperative communication mode on FSO link performance in an FSO communication system using the gamma–gamma turbulence model and subcarrier intensity modulation direct detection (IM/DD) technology. To specifically analyze the performance of the FSO cooperative communication system, in reference [3], Liu Wenya and Wang Xiang analyzed the effects of turbulence intensity, modulation mode, and diversity communication scheme on the system outage probability (OP) and average bit-error rate (BER) for a hybrid radio frequency/free-space optical (RF/FSO) aeronautical communication system under three-point cooperation architecture. In reference [4], Hongjiang Lei and Ki Hong Park analyzed the security outage performance of a hybrid RF/FSO communication system under imperfect channel state information, and deduced the closed expression of the lower bound of security outage probability under fixed gain relay and variable gain relay. In reference [5], a switching scheme was proposed for an FSO/RF hybrid system. The system used selective decoding and a forwarding relay network and derived the expressions of progressive outage probability and symbol error rate with low computational complexity. In reference [6], the performance and capacity of a two-hop asymmetric RF/FSO communication system were analyzed based on the fixed amplification and forwarding (AF) protocol, and the mathematical expressions of the cumulative distribution function, probability density function, and moment generating function of the end-to-end signal-to-noise ratio were derived, which are used to analyze the outage probability and average bit-error rate of the system. In reference [7], Arezumand et al. studied the performance of asymmetric radio frequency (RF) and free-space light (FSO) double-hop cognitive amplification and forward relay networks, and calculated the closed form and asymptotic expression of the outage probability of the system. Although the above researchers specifically analyzed the outage probability and bit-error rate performance of the cooperative FSO communication system, there is still some room for improvement in the performance of this system type.
As a key factor affecting transmission efficiency, an appropriate coding scheme can improve the performance of the FSO cooperative communication system. At present, polarization code, as a coding method that can reach the Shannon limit of binary discrete memoryless channel, is arousing the interest of several industries. Because of its low encoding and decoding complexity and superior performance, it has become the mainstream coding method of channel coding in 5G and has very good development potential. In recent years, with the rapid development of cooperative communication technology, polarization code is widely used in the field of cooperative communication. In reference [8], Jiafei Fang and Meihua Bi proposed a polarization-coded multiple-input multiple-output (MIMO) FSO communication system to combat the fading caused by turbulence, and studied the ergodic ability of the gamma–gamma model atmospheric turbulence channel under the conditions of correlated fading or not. In reference [9], the authors studied the selection method of polarization code frozen bits in the FSO communication system by evaluating the block bit-error rate performance of the system, to improve its performance. In reference [10], Chen Xuanxuan proved that polarization code could be applied to the FSO communication system, and its bit-error rate performance was better than low-density parity check (LDPC) code under the same conditions. In reference [11], Shao Dong applied the method of constructing polarization code in the AWGN channel to the FSO communication system, studied the performance of single-chain bit-error rate and coding mode in the turbulent channel, and discussed the application of polarization code in a free-space optical communication MIMO system. In reference [12], Qin Yuyang explored the effects of the polarization code length, code rate, and decoding width on the performance of a gamma–gamma atmospheric turbulence channel model with weak, medium, and strong turbulence. In reference [13], Xiaoyu Liu and Jiafei Fang proposed an adaptive polarization-coding probability-shaping scheme suitable for free-space optical communication. The system polarization code was used to resist the fading caused by atmospheric turbulence, and its performance was verified. The above researchers applied polarization code to the free-space optical communication system, which improved the communication performance of the system, but there is still some room for improvement.
In order to further improve the performance of the free-space optical communication system and solve the problems of interruption events and the high bit-error rate in the atmospheric turbulence channel, the cooperative communication mode and polarization coding can be applied to FSO communication systems at the same time. The main contributions of this paper are as follows: 1. An FSO cooperative communication transmission scheme based on system polarization coding is proposed. This scheme combines the system polarization code with the cooperative communication mode, and introduces a method of constructing polarization code in the cooperative communication system. 2. This method mainly constructs the system polarization code through the channel capacity of each branch in the cooperative communication system, takes the upper limit of the average bit-error rate of the channel as the selection limit of the frozen bit of the system polarization code, and restores the information bit set transmitted by the S R link at the destination node according to the relationship between the frozen bit set of the S R link and the S D link, of which S , R , and D represent the source node, relay node, and destination node of the cooperative communication system, respectively. 3. In this scheme, the DF (decode and forward) cooperation protocol is used at the relay node, and EGC (equal gain combining) is used at the destination node to process the S R link information bit and S D link information bit signals, and finally decode and recover the original signal. The results show that the FSO cooperative communication system based on system polarization coding has better outage probability and bit-error rate performance than the FSO communication system.

2. Cooperative Communication Model

The system model of the FSO cooperative communication transmission scheme under system polarization coding is shown in Figure 1. A half-duplex communication mode is used between the nodes, and the transmission link conforms to the gamma–gamma distribution model. The system polarization code is used at the source node S and relay node R , and the fast serial offset list decoding method is used at the destination node D .
In half-duplex mode, each node sends and receives signals at different time slots. In this system, the system polarization code is only used to encode the information bits of the original information M . Assuming that the information sequence encoded by the source node is x s , during the first time slot of the FSO cooperative communication system, the source node S sends signals to the relay node R and the destination node D , respectively. After receiving it, the relay node decodes it and calculates the bit-error rate. If the bit-error rate is lower than the threshold value, the intersection of the freeze bit set of the direct transmission S D link and the S R link information bit set is extracted, the intersection is processed using polarization code, and then the information is sent to the destination node. The channel coefficient of the S R link is h s r and the channel coefficient of the S D link is h s d . Therefore, the received signals of the relay node R and the destination node D can be expressed as:
y s r = P S η R h s r x s + n s r
y s d = P S η D h s d x s + n s d
where P S is the transmit power at the source node, η R and η D are photoelectric conversion efficiency at relay node and destination node, respectively, and n s r and n s d are the complex additive Gaussian white noise of the S R link and the S D link, with a mean of zero and a variance per dimension of σ s r 2 and σ s d 2 , respectively. During the second time slot, the relay node R transmits the system polarization-encoded signal to the destination node D . The destination node D recovers the information bit set of the S R link using the frozen bit set of the signal and the polarization code of the S R link system. Finally, the received signal is combined with EGC and decoded. The channel coefficient of the R D link is h r d , so the signal y r d received by the destination node D can be expressed as:
y r d = P R η D h r d x r + n r d
where n r d is the complex additive Gaussian white noise with zero mean and σ r d 2 variance per dimension.
Since FSO links obey gamma–gamma distribution, the probability density function (PDF) of the channel state h of each branch can be expressed as:
f h ( h ) = 2 ( α β ) ( α + β ) / 2 Γ ( α ) Γ ( β ) h ( α + β ) / 2 1 × K α β ( 2 α β h )
Γ ( ) is the gamma function, and K v ( ) is the second kind of Bessel function. α and β characterize the effective number of vortices in large and small regions, respectively. When the light radiation at the receiving end is a plane wave, α and β can be expressed as:
α = [ exp ( 0.49 σ l 2 ( 1 + 1.11 σ l 12 / 5 ) 7 / 6 ) 1 ] 1
β = [ exp ( 0.51 σ l 2 ( 1 + 0.69 σ l 12 / 5 ) 5 / 6 ) 1 ] 1
In Equations (5) and (6), σ R 2 is Rytov variance, which is defined as:
σ R 2 = 1.23 C n 2 k 7 / 6 L 11 / 6
C n 2 is the atmospheric refractive index structure constant, k = 2 π / λ is the number of light waves, λ is the laser wavelength, and L is the transmission distance between adjacent nodes.

3. Construction Principle of System Polarization Code in Cooperative Communication

Because the system polarization code has better bit-error rate performance than the non-system polarization code, the system polarization code is used in this system. Assuming that the set A is a reliable channel set, it is a subset of the set { 1 , , N } , and the set transmitting frozen bits can be represented by a complement A c of A . The encoding method of polarization code with code length N is:
x 1 N = u 1 N G N
where u 1 N is the information bit of source information, x 1 N is the encoded information bit, and G N is the generation matrix of N order. According to the reliability of the channel, the source information and the generation matrix can be split, u 1 N = ( u A , u A c ) , G N = ( G A , G A c ) . Equation (8) can be written as follows:
x 1 N = u A G A u A c G A c
In Equation (9), the encoded codeword x 1 N can also be divided into x 1 N = ( x B , x B c ) , the set B is any subset of { 1 , , N } . Equation (9) can be expressed as Equations (10) and (11):
x B = u A G A B + u A c G A c B
x B c = u A G A B c + u A c G A c B c
G A B can be represented by a submatrix of G N . In the system polarization code, x B can also be considered part of x 1 N containing only information bits. x B c is the part of x 1 N containing frozen bits. For unsystematic polarization code, there is an unsystematic decoder with a given parameter. Then, for the system polarization code, if there is one-to-one correspondence between the value of u A and x B , there is a system decoder with the given parameter ( B , u A c ) [14].
In this system, the relay node uses the DF protocol. The source node S concatenates the check code and polarization code for the source bits and transmits them to the relay node R through the S R link. The concatenation of the two codewords is for error-checking at the relay node R , which can effectively improve the error correction performance of medium and shortcode long polarization code, to improve the bit-error rate performance of the whole cooperative communication system. The encoding and decoding process of cyclic redundancy check (CRC) cascaded polarization code is shown in Figure 2.
In the cascade coding of the CRC and system polarization code, all information bits of the source bits participate in CRC code. The information bit length of the input information sequence is K , which can be represented by v = { v 1 , v 2 , , v K } . After CRC coding v , a sequence x i with code length K + M is obtained, where i { 1 , 2 , , K + M } . Then, x i is sent to the system polarization code encoder to obtain the information sequence with code length of N and the length of the frozen bit is C 1 N . After passing through the atmospheric turbulence channel, it is transmitted to the relay node R , and the received signal sequence at R is y 1 N . Next, y 1 N is decoded at the relay node R , and the decoded sequence is v ^ 1 N . The use of CRC check-assisted polarization code decoding can effectively detect the burst errors in the decoding process to improve the decoding performance.
In the symmetric decoding and forwarding relay system of polarization code, for a random degenerate relay channel with the orthogonal receiver, as long as the code rate of polarization code R < R S D F ( R S D F is the symmetric capacity of the system), there is always a polarization code sequence indexed by block length N, and the polarization code has a bit-error rate P e O ( 2 N β ) for any 0 < β < 1 2 , where O ( ) represents the asymptotic property of the function and N is the code length of polarization code [15].
The implementation steps of the coding cooperation scheme based on system polarization code are as follows:
(1)
At the source node, a system polarization code sequence up to the link S R channel capacity is constructed. The code rate R < I ( W S R ) of the system polarization code is the mutual information of the channel. Assume 0 < β < 1 2 and δ N 1 N 2 N β . The frozen bit set of system polarization code is defined as:
F S R { i { 0 , 1 , , N 1 } : Z ( W S R ( i ) ) δ N }
Z ( W S R ( i ) ) is the average Butterworth parameter of the channel. For a binary discrete memoryless channel, the average Butterworth parameter of the channel is:
Z ( W ) = 1 2 y Y W ( y | 0 ) W ( y | 1 )
where y is the received signal of the channel and Y is the set of received signals.
F S R C is defined as the complement of F S R . The constructed system polarization code sequence only encodes information symbols M F S R C . For the direct link S D , the construction method of the system polarization code is the same as that of the link S R , and the frozen bit set of the link S D is:
F S D { i { 0 , 1 , , N 1 } : Z ( W S D ( i ) ) δ N }
(2)
Firstly, the relay node decodes the information from the source node, and then extracts the set of information bits as the index F S D F S R C , and then encodes these information bits with system polarization code up to the link R D channel capacity, and finally sends them to the destination node.
(3)
The information decoded by the destination node includes some information sent by the source node to the relay node, that is, F S D F S R C , the corresponding set of information bits. According to proposition 1 in reference [15], the frozen bit set F S R F S D of the link S R . Therefore, the set F S R C of information bits of the link S R can be used and recovered by F S D F S R C and F S R . Finally, the destination node combines the information bit set F S R C of the link S R with the information bit set F S D C of the direct transmission link and decodes the combined information to recover the original information.

4. Outage Probability and Bit-Error Rate Analysis

4.1. Outage Probability Analysis

In the cooperative communication system, when the instantaneous transmission capacity of the channel is lower than the current transmission rate or the system signal-to-noise ratio is lower than the specified signal-to-noise ratio threshold, the system will be interrupted. The probability of the interruption is the interruption probability of the system. This section analyzes the outage probability of a cooperative system under an atmospheric turbulence channel, in which the link R D and link S D are independent of each other.
Point-to-point transmission refers to the direct transmission link in the cooperative communication system. When the interruption occurs, the signal-to-noise ratio of the link is lower than the specified signal-to-noise ratio threshold, and the interruption probability can be expressed in the following form [16]:
P o = Pr ( γ ¯ γ t h ) = Pr ( h γ t h / γ ¯ ) = 0 γ t h / γ ¯ f h ( h ) d h
where γ ¯ is the average signal-to-noise ratio of the current link, γ t h is the specified signal-to-noise ratio threshold.
According to the literature [16], it can be obtained that:
K v ( x ) = 1 2 G 2 , 0 0 , 2 ( x 2 4 | v 2 , v 2 )
Therefore, Equation (4) can be written as:
f h ( h ) = ( α β ) ( α + β ) / 2 h ( α + β ) / 2 1 Γ ( α ) Γ ( β ) × G 2 , 0 0 , 2 [ α β h | α β 2 , β α 2 ]
It is also obtained in the literature [17] that:
( α β h ) ( α + β ) / 2 G 2 , 0 0 , 2 ( α β h | α β 2 , α β 2 ) = ( α β h ) ( α + β ) / 2 G 2 , 0 0 , 2 ( α β h | α , β )
Therefore, Equation (17) can be written in the following form:
f h ( h ) = 1 Γ ( α ) Γ ( β ) h × G 2 , 0 0 , 2 [ α β h | α , β ]
By introducing Equation (19) into Equation (15), it can be obtained that the outage probability of the link is:
P 0 = 0 γ t h / γ ¯ 1 Γ ( α ) Γ ( β ) h × G 2 , 0 0 , 2 [ α β h | α , β ] d h
In the FSO system, the relationship between the average signal-to-noise ratio of the channel γ ¯ , the signal-to-noise ratio threshold γ t h , and the channel state h is γ t h = γ ¯ h 2 . Using this relationship to integrate and transform the integral on the right side of Equation (20), we get:
0 γ t h / γ ¯ 1 Γ ( α ) Γ ( β ) h × G 2 , 0 0 , 2 [ α β h | α , β ] d h = 1 2 0 γ t h 1 γ t h G 2 , 0 0 , 2 [ α β γ t h / γ ¯ | α , β ] d γ ¯
According to the literature [17]:
0 γ t h γ t h 1 × G 2 , 0 0 , 2 [ α β γ t h γ ¯ | α , β ] d γ 0 = 2 G 2 , 1 1 , 3 [ α β γ t h γ 0 ¯ | 1 ; α , β ; 0 ]
Combining Equations (20)–(22), the outage probability of the direct transmission link can be obtained as follows:
P 0 = 1 Γ ( α ) Γ ( β ) G 2 , 1 1 , 3 [ α β γ t h γ ¯ | 1 ; α , β ; 0 ]
In the cooperative communication system composed of the source node S , relay node R , and destination node D , all branches should participate in information transmission, including the direct transmission link and relay link. Finally, all signals are combined using an equal gain combination at the destination node D . When the relay link is interrupted, the direct link of the cooperative communication system can transmit information; when the direct link is interrupted, the cooperative communication system can transmit information through the relay link. Therefore, the use of cooperative communication reduces the probability of system interruption to a certain extent. In the cooperative communication system, when an interruption event occurs, the direct transmission link must have an interruption event. At the same time, one of the links S R and R D must be interrupted. Therefore, the outage probability of the cooperative FSO communication system can be expressed as:
P o u t = P S R P S D + ( 1 P S R ) P R D P S D    = P S R P S D + P S R P R D P S R P R D P S D
where in P S R , P R D , and P S D are the outage probabilities of links S R , R D , and S D , respectively, which can be obtained from Equation (23).

4.2. System Bit-Error Rate Analysis

Command ε , ε S R , and ε R D respectively represent the event { M ^ M } , { M R ^ M } and the error transmission of the link R D , where M is the original information sent by the source node, M ^ is the system output information, and M R ^ is the decoded information at the relay node. Order ε C , ε S R C , and ε R D C are complementary events. The bit-error rate of a cooperative FSO communication system with system polarization coding is expressed as:
Pr ( ε ) = Pr ( ε | ε S R ) Pr ( ε S R ) + Pr ( ε | ε S R C ) Pr ( ε S R C ) Pr ( ε S R ) + Pr ( ε | ε S R C )
At the source node, the code rate using system polarization coding is R < I ( W S R ) , and the upper bound of Pr ( ε S R ) is O ( 2 N β ) . The second term in Equation (25) can be expressed as:
Pr ( ε | ε S R C ) = Pr ( ε | ε S R C , ε R D ) Pr ( ε R D | ε S R C ) + Pr ( ε | ε S R C , ε R D C ) Pr ( ε R D C | ε S R C ) = Pr ( ε | ε S R C , ε R D ) Pr ( ε R D ) + Pr ( ε | ε S R C , ε R D C ) Pr ( ε R D C ) Pr ( ε R D ) + Pr ( ε | ε S R C , ε R D C )
In the above formula, ε S R and ε R D are independent of each other. All terms are obtained under the construction of the system polarization code, so the upper limit of all terms is O ( 2 N β ) . By substituting Equation (26) into Equation (25), the upper limit of the bit-error rate of the cooperative FSO communication system with system polarization coding can be obtained.
At the receiving end of the FSO communication system using BPSK modulation, if the influence of atmospheric turbulence on the communication system is not considered, the bit-error rate under BPSK modulation can be expressed as:
P B P S K = 1 2 e r f c ( S N R )
In Equation (27), S N R is the instantaneous signal-to-noise ratio at the destination node, and e r f c ( ) is the error function, which can be defined as:
e r f c ( x ) = 2 π 0 x e η 2 d η
In the FSO cooperative communication system involved in this paper, considering the influence of atmospheric turbulence on the FSO system, combined with the gamma–gamma atmospheric turbulence channel model, the system bit-error rate modulated by BPSK can be expressed as:
P e B P S K = 0 P B P S K f h ( h ) d h = 0 e r f c ( S N R ) α β ( α + β ) / 2 Γ ( α ) Γ ( β ) h ( α + β ) / 2 1 × K α β ( 2 α β h ) d h
where h is channel status information. Finally, according to the relationship between h and the instantaneous signal-to-noise ratio of the channel, the bit-error rate P e B P S K at the destination node of the system can be solved, which meets the conditions of Equation (26).

5. Simulation Results and Analysis

Through system simulation, this section will focus on the bit-error rate and outage probability of the FSO cooperative communication system under polarization coding. Under the proposed system scheme, the bit-error rate and outage probability of the system are simulated under the same communication distance, different turbulence intensity, and different communication distance under the same refractive index structure constant. The basic parameter settings of the simulation are shown in Table 1.
Under polarization coding, the BER performance of the FSO cooperative communication system is simulated for turbulent channels with different intensities. The polarization code length is set to 1024 and the code rate is 0.5. The decoding method uses fast serial offset list decoding (FastSCL) with CRC check. The cooperative communication mode uses the decoding and forwarding (DF) mode at the relay node and sets the bit-error rate threshold to 10 5 . The simulation results are shown in Figure 3. The solid line indicates that the cooperative communication mode is used, and the dotted line indicates that there is no cooperation (that is, there is a direct link between the source node and the destination node). The simulation results show that when the turbulence intensity is 0.3 and the system bit-error rate is 10 3 , the performance of the FSO cooperative communication system is about 0.5dB higher than that of the direct link. Once the signal-to-noise ratio is greater than 13dB, it shows better gain performance. When the turbulence intensity is 0.7 and the system bit-error rate is 10 3 , the performance of the FSO cooperative communication system is about 1dB higher than that of the direct link, and the higher the signal-to-noise ratio is, the more obvious the gain is. When the turbulence intensity is 1.0 and the system bit-error rate is 10 2 , the performance of the FSO cooperative communication system is about 1.5dB higher than that of the direct link, and the higher the signal-to-noise ratio, the more obvious the gain will be. From the above analysis, it can be seen that the cooperative communication mode can significantly improve the performance of the polarization-coded FSO system, and the stronger the turbulence, the more obvious the improvement effect.
The influence of different communication distances between the source node s and destination node D on the system bit-error rate when the fixed refractive index structure constant C n 2 is 1.41 × 10 15 is shown in Figure 4. As can be seen from the figure, when the communication distance is 2000 m and the system bit-error rate is 10 4 , the performance of the FSO cooperative communication system is about 0.4 dB higher than that of a direct transmission link. When the communication distance is 4000 m and the system bit-error rate is 10 4 , the performance of the FSO cooperative communication system is about 0.2 dB higher than that of direct transmission link. When the communication distance is 6000 m and the system bit-error rate is 10 4 , the performance of the FSO cooperative communication system is about 0.2 dB higher than that of the direct transmission link. The longer the communication distance, the stronger the intensity of atmospheric turbulence, so the bit-error rate performance of the system decreases slowly. From the above analysis, it can be seen that for the FSO communication system with a longer communication distance and stronger atmospheric turbulence intensity, the use of a cooperative communication mode can effectively improve the performance of the communication system.
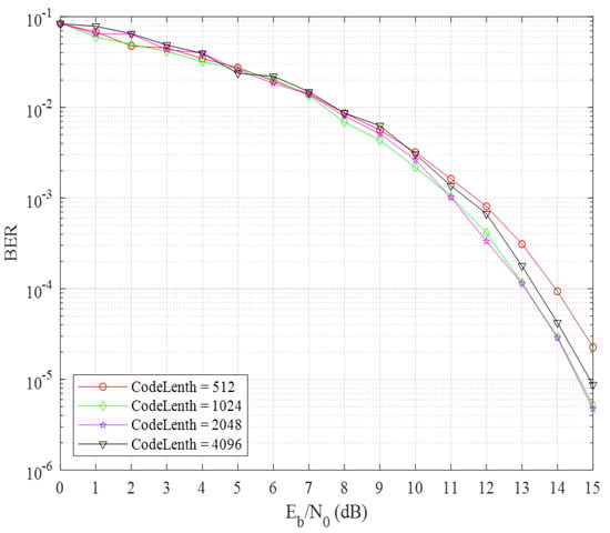
The impact of polarization codes of systems with different code lengths under the same atmospheric turbulence intensity on the bit-error rate of the FSO cooperative communication system is shown in Figure 5. It can be seen from the figure that the shorter the polarization code length of the system, the worse the performance of the FSO cooperative communication system. When the signal-to-noise ratio of the system is lower than 8 dB, the polarization code length has little effect on the bit-error rate of the system. After 8 dB, the system polarization codes with a code length of 1024 and 2048 have similar improvements in the system bit-error rate performance. When the system bit-error rate is 10 4 , the system polarization code with a code length of 1024 is about 0.7 dB higher than the system polarization code with a code length of 512, and the system polarization code with a code length of 4096 is about 0.5 dB higher. In the FSO cooperative communication system, decoding will be carried out at both the relay node R and destination node D . Multiple decoding will increase the bit-error rate of the system. Therefore, the system polarization code length is too long, which reduces the improvement of system bit-error rate performance.
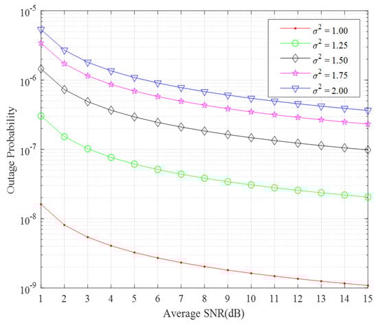
In the FSO communication system, the outage probability performance of cooperative communication is better than that of a direct transmission link. Figure 6 compares the outage probability of the FSO cooperative communication system under different turbulence intensities. It can be seen from the figure that the system outage performance reaches the peak when the turbulence intensity is the smallest. With the increase in turbulence intensity, the interruption performance of the system decreases. When the turbulence intensity increases to a certain intensity, the FSO cooperative communication system can suppress the occurrence of interruption events under strong turbulence, and the interruption performance of the system is improved. For example, when the turbulence intensity increases from 1.00 to 2.00, the interruption performance of the system continues to decline. However, with the continuous enhancement of turbulence intensity, the deterioration of the system outage probability is restrained. When the turbulence intensity increases from 1.00 to 1.25, the interruption performance of the system decreases by several dB; when the turbulence intensity increases from 1.75 to 2.00, the outage performance of the system only deteriorates by about 2 dB—much less than the initial deterioration—so the deterioration degree of the outage probability of the system is improved.
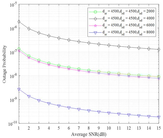
The impact of different communication distances on the outage probability of the FSO cooperative communication system when the fixed refractive index structure constant C n 2 is 1.41 × 10 14 is shown in Figure 7. As can be seen from the figure, the interruption performance of the FSO cooperative communication system decreases with the increase in communication distance between the source node S and destination node D . When the distance increases to a certain extent, the FSO cooperative communication system can suppress the deterioration of interruption performance. For example, when the communication distance increases from 2000 m to 4000 m and the signal-to-noise ratio is 5 dB, the outage probability of the FSO cooperative communication system increases by about one order of magnitude. At this time, the performance of outage probability decreases due to the increasing communication distance between the source node S and the destination node D and the long distance of the relay link. When the communication distance is greater than 4000 m, the interruption performance of the FSO cooperative communication system is improved. When the communication distance rises to 6000 m, the interruption probability of the FSO cooperative communication system drops below 10 7 . This results from the improved outage probability performance of the system by the use of a cooperative communication system. Although the increase in communication distance leads to an increase in atmospheric turbulence intensity, the addition of a relay link can effectively improve the outage probability performance of the communication system.

6. Conclusions

To improve the performance of the FSO communication system, we apply the cooperative communication mode based on system polarization coding to improve the bit-error rate and outage probability of the FSO communication system. The decoding and forwarding cooperation protocol is used at the relay node, and the forwarding threshold is set to effectively avoid the system performance loss caused by the noise signal. The interference of atmospheric turbulence on the performance of the bit-error rate and outage probability of the communication system can be suppressed by increasing the polarization code length and using the cooperative communication mode, which can be applied to solve the problems of strong turbulence and obvious performance degradation of long-distance communication systems. The simulation results show that the bit-error rate of the system can be reduced using the system polarization code and selecting a channel with good channel quality for information bit transmission; the use of cooperative communication not only obtains spatial diversity, but also reduces the bit-error rate and outage probability of the system. Therefore, cooperative communication based on system polarization coding can be effectively applied to the FSO communication system. In future research, we will focus on the research of system complexity under the conditions of fixed polarization code length in an FSO cooperative communication system. It is hoped that the system complexity can be reduced when the polarization code length is increased.

Author Contributions

Conceptualization, Y.C. and H.Q.; methodology, H.Q.; software, H.Q.; validation, X.P.; formal analysis, Y.W.; data curation, Z.Z.; writing—original draft preparation, H.Q.; writing—review and editing, Y.C. All authors have read and agreed to the published version of the manuscript.

Funding

This research was funded by the Chongqing Education Commission Fund (KJ120827); the Science and Technology Project of the Chongqing Education Commission (KJ1500934,KJ1709205); the Chongqing Graduate Scientific Research Innovation Project (CYS18311); the Chongqing Basic and Frontier Research Program (cstc2015jcyjA40051); and the Science and Technology Research Youth Project of the Chongqing Education Commission (KJQN202101124).

Conflicts of Interest

The authors declare no conflict of interest.

References

  1. Zhang, H. Research on the Performance of free Space Optical Communication System. Master’s Thesis, Zhongbei University, Shanxi, China, 2019. [Google Scholar]
  2. Han, L.; You, Y. Research on relay cooperation scheme of all-optical free space optical communication. China Laser 2016, 43, 187–193. [Google Scholar]
  3. Liu, W.; Wang, X.; Zhao, S.; Mou, D. Performance analysis of hybrid RF/FSO aeronautical communication system under three-point cooperation Architecture. Prog. Laser Optoelectron. 2020, 57, 129–136. [Google Scholar]
  4. Lei, H.; Luo, H.; Park, K.-H.; Ren, Z.; Pan, G.; Alouini, M.-S. Secrecy Outage Analysis of Mixed RF-FSO Systems with Channel Imperfection. IEEE Photonics J. 2018, 10, 7904113. [Google Scholar] [CrossRef]
  5. Sharma, S.; Madhukumar, A.S.; Swaminathan, R. Switching-based cooperative decode-and-forward relaying for hybrid FSO/RF networks. J. Opt. Commun. Netw. 2019, 6, 267–281. [Google Scholar] [CrossRef]
  6. Anees, S.; Bhatnagar, M.R. Performance of an amplify-and-forward dual-hop asymmetric RF–FSO communication system. J. Opt. Commun. Netw. 2015, 7, 124–135. [Google Scholar] [CrossRef]
  7. Arezumand, H.; Zamiri-Jafarian, H.; Soleimani-Nasab, E. Outage and diversity analysis of underlay cognitive mixed RF-FSO cooperative systems. J. Opt. Commun. Netw. 2017, 9, 909–920. [Google Scholar] [CrossRef]
  8. Fang, J.; Bi, M.; Xiao, S.; Yang, G.; Liu, L.; Zhang, Y.; Hu, W. Polar-coded MIMO FSO communication system over gamma-gamma turbulence channel with spatially correlated fading. J. Opt. Commun. Netw. 2018, 10, 915–923. [Google Scholar] [CrossRef]
  9. Ito, K.; Okamoto, E.; Takenaka, H.; Kunimori, H.; Toyoshima, M. Application of Polar Codes for Free Space Optical Communication. In Proceedings of the 2017 IEEE International Conference on Space Optical Systems and Applications (ICSOS), Naha, Japan, 14–16 November 2017; pp. 183–187. [Google Scholar]
  10. Chen, X. Research on the Application of Polarization Code in Optical Communication. Master’s Thesis, Xi’an University of Electronic Science and Technology, Xi’an, China, 2017. [Google Scholar]
  11. Shao, D. Design and Implementation of Polarization Code Space-Time Coding for Near Ground Turbulence Wireless Optical Communication. Master’s Thesis, University of Electronic Science and Technology, Chengdu, China, 2020. [Google Scholar]
  12. Qin, Y. Application of Polarization Code in Free Space Optical Communication. Master’s Thesis, Xi’an University of Electronic Science and Technology, Xi’an, China, 2021. [Google Scholar]
  13. Liu, X.; Fang, J.; Xiao, S.; Zheng, L.; Hu, W. Adaptive Probabilistic Shaping Using Polar Codes for FSO Communication. IEEE Photonics J. 2022, 14, 7913806. [Google Scholar] [CrossRef]
  14. Arikan, E. Systematic Polar Coding. IEEE Commun. Lett. 2011, 15, 860–862. [Google Scholar] [CrossRef] [Green Version]
  15. Blasco-Serrano, R.; Thobaben, R.; Andersson, M.; Rathi, V.; Skoglund, M. Polar Codes for Cooperative Relaying. IEEE Trans. Commun. 2012, 60, 3263–3273. [Google Scholar] [CrossRef]
  16. Wu, Y. Research on the Influence of Complex Atmosphere on Free Space Optical Communication and Its Improvement Methods. Ph.D. Thesis, University of Science and Technology of China, Hefei, China, 2020. [Google Scholar]
  17. Li, X. Study on the Performance of Reverse Modulation Free Space Optical Communication under Atmospheric Turbulence. Ph.D. Thesis, Jilin University, Changchun, China, 2020. [Google Scholar]
Figure 1. Basic system block diagram of cooperative communication system.
Figure 1. Basic system block diagram of cooperative communication system.
Electronics 11 01597 g001
Figure 2. Coding and decoding flow chart of cascaded CRC polar code.
Figure 2. Coding and decoding flow chart of cascaded CRC polar code.
Electronics 11 01597 g002
Figure 3. BER of cooperative FSO communication system and direct link under different turbulence intensity.
Figure 3. BER of cooperative FSO communication system and direct link under different turbulence intensity.
Electronics 11 01597 g003
Figure 4. BER of cooperative FSO communication system and direct link under different communication distances.
Figure 4. BER of cooperative FSO communication system and direct link under different communication distances.
Electronics 11 01597 g004
Figure 5. BER of cooperative FSO communication system with different code lengths.
Figure 5. BER of cooperative FSO communication system with different code lengths.
Electronics 11 01597 g005
Figure 6. Outage probability of cooperative FSO communication system under different turbulence intensity.
Figure 6. Outage probability of cooperative FSO communication system under different turbulence intensity.
Electronics 11 01597 g006
Figure 7. Outage probability of cooperative FSO communication system under different communication distances.
Figure 7. Outage probability of cooperative FSO communication system under different communication distances.
Electronics 11 01597 g007
Table 1. Basic parameter settings of polarization coding cooperative FSO communication system simulation.
Table 1. Basic parameter settings of polarization coding cooperative FSO communication system simulation.
Parameter TypeValue
Polarization code rate0.5
Code length512, 1024, 2048, 4096
Decoding algorithmFastSCL
Relay cooperation strategy
Modulation mode
Decode-and-Forward
BPSK
Publisher’s Note: MDPI stays neutral with regard to jurisdictional claims in published maps and institutional affiliations.

Share and Cite

MDPI and ACS Style

Cao, Y.; Qin, H.; Peng, X.; Wang, Y.; Zhang, Z. Research on Polarization Coding Cooperative Communication Scheme for FSO System. Electronics 2022, 11, 1597. https://doi.org/10.3390/electronics11101597

AMA Style

Cao Y, Qin H, Peng X, Wang Y, Zhang Z. Research on Polarization Coding Cooperative Communication Scheme for FSO System. Electronics. 2022; 11(10):1597. https://doi.org/10.3390/electronics11101597

Chicago/Turabian Style

Cao, Yang, Huaijun Qin, Xiaofeng Peng, Yuhan Wang, and Zupeng Zhang. 2022. "Research on Polarization Coding Cooperative Communication Scheme for FSO System" Electronics 11, no. 10: 1597. https://doi.org/10.3390/electronics11101597

APA Style

Cao, Y., Qin, H., Peng, X., Wang, Y., & Zhang, Z. (2022). Research on Polarization Coding Cooperative Communication Scheme for FSO System. Electronics, 11(10), 1597. https://doi.org/10.3390/electronics11101597

Note that from the first issue of 2016, this journal uses article numbers instead of page numbers. See further details here.

Article Metrics

Back to TopTop