Fast Connectivity Construction via Deep Channel Learning Cognition in Beyond 5G D2D Networks
Abstract
:1. Introduction
- This paper makes closely investigates of seamless connectivity issues with mobility which are eventually related to real-time demands on applications based on beyond 5G D2D networks.
- In addition, the fast connectivity construction framework relying on on-node analyses of networking contexts is proposed with the goal achievement on low latency.
- On-node analyses are designed through a light-weight deep neural network (DNN) technique, and it is examined by various experimental scenarios.
2. D2D, IOT, and Context-Awareness
2.1. D2D Communications in Smart Applications
2.2. Context-Aware 5G Systems with Mobile Edge Computing and D2D
3. Fast Connectivity Construction Framework
3.1. Framework Operations
3.2. Light-Weight Multi-Layer Neural Network
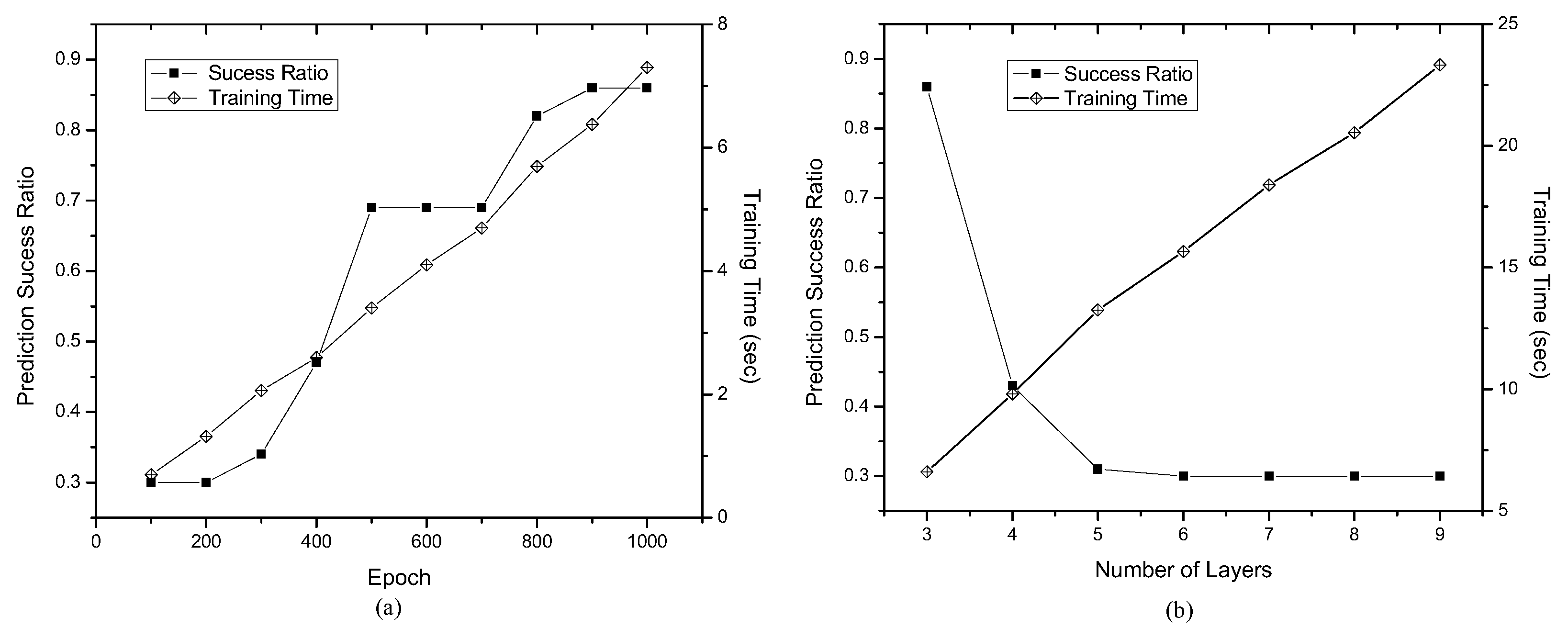
4. Performance Analysis
4.1. Proof-of-Concept and Testbed Setup
4.2. Experimental Results
5. Conclusions and Future Work
Author Contributions
Funding
Conflicts of Interest
References
- Ortiz, A.M.; Hussein, D.; Park, S.; Han, S.N.; Crespi, N. The Cluster Between Internet of Things and Social Networks: Review and Research Challenges. IEEE Internet Things J. 2014, 1, 206–215. [Google Scholar] [CrossRef] [Green Version]
- Sisinni, E.; Saifullah, A.; Han, S.; Jennehag, U.; Gidlund, M. Industrial Internet of Things: Challenges, Opportunities, and Directions. IEEE Trans. Ind. Informat. 2018, 14, 4724–4734. [Google Scholar] [CrossRef]
- Condoluci, M.; Araniti, G.; Mahmoodi, T.; Dohler, M. Enabling the IoT Machine Age With 5G: Machine-Type Multicast Services for Innovative Real-Time Applications. IEEE Access 2016, 4, 5555–5569. [Google Scholar] [CrossRef] [Green Version]
- Park, H.; Lee, Y.; Kim, T.; Kim, B.; Lee, J. Handover Mechanism in NR for Ultra-Reliable Low-Latency Communications. IEEE Netw. 2018, 32, 41–47. [Google Scholar] [CrossRef]
- Hussein, D.; Park, S.; Han, S.N.; Crespi, N. Dynamic Social Structure of Things: A Contextual Approach in CPSS. IEEE Internet Comput. 2015, 19, 12–20. [Google Scholar] [CrossRef]
- He, Y.; Yu, F.R.; Zhao, N.; Yin, H. Secure Social Networks in 5G Systems with Mobile Edge Computing, Caching, and Device-to-Device Communications. IEEE Wirel. Commun. 2018, 25, 103–109. [Google Scholar] [CrossRef]
- Vallati, C.; Virdis, A.; Mingozzi, E.; Stea, G. Mobile-Edge Computing Come Home Connecting Things in Future Smart Homes Using LTE Device-to-Device Communications. IEEE Consum. Electron. Mag. 2016, 5, 77–83. [Google Scholar] [CrossRef]
- Bisio, I.; Garibotto, C.; Grattarola, A.; Lavagetto, F.; Sciarrone, A. Exploiting Context-Aware Capabilities over the Internet of Things for Industry 4.0 Applications. IEEE Netw. 2018, 32, 101–107. [Google Scholar] [CrossRef]
- Orsino, A.; Ometov, A.; Fodor, G.; Moltchanov, D.; Militano, L.; Andreev, S.; Yilmaz, O.N.C.; Tirronen, T.; Torsner, J.; Araniti, G.; et al. Effects of Heterogeneous Mobility on D2D- and Drone-Assisted Mission-Critical MTC in 5G. IEEE Commun. Mag. 2017, 55, 79–87. [Google Scholar] [CrossRef]
- Baek, S.; Kim, D.; Tesanovic, M.; Agiwal, A. 3GPP New Radio Release 16: Evolution of 5G for Industrial Internet of Things. IEEE Commun. Mag. 2021, 59, 41–47. [Google Scholar] [CrossRef]
- Tilmaz, O.N.C.; Teyeb, O.; Orsino, A. Overview of LTE-NR Dual Connectivity. IEEE Commun. Mag. 2019, 57, 138–144. [Google Scholar]
- Shaikh, F.S.; Wismüller, R. Routing in Multi-hop Cellular Device-to-Device (D2D) Networks: A Survey. IEEE Commun. Surv. Tutor. 2018, 20, 2622–2657. [Google Scholar] [CrossRef]
- Jin, J.; Luo, J.; Li, Y.; Xiong, R. COAST: A Cooperative Storage Framework for Mobile Transparent Computing Using Device-to-Device Data Sharing. IEEE Netw. 2018, 32, 133–139. [Google Scholar] [CrossRef]
- Ansari, R.I.; Chrysostomou, C.; Hassan, S.A.; Guizani, M.; Mumtaz, S.; Rodriguez, J.; Rodrigues, J.J. 5G D2D networks: Techniques, challenges, and future prospects. IEEE Syst. J. 2018, 12, 3970–3984. [Google Scholar] [CrossRef]
- Waqas, M.; Niu, Y.; Li, Y.; Ahmed, M.; Jin, D.; Chen, S.; Han, Z. A comprehensive survey on mobility-aware D2D communications: Principles, practice and challenges. IEEE Commun. Surv. Tutor. 2020, 22, 1863–1886. [Google Scholar] [CrossRef] [Green Version]
- Perera, C.; Liu, C.H.; Jayawardena, S.; Chen, M. A Survey on Internet of Things from Industrial Market Perspective. IEEE Access 2014, 2, 1660–1679. [Google Scholar] [CrossRef]
- Huang, B.; Liu, X.; Wang, S.; Pan, L.; Chang, V. Multi-agent reinforcement learning for cost-aware collaborative task execution in energy-harvesting D2D networks. Comput. Netw. 2021, 195, 108176. [Google Scholar] [CrossRef]
- Hashima, S.; ElHalawany, B.M.; Hatano, K.; Wu, K.; Mohamed, E.M. Leveraging machine-learning for D2D communications in 5G/beyond 5G networks. Electronics 2021, 10, 169. [Google Scholar] [CrossRef]
- Nosratabadi, S.; Ardabili, S.; Lakner, Z.; Mako, C.; Mosavi, A. Prediction of Food Production Using Machine Learning Algorithms of Multilayer Perceptron and ANFIS. Agriculture 2021, 11, 408. [Google Scholar] [CrossRef]
- Merchant, K.; Revay, S.; Stantchev, G.; Nousain, B. Deep Learning for RF Device Fingerprinting in Cognitive Communication Networks. IEEE J. Sel. Top. Signal Process. 2018, 12, 160–167. [Google Scholar] [CrossRef]
- Wang, X.; Gao, L.; Mao, S.; Pandey, S. CSI-Based Fingerprinting for Indoor Localization: A Deep Learning Approach. IEEE Trans. Veh. Technol. 2017, 66, 763–776. [Google Scholar] [CrossRef] [Green Version]
- Dai, H.; Ying, W.; Xu, J. Multi-layer Neural Network for Received Signal Strength-based Indoor Localisation. IET Commun. 2016, 2016 10, 717–723. [Google Scholar] [CrossRef]
- Kulin, M.; Kazaz, T.; Moerman, I.; De Poorter, E. End-to-End Learning From Spectrum Data: A Deep Learning Approach for Wireless Signal Identification in Spectrum Monitoring Applications. IEEE Access 2018, 6, 18484–18501. [Google Scholar] [CrossRef]
- Ravì, D.; Wong, C.; Lo, B.; Yang, G. A Deep Learning Approach to on-Node Sensor Data Analytics for Mobile or Wearable Devices. IEEE J. Biomed. Health Inform. 2017, 21, 56–64. [Google Scholar] [CrossRef] [Green Version]
- Rozos, E.; Dimitriadis, P.; Mazi, K.; Koussis, A.D. A Multilayer Perceptron Model for Stochastic Synthesis. Hydrology 2021, 8, 67. [Google Scholar] [CrossRef]
- Sopelsa Neto, N.F.; Stefenon, S.F.; Meyer, L.H.; Bruns, R.; Nied, A.; Seman, L.O.; Gonzalez, G.V.; Leithardt, V.R.Q.; Yow, K.C. A Study of Multilayer Perceptron Networks Applied to Classification of Ceramic Insulators Using Ultrasound. Appl. Sci. 2021, 11, 1592. [Google Scholar] [CrossRef]
- Choi, K.W.; Wiriaatmadja, D.T.; Hossain, E. Discovering mobile applications in cellular device-to-device communications: Hash function and bloom filter-based approach. IEEE Trans. Mob. Comput. 2015, 15, 336–349. [Google Scholar] [CrossRef]
- Zhang, B.; Li, Y.; Jin, D.; Hui, P.; Han, Z. Social-aware peer discovery for D2D communications underlaying cellular networks. IEEE Trans. Wirel. Commun. 2014, 14, 2426–2439. [Google Scholar] [CrossRef]
- Farag, H.; Österberg, P.; Gidlund, M.; Han, S. RMA-RP: A reliable mobility-aware routing protocol for industrial iot networks. In Proceedings of the 2019 IEEE Global Conference on Internet of Things (GCIoT), Dubai, United Arab Emirates, 4–7 December 2019; pp. 1–6. [Google Scholar]
- Orozco-Santos, F.; Sempere-Payá, V.; Silvestre-Blanes, J.; Albero-Albero, T. Multicast Scheduling in SDN WISE to Support Mobile Nodes in Industrial Wireless Sensor Networks. IEEE Access 2021, 9, 141651–141666. [Google Scholar] [CrossRef]






Publisher’s Note: MDPI stays neutral with regard to jurisdictional claims in published maps and institutional affiliations. |
© 2022 by the authors. Licensee MDPI, Basel, Switzerland. This article is an open access article distributed under the terms and conditions of the Creative Commons Attribution (CC BY) license (https://creativecommons.org/licenses/by/4.0/).
Share and Cite
Lee, S.-H.; Seo, S.; Park, S.; Kim, T.-S. Fast Connectivity Construction via Deep Channel Learning Cognition in Beyond 5G D2D Networks. Electronics 2022, 11, 1580. https://doi.org/10.3390/electronics11101580
Lee S-H, Seo S, Park S, Kim T-S. Fast Connectivity Construction via Deep Channel Learning Cognition in Beyond 5G D2D Networks. Electronics. 2022; 11(10):1580. https://doi.org/10.3390/electronics11101580
Chicago/Turabian StyleLee, Sang-Hoon, Sangwon Seo, Soochang Park, and Tae-Sung Kim. 2022. "Fast Connectivity Construction via Deep Channel Learning Cognition in Beyond 5G D2D Networks" Electronics 11, no. 10: 1580. https://doi.org/10.3390/electronics11101580
APA StyleLee, S.-H., Seo, S., Park, S., & Kim, T.-S. (2022). Fast Connectivity Construction via Deep Channel Learning Cognition in Beyond 5G D2D Networks. Electronics, 11(10), 1580. https://doi.org/10.3390/electronics11101580

