Virtual Synchronous Generator Using an Intelligent Controller for Virtual Inertia Estimation
Abstract
:1. Introduction
- The successful development of a virtual inertia estimator for VSG control.
- The successful development of the proposed online-trained PPWFNN controller.
- The successful implementation of a BESS using the proposed virtual inertia estimator and PPWFNN controller for the inertia estimator of the VSG control under load variation.
2. Operating Theory of Proposed Virtual Inertia Estimator for VSG Control
2.1. Control Algorithm of VSG
2.2. Proposed Virtual Inertia Estimator for VSG
3. Online-Trained PPWFNN Controller
3.1. Network Structure
3.2. Online Learning
3.3. Convergence Analysis
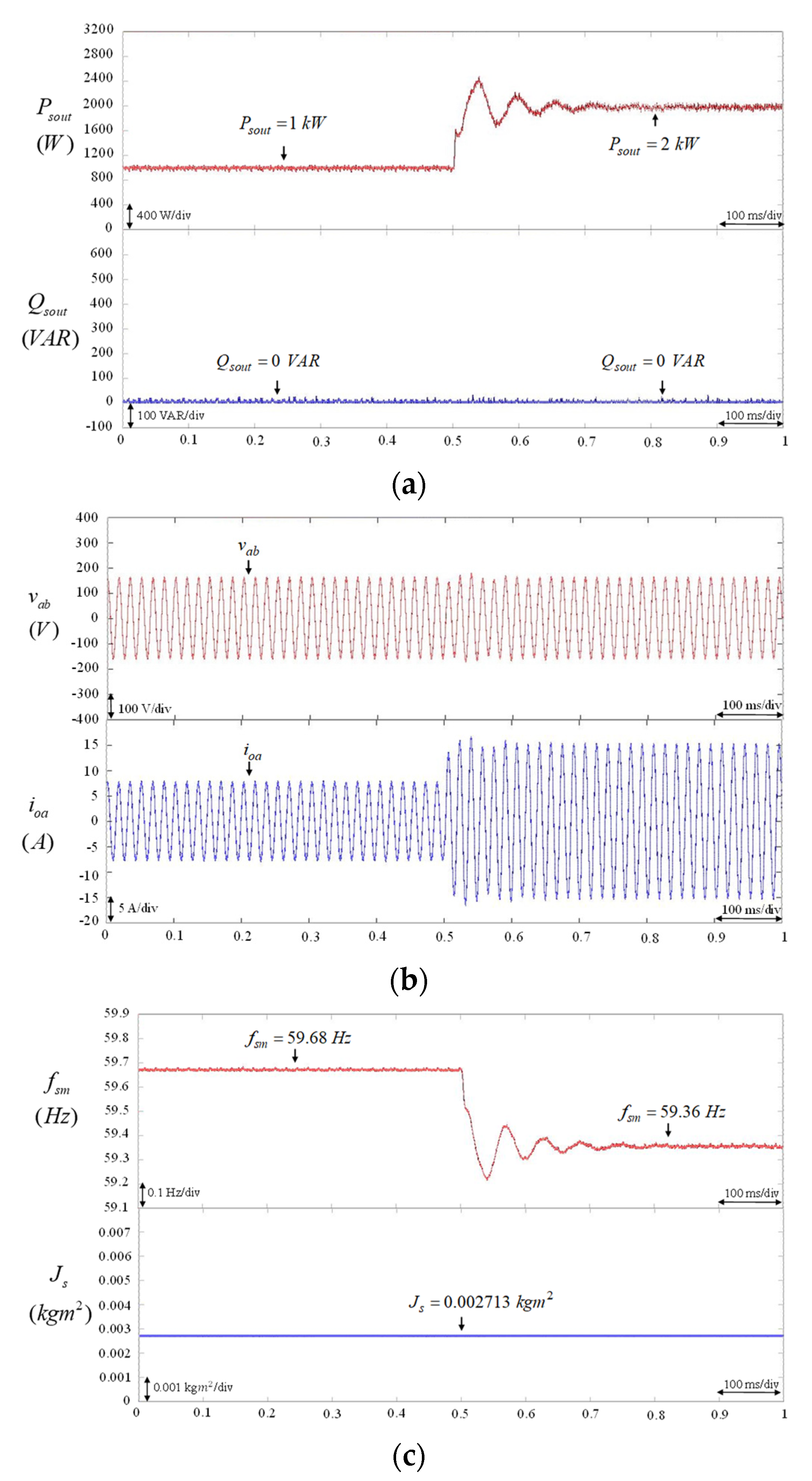
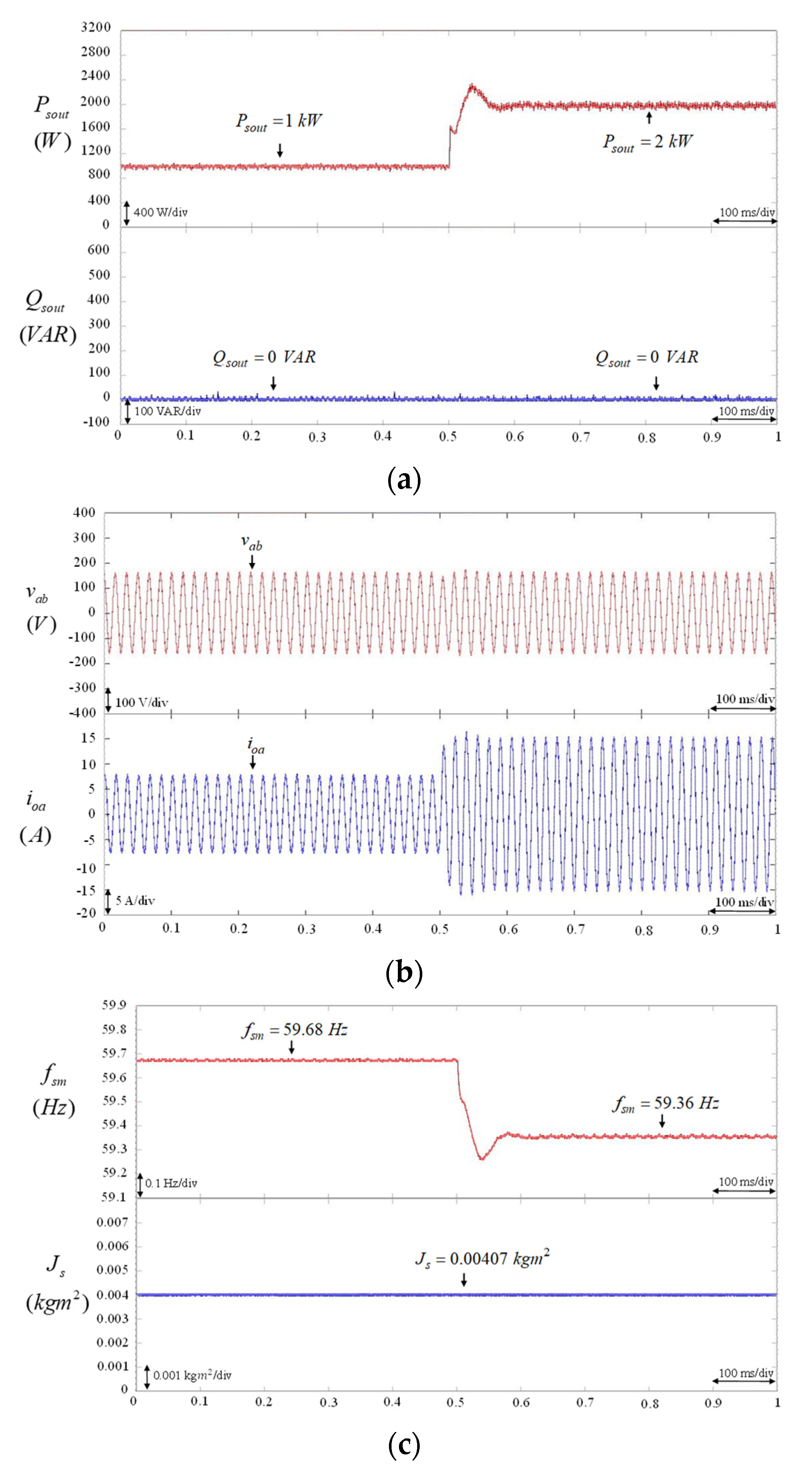
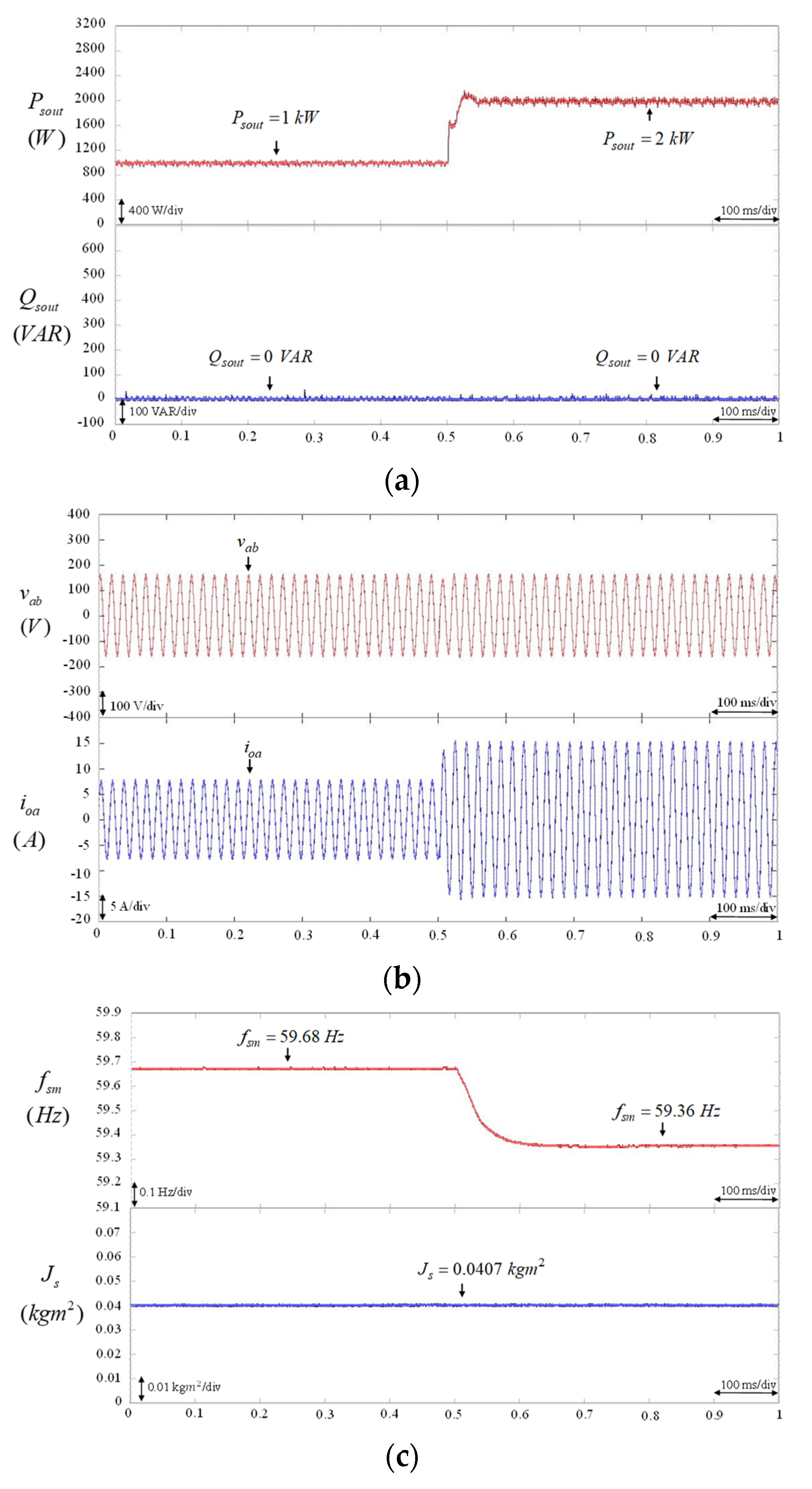
4. Experimental Results
5. Conclusions
Author Contributions
Funding
Conflicts of Interest
References
- Tan, K.H.; Lin, F.J.; Shih, C.M.; Kuo, C.N. Intelligent control of microgrid with virtual inertia using recurrent probabilistic wavelet Fuzzy neural network. IEEE Trans. Power Electron. 2020, 35, 7451–7464. [Google Scholar] [CrossRef]
- Tan, K.H.; Tseng, T.Y. Seamless switching and grid reconnection of microgrid using petri recurrent wavelet fuzzy neural network. IEEE Trans. Power Electron. 2021, 36, 11847–11861. [Google Scholar] [CrossRef]
- Saadatmand, S.; Shamsi, P.; Ferdowsi, M. Power and frequency regulation of synchronverters using a model free neural network-based predictive controller. IEEE Trans. Ind. Electron. 2021, 68, 3662–3671. [Google Scholar] [CrossRef]
- Fang, J.; Tang, Y.; Li, H.; Li, X. A battery/ultracapacitor hybrid energy storage system for implementing the power management of virtual synchronous generators. IEEE Trans. Power Electron. 2018, 33, 2820–2824. [Google Scholar] [CrossRef]
- Alipoor, J.; Miura, Y.; Ise, T. Power system stabilization using virtual synchronous generator with alternating moment of inertia. IEEE J. Emerg. Sel. Top. Power Electron. 2015, 3, 451–458. [Google Scholar] [CrossRef]
- Liu, J.; Miura, Y.; Ise, T. Comparison of dynamic characteristics between virtual synchronous generator and droop control in inverter-based distributed generators. IEEE Trans. Power Electron. 2016, 31, 3600–3611. [Google Scholar] [CrossRef]
- Wu, H.; Ruan, X.; Yang, D.; Chen, X.; Zhao, W.; Lv, Z.; Zhong, Q.C. Small-signal modeling and parameters design for virtual synchronous generators. IEEE Trans. Ind. Electron. 2016, 63, 4292–4303. [Google Scholar] [CrossRef]
- Xu, Q.; Dragicevic, T.; Xie, L.; Blaabjerg, F. Artificial intelligence-based control design for reliable virtual synchronous generators. IEEE Trans. Power Electron. 2021, 36, 9453–9464. [Google Scholar] [CrossRef]
- Pan, D.; Wang, X.; Liu, F.; Shi, R. Transient stability of voltage-source converters with grid-forming control: A design-oriented study. IEEE J. Emerg. Sel. Top. Power Electron. 2020, 8, 1019–1033. [Google Scholar] [CrossRef]
- Wang, W.; Jiang, L.; Cao, Y.; Li, Y. A parameter alternating VSG controller of VSC-MTDC systems for low frequency oscillation damping. IEEE Trans. Power Syst. 2020, 35, 4609–4620. [Google Scholar] [CrossRef]
- Xiong, X.; Wu, C.; Hu, B.; Pan, D.; Blaabjerg, F. Transient damping method for improving the synchronization stability of virtual synchronous generators. IEEE Trans. Power Electron. 2021, 36, 7820–7831. [Google Scholar] [CrossRef]
- Zhong, Q.C.; Weiss, G. Synchronverters: Inverters that mimic synchronous generators. IEEE Trans. Ind. Electron. 2011, 58, 1259–1267. [Google Scholar] [CrossRef]
- Jongudomkarn, J.; Liu, J.; Yanagisawa, Y.; Bevrani, H.; Ise, T. Model predictive control for indirect boost matrix converter based on virtual synchronous generator. IEEE Access 2020, 8, 60364–60381. [Google Scholar] [CrossRef]
- Xiong, X.; Wu, C.; Blaabjerg, F. An improved synchronization stability method of virtual synchronous generators based on frequency feedforward on reactive power control loop. IEEE Trans. Power Electron. 2021, 36, 9136–9148. [Google Scholar] [CrossRef]
- Andalib-Bin-Karim, C.; Liang, X.; Zhang, H. Fuzzy-secondary-controller-based virtual synchronous generator control scheme for interfacing inverters of renewable distributed generation in microgrids. IEEE Trans. Ind. Appl. 2018, 54, 31047–31061. [Google Scholar] [CrossRef]
- Liu, J.; Miura, Y.; Bevrani, H.; Ise, T. Enhanced virtual synchronous generator control for parallel inverters in microgrids. IEEE Trans. Smart Grid 2017, 8, 2268–2277. [Google Scholar] [CrossRef]
- Wang, F.; Zhang, L.; Feng, X.; Guo, H. An adaptive control strategy for virtual synchronous generator. IEEE Trans. Ind. Appl. 2018, 54, 124–5133. [Google Scholar] [CrossRef]
- Shintai, T.; Miura, Y.; Ise, T. Oscillation damping of a distributed generator using a virtual synchronous generator. IEEE Trans. Power Deliv. 2014, 29, 668–676. [Google Scholar] [CrossRef]
- Abiyev, R.H.; Kaynak, O. Fuzzy wavelet neural networks for identification and control of dynamic plants—a novel structure and a comparative study. IEEE Trans. Ind. Electron. 2008, 55, 3133–3140. [Google Scholar] [CrossRef]
- Yilmaz, S.; Oysal, Y. Fuzzy wavelet neural network models for prediction and identification of dynamical systems. IEEE Trans. Neural Netw. 2010, 21, 1599–1609. [Google Scholar] [CrossRef]
- Huang, W.; Oh, S.K.; Pedrycz, W. Fuzzy wavelet polynomial neural networks: Analysis and design. IEEE Trans. Fuzzy Syst. 2017, 25, 1329–1341. [Google Scholar] [CrossRef]
- El-Sousy, F.F.M.; Amin, M.M.; Mohammed, O.A. Robust optimal control of high-speed permanent-magnet synchronous motor drives via self-constructing fuzzy wavelet neural network. IEEE Trans. Ind. Appl. 2021, 57, 999–1013. [Google Scholar] [CrossRef]
- Tan, K.H. Squirrel-cage induction generator system using wavelet petri fuzzy neural network control for wind power applications. IEEE Trans. Power Electron. 2016, 31, 5242–5254. [Google Scholar] [CrossRef]
- Specht, D.F. Probabilistic neural network. Neural Netw. 1990, 3, 109–118. [Google Scholar] [CrossRef]
- Rutkowski, L. Adaptive probabilistic neural networks for pattern classification in time-varying environment. IEEE Trans. Neural Netw. 2004, 15, 11–827. [Google Scholar] [CrossRef] [Green Version]
- Kusy, M.; Zajdel, R. Application of reinforcement learning algorithms for the adaptive computation of the smoothing parameter for probabilistic neural network. IEEE Trans. Neural Netw. Learn. Syst. 2015, 26, 2163–2175. [Google Scholar] [CrossRef]
- Tripathy, M.; Maheshwari, R.P.; Verma, H.K. Power transformer differential protection based on optimal probabilistic neural network. IEEE Trans. Power. Deliv. 2010, 25, 102–112. [Google Scholar] [CrossRef]
- Li, Y.; Guo, S.; Zhu, L.; Mukai, T.; Gan, Z. Enhanced probabilistic inference algorithm using probabilistic neural networks for learning control. IEEE Access 2019, 7, 184457–184467. [Google Scholar] [CrossRef]
- Beritelli, F.; Capizzi, G.; Sciuto, G.L.; Napoli, C.; Scaglione, F. Rainfall estimation based on the intensity of the received signal in a LTE/4G mobile terminal by using a probabilistic neural network. IEEE Access 2018, 6, 30865–30873. [Google Scholar] [CrossRef]
- Wang, P.; Ma, L.; Goverde, R.M.P.; Wang, Q. Rescheduling trains using petri nets and heuristic search. IEEE Trans. Intell. Transp. Syst. 2016, 17, 726–735. [Google Scholar] [CrossRef]
- Siljak, H.; Psara, K.; Philippou, A. Distributed antenna selection for massive MIMO using reversing petri nets. IEEE Wirel. Commun. Lett. 2019, 8, 1427–1430. [Google Scholar] [CrossRef]
- Yoo, S.J.; Choi, Y.H.; Park, J.B. Generalized predictive control based on self-recurrent wavelet neural network for stable path tracking of mobile robots: Adaptive learning rates approach. IEEE Trans. Circuits Syst. I-Regul. Pap. 2006, 53, 1381–1395. [Google Scholar]
- Wai, R.J.; Li, C.M. Design of dynamic petri recurrent fuzzy neural network and its application to path-tracking control of nonholonomic mobile robot. IEEE Trans. Ind. Electron. 2009, 56, 2667–2683. [Google Scholar]












| Test Condition | Controller | Active Power Error | Frequency Error | ||
|---|---|---|---|---|---|
| 0.25 kW→2 kW | 2 kW→1 kW | 0.25 kW→2 kW | 2 kW→1 kW | ||
| Case 2 | PI | 320 W | 187 W | 0.073 Hz | 0.027 Hz |
| FNN | 186 W | 74 W | 0.044 Hz | 0.016 Hz | |
| PPWFNN | 106 W | 44 W | 0.022 Hz | 0.007 Hz | |
| Controller | Total Operation Cycles | Execution Time |
|---|---|---|
| PI | 173 | 1.153 us |
| FNN | 2477 | 16.513 us |
| PPWFNN | 8700 | 58 us |
Publisher’s Note: MDPI stays neutral with regard to jurisdictional claims in published maps and institutional affiliations. |
© 2021 by the authors. Licensee MDPI, Basel, Switzerland. This article is an open access article distributed under the terms and conditions of the Creative Commons Attribution (CC BY) license (https://creativecommons.org/licenses/by/4.0/).
Share and Cite
Tan, K.-H.; Lin, F.-J.; Tseng, T.-Y.; Li, M.-Y.; Lee, Y.-D. Virtual Synchronous Generator Using an Intelligent Controller for Virtual Inertia Estimation. Electronics 2022, 11, 86. https://doi.org/10.3390/electronics11010086
Tan K-H, Lin F-J, Tseng T-Y, Li M-Y, Lee Y-D. Virtual Synchronous Generator Using an Intelligent Controller for Virtual Inertia Estimation. Electronics. 2022; 11(1):86. https://doi.org/10.3390/electronics11010086
Chicago/Turabian StyleTan, Kuang-Hsiung, Faa-Jeng Lin, Tzu-Yu Tseng, Meng-Yang Li, and Yih-Der Lee. 2022. "Virtual Synchronous Generator Using an Intelligent Controller for Virtual Inertia Estimation" Electronics 11, no. 1: 86. https://doi.org/10.3390/electronics11010086
APA StyleTan, K.-H., Lin, F.-J., Tseng, T.-Y., Li, M.-Y., & Lee, Y.-D. (2022). Virtual Synchronous Generator Using an Intelligent Controller for Virtual Inertia Estimation. Electronics, 11(1), 86. https://doi.org/10.3390/electronics11010086

