Coverage and Spectral Efficiency of Network Assisted Full Duplex in a Millimeter Wave System
Abstract
:1. Introduction
2. System Model
2.1. Concept of NAFD for mmWave System
2.2. RRH and User Deployment
2.3. Directional Beamforming
2.4. Channel Fading and Power Allocation
3. SINR Coverage Analysis
3.1. Downlink SINR Coverage Analysis
3.2. Uplink SINR Coverage Analysis for Traditional Flexible Duplex
3.3. Uplink SINR Coverage Analysis for NAFD
4. Rate Analysis
4.1. Instantaneous Rate Analysis
4.2. Average Rate Analysis
5. Numerical Results and Discussion
5.1. System Parameters
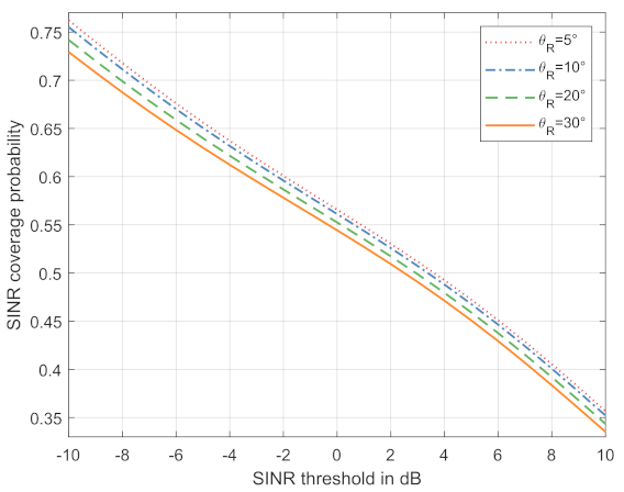
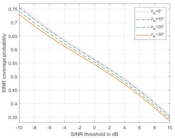
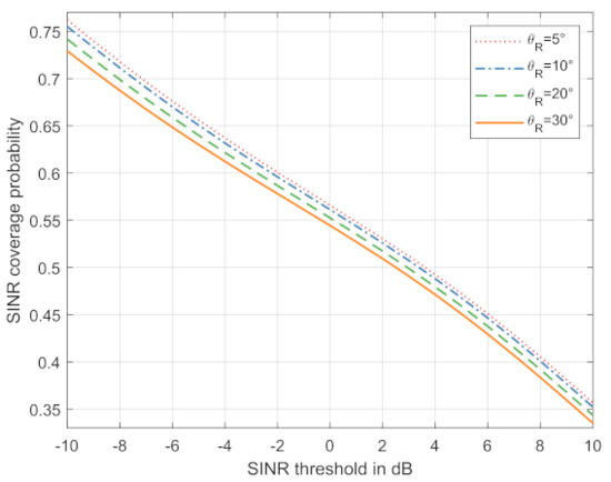
5.2. Numerical Results
5.3. Discussion
6. Conclusions
Author Contributions
Funding
Institutional Review Board Statement
Informed Consent Statement
Data Availability Statement
Acknowledgments
Conflicts of Interest
References
- Shafi, M.; Molisch, A.F.; Smith, P.J.; Haustein, T.; Zhu, P.; De Silva, P.; Tufvesson, F.; Benjebbour, A.; Wunder, G. 5G: A Tutorial Overview of Standards, Trials, Challenges, Deployment, and Practice. IEEE J. Sel. Areas Commun. 2017, 35, 1201–1221. [Google Scholar] [CrossRef]
- Zhu, J.; Zhao, M.; Zhou, S. An Optimization Design of Ultra Dense Networks Balancing Mobility and Densification. IEEE Access 2018, 6, 32339–32348. [Google Scholar] [CrossRef]
- Sun, H.; Wildemeersch, M.; Sheng, M.; Quek, T.Q.S. D2D Enhanced Heterogeneous Cellular Networks With Dynamic TDD. IEEE Trans. Wirel. Commun. 2015, 14, 4204–4218. [Google Scholar] [CrossRef]
- You, X.; Wang, C.; Huang, J.; Gao, X.; Zhang, Z. Towards 6G wireless communication networks: Vision, enabling technologies, and new paradigm shifts. Sci. China Inf. Sci. 2021, 64, 110301. [Google Scholar] [CrossRef]
- Agustin, A.; Lagen, S.; Vidal, J.; Munoz, O.; Pascual-Iserte, A.; Guo, Z.; Wen, R. Efficient Use of Paired Spectrum Bands through TDD Small Cell Deployments. IEEE Commun. Mag. 2017, 55, 210–211. [Google Scholar] [CrossRef] [Green Version]
- Yuan, G.; Zhang, X.; Wang, W.; Yang, Y. Carrier aggregation for LTE-advanced mobile communication systems. IEEE Commun. Mag. 2010, 48, 88–93. [Google Scholar] [CrossRef]
- Zhong, B.; Chen, L.; Tang, Z. Ergodic rate analysis for full-duplex NOMA networks with energy harvesting. Sci. China Inf. Sci. 2021, 64, 189303. [Google Scholar] [CrossRef]
- Jeon, W.S.; Jeong, D.G. Comparison of time slot allocation strategies for CDMA/TDD systems. IEEE J. Sel. Areas Commun. 2000, 18, 1271–1278. [Google Scholar] [CrossRef]
- Nomikos, N.; Trakadas, P.; Hatziefremidis, A.; Voliotis, S. Full-Duplex NOMA Transmission with Single-Antenna Buffer-Aided Relays. Electronics 2019, 8, 1482. [Google Scholar] [CrossRef] [Green Version]
- Xin, Y.; Yang, L.; Wang, D.; Zhang, R.; You, X. Bidirectional dynamic networks with massive MIMO: Performance analysis. IET Commun. 2017, 11, 468–476. [Google Scholar] [CrossRef]
- Wang, D.; Wang, M.; Zhu, P.; Li, J.; Wang, J.; You, X. Performance of Network-Assisted Full-Duplex for Cell-Free Massive MIMO. IEEE Trans. Commun. 2020, 68, 1464–1478. [Google Scholar] [CrossRef] [Green Version]
- Francois Baccelli, B.B. Stochastic Geometry and Wireless Networks, Part I: Theory; Now Publishers Inc.: Paris, France, 2009. [Google Scholar]
- Chiu, S.N.; Stoyan, D.; Kendall, W.S.; Mecke, J. Stochastic Geometry and Its Applications, 3th ed.; Wiley Series in Probability and Statistics; John, Wiley & Sons: Noida, India, 2013. [Google Scholar]
- Andrews, J.G.; Gupta, A.K.; Dhillon, H.S. A Primer on Cellular Network Analysis Using Stochastic Geometry. arXiv 2016, arXiv:1604.03183. [Google Scholar]
- Andrews, J.G.; Baccelli, F.; Ganti, R.K. A Tractable Approach to Coverage and Rate in Cellular Networks. IEEE Trans. Commun. 2011, 59, 3122–3134. [Google Scholar] [CrossRef] [Green Version]
- Bai, T.; Heath, R.W. Coverage and Rate Analysis for Millimeter-Wave Cellular Networks. IEEE Trans. Wirel. Commun. 2015, 14, 1100–1114. [Google Scholar] [CrossRef]
- Singh, S.; Zhang, X.; Andrews, J.G. Joint Rate and SINR Coverage Analysis for Decoupled Uplink-Downlink Biased Cell Associations in HetNets. IEEE Trans. Wirel. Commun. 2015, 14, 5360–5373. [Google Scholar] [CrossRef] [Green Version]
- Xia, X.; Zhu, P.; Li, J.; Wang, D.; Xin, Y.; You, X. Joint sparse beamforming and power control for large-scale DAS with network assistant full duplex. IEEE Trans. Veh. Technol. 2020, 69, 7569–7582. [Google Scholar] [CrossRef]
- Gradshteyn, I.; Ryzhik, I. Table of Integrals, Series, and Products, 7th ed.; Academic Press: San Diego, CA, USA, 2007. [Google Scholar]








| k | 1 | 2 | 3 | 4 |
|---|---|---|---|---|
| k | 1 | 2 | 3 |
|---|---|---|---|
| k | 1 | 2 | 3 |
|---|---|---|---|
Publisher’s Note: MDPI stays neutral with regard to jurisdictional claims in published maps and institutional affiliations. |
© 2021 by the authors. Licensee MDPI, Basel, Switzerland. This article is an open access article distributed under the terms and conditions of the Creative Commons Attribution (CC BY) license (https://creativecommons.org/licenses/by/4.0/).
Share and Cite
He, Y.; Zhao, D.; Fan, Z.; Lu, A.; Xia, X.; Wang, D. Coverage and Spectral Efficiency of Network Assisted Full Duplex in a Millimeter Wave System. Electronics 2022, 11, 5. https://doi.org/10.3390/electronics11010005
He Y, Zhao D, Fan Z, Lu A, Xia X, Wang D. Coverage and Spectral Efficiency of Network Assisted Full Duplex in a Millimeter Wave System. Electronics. 2022; 11(1):5. https://doi.org/10.3390/electronics11010005
Chicago/Turabian StyleHe, Yingli, Dongqin Zhao, Zhenqi Fan, An Lu, Xinjiang Xia, and Dongming Wang. 2022. "Coverage and Spectral Efficiency of Network Assisted Full Duplex in a Millimeter Wave System" Electronics 11, no. 1: 5. https://doi.org/10.3390/electronics11010005
APA StyleHe, Y., Zhao, D., Fan, Z., Lu, A., Xia, X., & Wang, D. (2022). Coverage and Spectral Efficiency of Network Assisted Full Duplex in a Millimeter Wave System. Electronics, 11(1), 5. https://doi.org/10.3390/electronics11010005
