A 28 GHz Broadband Helical Inspired End-Fire Antenna and Its MIMO Configuration for 5G Pattern Diversity Applications
Abstract
1. Introduction
2. Antenna Geometry and Design Methodology
2.1. Antenna Geometry
2.2. Antenna Designing and Radiation Mechanism
2.3. Parametric Analysis
3. Results and Discussion
3.1. Single Element
3.1.1. Return Loss
3.1.2. Far-Field Results
3.2. MIMO Antenna
3.2.1. Scattering Parameters
3.2.2. Envelope Correlation Coefficient (ECC)
3.2.3. Channel Capacity Loss (CCL)
3.2.4. Pattern Diversity
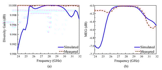
3.2.5. Diversity Gain (DG)
3.2.6. Mean Effective Gain (MEG)
3.3. Comparison with State-of-the-Art Works
4. Conclusions
Author Contributions
Funding
Conflicts of Interest
References
- Andrews, J.G.; Buzzi, S.; Choi, W.; Hanly, S.V.; Lozano, A.; Soong, A.C.; Zhang, J.C. What Will 5G Be? IEEE J. Sel. Areas Commun. 2014, 32, 1065–1082. [Google Scholar] [CrossRef]
- Asif, S.Z. 5G Mobile Communications: Concepts and Technologies; CRC Press: Boca Raton, FL, USA, 2018. [Google Scholar]
- Hussain, N.; Jeong, M.; Park, J.; Kim, N. A broadband circularly polarized fabry-perot resonant antenna using a single-layered PRS for 5G MIMO applications. IEEE Access 2019, 7, 42897–42907. [Google Scholar] [CrossRef]
- Li, Y.; Yang, G. Dual-mode and triple-band 10-antenna handset array and its multiple-input multiple-output performance evaluation in 5G. Int. J. RF Microw. Comput. Aided Eng. 2019, 29, 21538. [Google Scholar] [CrossRef]
- Inam, M.; Dahri, M.H.; Jamaluddin, M.H.; Seman, N.; Kamarudin, M.R.; Sulaiman, N.H. Design and characterization of millimeter wave planar reflectarray antenna for 5G communication systems. Int. J. RF Microw. Comput. Aided Eng. 2019, 29, 21804. [Google Scholar] [CrossRef]
- Zaidi, A.; Awan, W.A.; Hussain, N.; Baghdad, A. A wide and tri-band flexible antennas with independently controllable notch bands for sub-6-GHz communication system. Radioengineering 2020, 29, 44–51. [Google Scholar] [CrossRef]
- Hussain, N.; Jeong, M.J.; Abbas, A.; Kim, T.J.; Kim, N. A metasurface-based low-profile wideband circularly polarized patch antenna for 5G millimeter-wave systems. IEEE Access 2020, 8, 22127–22135. [Google Scholar] [CrossRef]
- Zou, H.; Li, Y.; Sim, C.Y.D.; Yang, G. Design of 8 × 8 dual-band MIMO antenna array for 5G smartphone applications. Int. J. RF Microw. Comput. Aided Eng. 2018, 28, 21420. [Google Scholar] [CrossRef]
- Pezhman, M.M.; Heidari, A.A.; Yazdi, A.G. Compact three-beam antenna based on SIW multi-aperture coupler for 5G applications. AEU-Int. J. Electron. Commun. 2020, 123, 153302. [Google Scholar] [CrossRef]
- Sharma, M.; Gautam, A.K.; Agrawal, N.; Singh, N. Design of an antipodal balanced taper-fed broadband planar antenna for future 5G and remote sensing satellite link applications. AEU-Int. J. Electron. Commun. 2020, 123, 153292. [Google Scholar] [CrossRef]
- Jeong, M.J.; Hussain, N.; Park, J.W.; Park, S.G.; Rhee, S.Y.; Kim, N. Millimeter-wave microstrip patch antenna using vertically coupled split ring metaplate for gain enhancement. Microw. Opt. Technol. Lett. 2019, 61, 2360–2365. [Google Scholar] [CrossRef]
- Saad, A.A.R.; Mohamed, H.A. Printed millimeter-wave MIMO-based slot antenna arrays for 5G networks. AEU-Int. J. Electron. Commun. 2019, 99, 59–69. [Google Scholar] [CrossRef]
- Jilani, S.F.; Alomainy, A. Millimetre-wave T-shaped MIMO antenna with defected ground structures for 5G cellular networks. IET Microw. Antennas Propag. 2018, 12, 672–677. [Google Scholar] [CrossRef]
- Ullah, H.; Tahir, F.A. A wide-band rhombus monopole antenna array for millimeter wave applications. Microw. Opt. Technol. Lett. 2020, 62, 2111–2117. [Google Scholar]
- Mneesy, T.S.; Hamad, R.K.; Zaki, A.I.; Ali, W.A.E. A novel high gain monopole antenna array for 60 GHz millimeter-wave communications. Appl. Sci. 2020, 10, 4546. [Google Scholar] [CrossRef]
- Ali, W.; Das, S.; Medkour, H.; Soufian, L. Planar dual-band 27/39 GHz millimeter-wave MIMO antenna for 5G applications. Microsyst. Technol. 2020, 27, 283–292. [Google Scholar] [CrossRef]
- Naqvi, S.I.; Naqvi, A.H.; Arshad, F.; Riaz, M.A.; Azam, M.A.; Khan, M.S.; Amin, Y.; Loo, J.; Tenhunen, H. An integrated antenna system for 4G and millimeter-wave 5G future handheld devices. IEEE Access 2019, 7, 116555–116566. [Google Scholar] [CrossRef]
- Khalid, M.; Iffat Naqvi, S.; Hussain, N.; Rahman, M.; Mirjavadi, S.S.; Khan, M.J.; Amin, Y. 4-Port MIMO Antenna with defected ground structure for 5G millimeter wave applications. Electronics 2020, 9, 71. [Google Scholar] [CrossRef]
- Zhang, J.; Zhao, K.; Wang, L.; Zhang, S.; Pedersen, G.F. Dual-Polarized Phased Array with End-Fire Radiation for 5G Handset Applications. IEEE Trans. Antennas Propag. 2020, 68, 3277–3282. [Google Scholar] [CrossRef]
- Hong, W.; Baek, K.; Lee, Y.; Kim, Y.G. Design and analysis of a low-profile 28 GHz beam steering antenna solution for Future 5G cellular applications. In Proceedings of the 2014 IEEE MTT-S International Microwave Symposium (IMS2014), Tampa, FL, USA, 1–6 June 2014; pp. 1–4. [Google Scholar]
- Ta, S.X.; Choo, H.; Park, I. Broadband Printed-Dipole Antenna and Its Arrays for 5G Applications. IEEE Antennas Wirel. Propag. Lett. 2017, 16, 2183–2186. [Google Scholar] [CrossRef]
- Park, J.; Choi, D.; Hong, W. 28 GHz 5G dual-polarized end-fire antenna with electrically-small profile. In Proceedings of the 12th European Conference on Antennas and Propagation (EuCAP 2018), London, UK, 9–13 April 2018; pp. 1–4. [Google Scholar]
- Guraliuc, A.R.; Chahat, N.; Leduc, C.; Zhadobov, M.; Sauleau, R. End-fire antenna for BAN at 60 GHz: Impact of bending, on-body performances, and study of an on to off-body scenario. Electronics 2014, 3, 221–233. [Google Scholar] [CrossRef]
- Dadgarpour, A.; Zarghooni, B.; Virdee, B.S.; Denidni, T.A. Millimeter-wave high-gain SIW end-fire bow-tie antenna. IEEE Trans. Antennas Propag. 2015, 63, 2337–2342. [Google Scholar] [CrossRef]
- Naqvi, A.H.; Park, J.H.; Baek, C.W.; Lim, S.J. V-band end-fire radiating planar micromachined helical antenna using through-glass silicon via (TGSV) technology. IEEE Access 2019, 7, 87907–87915. [Google Scholar] [CrossRef]
- Naqvi, A.H.; Park, J.H.; Baek, C.W.; Lim, S.J. Via-monopole based quasi yagi-uda antenna for W-band applications using through glass silicon via (TGSV) technology. IEEE Access 2020, 8, 9513–9519. [Google Scholar] [CrossRef]
- Chen, Z.; Shen, Z. Planar Helical Antenna of Circular Polarization. IEEE Trans. Antennas Propag. 2015, 63, 4315–4323. [Google Scholar] [CrossRef]
- Syrytsin, I.; Zhang, S.; Pedersen, G.F. Circularly polarized planar helix phased antenna array for 5G mobile terminals. In Proceedings of the 2017 International Conference on Electromagnetics in Advanced Applications (ICEAA), Verona, Italy, 11–15 September 2017; pp. 1105–1108. [Google Scholar]
- ‘Rogers Corporation’. Available online: www.rogerscorp.com (accessed on 29 June 2020).
- Awan, W.A.; Hussain, N.; Le, T.R. Ultra-thin flexible fractal antenna for 2.45 GHz application with wideband harmonic rejection. AEU-Int. J. Electron. Commun. 2019, 110, 152851. [Google Scholar] [CrossRef]
- Balanis, C.A. Antenna Theory: Analysis and Design; John Wiley & Sons: Hoboken, NJ, USA, 2009. [Google Scholar]
- Stutzman, W.L.; Thiele, G.A. Antenna Theory and Design; Wiley: Hoboken, NJ, USA, 2012. [Google Scholar]
- Alhalabi, R.A.; Rebeiz, G.M. High-Efficiency Angled-Dipole Antennas for Millimeter-Wave Phased Array Applications. IEEE Trans. Antennas Propag. 2008, 56, 3136–3142. [Google Scholar] [CrossRef]
- Koul, S.K.; Karthikeya, G.S.; Poddar, A.K.; Rohde, U.L. Compact Antenna Designs for Future mmWave 5G Smart Phones. Microw. J. 2020, 63, 22–40. [Google Scholar]
- Karthikeya, G.S.; Abegaonkar, M.P.; Koul, S.K. CPW Fed Wideband Corner Bent Antenna for 5G Mobile Terminals. IEEE Access 2019, 7, 10967–10975. [Google Scholar] [CrossRef]
- Naqvi, S.I.; Hussain, N.; Iqbal, A.; Rahman, M.; Forsat, M.; Mirjavadi, S.S.; Amin, Y. Integrated LTE and millimeter-wave 5G MIMO antenna system for 4G/5G wireless terminals. Sensors 2020, 20, 3926. [Google Scholar] [CrossRef]
- Hussain, N.; Jeong, M.J.; Abbas, A.; Kim, N. Metasurface-based single-layer wideband circularly polarized MIMO antenna for 5G millimeter-wave systems. IEEE Access 2020, 8, 130293–130304. [Google Scholar] [CrossRef]















| Refs. | Dimension (λC × λC) | Fractional Bandwidth (%) | Peak Gain (dB) | Via Free Design |
|---|---|---|---|---|
| [22] | 0.45 × 0.33 | 3.0 | 3.2 | No |
| [23] | 5.6 × 1.6 | 16.7 | 11.8 | Yes |
| [24] | 3.1 × 1.7 | 11.7 | 12.0 | No |
| [25] | 2.9 × 1.35 | 25.5 | 6.3 | No |
| [26] | 4.05 × 1.89 | 12.5 | 7.8 | No |
| Proposed (Single element) | 1.36 × 0.9 | 14.0 | 5.9 | Yes |
| Refs. | Dimensions (mm × mm × mm) | No. of Ports | Mutual Coupling (dB) | ECC/CCL (bits/s/Hz) | DG (dB)/MEG (dB) | Pattern Diversity |
|---|---|---|---|---|---|---|
| [3] | 20 × 20 × 7.608 | 4 | <−25 | <0.005/N.R. | N.R./N.R. | No |
| [12] | 31.7 × 53 × 4 | 2 | <−20 | <0.120/N.R. | >9.40/N.R. | No |
| [13] | 12.7 × 50.8 × 0.8 | 4 | <−22 | <0.150/N.R. | N.R./N.R. | No |
| [18] | 30 × 35 × 0.76 | 4 | <−20 | <0.010/<0.40 | >9.96/<−6.6 | No |
| [36] | 40 × 75 × 0.76 | 4 | <−22 | <0.015/<0.25 | >9.83/<−6.6 | No |
| [37] | 20.4 × 20.4 × 0.5 | 4 | <−30 | <0.015/<0.19 | >9.91/N.R. | No |
| Proposed | 15 × 25 × 0.203 | 2 | <−30 | <0.005/<0.12 | >9.95/<−6.0 | Yes |
Publisher’s Note: MDPI stays neutral with regard to jurisdictional claims in published maps and institutional affiliations. |
© 2021 by the authors. Licensee MDPI, Basel, Switzerland. This article is an open access article distributed under the terms and conditions of the Creative Commons Attribution (CC BY) license (http://creativecommons.org/licenses/by/4.0/).
Share and Cite
Zahra, H.; Awan, W.A.; Ali, W.A.E.; Hussain, N.; Abbas, S.M.; Mukhopadhyay, S. A 28 GHz Broadband Helical Inspired End-Fire Antenna and Its MIMO Configuration for 5G Pattern Diversity Applications. Electronics 2021, 10, 405. https://doi.org/10.3390/electronics10040405
Zahra H, Awan WA, Ali WAE, Hussain N, Abbas SM, Mukhopadhyay S. A 28 GHz Broadband Helical Inspired End-Fire Antenna and Its MIMO Configuration for 5G Pattern Diversity Applications. Electronics. 2021; 10(4):405. https://doi.org/10.3390/electronics10040405
Chicago/Turabian StyleZahra, Hijab, Wahaj Abbas Awan, Wael Abd Ellatif Ali, Niamat Hussain, Syed Muzahir Abbas, and Subhas Mukhopadhyay. 2021. "A 28 GHz Broadband Helical Inspired End-Fire Antenna and Its MIMO Configuration for 5G Pattern Diversity Applications" Electronics 10, no. 4: 405. https://doi.org/10.3390/electronics10040405
APA StyleZahra, H., Awan, W. A., Ali, W. A. E., Hussain, N., Abbas, S. M., & Mukhopadhyay, S. (2021). A 28 GHz Broadband Helical Inspired End-Fire Antenna and Its MIMO Configuration for 5G Pattern Diversity Applications. Electronics, 10(4), 405. https://doi.org/10.3390/electronics10040405

