A Survey on Machine Learning-Based Performance Improvement of Wireless Networks: PHY, MAC and Network Layer
Abstract
1. Introduction
2. Related Work and Our Contributions
2.1. Related Work
- In [10], the authors surveyed existing ML-based methods to address problems in Cognitive Radio Networks (CRNs).
- The authors of [11] survey ML approaches in WSNs (Wireless Sensor Networks) for various applications including location, security, routing, data aggregation and MAC.
- The authors of [12] surveyed the state-of-the-art Artificial Intelligence (AI)-based techniques applied to heterogeneous networks (HetNets) focusing on the research issues of self-configuration, self-healing, and self-optimization.
- ML algorithms and their applications in self organizing cellular networks also focusing on self-configuration, self-healing, and self-optimization, are surveyed in [15].
- In [16] ML applications in CRN are surveyed, that enable spectrum and energy efficient communications in dynamic wireless environments.
- The authors of [19] studied neural networks-based solutions to solve problems in wireless networks such as communication, virtual reality and edge caching.
- In [13], various applications of neural networks (NN) in wireless networks including security, localization, routing, load balancing are surveyed.
- The authors of [14] surveyed ML techniques used in IoT networks for big data analytics, event detection, data aggregation, power control and other applications.
- Paper [17] surveys deep learning applications in wireless networks looking at aspects such as routing, resource allocation, security, signal detection, application identification, etc.
- Paper [18] surveys deep learning applications in IoT networks for big data and stream analytics.
- Paper [20] studies and surveys deep learning applications in cognitive radios for signal recognition tasks.
- The authors of [21] survey ML approaches in the context of IoT smart cities.
- Paper [22] surveys reinforcement learning applications for various applications including network access and rate control, wireless caching, data offloading, network security, traffic routing, resource sharing, etc.
2.2. Contributions
- Introduction for non-machine learning experts to the necessary fundamentals on ML, AI, big data and data science in the context of wireless networks, with numerous examples. It examines when, why and how to use ML.
- A systematic and comprehensive survey on the state-of-the-art that (i) demonstrates the diversity of challenges impacting the wireless networks performance that can be addressed with ML approaches and which (ii) illustrates how ML is applied to improve the performance of wireless networks from various perspectives: PHY, MAC and the network layer.
- References to the latest research works (up to and including 2020) in the field of predictive ML approaches for improving the performance of wireless networks.
- Discussion on open challenges and future directions in the field.
3. Data Science Fundamentals
3.1. Data Science
3.2. Data Mining
3.3. Artificial Intelligence
3.4. Machine Learning
3.5. Deep Learning
4. Machine Learning Fundamentals
4.1. The Machine Learning Pipeline
- Problem definition. In this step the problem is identified and translated into a data science problem. This is achieved by formulating the problem as a data mining task. Section 5 further elaborates popular data mining methods such as classification and regression, and presents case studies of wireless networking problems of each type. In this way, we hope to help the reader understand how to formulate a wireless networking problem as a data science problem.
- Data collection. In this step, the needed amount of data to solve the formulated problem is identified and collected. The result of this step is raw data.
- Data preparation. After the problem is formulated and data is collected, the raw data is being preprocessed to be cleaned and transformed into a new space where each data pattern is represented by a vector, . This is known as the feature vector, and its n elements are known as features. Through, the process of feature extraction each pattern becomes a single point in a n-dimensional space, known as the feature space or the input space. Typically, one starts with some large value P of features and eventually selects the n most informative ones during the feature selection process.
- Model training. After defining the feature space in which the data lays, one has to train a machine learning algorithm to obtain a model. This process starts by forming the training data or training set. Assuming that M feature vectors and corresponding known output values (sometimes called labels) are available, the training set consists of M input-output pairs () called training examples, that is,where , is the feature vector of the ith observation,The corresponding output values (labels) to which belong, areIn fact, various ML algorithms are trained, tuned (by tuning their hyper-parameters) and the resulting models are evaluated based on standard performance metrics (e.g., mean squared error, precision, recall, accuracy, etc.) and the best performing model is chosen (i.e., model selection).
- Model deployment. The selected ML model is deployed into a practical wireless system where it is used to make predictions. For instance, given unknown raw data, first the feature vector is formed, and then it is fed into the ML model for making predictions. Furthermore, the deployed model is continuously monitored to observe how it behaves in real world. To make sure it is accurate, it may be retrained.
Learning the Model
4.2. Types of Learning Paradigms
4.2.1. Supervised vs. Unsupervised vs. Semi-Supervised Learning
Supervised Learning
Unsupervised Learning
Semi-Supervised Learning
4.2.2. Offline vs. Online vs. Active Learning
Offline Learning
Online Learning
Active Learning
4.3. Machine Learning Algorithms
4.3.1. Linear Regression
4.3.2. Nonlinear Regression
4.3.3. Logistic Regression
4.3.4. Decision Trees
4.3.5. Random Forest
| Algorithm 1: Random Forest. |
| Input: Training set D Output: Predicted value Procedure:
|
4.3.6. SVM
4.3.7. k-NN
| Algorithm 2: k-NN. |
![]() |
4.3.8. k-Means
| Algorithm 3: k-means. |
![]() |
4.3.9. Neural Networks
Deep Neural Networks
Convolutional Neural Networks
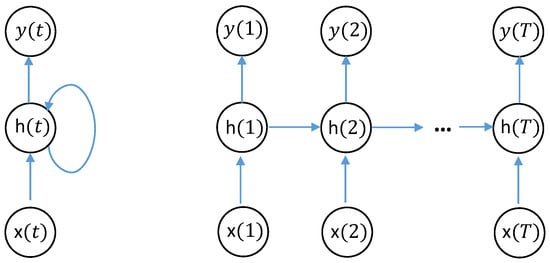
Recurrent Neural Networks
5. Data Science Problems in Wireless Networks
- Regression
- Classification
- Clustering
- Anomaly Detection
5.1. Regression
5.1.1. Regression Example 1: Indoor Localization
5.1.2. Regression Example 2: Link Quality Estimation
5.1.3. Regression Example 3: Mobile Traffic Demand Prediction
5.2. Classification
5.2.1. Classification Example 1: Cognitive MAC Layer
5.2.2. Classification Example 2: Intelligent Routing in WSN
5.2.3. Classification Example 3: Wireless Signal Classification
5.3. Clustering
5.3.1. Clustering Example 1: Summarizing Sensor Data
5.3.2. Clustering Example 2: Data Aggregation in WSN
5.3.3. Clustering Example 3: Radio Signal Identification
5.4. Anomaly Detection
5.4.1. Anomaly Detection Example 1: WSN Attack Detection
5.4.2. Anomaly Detection Example 2: System Failure and Intrusion Detection
5.4.3. Anomaly Detection Example 3: Detecting Wireless Spectrum Anomalies
6. Machine Learning for Performance Improvements in Wireless Networks
- Performance improvements of the wireless networks based on performance indicators and environmental insights (e.g., about the radio medium) as input, acquired from the devices. These approaches exploit ML to generate patterns or make predictions, which are used to modify operating parameters at the PHY, MAC and network layer.
- Information processing of data generated by wireless devices at the application layer. This category covers various applications such as: IoT environmental monitoring applications, activity recognition, localization, precision agriculture, etc.
6.1. Machine Learning Research for Performance Improvement
- Radio spectrum analysis
- Medium access control (MAC) analysis
- Network prediction
6.1.1. Radio Spectrum Analysis
| Research Problem | Performance Improvement | Type of Wireless Network | Data Type | Input Data | Learning Approach | Learning Algorithm | Year | Reference |
|---|---|---|---|---|---|---|---|---|
| AMR | More efficient spectrum utilization | Cognitive radio | Synthetic | FR, ZCR, RE | ML | SVM | 2010 | [131] |
| AMR | More accurate signal modulation recognition for cognitive radio applications | Cognitive radio | Synthetic | CWT, HOM | ML | ANN | 2010 | [132] |
| Emitter identification | More accurate Radar Specific Emitter Identification | Radar | Real | Cumulants | ML | k-NN | 2011 | [133] |
| AMR | More accurate signal modulation recognition for cognitive radio and DSA applications | Cognitive radio | Synthetic | Max(PSD), NORM(A), AVG(x) | ML | ANN | 2011 | [134] |
| AMR | More accurate signal modulation recognition for cognitive radio applications | Cognitive radio | Synthetic | Cumulants | ML | k-NN | 2012 | [135] |
| AMR | More efficient spectrum utilization | Cognitive radio | Synthetic | Max(PSD), STD(ap), STD(dp), STD(aa), STD(df), , cumulants, CWT | ML | SVM | 2012 | [136] |
| AMR | More efficient spectrum utilization | Cognitive radio | Synthetic | , AVG(A), , Max(PSD), STD(ap), STD(dp), STD(aa) | ML | FC-FFNN, FC-RNN | 2013 | [137] |
| AMR | More accurate signal modulation recognition for cognitive radio and DSA applications | Cognitive radio | Synthetic | ST, WT | ML | NN, SVM, LDA, NB, k-NN | 2015 | [138] |
| AMR | More efficient spectrum utilization | Cognitive radio | Synthetic | STD(dp), CWT, AVG(NORM()) | ML | SVM | 2016 | [140] |
| AMR | More efficient spectrum utilization | Cognitive radio | Real | IQ samples | DL & ML | CNN, DNN, k-NN, DT, SVM, NB | 2016 | [141] |
| AMR | More accurate signal modulation recognition for cognitive radio applications | Cognitive radio | Synthetic | IQ samples | ML | DNN | 2016 | [142] |
| AMR | More accurate signal modulation recognition for cognitive radio applications | Cognitive radio | Synthetic | IA signal samples, cumulants | DL & ML | CNN, SVM | 2017 | [143] |
| AMR | More accurate signal modulation recognition for cognitive radio applications | Cognitive radio | Synthetic | Cumulants | DL | DNN, ANC, SAE | 2017 | [144] |
| AMR | More accurate signal modulation recognition for cognitive radio applications | Cognitive radio | Synthetic | IQ samples | DL | CLDNN, ResNet, DenseNet | 2017 | [145] |
| AMR | More accurate signal modulation recognition for cognitive radio | Cognitive radio | Synthetic | IQ samples | DL | CNN, AE | 2017 | [146] |
| Emitter identification | More efficient spectrum utilization | Cognitive radio | Synthetic | IQ samples | DL | AE, CNN | 2017 | [74] |
| AMR | More efficient spectrum utilization | Cognitive radio | Synthetic | IQ samples | DL | CLDNN, CNN, ResNet | 2017 | [147] |
| TR | More efficient management of the wireless spectrum | Cellular, WLAN, WPAN, WMAN | Real | Spectrograms | DL | CNN | 2017 | [177] |
| SI | More efficient spectrum utilization | Cognitive radio | Synthetic | CFD, (non)standardized IQ samples | DL | CNN | 2017 | [180] |
| AMR | More accurate and simple spectral events detection | ISM | Real | Spectograms | DL | YOLO | 2017 | [139] |
| AMR | More efficient spectrum utilization | Cognitive radio | Synthetic | IQ samples | DL | CNN | 2017 | [148] |
| AMR | More efficient spectrum utilization | Cognitive radio | Synthetic | IQ samples | DL | CNN | 2017 | [149] |
| SI | More efficient spectrum monitoring | Radar | Real | Spectrograms, A/Ph | DL | CNN | 2017 | [248] |
| WII | Improved spectrum utilization | Bluetooth, Zigbee, Wi-Fi | Real | Power-frequency | DL | CNN | 2017 | [178] |
| SI | More efficient spectrum monitoring | Cognitive radio | Real | FFT | DL | CNN | 2017 | [150] |
| WII | More efficient spectrum management via wireless interference identification | Bluetooth, Zigbee, Wi-Fi | Synthetic | FFT | DL | CNN, NFSC | 2017 | [179] |
| Emitter identification | More accurate Radar Specific Emitter Identification | Radar | Real & Synthetic | FD-curves | ML | SVM | 2018 | [151] |
| AMR | More efficient spectrum utilization | Cognitive radio | Real | In-band spectral variation, deviation from unit circle, cumulants | ML | ANN, HH-AMC | 2018 | [153] |
| AMR | More efficient spectrum utilization | Cognitive radio | Synthetic | IQ samples, HOMs | DL | CNN, RN | 2018 | [154] |
| AMR | More accurate signal modulation recognition for cognitive radio and DSA applications | Cognitive radio | Synthetic | WT, CFD, HOMs, HOCs, ST | SVM | 2018 | [250] | |
| AMR | Modulation and Coding Scheme recognition for cognitive radio and DSA applications | Wi-Fi | Synthetic | IQ samples | DL | CNN | 2018 | [155] |
| AMR | More accurate signal modulation recognition for cognitive radio and DSA applications | Cognitive radio | Synthetic | IQ samples, FFT | DL | CNN, CLDNN, MTL-CNN | 2018 | [156] |
| AMR | More efficient spectrum utilization | Cognitive radio | Synthetic | A/Ph, | DL & ML | CNN, LSTM, RF, SVM, k-NN | 2018 | [157] |
| Research Problem | Performance Improvement | Type of Wireless Network | Data Type | Input Data | Learning Approach | Learning Algorithm | Year | Reference |
|---|---|---|---|---|---|---|---|---|
| TR | More efficient spectrum management via wireless interference identification | Bluetooth, Zigbee, Wi-Fi | Synthetic | IQ samples | DL | CNN | 2018 | [181] |
| WII | More efficient spectrum utilization by detecting interference | Bluetooth, Zigbee, Wi-Fi | Real | RSSI samples | DL | CNN | 2018 | [183] |
| AMR | More efficient spectrum utilization | Cognitive radio | Synthetic | Contour Stellar Image | DL | CNN, AlexNet, ACGAN | 2018 | [158] |
| AMR | More efficient spectrum utilization | Cognitive radio | Synthetic | Constellation diagram | DL | CNN, AlexNet, GoogLeNet | 2018 | [160] |
| AMR | More efficient spectrum utilization | UAV | Synthetic | IQ samples | DL | CNN, LSTM | 2018 | [159] |
| SI | More efficient spectrum utilization | Cognitive radio | Synthetic | Activity, non-activity, “amplitude node” and permanence probability | ML | k-NN, SVM, LR, DT | 2018 | [185] |
| AMR | More efficient spectrum utilization | Cognitive radio | Synthetic | IQ samples | DL | CNN | 2018 | [162] |
| AMR | More efficient spectrum utilization by detecting interference | RF signals | Synthetic | IQ samples | DL & ML | SVM, DNN, CNN, MST | 2018 | [152] |
| AMR | More efficient spectrum utilization | Cognitive radio | Synthetic | IQ samples | DL & ML | CNN, LSTM, SVM | 2018 | [163] |
| AMR | More efficient spectrum utilization | VHF | Synthetic | IQ samples | DL | CNN | 2018 | [164] |
| Emitter identification | More efficient spectrum utilization | Cognitive radio | Synthetic | IQ signal samples, FOC | DL | CNN, LSTM | 2018 | [165] |
| SI | More efficient spectrum utilization | Cellular | Synthetic | IQ and Amplitude data | DL | CNN | 2018 | [161] |
| AMR | More efficient spectrum utilization | Cognitive radio | Synthetic | IQ samples | DL & ML | ACGAN, SCGAN, SVM, CNN, SSTM | 2018 | [166] |
| SI | Improved spectrum sensing | Cognitive radio | Synthetic | Beamformed IQ samples | ML | SVM | 2018 | [187] |
| AMR | More efficient spectrum utilization | Cognitive radio | Synthetic | IQ samples | DL & ML | DCGAN, NB, SVM, CNN | 2018 | [167] |
| AMR | More efficient spectrum utilization | Cognitive radio | Synthetic | IQ | DL | RNN | 2018 | [251] |
| AMR | More efficient spectrum utilization | Cognitive radio | Synthetic | IQ samples with corrected frequency and phase | DL | CNN, CLDNN | 2019 | [168] |
| TR | More efficient management of the wireless spectrum | LTE and Wi-Fi | Real | IQ samples, FFT | DL | CNN | 2019 | [184] |
| AMR | More efficient spectrum utilization | Cognitive radio | Synthetic | IQ samples | DL | CNN | 2019 | [169] |
| SI | Improved spectrum sensing | Cognitive radio | Synthetic | RSSI | DL | CNN | 2019 | [188] |
| WII | More efficient management of the wireless spectrum | Bluetooth, Zigbee, Wi-Fi | Real | FFT, A/Ph | DL | CNN, LSTM, ResNet, CLDNN | 2019 | [252] |
| WII | More efficient management of the wireless spectrum | Sigfox, LoRA and IEEE 802.15. 4g | Real | IQ, FFT | DL | CNN | 2019 | [253] |
| WII | More accurate and simple spectral events detection | Cognitive radio | Synthetic & Real | PSD data | DL | AAE | 2019 | [128] |
| TR | More efficient management of the wireless spectrum | GSM, WCDMA and LTE | Synthetic | SCF, FFT, ACF, PSD | DL | SVM | 2019 | [254] |
| TR | More efficient management of the wireless spectrum | LTE, Wi-Fi and DVB-T | Real | RSSI, IQ and Spectogram | DL | CNN | 2019 | [189] |
| AMR | More efficient spectrum utilization | Cognitive radio | Synthetic | IQ, A/Ph | DL | CLDNN, ResNet, LSTM | 2019 | [169] |
| AMR | More efficient spectrum utilization with online retraining | Cognitive radio | Synthetic | IQ, A/Ph | DL | ResNet, LSTM, CNN | 2020 | [172] |
| TR | More efficient spectrum access strategies to improve spectrum utilization | LTE and Wi-Fi | Real | IQ samples | DL | CNN, AEs | 2020 | [190] |
| TR | More efficient spectrum access strategies to improve spectrum utilization | Sigfox, LoRA, IEEE 802.15.4g and IEEE 802.11ah | Real | IQ samples, FFT | DL | CNN | 2020 | [191] |
| TR | More efficient spectrum access strategies to improve spectrum utilization | Incumbent and interference | Real | FFT | DL | CNN | 2020 | [192] |
| AMR | More efficient spectrum utilization | Cognitive radio | Synthetic | Novel data preprocessing method | DL | CNN | 2020 | [171] |
| AMR | More efficient spectrum utilization | Cognitive radio | Synthetic | IQ, Zero-center normalization amplitude spectrum density, Haar-wavelet transform | DL | CNN, LSTM | 2020 | [173] |
| AMR | More efficient spectrum utilization | Cognitive radio | Synthetic | IQ, Compressive sensing | DL | CNN | 2020 | [174] |
| AMR | More efficient spectrum utilization | Cognitive radio | Synthetic | IQ with feature extraction and clustering | DL | AMC2N | 2020 | [175] |
| AMR | More efficient spectrum utilization | Cognitive radio | Synthetic | IQ | DL | ICAMCNet | 2020 | [176] |
| WII | More efficient spectrum management via STAs identification | Wi-Fi | Synthetic | IQ | DL | CNN | 2020 | [193] |
6.1.2. Medium Access Control (MAC) Analysis
| Research Problem | Performance Improvement | Type of Wireless Network | Data Type | Input Data | Learning Approach | Learning Algorithm | Year | Reference |
|---|---|---|---|---|---|---|---|---|
| MAC identification | More efficient spectrum utilization | Cognitive radio | Synthetic | Mean and variance of power samples | ML | SVM | 2010 | [194] |
| Wireless interference detection at packet level | Enhanced spectral efficiency by interference mitigation | Wi-Fi | Real | Duty cycle, Spectral signatures, Frequency and bandwidth, Pulse signatures, Pulse spread, Inter-pulse timing signatures, Frequency sweep | ML | DT | 2011 | [200] |
| MAC identification | More efficient spectrum utilization | Cognitive radio | Synthetic | Power mean, Power variance, Maximum power, Channel busy duration, Channel idle duration | ML | SVM, NN, DT | 2012 | [195] |
| Wireless interference detection at packet level | Enhanced spectral efficiency by interference mitigation | Wi-Fi, Bluetooth, Microwave for WSN | Real | LQI, range(RSSI), Mean error burst spacing, Error burst spanning, AVG(NORM(RSSI)), 1 - mode(RSSI) | ML | SVM, DT | 2013 | [201] |
| MAC identification | More efficient spectrum utilization | Cognitive radio | Synthetic | Received power mean, Power variance, Channel busy state duration, Channel idle state duration | ML | SVM | 2014 | [196] |
| Wireless interference detection at packet level | Reduced power consumption by interference identification | Wireless sensor network | Real | On-air time, Minimum Packet Interval, Peak to Average Power Ratio, Under Noise Floor | ML | DT | 2014 | [202] |
| MAC identification | More efficient spectrum utilization | WLAN | Real | Number of activity fragments at 111 s, between 150 s and 200 s, between 200 s and 300 s, between 300 s and 500 s, and number of fragments between 1100 s and 1300 s | ML | k-NN, NB | 2015 | [197] |
| Wireless interference detection at packet level | Enhanced spectral efficiency by interference mitigation | Wireless sensor network | Real | Packet corruption rate, Packet loss rate, Packet length, Error rate, Error burstiness, Energy perception per packet, Energy perception level per packet, Backoffs, Occupancy level, Duty cycle, Energy span during packet reception, Energy level during packet reception, RSSI regularity during packet reception | ML | DT | 2015 | [203] |
| Spectrum prediction | Enhanced performance via more efficient spectrum usage achieved with medium availability prediction | ISM technologies | Synthetic | State matrix of the network, for each node n in frame f | ML | NN | 2018 | [204] |
| Spectrum prediction | Enhanced performance via more efficient spectrum usage achieved with select a predicted free channel | WSN | Synthetic and Real | DNN with network states as input and Q values as output | DL | DQN | 2018 | [205] |
| Spectrum prediction | More efficient radio resource utilization and enhanced link scheduling and power control | Cellular | Synthetic | The channel matrix containing between all pairs of transmitter and receivers and the weight matrix | DL | DQN and DNN | 2018 | [206] |
| Spectrum prediction | More efficient spectrum utilization and increased network performance | CRN | Synthetic | Environmental states s. | DL | ResNet, DNN, DQN | 2019 | [207] |
| Spectrum prediction | More efficient spectrum utilization and increased network performance via predicting PUs future activity | CRN | Synthetic | Vector with channel sensing results, where each result has value “−1” (idle) or “1” (busy). | ML | NN | 2019 | [208] |
| Spectrum prediction | Enhanced performance via more efficient spectrum usage achieved with medium availability prediction | ISM technologies | Synthetic and Real | Channel observations on channel c made by node n at time , where s is a timeslot in superframe f | DL | CNN | 2019 | [209] |
| MAC identification | More efficient spectrum utilization | Cognitive radio | Synthetic | Spectrograms of TDMA, Slotted ALOHA and FH signals | DL | CNN | 2020 | [198] |
| MAC identification | More efficient spectrum utilization | Cognitive radio | Synthetic | Spectrograms of TDMA, CSMA/CA, Slotted ALOHA and Pure ALOHA | DL | CNN | 2020 | [199] |
6.1.3. Network Prediction
| Research Problem | Performance Improvement | Type of Wireless Network | Data Type | Input Data | Learning Approach | Learning Algorithm | Year | Reference |
|---|---|---|---|---|---|---|---|---|
| Network performance prediction | Enhanced performance by accurate link quality prediction | Wireless sensor network | Real | PRR, RSSI, SNR and LQI | ML | LR, NB and NN | 2011 | [81] |
| Network performance prediction | Enhanced performance by accurate link quality prediction | Wireless sensor network | Real | PRR, RSSI, SNR and LQI | ML | LR | 2012 | [210] |
| Network performance prediction | Enhanced performance by selecting the optimal MAC scheme | Wireless sensor network | Real | RSSI statistics (mean and variance), IPI statistics (mean and variance), reliability, energy consumption and latency | ML | DT | 2013 | [30] |
| Network performance prediction | Enhanced performance by accurate link quality prediction | Wireless sensor network | Real | PRR, RSSI, SNR and LQI | ML | LR, SGD | 2014 | [112] |
| Network performance prediction | Enhanced network performance via performance characterization and optimal radio parameters prediction | Cellular | Synthetic | SINR (Signal to Interference plus Noise Ratio), ICI, MCS, Transmit power | ML | Random NN | 2015 | [211] |
| Network traffic prediction | Enhanced resource allocation by predicting mobile traffic demand | Cellular | Real | Traffic (Bytes)per 10 min | ML | Hierarchical clustering | 2015 | [265] |
| Network traffic prediction | Enhanced base station sleeping mechanism which reduced power consumption by predicting mobile traffic demand | Cellular | Synthetic | Machine learning | 2015 | [266] | ||
| Network traffic prediction | Enhanced resource allocation by predicting mobile traffic demand | Cellular | Real | User traffic | ML | MWNN | 2015 | [267] |
| Network performance prediction | Enhanced QoE by predicting KPI parameters | Cellular | Real | Mobile network KPIs | ML | NN | 2016 | [212] |
| Network performance prediction | Enhancing performance by selecting the optimal MAC | Cognitive radio | Synthetic | Protocol Type, Packet Length, Data Rate, Inter-arrival Time, Transmit Power, Node Number, Average load, Average throughput, Transmitting delay, Minimum throughput, Maximum throughput, Throughput standard deviation and classification result | ML | NB, DT, RF, SMO | 2016 | [213] |
| Network traffic prediction | Enhanced resource allocation by predicting mobile traffic demand | Cellular | Real | Mobile traffic volume | ML | Regression analysis | 2016 | [268] |
| Network traffic prediction | Enhanced resource allocation by predicting mobile traffic demand | Cellular | Real | Mobile traffic | ML | SVM, MLPWD, MLP | 2016 | [269] |
| Network performance prediction | Enhanced performance by predicting packet loss rate | WSN | Real | Number of detected nodes, IPI, Number of received packets, Number of erroneous packets LR, RT, NN | ML | 2017 | [214] | |
| Network traffic prediction | Enhanced resource allocation by predicting mobile traffic demand | Cellular | Real | Average traffic load per hour | DL | LSTM, GSAE, LSAE | 2017 | [270] |
| Network traffic prediction | Enhanced resource allocation by predicting mobile traffic demand | Cellular | Real | Number of CDRs generated during each time interval in a square of the Milan Grid | DL | RNN, 3D CNN | 2017 | [271] |
| Network performance prediction | Maximized reliability and minimized end-to-end delay by selecting optimal MAC parameters | 6LoWPAN | Synthetic | Maximum CSMA backoff, Backoff exponent, Maximum frame retries limit | ML | ANN | 2017 | [216] |
| Network traffic prediction | Enhanced resource allocation by predicting mobile traffic demand | Cellular | Real | Traffic volume snapshots every 10 min | DL | STN, LSTM, 3D CNN | 2018 | [272] |
| Network traffic prediction | Enhanced resource allocation by predicting mobile traffic demand | Cellular | Real | Cellular traffic load per half-hour | DL | LSTM, GNN | 2018 | [273] |
| Network traffic prediction | Enhanced resource allocation by predicting mobile traffic demand | Cellular | Real | CDRs with an interval of 10 min | DL | DNN, LSTM | 2018 | [274] |
| Network performance prediction | Enhanced network resource allocation by predicting network parameters | Wireless sensor network | Synthetic | Network lifetime, Power level, Internode distance | ML | NN | 2018 | [215] |
| Network traffic prediction | Enhanced resource allocation by predicting mobile traffic demand | Cellular | Real | SMS and Call volume per 10 min interval | DL | CNN | 2018 | [275] |
| Network traffic prediction | Enhanced resource allocation by predicting mobile traffic demand | Cellular | Real | Traffic load per 10 min | DL | LSTM | 2018 | [276] |
| Network traffic prediction | Enhanced resource allocation by more efficiently predicting mobile traffic load | Cellular | Real | Traffic logs recorded at 10 min intervals | ML | RF | 2018 | [277] |
| Network traffic prediction | Enhanced resource allocation by predicting mobile traffic demand | Cellular | Real | Traffic logs recorded at 15 min intervals | DL | LSTM | 2019 | [278] |
| Network traffic prediction | Enhanced resource allocation by predicting mobile traffic demand | Cellular | Real | Traffic load per 5 min intervals | DL | 3D CNN | 2019 | [118] |
| Network traffic prediction | Enhanced resource allocation by predicting idle time windows | Cellular | Real | Number of unique subscribers observed and Number of communication events occurring in a counting time window for a specific cell | DL | TGCN, TCN, LSTM, and GCLSTM | 2019 | [279] |
| Network performance prediction | Enhanced end user QoE for video streaming applications via accurate performance prediction | Cellular | Real | PHY and application data | DL & ML | RF, SVM, LSTM | 2020 | [217] |
6.2. Machine Learning Applications for Information Processing
7. Open Challenges and Future Directions
7.1. Standard Datasets, Problems, Data Representation and Evaluation Metrics
7.1.1. Standard Datasets
7.1.2. Standard Problems
7.1.3. Standard Data Representation
7.1.4. Standard Evaluation Metrics
7.2. Implementation of Machine Learning Models in Practical Wireless Platforms/Systems
7.2.1. Constraint Wireless Devices
Reducing Complexity of Machine Learning Models
Distributed Machine Learning Implementation
7.2.2. Infrastructure for Data Collection and Transfer
7.2.3. Software Defined Networking for Network Control
7.3. Machine Learning Model Accuracy in Practical Wireless Systems
7.3.1. Transfer Learning
7.3.2. Active Learning
7.3.3. Unsupervised/Semi-Supervised Deep Learning
8. Conclusions
Author Contributions
Funding
Conflicts of Interest
References
- Abbasi, A.; Sarker, S.; Chiang, R.H. Big data research in information systems: Toward an inclusive research agenda. J. Assoc. Inf. Syst. 2016, 17, I. [Google Scholar] [CrossRef]
- Qian, L.; Zhu, J.; Zhang, S. Survey of wireless big data. J. Commun. Inf. Netw. 2017, 2, 1–18. [Google Scholar] [CrossRef]
- Rathore, M.M.; Ahmad, A.; Paul, A. Iot-based smart city development using big data analytical approach. In Proceedings of the 2016 IEEE International Conference on Automatica (ICA-ACCA), Curico, Chile, 19–21 October 2016; pp. 1–8. [Google Scholar]
- Nguyen, H.N.; Krishnakumari, P.; Vu, H.L.; van Lint, H. Traffic congestion pattern classification using multi-class svm. In Proceedings of the 2016 IEEE 19th International Conference on Intelligent Transportation Systems (ITSC), Rio de Janeiro, Brazil, 1–4 November 2016; pp. 1059–1064. [Google Scholar]
- Lottes, P.; Khanna, R.; Pfeifer, J.; Siegwart, R.; Stachniss, C. Uav-based crop and weed classification for smart farming. In Proceedings of the 2017 IEEE International Conference on Robotics and Automation (ICRA), Singapore, 29 May–3 June 2017; pp. 3024–3031. [Google Scholar]
- Sa, I.; Chen, Z.; Popović, M.; Khanna, R.; Liebisch, F.; Nieto, J.; Siegwart, R. weednet: Dense semantic weed classification using multispectral images and mav for smart farming. IEEE Robot. Autom. Lett. 2018, 3, 588–595. [Google Scholar] [CrossRef]
- Strohbach, M.; Ziekow, H.; Gazis, V.; Akiva, N. Towards a big data analytics framework for iot and smart city applications. In Modeling and Processing for Next-Generation Big-Data Technologies; Springer: Berlin/Heidelberg, Germany, 2015; pp. 257–282. [Google Scholar]
- Cisco. Cisco Visual Networking Index: Forecast and Trends. 2019. Available online: https://www.cisco.com/c/en/us/solutions/collateral/service-provider/visual-networking-index-vni/white-paper-c11-741490.html (accessed on 1 January 2021).
- Cisco Systems White Paper. Available online: https://www.cisco.com/c/en/us/solutions/collateral/service-provider/visual-networking-index-vni/white-paper-c11-738429.html (accessed on 9 May 2019).
- Bkassiny, M.; Li, Y.; Jayaweera, S.K. A survey on machine-learning techniques in cognitive radios. IEEE Commun. Surv. Tutor. 2012, 15, 1136–1159. [Google Scholar] [CrossRef]
- Alsheikh, M.A.; Lin, S.; Niyato, D.; Tan, H.-P. Machine learning in wireless sensor networks: Algorithms, strategies, and applications. IEEE Commun. Surv. Tutor. 2014, 16, 1996–2018. [Google Scholar] [CrossRef]
- Wang, X.; Li, X.; Leung, V.C. Artificial intelligence-based techniques for emerging heterogeneous network: State of the arts, opportunities, and challenges. IEEE Access 2015, 3, 1379–1391. [Google Scholar] [CrossRef]
- Ahad, N.; Qadir, J.; Ahsan, N. Neural networks in wireless networks: Techniques, applications and guidelines. J. Netw. Comput. Appl. 2016, 68, 1–27. [Google Scholar] [CrossRef]
- Park, T.; Abuzainab, N.; Saad, W. Learning how to communicate in the internet of things: Finite resources and heterogeneity. IEEE Access 2016, 4, 7063–7073. [Google Scholar] [CrossRef]
- Klaine, P.V.; Imran, M.A.; Onireti, O.; Souza, R.D. A survey of machine learning techniques applied to self-organizing cellular networks. IEEE Commun. Surv. Tutor. 2017, 19, 2392–2431. [Google Scholar] [CrossRef]
- Zhou, X.; Sun, M.; Li, G.Y.; Juang, B.-H.F. Intelligent wireless communications enabled by cognitive radio and machine learning. China Commun. 2018, 15, 16–48. [Google Scholar]
- Mao, Q.; Hu, F.; Hao, Q. Deep learning for intelligent wireless networks: A comprehensive survey. IEEE Commun. Surv. Tutor. 2018, 20, 2595–2621. [Google Scholar] [CrossRef]
- Mohammadi, M.; Al-Fuqaha, A.; Sorour, S.; Guizani, M. Deep learning for iot big data and streaming analytics: A survey. IEEE Commun. Surv. Tutor. 2018, 20, 2923–2960. [Google Scholar] [CrossRef]
- Chen, M.; Challita, U.; Saad, W.; Yin, C.; Debbah, M. Artificial neural networks-based machine learning for wireless networks: A tutorial. IEEE Commun. Surv. Tutor. 2019, 21, 3039–3071. [Google Scholar] [CrossRef]
- Li, X.; Dong, F.; Zhang, S.; Guo, W. A survey on deep learning techniques in wireless signal recognition. Wirel. Commun. Mob. Comput. 2019. [Google Scholar] [CrossRef]
- Din, I.U.; Guizani, M.; Rodrigues, J.J.; Hassan, S.; Korotaev, V.V. Machine learning in the internet of things: Designed techniques for smart cities. Future Gener. Comput. Syst. 2019, 100, 826–843. [Google Scholar] [CrossRef]
- Luong, N.C.; Hoang, D.T.; Gong, S.; Niyato, D.; Wang, P.; Liang, Y.-C.; Kim, D.I. Applications of deep reinforcement learning in communications and networking: A survey. IEEE Commun. Surv. Tutor. 2019, 21, 3133–3174. [Google Scholar] [CrossRef]
- Dhar, V. Data science and prediction. Commun. ACM 2013, 56, 64–73. [Google Scholar] [CrossRef]
- Kulin, M.; Fortuna, C.; Poorter, E.D.; Deschrijver, D.; Moerman, I. Data-driven design of intelligent wireless networks: An overview and tutorial. Sensors 2016, 16, 790. [Google Scholar] [CrossRef]
- McCarthy, J. Artificial intelligence, logic and formalizing common sense. In Philosophical Logic and Artificial Intelligence; Springer: Berlin/Heidelberg, Germany, 1989; pp. 161–190. [Google Scholar]
- Mitchell, T.; Buchanan, B.; DeJong, G.; Dietterich, T.; Rosenbloom, P.; Waibel, A. Machine learning. Annu. Rev. Comput. Sci. 1990, 4, 417–433. [Google Scholar] [CrossRef]
- Jiang, C.; Zhang, H.; Ren, Y.; Han, Z.; Chen, K.-C.; Hanzo, L. Machine learning paradigms for next-generation wireless networks. IEEE Wirel. Commun. 2017, 24, 98–105. [Google Scholar] [CrossRef]
- LeCun, Y.; Bengio, Y.; Hinton, G. Deep learning. Nature 2015, 521, 436. [Google Scholar] [CrossRef] [PubMed]
- Liu, W.; Kulin, M.; Kazaz, T.; Shahid, A.; Moerman, I.; Poorter, E.D. Wireless technology recognition based on rssi distribution at sub-nyquist sampling rate for constrained devices. Sensors 2017, 17, 2081. [Google Scholar] [CrossRef] [PubMed]
- Sha, M.; Dor, R.; Hackmann, G.; Lu, C.; Kim, T.-S.; Park, T. Self-adapting mac layer for wireless sensor networks. In Proceedings of the 2013 IEEE 34th Real-Time Systems Symposium, Vancouver, BC, Canada, 3–6 December 2013; pp. 192–201. [Google Scholar]
- Kulkarni, R.V.; Venayagamoorthy, G.K. Neural network based secure media access control protocol for wireless sensor networks. In Proceedings of the Neural Networks, Atlanta, GA, USA, 14–19 June 2009; pp. 1680–1687. [Google Scholar]
- Kim, M.H.; Park, M.-G. Bayesian statistical modeling of system energy saving effectiveness for mac protocols of wireless sensor networks. In Software Engineering, Artificial Intelligence, Networking and Parallel/Distributed Computing; Springer: Berlin/Heidelberg, Germany, 2009; pp. 233–245. [Google Scholar]
- Shen, Y.-J.; Wang, M.-S. Broadcast scheduling in wireless sensor networks using fuzzy hopfield neural network. Expert Syst. Appl. 2008, 34, 900–907. [Google Scholar] [CrossRef]
- Barbancho, J.; León, C.; Molina, J.; Barbancho, A. Giving neurons to sensors. qos management in wireless sensors networks. In Proceedings of the Emerging Technologies and Factory Automation, Diplomat Hotel Prague, Czech Republic, 20–22 September 2006; pp. 594–597. [Google Scholar]
- Liu, T.; Cerpa, A.E. Data-driven link quality prediction using link features. ACM Trans. Sens. Netw. 2014, 10, 37. [Google Scholar] [CrossRef]
- Wang, Y.; Martonosi, M.; Peh, L.-S. Predicting link quality using supervised learning in wireless sensor networks. ACM Sigmobile Mob. Comput. Commun. Rev. 2007, 11, 71–83. [Google Scholar] [CrossRef]
- Ahmed, G.; Khan, N.M.; Khalid, Z.; Ramer, R. Cluster head selection using decision trees for wireless sensor networks. In Proceedings of the Intelligent Sensors, Sensor Networks and Information Processing, Sydney, Australia, 15–18 December 2008; pp. 173–178. [Google Scholar]
- Shareef, A.; Zhu, Y.; Musavi, M. Localization using neural networks in wireless sensor networks. In Proceedings of the 1st International Conference on MOBILe Wireless MiddleWARE, Operating Systems, and Applications, London, UK, 22–24 June 2008; p. 4. [Google Scholar]
- Chagas, S.H.; Martins, J.B.; Oliveira, L.L.D. An approach to localization scheme of wireless sensor networks based on artificial neural networks and genetic algorithms. In Proceedings of the New Circuits and systems Conference (NEWCAS), Montreal, QC, Canada, 17–20 June 2012; pp. 137–140. [Google Scholar]
- Tran, D.A.; Nguyen, T. Localization in wireless sensor networks based on support vector machines. IEEE Trans. Parallel Distrib. Syst. 2008, 19, 981–994. [Google Scholar] [CrossRef]
- Tumuluru, V.K.; Wang, P.; Niyato, D. A neural network based spectrum prediction scheme for cognitive radio. In Proceedings of the 2010 IEEE International Conference on Communications (ICC), Cape Town, South Africa, 23–27 May 2010; pp. 1–5. [Google Scholar]
- Baldo, N.; Zorzi, M. Learning and adaptation in cognitive radios using neural networks. In Proceedings of the 5th 2008 Consumer Communications and Networking Conference, Las Vegas, NV, USA, 10–12 January 2008; pp. 998–1003. [Google Scholar]
- Tang, Y.-J.; Zhang, Q.-Y.; Lin, W. Artificial neural network based spectrum sensing method for cognitive radio. In Proceedings of the 2010 6th International Conference on Wireless Communications Networking and Mobile Computing (WiCOM), Chengdu, China, 23–25 September 2010; pp. 1–4. [Google Scholar]
- Hu, H.; Song, J.; Wang, Y. Signal classification based on spectral correlation analysis and svm in cognitive radio. In Proceedings of the AINA 2008, 22nd International Conference onAdvanced Information Networking and Applications, Okinawa, Japan, 25–28 March 2008; pp. 883–887. [Google Scholar]
- Xu, G.; Lu, Y. Channel and modulation selection based on support vector machines for cognitive radio. In Proceedings of the WiCOM 2006, International Conference on Wireless Communications, Networking and Mobile Computing, Wuhan, China, 22–24 September 2006; pp. 1–4. [Google Scholar]
- Petrova, M.; Mähönen, P.; Osuna, A. Multi-class classification of analog and digital signals in cognitive radios using support vector machines. In Proceedings of the 2010 7th International Symposium on Wireless Communication Systems (ISWCS), York, UK, 19–22 September 2010; pp. 986–990. [Google Scholar]
- Huang, Y.; Jiang, H.; Hu, H.; Yao, Y. Design of learning engine based on support vector machine in cognitive radio. In Proceedings of the CiSE 2009, International Conference onComputational Intelligence and Software Engineering, Wuhan, China, 11–13 December 2009; pp. 1–4. [Google Scholar]
- Mannini, A.; Sabatini, A.M. Machine learning methods for classifying human physical activity from on-body accelerometers. Sensors 2010, 10, 1154–1175. [Google Scholar] [CrossRef]
- Hong, J.H.; Kim, N.J.; Cha, E.J.; Lee, T.S. Classification technique of human motion context based on wireless sensor network. In Proceedings of the 27th Annual International Conference of the Engineering in Medicine and Biology Society, Shanghai, China, 31 August 2005; pp. 5201–5202. [Google Scholar]
- Lara, O.D.; Labrador, M.A. A survey on human activity recognition using wearable sensors. Commun. Surv. Tutor. 2013, 15, 1192–1209. [Google Scholar] [CrossRef]
- Bulling, A.; Blanke, U.; Schiele, B. A tutorial on human activity recognition using body-worn inertial sensors. ACM Comput. Surv. 2014, 46, 33. [Google Scholar]
- Bao, L.; Intille, S.S. Activity recognition from user-annotated acceleration data. In Pervasive Computing; Springer: Berlin/Heidelberg, Germany, 2004; pp. 1–17. [Google Scholar]
- Bulling, A.; Ward, J.A.; Gellersen, H. Multimodal recognition of reading activity in transit using body-worn sensors. ACM Trans. Appl. Percept. 2012, 9, 2. [Google Scholar] [CrossRef]
- Yu, L.; Wang, N.; Meng, X. Real-time forest fire detection with wireless sensor networks. In Proceedings of the 2005 International Conference on Wireless Communications, Networking and Mobile Computing, Zhangjiajie, China, 2–4 August 2005; Volume 2, pp. 1214–1217. [Google Scholar]
- Bahrepour, M.; Meratnia, N.; Havinga, P.J. Use of ai techniques for residential fire detection in wireless sensor networks. In Proceedings of the AIAI Workshops, Thessaloniki, Greece, 23–25 April 2009. [Google Scholar]
- Bahrepour, M.; Meratnia, N.; Poel, M.; Taghikhaki, Z.; Havinga, P.J. Distributed event detection in wireless sensor networks for disaster management. In Proceedings of the 2nd International Conference on Intelligent Networking and Collaborative Systems (INCOS), Thessaloniki, Greece, 24–26 November 2010; pp. 507–512. [Google Scholar]
- Zoha, A.; Imran, A.; Abu-Dayya, A.; Saeed, A. A machine learning framework for detection of sleeping cells in lte network. In Proceedings of the Machine Learning and Data Analysis Symposium, Doha, Qatar, 3–6 April 2014. [Google Scholar]
- Khanafer, R.M.; Solana, B.; Triola, J.; Barco, R.; Moltsen, L.; Altman, Z.; Lazaro, P. Automated diagnosis for umts networks using bayesian network approach. IEEE Trans. Veh. Technol. 2008, 57, 2451–2461. [Google Scholar]
- Ridi, A.; Gisler, C.; Hennebert, J. A survey on intrusive load monitoring for appliance recognition. In Proceedings of the 2014 22nd International Conference on Pattern Recognition (ICPR), Stockholm, Sweden, 24–28 August 2014; pp. 3702–3707. [Google Scholar]
- Chang, H.-H.; Yang, H.-T.; Lin, C.-L. Load identification in neural networks for a non-intrusive monitoring of industrial electrical loads. In Computer Supported Cooperative Work in Design IV; Springer: Berlin/Heidelberg, Germany, 2007; pp. 664–674. [Google Scholar]
- Branch, J.W.; Giannella, C.; Szymanski, B.; Wolff, R.; Kargupta, H. In-network outlier detection in daa wireless sensor networks. Knowl. Inf. Syst. 2013, 34, 23–54. [Google Scholar] [CrossRef]
- Kaplantzis, S.; Shilton, A.; Mani, N.; Şekercioğlu, Y.A. Detecting selective forwarding attacks in wireless sensor networks using support vector machines. In Proceedings of the 3rd International Conference on Intelligent Sensors, Sensor Networks and Information, Melbourne, Australia, 3–6 December 2007; pp. 335–340. [Google Scholar]
- Kulkarni, R.V.; Venayagamoorthy, G.K.; Thakur, A.V.; Madria, S.K. Generalized neuron based secure media access control protocol for wireless sensor networks. In Proceedings of the IEEE Symposium on Computational Intelligence in Miulti-Criteria Decision-Making, Nashville, TN, USA, 30 March–2 April 2009; pp. 16–22. [Google Scholar]
- Yoon, S.; Shahabi, C. The clustered aggregation (cag) technique leveraging spatial and temporal correlations in wireless sensor networks. ACM Trans. Sens. Netw. 2007, 3, 3. [Google Scholar] [CrossRef]
- He, H.; Zhu, Z.; Mäkinen, E. A neural network model to minimize the connected dominating set for self-configuration of wireless sensor networks. IEEE Trans. Neural Netw. 2009, 20, 973–982. [Google Scholar] [PubMed]
- Kanungo, T.; Mount, D.M.; Netanyahu, N.S.; Piatko, C.D.; Silverman, R.; Wu, A.Y. An efficient k-means clustering algorithm: Analysis and implementation. IEEE Trans. Pattern Anal. Mach. Intell. 2002, 24, 881–892. [Google Scholar] [CrossRef]
- Liu, C.; Wu, K.; Pei, J. A dynamic clustering and scheduling approach to energy saving in data collection from wireless sensor networks. In Proceedings of the 2005 Second Annual IEEE Communications Society Conference on Sensor and Ad Hoc Communications and Networks, SECON, Santa Clara, CA, USA, 4–7 October 2005; Volume 5, pp. 374–385. [Google Scholar]
- Taherkordi, A.; Mohammadi, R.; Eliassen, F. A communication-efficient distributed clustering algorithm for sensor networks. In Proceedings of the 22nd International Conference on Advanced Information Networking and Applications-Workshops, AINAW, Okinawa, Japan, 25–28 March 2008; pp. 634–638. [Google Scholar]
- Guo, L.; Ai, C.; Wang, X.; Cai, Z.; Li, Y. Real time clustering of sensory data in wireless sensor networks. In Proceedings of the IPCCC, Scottsdale, AZ, USA, 14–16 December 2009; pp. 33–40. [Google Scholar]
- Wang, K.; Ayyash, S.A.; Little, T.D.; Basu, P. Attribute-based clustering for information dissemination in wireless sensor networks. In Proceedings of the 2nd Annual IEEE Communications Society Conference on Sensor and AD Hoc Communications and Networks (SECON’05), Santa Clara, CA, USA, 26–29 September 2005. [Google Scholar]
- Ma, Y.; Peng, M.; Xue, W.; Ji, X. A dynamic affinity propagation clustering algorithm for cell outage detection in self-healing networks. In Proceedings of the Wireless Communications and Networking Conference (WCNC), Sydney, Australia, 18–21 July 2013; pp. 2266–2270. [Google Scholar]
- TClancy, C.; Khawar, A.; Newman, T.R. Robust signal classification using unsupervised learning. IEEE Trans. Wirel. Commun. 2011, 10, 1289–1299. [Google Scholar] [CrossRef]
- Shetty, N.; Pollin, S.; Pawełczak, P. Identifying spectrum usage by unknown systems using experiments in machine learning. In Proceedings of the Wireless Communications and Networking Conference, Budapest, Hungary, 5–8 April 2009; pp. 1–6. [Google Scholar]
- O’Shea, T.J.; West, N.; Vondal, M.; Clancy, T.C. Semi-supervised radio signal identification. In Proceedings of the 2017 19th International Conference on Advanced Communication Technology (ICACT), Pyeongchang, Korea, 19–22 February 2017; pp. 33–38. [Google Scholar]
- Witten, I.H.; Frank, E. Data Mining: Practical Machine Learning Tools and Techniques, 2nd ed.; Morgan Kaufmann Series in Data Management Systems; Morgan Kaufmann Publishers Inc.: San Francisco, CA, USA, 2005. [Google Scholar]
- Guan, D.; Yuan, W.; Lee, Y.-K.; Gavrilov, A.; Lee, S. Activity recognition based on semi-supervised learning. In Proceedings of the 13th IEEE International Conference on Embedded and Real-Time Computing Systems and Applications, Daegu, Korea, 21–24 August 2007; pp. 469–475. [Google Scholar]
- Stikic, M.; Larlus, D.; Ebert, S.; Schiele, B. Weakly supervised recognition of daily life activities with wearable sensors. IEEE Trans. Pattern Anal. Mach. Intell. 2011, 33, 2521–2537. [Google Scholar] [CrossRef]
- Huỳnh, T.; Schiele, B. Towards less supervision in activity recognition from wearable sensors. In Proceedings of the 10th IEEE International Symposium on Wearable Computers, Cambridge, MA, USA, 11–14 October 2006; pp. 3–10. [Google Scholar]
- Pulkkinen, T.; Roos, T.; Myllymäki, P. Semi-supervised learning for wlan positioning. In Artificial Neural Networks and Machine Learning–ICANN 2011; Springer: Berlin/Heidelberg, Germany, 2011; pp. 355–362. [Google Scholar]
- Erman, J.; Mahanti, A.; Arlitt, M.; Cohen, I.; Williamson, C. Offline/realtime traffic classification using semi-supervised learning. Perform. Eval. 2007, 64, 1194–1213. [Google Scholar]
- Liu, T.; Cerpa, A.E. Foresee (4c): Wireless link prediction using link features. In Proceedings of the 10th ACM/IEEE International Conference on Information Processing in Sensor Networks, Chicago, IL, USA, 12–14 April 2011; pp. 294–305. [Google Scholar]
- Abdullah, M.F.A.B.; Negara, A.F.P.; Sayeed, M.S.; Choi, D.-J.; Muthu, K.S. Classification algorithms in human activity recognition using smartphones. Int. J. Comput. Inf. Eng. 2012, 6, 77–84. [Google Scholar]
- Bosman, H.H.; Iacca, G.; Tejada, A.; Wörtche, H.J.; Liotta, A. Ensembles of incremental learners to detect anomalies in ad hoc sensor networks. Ad Hoc Netw. 2015, 35, 14–36. [Google Scholar] [CrossRef]
- Zhang, Y.; Meratnia, N.; Havinga, P. Adaptive and online one-class support vector machine-based outlier detection techniques for wireless sensor networks. In Proceedings of the International Conference on Advanced Information Networking and Applications Workshops, WAINA’09, Bradford, UK, 26–29 May 2009; pp. 990–995. [Google Scholar]
- Dasarathy, G.; Singh, A.; Balcan, M.-F.; Park, J.H. Active learning algorithms for graphical model selection. arXiv 2016, arXiv:1602.00354. [Google Scholar]
- Castro, R.M.; Nowak, R.D. Minimax bounds for active learning. IEEE Trans. Inf. Theory 2008, 54, 2339–2353. [Google Scholar] [CrossRef]
- Beygelzimer, A.; Langford, J.; Tong, Z.; Hsu, D.J. Agnostic active learning without constraints. In Proceedings of the Advances in Neural Information Processing Systems, Vancouver, BC, USA, 6–9 December 2010; pp. 199–207. [Google Scholar]
- Hanneke, S. Theory of disagreement-based active learning. Found. Trends Mach. Learn. 2014, 7, 131–309. [Google Scholar] [CrossRef]
- Freedman, D.A. Statistical Models: Theory and Practice; Cambridge University Press: Cambridge, UK, 2009. [Google Scholar]
- Maimon, O.; Rokach, L. Data Mining with Decision Trees: Theory and Applications; World Scientific: Singapore, 2008. [Google Scholar]
- Safavian, S.R.; Landgrebe, D. A survey of decision tree classifier methodology. IEEE Trans. Syst. Man Cybern. 1991, 21, 660–674. [Google Scholar] [CrossRef]
- Vapnik, V.N.; Vapnik, V. Statistical Learning Theory; Wiley: New York, NY, USA, 1998; Volume 1. [Google Scholar]
- Larose, D.T. k-Nearest Neighbor Algorithm, Discovering Knowledge in Data: An Introduction to Data Mining; John Wiley & Sons: Hoboken, NJ, USA, 2005; pp. 90–106. [Google Scholar]
- Dunham, M.H. Data Mining: Introductory and Advanced Topics; Pearson Education India: Delhi, India, 2006. [Google Scholar]
- Haykin, S.S.; Haykin, S.S.; Haykin, S.S.; Haykin, S.S. Neural Networks and Learning Machines; Pearson Education Upper Saddle River: Hoboken, NJ, USA, 2009; Volume 3. [Google Scholar]
- Hornik, K.; Stinchcombe, M.; White, H. Multilayer Feedforward Networks are Universal Approximators. Neural Netw. 1989, 2, 359–366. [Google Scholar] [CrossRef]
- Jia, F.; Lei, Y.; Lin, J.; Zhou, X.; Lu, N. Deep neural networks: A promising tool for fault characteristic mining and intelligent diagnosis of rotating machinery with massive data. Mech. Syst. Signal Process. 2016, 72, 303–315. [Google Scholar] [CrossRef]
- Goodfellow, I.; Bengio, Y.; Courville, A. Deep Learning; MIT Press: Cambridge, MA, USA, 2016; Available online: http://www.deeplearningbook.org (accessed on 1 January 2021).
- Schaul, T.; Antonoglou, I.; Silver, D. Unit tests for stochastic optimization. arXiv 2013, arXiv:1312.6055. [Google Scholar]
- Srivastava, N.; Hinton, G.E.; Krizhevsky, A.; Sutskever, I.; Salakhutdinov, R. Dropout: A simple way to prevent neural networks from overfitting. J. Mach. Learn. Res. 2014, 15, 1929–1958. [Google Scholar]
- DRumelhart, E.; Hinton, G.E.; Williams, R.J. Learning representations by back-propagating errors. Cogn. Model. 1988, 5, 1. [Google Scholar]
- Fayyad, U.; Piatetsky-Shapiro, G.; Smyth, P. The kdd process for extracting useful knowledge from volumes of data. Commun. ACM 1996, 39, 27–34. [Google Scholar] [CrossRef]
- Yau, K.-L.A.; Komisarczuk, P.; Teal, P.D. Reinforcement learning for context awareness and intelligence in wireless networks: Review, new features and open issues. J. Netw. Comput. Appl. 2012, 35, 253–267. [Google Scholar] [CrossRef]
- Venayagamoorthy, G.K.K. A successful interdisciplinary course on coputational intelligence. IEEE Comput. Intell. Mag. 2009, 4, 14–23. [Google Scholar] [CrossRef]
- Khatib, E.J.; Barco, R.; Munoz, P.; Bandera, L.; De, I.; Serrano, I. Self-healing in mobile networks with big data. IEEE Comput. Intell. Mag. 2016, 54, 114–120. [Google Scholar] [CrossRef]
- Förster, A. Machine learning techniques applied to wireless ad-hoc networks: Guide and survey. In Proceedings of the 3rd International Conference on Intelligent Sensors, Sensor Networks and Information, Melbourne, Australia, 3–6 December 2007; pp. 365–370. [Google Scholar]
- Kulkarni, R.V.; Förster, A.; Venayagamoorthy, G.K. Computational intelligence in wireless sensor networks: A survey. IEEE Commun. Surv. Tutor. 2011, 13, 68–96. [Google Scholar] [CrossRef]
- Thilina, K.M.; Choi, K.W.; Saquib, N.; Hossain, E. Machine learning techniques for cooperative spectrum sensing in cognitive radio networks. IEEE J. Sel. Areas Commun. 2013, 31, 2209–2221. [Google Scholar] [CrossRef]
- Clancy, C.; Hecker, J.; Stuntebeck, E.; Shea, T.O. Applications of machine learning to cognitive radio networks. IEEE Wirel. Commun. 2007, 14, 47–52. [Google Scholar] [CrossRef]
- Anagnostopoulos, T.; Anagnostopoulos, C.; Hadjiefthymiades, S.; Kyriakakos, M.; Kalousis, A. Predicting the location of mobile users: A machine learning approach. In Proceedings of the 2009 International Conference on Pervasive Services, London, UK, 13–16 July 2009; pp. 65–72. [Google Scholar]
- Esteves, V.; Antonopoulos, A.; Kartsakli, E.; Puig-Vidal, M.; Miribel-Català, P.; Verikoukis, C. Cooperative energy harvesting-adaptive mac protocol for wbans. Sensors 2015, 15, 12635–12650. [Google Scholar] [CrossRef]
- Liu, T.; Cerpa, A.E. Temporal adaptive link quality prediction with online learning. ACM Trans. Sen. Netw. 2014, 10, 1–41. [Google Scholar] [CrossRef]
- Chen, X.; Xu, X.; Huang, J.Z.; Ye, Y. Tw-k-means: Automated two-level variable weighting clustering algorithm for multiview data. IEEE Trans. Knowl. Data Eng. 2013, 25, 932–944. [Google Scholar] [CrossRef]
- Vanheel, F.; Verhaevert, J.; Laermans, E.; Moerman, I.; Demeester, P. Automated linear regression tools improve rssi wsn localization in multipath indoor environment. EURASIP J. Wirel. Commun. Netw. 2011, 2011, 1–27. [Google Scholar] [CrossRef]
- Tennina, S.; Renzo, M.D.; Kartsakli, E.; Graziosi, F.; Lalos, A.S.; Antonopoulos, A.; Mekikis, P.V.; Alonso, L. Wsn4qol: A wsn-oriented healthcare system architecture. Int. J. Distrib. Sens. Netw. 2014, 10, 503417. [Google Scholar] [CrossRef]
- Blasco, P.; Gunduz, D.; Dohler, M. A learning theoretic approach to energy harvesting communication system optimization. IEEE Trans. Wirel. Commun. 2013, 12, 1872–1882. [Google Scholar] [CrossRef]
- Levis, K. Rssi is under appreciated. In Proceedings of the Third Workshop on Embedded Networked Sensors, Cambridge, MA, USA, 30–31 May 2006; Volume 3031, p. 239242. [Google Scholar]
- Bega, D.; Gramaglia, M.; Fiore, M.; Banchs, A.; Costa-Perez, X. Deepcog: Cognitive network management in sliced 5g networks with deep learning. In Proceedings of the IEEE INFOCOM, Paris, France, 29 April–2 May 2019. [Google Scholar]
- Alizai, M.H.; Landsiedel, O.; Link, J.B.; Götz, S.; Wehrle, K. Bursty traffic over bursty links. In Proceedings of the 7th ACM Conference on Embedded Networked Sensor Systems, Berkeley, CA, USA, 4–6 November 2009; pp. 71–84. [Google Scholar]
- Fonseca, R.; Gnawali, O.; Jamieson, K.; Levis, P. Four-bit wireless link estimation. In Proceedings of the HotNets, Atlanta, GA, USA, 14–15 November 2007. [Google Scholar]
- Ramon, M.M.; Atwood, T.; Barbin, S.; Christodoulou, C.G. Signal classification with an svm-fft approach for feature extraction in cognitive radio. In Proceedings of the 2009 SBMO/IEEE MTT-S International Microwave and Optoelectronics Conference (IMOC), Belem, Brazil, 3–6 November 2009; pp. 286–289. [Google Scholar]
- Abbasi, A.A.; Younis, M. A survey on clustering algorithms for wireless sensor networks. Comput. Commun. 2007, 30, 2826–2841. [Google Scholar] [CrossRef]
- Xu, R.; Wunsch, D. Survey of clustering algorithms. IEEE Trans. Neural Netw. 2005, 16, 645–678. [Google Scholar] [CrossRef]
- Kimura, N.; Latifi, S. A survey on data compression in wireless sensor networks. In Proceedings of the International Conference on Information Technology: Coding and Computing, Las Vegas, NV, USA, 4–6 April 2005; Volume 2, pp. 8–13. [Google Scholar]
- Ester, M.; Kriegel, H.-P.; Sander, J.; Xu, X. A density-based algorithm for discovering clusters in large spatial databases with noise. In Proceedings of the Kdd, Cambridge, UK, 20 December 1996; Volume 96, pp. 226–231. [Google Scholar]
- Zhang, Y.; Meratnia, N.; Havinga, P. Outlier detection techniques for wireless sensor networks: A survey. IEEE Commun. Surv. Tutor. 2010, 12, 159–170. [Google Scholar] [CrossRef]
- Huang, G.-B.; Zhu, Q.-Y.; Siew, C.-K. Extreme learning machine: A new learning scheme of feedforward neural networks. In Proceedings of the 2004 IEEE International Joint Conference on Neural Networks, Budapest, Hungary, 25–29 July 2004; Volume 2, pp. 985–990. [Google Scholar]
- Rajendran, S.; Meert, W.; Lenders, V.; Pollin, S. Unsupervised wireless spectrum anomaly detection with interpretable features. IEEE Trans. Cogn. Commun. Netw. 2019, 5, 637–647. [Google Scholar] [CrossRef]
- Wong, M.D.; Nandi, A.K. Automatic digital modulation recognition using artificial neural network and genetic algorithm. Signal Process. 2004, 84, 351–365. [Google Scholar] [CrossRef]
- Wang, L.-X.; Ren, Y.-J. Recognition of digital modulation signals based on high order cumulants and support vector machines. In Proceedings of the 2009 ISECS International Colloquium on Computing, Communication, Control, and Management, Sanya, China, 8–9 August 2009; Volume 4, pp. 271–274. [Google Scholar]
- Tabatabaei, T.S.; Krishnan, S.; Anpalagan, A. Svm-based classification of digital modulation signals. In Proceedings of the 2010 IEEE International Conference on Systems, Man and Cybernetics, Istanbul, Turkey, 10–13 October 2010; pp. 277–280. [Google Scholar]
- Hassan, K.; Dayoub, I.; Hamouda, W.; Berbineau, M. Automatic modulation recognition using wavelet transform and neural networks in wireless systems. Eurasip J. Adv. Signal Process. 2010, 2010, 532898. [Google Scholar] [CrossRef]
- Aubry, A.; Bazzoni, A.; Carotenuto, V.; Maio, A.D.; Failla, P. Cumulants-based radar specific emitter identification. In Proceedings of the 2011 IEEE International Workshop on Information Forensics and Security, Washington, DC, USA, 29 November–2 December 2011; pp. 1–6. [Google Scholar]
- Popoola, J.J.; Olst, R.V. A novel modulation-sensing method. IEEE Veh. Technol. Mag. 2011, 6, 60–69. [Google Scholar] [CrossRef]
- Aslam, M.W.; Zhu, Z.; Nandi, A.K. Automatic modulation classification using combination of genetic programming and knn. IEEE Trans. Wirel. Commun. 2012, 11, 2742–2750. [Google Scholar]
- Valipour, M.H.; Homayounpour, M.M.; Mehralian, M.A. Automatic digital modulation recognition in presence of noise using svm and pso. In Proceedings of the 6th International Symposium on Telecommunications (IST), Tehran, Iran, 6–8 November 2012; pp. 378–382. [Google Scholar]
- Popoola, J.J.; van Olst, R. Effect of training algorithms on performance of a developed automatic modulation classification using artificial neural network. In Proceedings of the 2013 Africon, Pointe-Aux-Piments, Mauritius, 9–12 September 2013; pp. 1–6. [Google Scholar]
- Satija, U.; Mohanty, M.; Ramkumar, B. Automatic modulation classification using s-transform based features. In Proceedings of the 2015 2nd International Conference on Signal Processing and Integrated Networks (SPIN), Noida, New Delhi, 19–20 February 2015; pp. 708–712. [Google Scholar]
- O’Shea, T.; Roy, T.; Clancy, T.C. Learning robust general radio signal detection using computer vision methods. In Proceedings of the 2017 51st Asilomar Conference on Signals, Systems, and Computers, Pacific Grove, CA, USA, 29 October–1 November 2017; pp. 829–832. [Google Scholar]
- Hassanpour, S.; Pezeshk, A.M.; Behnia, F. Automatic digital modulation recognition based on novel features and support vector machine. In Proceedings of the 2016 12th International Conference on Signal-Image Technology & Internet-Based Systems (SITIS), Naples, Italy, 28 November–1 December 2016; pp. 172–177. [Google Scholar]
- O’Shea, T.J.; Corgan, J.; Clancy, T.C. Convolutional radio modulation recognition networks. In Proceedings of the International Conference on Engineering Applications of Neural Networks, Halkidiki, Greece, 5–7 June 2016; pp. 213–226. [Google Scholar]
- Kim, B.; Kim, J.; Chae, H.; Yoon, D.; Choi, J.W. Deep neural network-based automatic modulation classification technique. In Proceedings of the 2016 International Conference on Information and Communication Technology Convergence (ICTC), Jeju, Korea, 19–21 October 2016; pp. 579–582. [Google Scholar]
- Peng, S.; Jiang, H.; Wang, H.; Alwageed, H.; Yao, Y.-D. Modulation classification using convolutional neural network based deep learning model. In Proceedings of the 2017 26th Wireless and Optical Communication Conference (WOCC), Newark, NJ, USA, 7–8 April 2017; pp. 1–5. [Google Scholar]
- Ali, A.; Yangyu, F. Automatic modulation classification using deep learning based on sparse autoencoders with nonnegativity constraints. IEEE Signal Process. Lett. 2017, 24, 1626–1630. [Google Scholar] [CrossRef]
- Liu, X.; Yang, D.; Gamal, A.E. Deep neural network architectures for modulation classification. In Proceedings of the 2017 51st Asilomar Conference on Signals, Systems, and Computers, Pacific Grove, CA, USA, 29 October–1 November 2017; pp. 915–919. [Google Scholar]
- O’Shea, T.; Hoydis, J. An introduction to deep learning for the physical layer. IEEE Trans. Cogn. Commun. Netw. 2017, 3, 563–575. [Google Scholar] [CrossRef]
- West, N.E.; O’Shea, T. Deep architectures for modulation recognition. In Proceedings of the 2017 IEEE International Symposium on Dynamic Spectrum Access Networks (DySPAN), Baltimore, MD, USA, 6–9 March 2017; pp. 1–6. [Google Scholar]
- Karra, K.; Kuzdeba, S.; Petersen, J. Modulation recognition using hierarchical deep neural networks. In Proceedings of the 2017 IEEE International Symposium on Dynamic Spectrum Access Networks (DySPAN), Baltimore, MD, USA, 6–9 March 2017; pp. 1–3. [Google Scholar]
- Hauser, S.C.; Headley, W.C.; Michaels, A.J. Signal detection effects on deep neural networks utilizing raw iq for modulation classification. In Proceedings of the MILCOM 2017—2017 IEEE Military Communications Conference (MILCOM), Baltimore, MD, USA, 23–25 October 2017; pp. 121–127. [Google Scholar]
- Paisana, F.; Selim, A.; Kist, M.; Alvarez, P.; Tallon, J.; Bluemm, C.; Puschmann, A.; DaSilva, L. Context-aware cognitive radio using deep learning. In Proceedings of the 2017 IEEE International Symposium on Dynamic Spectrum Access Networks (DySPAN), Baltimore, MD, USA, 6–9 March 2017; pp. 1–2. [Google Scholar]
- Zhao, Y.; Wui, L.; Zhang, J.; Li, Y. Specific emitter identification using geometric features of frequency drift curve. Bull. Pol. Acad. Sci. Tech. Sci. 2018, 66, 99–108. [Google Scholar]
- Youssef, K.; Bouchard, L.; Haigh, K.; Silovsky, J.; Thapa, B.; Valk, C.V. Machine learning approach to rf transmitter identification. IEEE J. Radio Freq. Identif. 2018, 2, 197–205. [Google Scholar] [CrossRef]
- Jagannath, J.; Polosky, N.; O’Connor, D.; Theagarajan, L.N.; Sheaffer, B.; Foulke, S.; Varshney, P.K. Artificial neural network based automatic modulation classification over a software defined radio testbed. In Proceedings of the 2018 IEEE International Conference on Communications (ICC), Kansas City, MO, USA, 20–24 May 2018; pp. 1–6. [Google Scholar]
- O’Shea, T.J.; Roy, T.; Clancy, T.C. Over-the-air deep learning based radio signal classification. IEEE J. Sel. Top. Signal Process. 2018, 12, 168–179. [Google Scholar] [CrossRef]
- Cheong, P.S.; Camelo, M.; Latré, S. Evaluating deep neural networks to classify modulated and coded radio signals. In Proceedings of the International Conference on Cognitive Radio Oriented Wireless Networks, Poznan, Poland, 11–12 June 2018; Springer: Berlin/Heidelberg, Germany, 2018; pp. 177–188. [Google Scholar]
- Mossad, O.S.; ElNainay, M.; Torki, M. Deep convolutional neural network with multi-task learning scheme for modulations recognition. In Proceedings of the 2019 15th International Wireless Communications & Mobile Computing Conference (IWCMC), Tangier, Morocco, 24–28 June 2019. [Google Scholar]
- Rajendran, S.; Meert, W.; Giustiniano, D.; Lenders, V.; Pollin, S. Deep learning models for wireless signal classification with distributed low-cost spectrum sensors. IEEE Trans. Cogn. Commun. Netw. 2018, 4, 433–445. [Google Scholar]
- Tang, B.; Tu, Y.; Zhang, Z.; Lin, Y. Digital signal modulation classification with data augmentation using generative adversarial nets in cognitive radio networks. IEEE Access 2018, 6, 15713–15722. [Google Scholar] [CrossRef]
- Zhang, D.; Ding, W.; Zhang, B.; Xie, C.; Li, H.; Liu, C.; Han, J. Automatic modulation classification based on deep learning for unmanned aerial vehicles. Sensors 2018, 18, 924. [Google Scholar] [CrossRef]
- Peng, S.; Jiang, H.; Wang, H.; Alwageed, H.; Zhou, Y.; Sebdani, M.M.; Yao, Y.-D. Modulation classification based on signal constellation diagrams and deep learning. IEEE Trans. Neural Netw. Learn. Syst. 2018, 99, 718–727. [Google Scholar]
- Duan, S.; Chen, K.; Yu, X.; Qian, M. Automatic multicarrier waveform classification via pca and convolutional neural networks. IEEE Access 2018, 6, 51365–51373. [Google Scholar]
- Meng, F.; Chen, P.; Wu, L.; Wang, X. Automatic modulation classification: A deep learning enabled approach. IEEE Trans. Veh. Technol. 2018, 67, 10760–10772. [Google Scholar] [CrossRef]
- Wu, Y.; Li, X.; Fang, J. A deep learning approach for modulation recognition via exploiting temporal correlations. In Proceedings of the 2018 IEEE 19th International Workshop on Signal Processing Advances in Wireless Communications (SPAWC), Kalamata, Greece, 25–28 June 2018; pp. 1–5. [Google Scholar]
- Wu, H.; Wang, Q.; Zhou, L.; Meng, J. Vhf radio signal modulation classification based on convolution neural networks. In Proceedings of the Matec Web of Conferences, EDP Sciences, Lille, France, 8–10 October 2018; Volume 246, p. 03032. [Google Scholar]
- Zhang, M.; Zeng, Y.; Han, Z.; Gong, Y. Automatic modulation recognition using deep learning architectures. In Proceedings of the 2018 IEEE 19th International Workshop on Signal Processing Advances in Wireless Communications (SPAWC), Kalamata, Greece, 25–28 June 2018; pp. 1–5. [Google Scholar]
- Li, M.; Li, O.; Liu, G.; Zhang, C. Generative adversarial networks-based semi-supervised automatic modulation recognition for cognitive radio networks. Sensors 2018, 18, 3913. [Google Scholar] [CrossRef]
- Li, M.; Liu, G.; Li, S.; Wu, Y. Radio classify generative adversarial networks: A semi-supervised method for modulation recognition. In Proceedings of the 2018 IEEE 18th International Conference on Communication Technology (ICCT), Chongqing, China, 8–11 October 2018; pp. 669–672. [Google Scholar]
- Yashashwi, K.; Sethi, A.; Chaporkar, P. A learnable distortion correction module for modulation recognition. IEEE Wirel. Commun. Lett. 2019, 8, 77–80. [Google Scholar] [CrossRef]
- Sadeghi, M.; Larsson, E.G. Adversarial attacks on deep-learning based radio signal classification. IEee Wirel. Commun. Lett. 2019, 8, 213–216. [Google Scholar] [CrossRef]
- Ramjee, S.; Ju, S.; Yang, D.; Liu, X.; Gamal, A.E.; Eldar, Y.C. Fast deep learning for automatic modulation classification. arXiv 2019, arXiv:1901.05850. [Google Scholar]
- Zhang, H.; Huang, M.; Yang, J.; Sun, W. A data preprocessing method for automatic modulation classification based on cnn. IEEE Commun. Lett. 2020. [Google Scholar] [CrossRef]
- Teng, C.-F.; Chou, C.-Y.; Chen, C.-H.; Wu, A.-Y. Accumulated polar feature based deep learning with channel compensation mechanism for efficient automatic modulation classification under time varying channels. arXiv 2020, arXiv:2001.01395. [Google Scholar]
- Yao, T.; Chai, Y.; Wang, S.; Miao, X.; Bu, X. Radio signal automatic modulation classification based on deep learning and expert features. In Proceedings of the 2020 IEEE 4th Information Technology, Networking, Electronic and Automation Control Conference (ITNEC), Moscow, Russia, 15–17 October 2020; Volume 1, pp. 1225–1230. [Google Scholar]
- Wang, Y.; Yang, J.; Liu, M.; Gui, G. Lightamc: Lightweight automatic modulation classification via deep learning and compressive sensing. IEEE Trans. Veh. Technol. 2020, 69, 3491–3495. [Google Scholar] [CrossRef]
- Al-Nuaimi, D.H.; Akbar, M.F.; Salman, L.B.; Abidin, I.S.Z.; Isa, N.A.M. Amc2n: Automatic modulation classification using feature clustering-based two-lane capsule networks. Electronics 2021, 10, 76. [Google Scholar]
- Hermawan, A.P.; Ginanjar, R.R.; Kim, D.-S.; Lee, J.-M. Cnn-based automatic modulation classification for beyond 5g communications. IEEE Commun. Lett. 2020, 24, 1038–1041. [Google Scholar] [CrossRef]
- O’Shea, T.J.; Roy, T.; Erpek, T. Spectral detection and localization of radio events with learned convolutional neural features. In Proceedings of the 2017 25th European Signal Processing Conference (EUSIPCO), Kos Island, Greece, 28 August–2 September 2017; pp. 331–335. [Google Scholar]
- Bitar, N.; Muhammad, S.; Refai, H.H. Wireless technology identification using deep convolutional neural networks. In Proceedings of the 2017 IEEE 28th Annual International Symposium on Personal, Indoor, and Mobile Radio Communications (PIMRC), Montreal, QC, Canada, 8–13 October 2017; pp. 1–6. [Google Scholar]
- Schmidt, M.; Block, D.; Meier, U. Wireless interference identification with convolutional neural networks. arXiv 2017, arXiv:1703.00737. [Google Scholar]
- Han, D.; Sobabe, G.C.; Zhang, C.; Bai, X.; Wang, Z.; Liu, S.; Guo, B. Spectrum sensing for cognitive radio based on convolution neural network. In Proceedings of the 2017 10th International Congress on Image and Signal Processing, BioMedical Engineering and Informatics (CISP-BMEI), Shanghai, China, 14–16 October 2017; pp. 1–6. [Google Scholar]
- Grunau, S.; Block, D.; Meier, U. Multi-label wireless interference classification with convolutional neural networks. In Proceedings of the 2018 IEEE 16th International Conference on Industrial Informatics (INDIN), Porto, Portugal, 18–20 July 2018; pp. 187–192. [Google Scholar]
- Sun, H.; Chen, X.; Shi, Q.; Hong, M.; Fu, X.; Sidiropoulos, N.D. Learning to optimize: Training deep neural networks for interference management. IEEE Trans. Signal Process. 2018, 66, 5438–5453. [Google Scholar]
- Yi, S.; Wang, H.; Xue, W.; Fan, X.; Wang, L.; Tian, J.; Matsukura, R. Interference source identification for ieee 802.15. 4 wireless sensor networks using deep learning. In Proceedings of the 2018 IEEE 29th Annual International Symposium on Personal, Indoor and Mobile Radio Communications (PIMRC), Bologna, Italy, 9–12 September 2018; pp. 1–7. [Google Scholar]
- Maglogiannis, V.; Shahid, A.; Naudts, D.; Poorter, E.D.; Moerman, I. Enhancing the coexistence of lte and wi-fi in unlicensed spectrum through convolutional neural networks. IEEE Access 2019, 7, 28464–28477. [Google Scholar] [CrossRef]
- Soto, D.D.Z.; Parra, O.J.S.; Sarmiento, D.A.L. Detection of the primary user’s behavior for the intervention of the secondary user using machine learning. In Proceedings of the International Conference on Future Data and Security Engineering, Ho Chi Minh City, Vietnam, 28–30 November 2018; Springer: Berlin/Heidelberg, Germany, 2018; pp. 200–213. [Google Scholar]
- Lee, W. Resource allocation for multi-channel underlay cognitive radio network based on deep neural network. IEEE Commun. Lett. 2018, 22, 1942–1945. [Google Scholar] [CrossRef]
- Awe, O.P.; Deligiannis, A.; Lambotharan, S. Spatio-temporal spectrum sensing in cognitive radio networks using beamformer-aided svm algorithms. IEEE Access 2018, 6, 25377–25388. [Google Scholar] [CrossRef]
- Lee, W.; Kim, M.; Cho, D.-H. Deep cooperative sensing: Cooperative spectrum sensing based on convolutional neural networks. IEEE Trans. Veh. Technol. 2019, 68, 3005–3009. [Google Scholar] [CrossRef]
- Fontaine, J.; Fonseca, E.; Shahid, A.; Kist, M.; DaSilva, L.A.; Moerman, I.; Poorter, E.D. Towards low-complexity wireless technology classification across multiple environments. Hoc Netw. 2019, 91, 101881. [Google Scholar] [CrossRef]
- Soto, P.; Camelo, M.; Fontaine, J.; Girmay, M.; Shahid, A.; Maglogiannis, V.; Poorter, E.D.; Moerman, I.; Botero, J.F.; Latré, S. Augmented wi-fi: An ai-based wi-fi management framework for wi-fi/lte coexistence. In Proceedings of the 2020 16th International Conference on Network and Service Management (CNSM), Izmir, Turkey, 2–6 November 2020; pp. 1–9. [Google Scholar]
- Fontaine, J.; Shahid, A.; Elsas, R.; Seferagic, A.; Moerman, I.; Poorter, E.D. Multi-band sub-ghz technology recognition on nvidia’s jetson nano. In Proceedings of the IEEE Vehicular Technology Conference VTC-Fall2020, Honolulu, HI, USA, 18 November–16 December 2020; pp. 1–7. [Google Scholar]
- Camelo, M.; Mennes, R.; Shahid, A.; Struye, J.; Donato, C.; Jabandzic, I.; Giannoulis, S.; Mahfoudhi, F.; Maddala, P.; Seskar, I.; et al. An ai-based incumbent protection system for collaborative intelligent radio networks. IEEE Wirel. Commun. 2020, 27, 16–23. [Google Scholar] [CrossRef]
- Yang, B.; Cao, X.; Omotere, O.; Li, X.; Han, Z.; Qian, L. Improving medium access efficiency with intelligent spectrum learning. IEEE Access 2020, 8, 94484–94498. [Google Scholar] [CrossRef]
- Yang, Z.; Yao, Y.-D.; Chen, S.; He, H.; Zheng, D. Mac protocol classification in a cognitive radio network. In Proceedings of the The 19th Annual Wireless and Optical Communications Conference (WOCC 2010), Shanghai, China, 14–15 May 2010; pp. 1–5. [Google Scholar]
- Hu, S.; Yao, Y.-D.; Yang, Z. Mac protocol identification approach for implement smart cognitive radio. In Proceedings of the 2012 IEEE International Conference on Communications (ICC), Ottawa, ON, Canada, 10–15 June 2012; pp. 5608–5612. [Google Scholar]
- Hu, S.; Yao, Y.-D.; Yang, Z. Mac protocol identification using support vector machines for cognitive radio networks. IEEE Wirel. Commun. 2014, 21, 52–60. [Google Scholar] [CrossRef]
- Rajab, S.A.; Balid, W.; Kalaa, M.O.A.; Refai, H.H. Energy detection and machine learning for the identification of wireless mac technologies. In Proceedings of the 2015 International Wireless Communications and Mobile Computing Conference (IWCMC), Dubrovnik, Croatia, 24–28 August 2015; pp. 1440–1446. [Google Scholar]
- Zhou, Y.; Peng, S.; Yao, Y. Mac protocol identification using convolutional neural networks. In Proceedings of the 2020 29th Wireless and Optical Communications Conference (WOCC), Newark, NJ, USA, 1–2 May 2020; pp. 1–4. [Google Scholar]
- Zhang, X.; Shen, W.; Xu, J.; Liu, Z.; Ding, G. A mac protocol identification approach based on convolutional neural network. In Proceedings of the 2020 International Conference on Wireless Communications and Signal Processing (WCSP), Nanjing, China, 21–23 October 2020; pp. 534–539. [Google Scholar]
- Rayanchu, S.; Patro, A.; Banerjee, S. Airshark: Detecting non-wifi rf devices using commodity wifi hardware. In Proceedings of the 2011 ACM Sigcomm Conference on Internet Measurement Conference, Miami Beach, FL, USA, 27–29 October 2011; pp. 137–154. [Google Scholar]
- Hermans, F.; Rensfelt, O.; Voigt, T.; Ngai, E.; Norden, L.-A.; Gunningberg, P. Sonic: Classifying interference in 802.15. 4 sensor networks. In Proceedings of the 12th International Conference on Information Processing in Sensor Networks, Philadelphia, PA, USA, 12–16 April 2013; pp. 55–66. [Google Scholar]
- Zheng, X.; Cao, Z.; Wang, J.; He, Y.; Liu, Y. Zisense: Towards interference resilient duty cycling in wireless sensor networks. In Proceedings of the 12th ACM Conference on Embedded Network Sensor Systems, Memphis, TN, USA, 3–6 November 2014; pp. 119–133. [Google Scholar]
- Hithnawi, A.; Shafagh, H.; Duquennoy, S. Tiim: Technology-independent interference mitigation for low-power wireless networks. In Proceedings of the Proceedings of the 14th International Conference on Information Processing in Sensor Networks, Seattle, WA, USA, 14–16 April 2015; pp. 1–12. [Google Scholar]
- Mennes, R.; Camelo, M.; Claeys, M.; Latre, S. A neural-network-based mf-tdma mac scheduler for collaborative wireless networks. In Proceedings of the 2018 IEEE Wireless Communications and Networking Conference (WCNC), Sydney, Australia, 18–21 May 2018; pp. 1–6. [Google Scholar]
- Wang, S.; Liu, H.; Gomes, P.H.; Krishnamachari, B. Deep reinforcement learning for dynamic multichannel access in wireless networks. IEEE Trans. Cogn. Commun. Netw. 2018, 4, 257–265. [Google Scholar] [CrossRef]
- Xu, S.; Liu, P.; Wang, R.; Panwar, S.S. Realtime scheduling and power allocation using deep neural networks. arXiv 2018, arXiv:1811.07416. [Google Scholar]
- Yu, Y.; Wang, T.; Liew, S.C. Deep-reinforcement learning multiple access for heterogeneous wireless networks. IEEE J. Sel. Areas Commun. 2019, 37, 1277–1290. [Google Scholar] [CrossRef]
- Zhang, Y.; Hou, J.; Towhidlou, V.; Shikh-Bahaei, M. A neural network prediction based adaptive mode selection scheme in full-duplex cognitive networks. IEEE Trans. Cogn. Commun. Netw. 2019, 5, 540–553. [Google Scholar] [CrossRef]
- Mennes, R.; Claeys, M.; Figueiredo, F.A.D.; Jabandžić, I.; Moerman, I.; Latré, S. Deep learning-based spectrum prediction collision avoidance for hybrid wireless environments. IEEE Access 2019, 7, 45818–45830. [Google Scholar] [CrossRef]
- Liu, T.; Cerpa, A.E. Talent: Temporal adaptive link estimator with no training. In Proceedings of the 10th ACM Conference on Embedded Network Sensor Systems, Toronto, ON, Canada, 6–9 November 2012; pp. 253–266. [Google Scholar]
- Adeel, A.; Larijani, H.; Javed, A.; Ahmadinia, A. Critical analysis of learning algorithms in random neural network based cognitive engine for lte systems. In Proceedings of the 2015 IEEE 81st Vehicular Technology Conference (VTC Spring), Glasgow, UK, 11–14 May 2015; pp. 1–5. [Google Scholar]
- Pierucci, L.; Micheli, D. A neural network for quality of experience estimation in mobile communications. IEEE Multimed. 2016, 23, 42–49. [Google Scholar] [CrossRef]
- Qiao, M.; Zhao, H.; Wang, S.; Wei, J. Mac protocol selection based on machine learning in cognitive radio networks. In Proceedings of the 2016 19th International Symposium on Wireless Personal Multimedia Communications (WPMC), Shenzhen, China, 14–16 November 2016; pp. 453–458. [Google Scholar]
- Kulin, M.; Poorter, E.D.; Kazaz, T.; Moerman, I. Poster: Towards a cognitive mac layer: Predicting the mac-level performance in dynamic wsn using machine learning. In Proceedings of the 2017 International Conference on Embedded Wireless Systems and Networks, Uppsala, Sweden, 20–22 February 2017; pp. 214–215. [Google Scholar]
- Akbas, A.; Yildiz, H.U.; Ozbayoglu, A.M.; Tavli, B. Neural network based instant parameter prediction for wireless sensor network optimization models. Wirel. Netw. 2018, 25, 3405–3418. [Google Scholar] [CrossRef]
- Al-Kaseem, B.R.; Al-Raweshidy, H.S.; Al-Dunainawi, Y.; Banitsas, K. A new intelligent approach for optimizing 6lowpan mac layer parameters. IEEE Access 2017, 5, 16229–16240. [Google Scholar]
- Raca, D.; Zahran, A.H.; Sreenan, C.J.; Sinha, R.K.; Halepovic, E.; Jana, R.; Gopalakrishnan, V. On leveraging machine and deep learning for throughput prediction in cellular networks: Design, performance, and challenges. IEEE Commun. Mag. 2020, 58, 11–17. [Google Scholar] [CrossRef]
- Rathore, M.M.; Ahmad, A.; Paul, A.; Jeon, G. Efficient graph-oriented smart transportation using internet of things generated big data. In Proceedings of the 2015 11th International Conference on Signal-Image Technology & Internet-Based Systems (SITIS), Bangkok, Thailand, 23–27 November 2015; pp. 512–519. [Google Scholar]
- Amato, G.; Carrara, F.; Falchi, F.; Gennaro, C.; Meghini, C.; Vairo, C. Deep learning for decentralized parking lot occupancy detection. Expert Syst. Appl. 2017, 72, 327–334. [Google Scholar] [CrossRef]
- Mittal, G.; Yagnik, K.B.; Garg, M.; Krishnan, N.C. Spotgarbage: Smartphone app to detect garbage using deep learning. In Proceedings of the 2016 ACM International Joint Conference on Pervasive and Ubiquitous Computing, Heidelberg, Germany, 12–16 September 2016; pp. 940–945. [Google Scholar]
- Gillis, J.M.; Alshareef, S.M.; Morsi, W.G. Nonintrusive load monitoring using wavelet design and machine learning. IEEE Trans. Smart Grid 2016, 7, 320–328. [Google Scholar] [CrossRef]
- Lv, J.; Yang, W.; Man, D. Device-free passive identity identification via wifi signals. Sensors 2017, 17, 2520. [Google Scholar] [CrossRef] [PubMed]
- Jafari, H.; Omotere, O.; Adesina, D.; Wu, H.-H.; Qian, L. Iot devices fingerprinting using deep learning. In Proceedings of the MILCOM 2018-2018 IEEE Military Communications Conference (MILCOM), Los Angeles, CA, USA, 29–31 October 2018; pp. 1–9. [Google Scholar]
- Merchant, K.; Revay, S.; Stantchev, G.; Nousain, B. Deep learning for rf device fingerprinting in cognitive communication networks. IEEE J. Sel. Top. Signal Process. 2018, 12, 160–167. [Google Scholar] [CrossRef]
- Thing, V.L. IEEE 802.11 network anomaly detection and attack classification: A deep learning approach. In Proceedings of the 2017 IEEE Wireless Communications and Networking Conference (WCNC), San Francisco, CA, USA, 19–22 March 2017; pp. 1–6. [Google Scholar]
- Uluagac, A.S.; Radhakrishnan, S.V.; Corbett, C.; Baca, A.; Beyah, R. A passive technique for fingerprinting wireless devices with wired-side observations. In Proceedings of the in: 2013 IEEE Conference on Communications and Network Security (CNS), Washington, DC, USA, 14–16 October 2013; pp. 305–313. [Google Scholar]
- Bezawada, B.; Bachani, M.; Peterson, J.; Shirazi, H.; Ray, I. Behavioral fingerprinting of iot devices. In Proceedings of the 2018 Workshop on Attacks and Solutions in Hardware Security, Cambridge, UK, 22–23 March 2018; pp. 41–50. [Google Scholar]
- Riyaz, S.; Sankhe, K.; Ioannidis, S.; Chowdhury, K. Deep learning convolutional neural networks for radio identification. IEEE Commun. Mag. 2018, 56, 46–152. [Google Scholar]
- Wang, X.; Gao, L.; Mao, S. Phasefi: Phase fingerprinting for indoor localization with a deep learning approach. In Proceedings of the 2015 IEEE Global Communications Conference (GLOBECOM), San Diego, CA, USA, 6–10 December 2015; pp. 1–6. [Google Scholar]
- Wang, X.; Gao, L.; Mao, S. Csi phase fingerprinting for indoor localization with a deep learning approach. IEEE Internet Things J. 2016, 3, 1113–1123. [Google Scholar] [CrossRef]
- Wang, X.; Gao, L.; Mao, S.; Pandey, S. Csi-based fingerprinting for indoor localization: A deep learning approach. IEEE Trans. Veh. Technol. 2017, 66, 763–776. [Google Scholar]
- Wang, X.; Gao, L.; Mao, S.; Pandey, S. Deepfi: Deep learning for indoor fingerprinting using channel state information. In Proceedings of the 2015 IEEE Wireless Communications and Networking Conference (WCNC), New Orleans, LA, USA, 9–12 March 2015; pp. 1666–1671. [Google Scholar]
- Wang, J.; Zhang, X.; Gao, Q.; Yue, H.; Wang, H. Device-free wireless localization and activity recognition: A deep learning approach. IEEE Trans. Veh. Technol. 2017, 66, 6258–6267. [Google Scholar] [CrossRef]
- Zhang, W.; Liu, K.; Zhang, W.; Zhang, Y.; Gu, J. Deep neural networks for wireless localization in indoor and outdoor environments. Neurocomputing 2016, 194, 279–287. [Google Scholar] [CrossRef]
- Zeng, Y.; Pathak, P.H.; Mohapatra, P. Wiwho: Wifi-based person identification in smart spaces. In Proceedings of the 15th International Conference on Information Processing in Sensor Networks, Vienna, Austria, 11–14 April 2016; p. 4. [Google Scholar]
- Zhao, M.; Li, T.; Alsheikh, M.A.; Tian, Y.; Zhao, H.; Torralba, A.; Katabi, D. Through-wall human pose estimation using radio signals. In Proceedings of the IEEE Conference on Computer Vision and Pattern Recognition, Salt Lake City, UT, USA, 18–22 June 2018; pp. 7356–7365. [Google Scholar]
- Lv, J.; Man, D.; Yang, W.; Gong, L.; Du, X.; Yu, M. Robust device-free intrusion detection using physical layer information of wifi signals. Appl. Sci. 2019, 9, 175. [Google Scholar] [CrossRef]
- Shahzad, M.; Zhang, S. Augmenting user identification with wifi based gesture recognition. Proc. ACM Interact. Mob. Wearable Ubiquitous Technol. 2018, 2, 134. [Google Scholar]
- Wang, W.; Liu, A.X.; Shahzad, M.; Ling, K.; Lu, S. Understanding and modeling of wifi signal based human activity recognition. In Proceedings of the 21st Annual International Conference on Mobile Computing and Networking, Paris, France, 7–11 September 2015; pp. 65–76. [Google Scholar]
- Ozdemir, O.; Li, R.; Varshney, P.K. Hybrid maximum likelihood modulation classification using multiple radios. IEEE Commun. Lett. 2013, 17, 1889–1892. [Google Scholar] [CrossRef]
- Ozdemir, O.; Wimalajeewa, T.; Dulek, B.; Varshney, P.K.; Su, W. Asynchronous linear modulation classification with multiple sensors via generalized em algorithm. IEEE Trans. Wirel. Commun. 2015, 14, 6389–6400. [Google Scholar] [CrossRef]
- Wimalajeewa, T.; Jagannath, J.; Varshney, P.K.; Drozd, A.; Su, W. Distributed asynchronous modulation classification based on hybrid maximum likelihood approach. In Proceedings of the MILCOM 2015-2015 IEEE Military Communications Conference, Tampa, FL, USA, 26–28 October 2015; pp. 1519–1523. [Google Scholar]
- Azzouz, E.; Nandi, A.K. Automatic Modulation Recognition of Communication Signals; Springer Science & Business Media: Berlin/Heidelberg, Germany, 2013. [Google Scholar]
- Alharbi, H.; Mobien, S.; Alshebeili, S.; Alturki, F. Automatic modulation classification of digital modulations in presence of hf noise. EURASIP J. Adv. Signal Process. 2012, 2012, 238. [Google Scholar] [CrossRef]
- Chepuri, S.P.; Francisco, R.D.; Leus, G. Performance evaluation of an IEEE 802.15. 4 cognitive radio link in the 2360–2400 mhz band. In Proceedings of the 2011 IEEE Wireless Communications and Networking Conference, Cancun, Mexico, 28–31 March 2011; pp. 2155–2160. [Google Scholar]
- Dobre, O.A.; Abdi, A.; Bar-Ness, Y.; Su, W. Survey of automatic modulation classification techniques: Classical approaches and new trends. IET Commun. 2007, 1, 137–156. [Google Scholar] [CrossRef]
- Kulin, M.; Kazaz, T.; Moerman, I.; Poorter, E.D. End-to-end learning from spectrum data: A deep learning approach for wireless signal identification in spectrum monitoring applications. IEEE Access 2018, 6, 18484–18501. [Google Scholar] [CrossRef]
- Selim, A.; Paisana, F.; Arokkiam, J.A.; Zhang, Y.; Doyle, L.; DaSilva, L.A. Spectrum monitoring for radar bands using deep convolutional neural networks. arXiv 2017, arXiv:1705.00462. [Google Scholar]
- Akyildiz, I.F.; Lee, W.-Y.; Vuran, M.C.; Mohanty, S. A survey on spectrum management in cognitive radio networks. IEEE Commun. Mag. 2008, 46, 40–48. [Google Scholar] [CrossRef]
- Ghasemzadeh, P.; Banerjee, S.; Hempel, M.; Sharif, H. Performance evaluation of feature-based automatic modulation classification. In Proceedings of the 2018 12th International Conference on Signal Processing and Communication Systems (ICSPCS), Cairns, Australia, 17–19 December 2018; pp. 1–5. [Google Scholar]
- Hu, S.; Pei, Y.; Liang, P.P.; Liang, Y.-C. Robust modulation classification under uncertain noise condition using recurrent neural network. In Proceedings of the 2018 IEEE Global Communications Conference (GLOBECOM), Abu Dhabi, UAE, 9–13 December 2018; pp. 1–7. [Google Scholar]
- Zhang, X.; Seyfi, T.; Ju, S.; Ramjee, S.; Gamal, A.E.; Eldar, Y.C. Deep learning for interference identification: Band, training snr, and sample selection. arXiv 2019, arXiv:1905.08054. [Google Scholar]
- Shahid, A.; Fontaine, J.; Camelo, M.; Haxhibeqiri, J.; Saelens, M.; Khan, Z.; Moerman, I.; Poorter, E.D. A convolutional neural network approach for classification of lpwan technologies: Sigfox, lora and ieee 802.15. 4g. In Proceedings of the 2019 16th Annual IEEE International Conference on Sensing, Communication, and Networking (SECON), Boston, MA, USA, 10–13 June 2019; pp. 1–8. [Google Scholar]
- Tekbiyik, K.; Akbunar, I.A.R.E.; In, A.G.; Kurt, G.K. Multi–dimensional wireless signal identification based on support vector machines. IEEE Access 2019, 7, 138890–138903. [Google Scholar] [CrossRef]
- Isolani, P.H.; Claeys, M.; Donato, C.; Granville, L.Z.; Latré, S. A survey on the programmability of wireless mac protocols. IEEE Commun. Surv. Tutor. 2018, 21, 1064–1092. [Google Scholar] [CrossRef]
- Cordeiro, C.; Challapali, K. C-mac: A cognitive mac protocol for multi-channel wireless networks. In Proceedings of the 2007 2nd IEEE International Symposium on New Frontiers in Dynamic Spectrum Access Networks, Dublin, Ireland, 17–20 April 2007; pp. 147–157. [Google Scholar]
- Hadded, M.; Muhlethaler, P.; Laouiti, A.; Zagrouba, R.; Saidane, L.A. Tdma-based mac protocols for vehicular ad hoc networks: A survey, qualitative analysis, and open research issues. IEEE Commun. Surv. Tutor. 2015, 17, 2461–2492. [Google Scholar] [CrossRef]
- Lien, S.-Y.; Tseng, C.-C.; Chen, K.-C. Carrier sensing based multiple access protocols for cognitive radio networks. In Proceedings of the 2008 IEEE International Conference on Communications, Honolulu, HI, USA, 25–27 May 2008; pp. 3208–3214. [Google Scholar]
- Jain, N.; Das, S.R.; Nasipuri, A. A multichannel csma mac protocol with receiver-based channel selection for multihop wireless networks. In Proceedings of the Tenth International Conference on Computer Communications and Networks (Cat. No. 01EX495), Scottsdale, Arizona, 15–17 October 2001; pp. 432–439. [Google Scholar]
- Muqattash, A.; Krunz, M. Cdma-based mac protocol for wireless ad hoc networks. In Proceedings of the 4th ACM International Symposium on Mobile AD Hoc Networking & Computing, Annapolis, MD, USA, 1–3 June 2003; pp. 153–164. [Google Scholar]
- Kumar, S.; Raghavan, V.S.; Deng, J. Medium access control protocols for ad hoc wireless networks: A survey. Ad Hoc Netw. 2006, 4, 326–358. [Google Scholar] [CrossRef]
- Sitanayah, L.; Sreenan, C.J.; Brown, K.N. Er-mac: A hybrid mac protocol for emergency response wireless sensor networks. In Proceedings of the 2010 Fourth International Conference on Sensor Technologies and Applications, Venice, Italy, 18–25 July 2010; pp. 244–249. [Google Scholar]
- Su, H.; Zhang, X. Opportunistic mac protocols for cognitive radio based wireless networks. In Proceedings of the 2007 41st Annual Conference on Information Sciences and Systems, Baltimore, MD, USA, 14–16 March 2007; pp. 363–368. [Google Scholar]
- Keerthi, S.S.; Shevade, S.K.; Bhattacharyya, C.; Murthy, K.R.K. Improvements to platt’s smo algorithm for svm classifier design. Neural Comput. 2001, 13, 637–649. [Google Scholar] [CrossRef]
- Wang, H.; Xu, F.; Li, Y.; Zhang, P.; Jin, D. Understanding mobile traffic patterns of large scale cellular towers in urban environment. In Proceedings of the 2015 Internet Measurement Conference, Tokyo, Japan, 28–30 October 2015; pp. 225–238. [Google Scholar]
- Hu, J.; Heng, W.; Zhang, G.; Meng, C. Base station sleeping mechanism based on traffic prediction in heterogeneous networks. In Proceedings of the 2015 International Telecommunication Networks and Applications Conference (ITNAC), Sydney, Australia, 18–20 November 2015; pp. 83–87. [Google Scholar]
- Zang, Y.; Ni, F.; Feng, Z.; Cui, S.; Ding, Z. Wavelet transform processing for cellular traffic prediction in machine learning networks. In Proceedings of the 2015 IEEE China Summit and International Conference on Signal and Information Processing (ChinaSIP), Chengdu, China, 12–15 July 2015; pp. 458–462. [Google Scholar]
- Xu, F.; Lin, Y.; Huang, J.; Wu, D.; Shi, H.; Song, J.; Li, Y. Big data driven mobile traffic understanding and forecasting: A time series approach. IEEE Trans. Serv. Comput. 2016, 9, 796–805. [Google Scholar] [CrossRef]
- Nikravesh, A.Y.; Ajila, S.A.; Lung, C.-H.; Ding, W. Mobile network traffic prediction using mlp, mlpwd, and svm. In Proceedings of the 2016 IEEE International Congress on Big Data (BigData Congress), San Francisco, CA, USA, 27 June–2 July 2016; pp. 402–409. [Google Scholar]
- Wang, J.; Tang, J.; Xu, Z.; Wang, Y.; Xue, G.; Zhang, X.; Yang, D. Spatiotemporal modeling and prediction in cellular networks: A big data enabled deep learning approach. In Proceedings of the IEEE INFOCOM 2017-IEEE Conference on Computer Communications, Atlanta, GA, USA, 1–4 May 2017; pp. 1–9. [Google Scholar]
- Huang, C.-W.; Chiang, C.-T.; Li, Q. A study of deep learning networks on mobile traffic forecasting. In Proceedings of the 2017 IEEE 28th Annual International Symposium on Personal, Indoor, and Mobile Radio Communications (PIMRC), Montreal, QC, Canada, 8–13 October 2017; pp. 1–6. [Google Scholar]
- Zhang, C.; Patras, P. Long-term mobile traffic forecasting using deep spatio-temporal neural networks. In Proceedings of the Eighteenth ACM International Symposium on Mobile Ad Hoc Networking and Computing, Los Angeles, CA, USA, 26 June 2018; pp. 231–240. [Google Scholar]
- Wang, X.; Zhou, Z.; Xiao, F.; Xing, K.; Yang, Z.; Liu, Y.; Peng, C. Spatio-temporal analysis and prediction of cellular traffic in metropolis. IEEE Trans. Mob. Comput. 2018, 18, 2190–2202. [Google Scholar] [CrossRef]
- Alawe, I.; Ksentini, A.; Hadjadj-Aoul, Y.; Bertin, P. Improving traffic forecasting for 5g core network scalability: A machine learning approach. IEEE Netw. 2018, 32, 42–49. [Google Scholar] [CrossRef]
- Zhang, C.; Zhang, H.; Yuan, D.; Zhang, M. Citywide cellular traffic prediction based on densely connected convolutional neural networks. IEEE Commun. Lett. 2018, 22, 1656–1659. [Google Scholar] [CrossRef]
- Feng, J.; Chen, X.; Gao, R.; Zeng, M.; Li, Y. Deeptp: An end-to-end neural network for mobile cellular traffic prediction. IEEE Netw. 2018, 32, 108–115. [Google Scholar] [CrossRef]
- Yamada, Y.; Shinkuma, R.; Sato, T.; Oki, E. Feature-selection based data prioritization in mobile traffic prediction using machine learning. In Proceedings of the 2018 IEEE Global Communications Conference (GLOBECOM), Abu Dhabi, UAE, 9–13 December 2018; pp. 1–6. [Google Scholar]
- Hua, Y.; Zhao, Z.; Liu, Z.; Chen, X.; Li, R.; Zhang, H. Traffic prediction based on random connectivity in deep learning with long short-term memory. In Proceedings of the 2018 IEEE 88th Vehicular Technology Conference (VTC-Fall), Porto, Portugal, 3–6 June 2019; pp. 1–6. [Google Scholar]
- Fang, L.; Cheng, X.; Wang, H.; Yang, L. Idle time window prediction in cellular networks with deep spatiotemporal modeling. IEEE J. Sel. Areas Commun. 2019, 37, 1441–1454. [Google Scholar]
- Zhang, H.; Liu, N.; Chu, X.; Long, K.; Aghvami, A.-H.; Leung, V.C. Network slicing based 5g and future mobile networks: Mobility, resource management, and challenges. IEEE Commun. Mag. 2017, 55, 138–145. [Google Scholar]
- Iqbal, M.H.; Soomro, T.R. Big data analysis: Apache storm perspective. Int. J. Comput. Trends Technol. 2015, 19, 9–14. [Google Scholar] [CrossRef]
- Zaharia, M.; Xin, R.S.; Wendell, P.; Das, T.; Armbrust, M.; Dave, A.; Meng, X.; Rosen, J.; Venkataraman, S.; Franklin, M.J.; et al. Apache spark: A unified engine for big data processing. Commun. ACM 2016, 59, 56–65. [Google Scholar] [CrossRef]
- Ranjan, R. Streaming big data processing in datacenter clouds. IEEE Cloud Comput. 2014, 1, 78–83. [Google Scholar] [CrossRef]
- Dittrich, J.; Quiané-Ruiz, J.-A. Efficient big data processing in hadoop mapreduce. Proc. VLDB Endow. 2012, 5, 2014–2015. [Google Scholar] [CrossRef]
- Mahdavinejad, M.S.; Rezvan, M.; Barekatain, M.; Adibi, P.; Barnaghi, P.; Sheth, A.P. Machine learning for internet of things data analysis: A survey. Digit. Commun. Netw. 2018, 4, 161–175. [Google Scholar] [CrossRef]
- O’shea, T.J.; West, N. Radio machine learning dataset generation with gnu radio. In Proceedings of the GNU Radio Conference, Boulder, CO, USA, 12–16 September 2016; Volume 1. [Google Scholar]
- Rajendran, S.; Calvo-Palomino, R.; Fuchs, M.; den Bergh, B.V.; Cordobés, H.; Giustiniano, D.; Pollin, S.; Lenders, V. Electrosense: Open and big spectrum data. IEEE Commun. Mag. 2018, 56, 210–217. [Google Scholar] [CrossRef]
- Lane, N.D.; Bhattacharya, S.; Mathur, A.; Georgiev, P.; Forlivesi, C.; Kawsar, F. Squeezing deep learning into mobile and embedded devices. IEEE Pervasive Comput. 2017, 16, 82–88. [Google Scholar] [CrossRef]
- Han, S.; Kang, J.; Mao, H.; Hu, Y.; Li, X.; Li, Y.; Xie, D.; Luo, H.; Yao, S.; Wang, Y.; et al. Ese: Efficient speech recognition engine with sparse lstm on fpga. In Proceedings of the 2017 ACM/SIGDA International Symposium on Field-Programmable Gate Arrays, Monterey, CA, USA, 22–24 February 2017; pp. 75–84. [Google Scholar]
- McDanel, B.; Teerapittayanon, S.; Kung, H. Embedded binarized neural networks. arXiv 2017, arXiv:1709.02260. [Google Scholar]
- Kreutz, D.; Ramos, F.M.; Verissimo, P.E.; Rothenberg, C.E.; Azodolmolky, S.; Uhlig, S. Software-defined networking: A comprehensive survey. Proc. IEEE 2014, 103, 14–76. [Google Scholar] [CrossRef]
- Xie, J.; Yu, F.R.; Huang, T.; Xie, R.; Liu, J.; Wang, C.; Liu, Y. A survey of machine learning techniques applied to software defined networking (sdn): Research issues and challenges. IEEE Commun. Surv. Tutor. 2018, 21, 393–430. [Google Scholar] [CrossRef]
- Baştuğ, E.; Bennis, M.; Debbah, M. A transfer learning approach for cache-enabled wireless networks. In Proceedings of the 2015 13th International Symposium on Modeling and Optimization in Mobile, Ad Hoc, and Wireless Networks (WiOpt), Mumbai, India, 25–29 May 2015; pp. 161–166. [Google Scholar]
- Yang, K.; Ren, J.; Zhu, Y.; Zhang, W. Active learning for wireless iot intrusion detection. IEEE Wirel. Commun. 2018, 25, 19–25. [Google Scholar] [CrossRef]
- O’Shea, T.J.; Corgan, J.; Clancy, T.C. Unsupervised representation learning of structured radio communication signals. In Proceedings of the 2016 First International Workshop on Sensing, Processing and Learning for Intelligent Machines (SPLINE), Aalborg, Denmark, 6–8 July 2016; pp. 1–5. [Google Scholar]
















| Paper | Tutorial on ML | Wireless Network | Application Area | ML Paradigms | Year |
|---|---|---|---|---|---|
| [10] | ✓ | CRN | Decision-making and feature classification in CRN | Supervised, unsupervised and reinforcement learning | 2012 |
| [11] | ✓ | Localization, security, event detection, routing, data aggregation, MAC | WSN | Supervised, unsupervised and reinforcement learning | 2014 |
| [12] | +− | HetNets | Self-configuration, self-healing, and self-optimization | AI-based techniques | 2015 |
| [13] | +− | CRN, WSN, Cellular and Mobile ad-hoc networks | Security, localization, routing, load balancing | NN | 2016 |
| [14] | IoT | Big data analytics, event detection, data aggregation, etc. | Supervised, unsupervised and reinforcement learning | 2016 | |
| [15] | ✓ | Cellular networks | Self-configuration, self-healing, and self-optimization | Supervised, unsupervised and reinforcement learning | 2017 |
| [16] | +− | CRN | Spectrum sensing and access | Supervised, unsupervised and reinforcement learning | 2018 |
| [17] | +− | IoT, Cellular networks, WSN, CRN | Routing, resource allocation, security, signal detection, application identification, etc. | Deep learning | 2018 |
| [18] | +− | IoT | Big data and stream analytics | Deep learning | 2018 |
| [19] | ✓ | IoT, Mobile networks, CRN, UAV | Communication, virtual reality and edge caching | ANN | 2019 |
| [20] | +− | CRN | Signal Recognition | Deep learning | 2019 |
| [21] | +− | IoT | Smart cities | Supervised, unsupervised and deep learning | 2019 |
| [22] | +− | Communications and networking | Wireless caching, data offloading, network security, traffic routing, resource sharing, etc. | Reinforcement learning | 2019 |
| This | ✓ | IoT, WSN, cellular networks, CRN | Performance improvement of wireless networks | Supervised, unsupervised and Deep learning | 2020 |
| Goal | Scope/Area | Example of Problem | References |
|---|---|---|---|
| Performance Improvement | Radio spectrum analysis | • AMR | [74,129,130,131,132,133,134,135,136,137,138,139,140,141,142,143,144,145,146,147,148,149,150,151,152,153,154,155,156,157,158,159,160,161,162,163,164,165,166,167,168,169,170,171,172,173,174,175,176] |
| • Wireless interference identification | [128,169,177,178,179,180,181,182,183,184,185,186,187,188,189,190,191,192,193] | ||
| MAC analysis | • MAC identification | [194,195,196,197,198,199] | |
| • Wireless interference detection at packet level | [200,201,202,203] | ||
| • Spectrum prediction | [204,205,206,207,208,209] | ||
| Network prediction | • Network performance prediction | [30,81,112,210,211,212,213,214,215,216] | |
| • Network traffic prediction | [30,81,112,210,211,212,213,214,215,216,217] | ||
| Information processing | IoT Infrastructure monitoring | • Smart farming | |
| • Smart mobility | [4,5,6,7] | ||
| • Smart city | [218,219,220,221] | ||
| • Smart grid | |||
| Wireless security | Device fingerprinting | [222,223,224,225,226,227,228] | |
| Wireless localization | • Indoor | [229,230,231,232,233,234] | |
| • Outdoor | |||
| Activity recognition | Via wireless signals | [235,236,237,238,239] |
| Column Name | Description |
|---|---|
| Research Problem | The problem addressed in the work |
| Performance improvement | Performance improvement achieved in the work |
| Type of wireless network | The type of wireless networks considered in the work and/or for which the problem is solved |
| Data Type | Type of data used in the work, e.g., synthetic or real |
| Input Data | The data used as input for the developed machine learning algorithms |
| Learning Approach | Type of learning approach, e.g., traditional machine learning (ML) or deep learning (DL) |
| Learning Algorithm | List of learning algorithms used |
| Year | The year when the work was published |
| Reference | The reference to the analyzed work |
Publisher’s Note: MDPI stays neutral with regard to jurisdictional claims in published maps and institutional affiliations. |
© 2021 by the authors. Licensee MDPI, Basel, Switzerland. This article is an open access article distributed under the terms and conditions of the Creative Commons Attribution (CC BY) license (http://creativecommons.org/licenses/by/4.0/).
Share and Cite
Kulin, M.; Kazaz, T.; De Poorter, E.; Moerman, I. A Survey on Machine Learning-Based Performance Improvement of Wireless Networks: PHY, MAC and Network Layer. Electronics 2021, 10, 318. https://doi.org/10.3390/electronics10030318
Kulin M, Kazaz T, De Poorter E, Moerman I. A Survey on Machine Learning-Based Performance Improvement of Wireless Networks: PHY, MAC and Network Layer. Electronics. 2021; 10(3):318. https://doi.org/10.3390/electronics10030318
Chicago/Turabian StyleKulin, Merima, Tarik Kazaz, Eli De Poorter, and Ingrid Moerman. 2021. "A Survey on Machine Learning-Based Performance Improvement of Wireless Networks: PHY, MAC and Network Layer" Electronics 10, no. 3: 318. https://doi.org/10.3390/electronics10030318
APA StyleKulin, M., Kazaz, T., De Poorter, E., & Moerman, I. (2021). A Survey on Machine Learning-Based Performance Improvement of Wireless Networks: PHY, MAC and Network Layer. Electronics, 10(3), 318. https://doi.org/10.3390/electronics10030318



