Research on the Nonlinear Control Strategy of Three-Phase Bridgeless Rectifier under Unbalanced Grids
Abstract
:1. Introduction
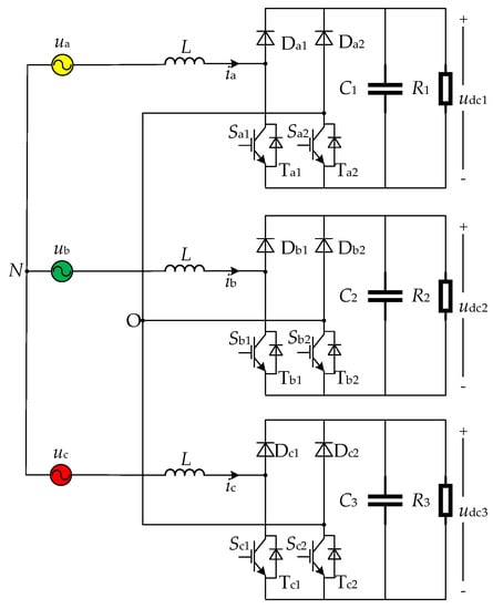
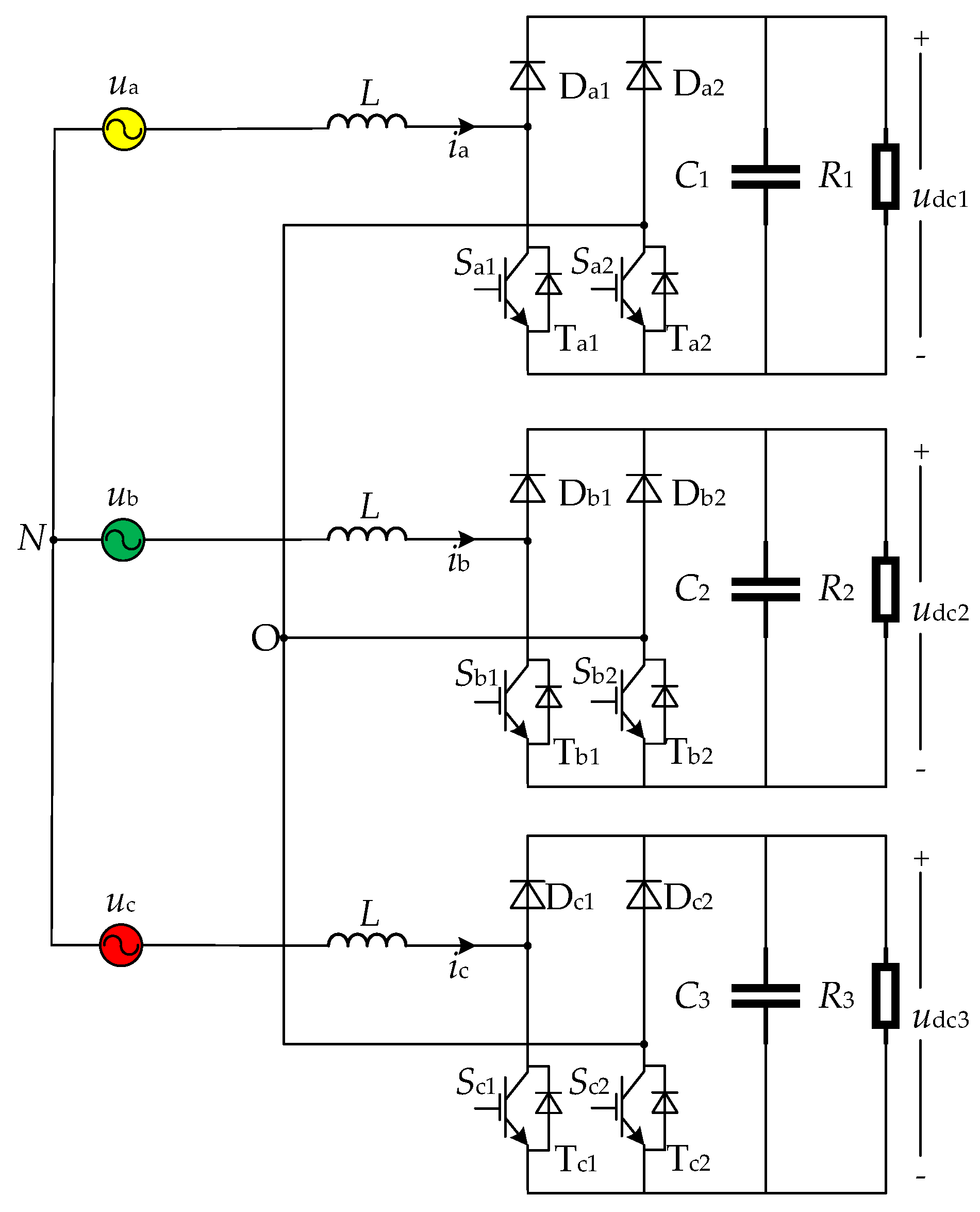
2. Topology and the Operating Principle
3. Mathematical Model of the Rectifier
4. Design of Hybrid Nonlinear Controller
4.1. Design of ADRC Controller
- Design of TD
- 2.
- Design of ESO
- 3.
- Design of NLSEF
4.2. Design of PBC Controller
4.3. Input Current Zero-Crossing Distortion Elimination
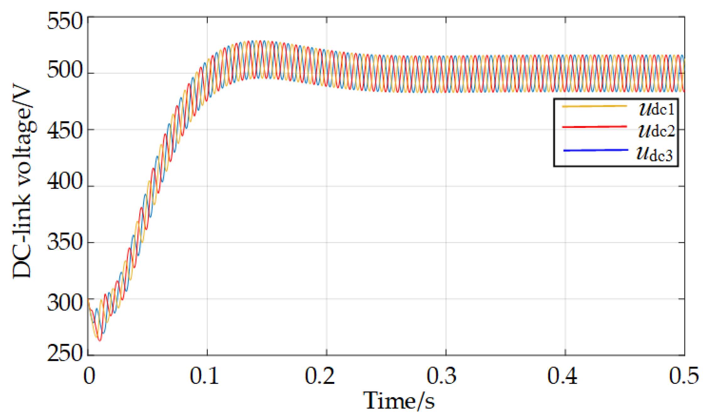
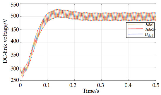
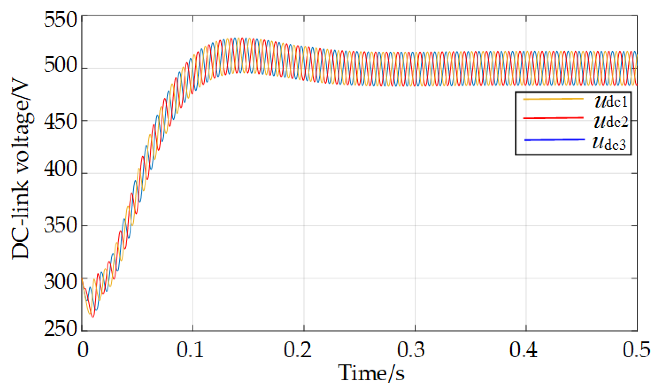
5. Simulation Verification and Discussion
Main Parameters of System
6. Discussion
7. Conclusions
Author Contributions
Funding
Conflicts of Interest
Nomenclature
| * | Desired value |
| ADRC | Active disturbance rejection control |
| C(1,2,3) | Capacitor |
| D(a,b,c)(1,2) | Diode |
| d(a,b,c)(1,2) | New switching function |
| e | error |
| H | Energy function |
| i(a,b,c) | Phase current |
| L | Inductor |
| Mabc/dq0\ldq0/abc | Equal rotation transformation matrix |
| N\O | Neutral point |
| PBC | Passivity-based control |
| r(a1,a2,a3) | Virtual damping |
| R(1,2,3) | Resistor |
| S(a,b,c)(1,2) | Switching function |
| T(a,b,c)(1,2) | IGBT |
| u(a,b,c) | Phase voltage |
| u(ab,bc,ca) | Line voltage |
| udc(1,2,3) | DC-side voltage |
| u | Control input |
| ω | Grid angular frequency |
References
- Heldwein, M.L.; Mussa, S.A.; Barbi, I. Three-Phase Multilevel PWM Rectifiers Based on Conventional Bidirectional Converters. IEEE Trans. Power Electron. 2010, 25, 545–549. [Google Scholar] [CrossRef]
- Kankanala, S.H.; Kimball, J.W.; Moeini, A. Modeling and Control of Cascaded Bridgeless Multilevel Rectifier Under Unbalanced Load Conditions. In Proceedings of the 2021 IEEE Applied Power Electronics Conference and Exposition (APEC), Phoenix, AZ, USA, 14–17 June 2021; IEEE: Piscataway, NJ, USA, 2021. [Google Scholar] [CrossRef]
- Vahedi, H.; Al-Haddad, K. A Novel Multilevel Multioutput Bidirectional Active Buck PFC Rectifier. IEEE Trans. Ind. Electron. 2016, 63, 5442–5450. [Google Scholar] [CrossRef]
- Moeini, A.; Zhao, H.; Wang, S. A Current-Reference-Based Selective Harmonic Current Mitigation PWM Technique to Improve the Performance of Cascaded H-Bridge Multilevel Active Rectifiers. IEEE Trans. Ind. Electron. 2018, 65, 727–737. [Google Scholar] [CrossRef]
- Chen, T.; Cheng, H.; Wang, C.; Chen, W.; Zhao, Z. Open-Circuit Fault-Tolerant Design of the Cascaded H-Bridge Rectifier Incorporating Reactive Power Compensation. Electronics 2020, 9, 1490. [Google Scholar] [CrossRef]
- Liu, Y.; Sun, Y.; Su, M. A Control Method for Bridgeless Cuk/Sepic PFC Rectifier to Achieve Power Decoupling. IEEE Trans. Ind. Electron. 2017, 64, 7272–7276. [Google Scholar] [CrossRef]
- Wang, C.; Zhuang, Y.; Jiao, J.; Zhang, H.; Wang, C.; Cheng, H. Topologies and Control Strategies of Cascaded Bridgeless Multilevel Rectifiers. IEEE J. Emerg. Sel. Top. Power Electron. 2017, 5, 432–444. [Google Scholar] [CrossRef]
- Wang, C.; Zhuang, Y.; Kong, J.; Tian, C.; Cheng, H. Revised topology and control strategy of three-phase cascaded bridgeless rectifier. In Proceedings of the IECON 2017—43rd Annual Conference of the IEEE Industrial Electronics Society, Beijing, China, 29 October–1 November 2017; IEEE: Piscataway, NJ, USA, 2017. [Google Scholar] [CrossRef]
- Jiao, J.; Wang, C. The research of new cascade bridgeless multi-level rectifier. In Proceedings of the 2014 International Power Electronics and Application Conference and Exposition, Shanghai, China, 5–8 November 2014; IEEE: Piscataway, NJ, USA, 2014. [Google Scholar] [CrossRef]
- Lyu, J.; Wang, J.; Hu, W.; Yan, Y. A Neutral-Point Voltage Controller with Hybrid Parameters for NPC Three-Level Grid-Connected Inverters Under Unbalanced Grid Conditions. IEEE J. Emerg. Sel. Top. Power Electron. 2020, 8, 4367–4381. [Google Scholar] [CrossRef]
- Hao, Q.; Li, B.; Sun, Y.; Wu, L.; Wang, S. Operating Region and Boundary Control of Modular Multilevel Converter Station Under Unbalanced Grid Conditions. IEEE Trans. Power Deliv. 2020, 35, 1146–1157. [Google Scholar] [CrossRef]
- Nian, H.; Cheng, P.; Zhu, Z.Q. Coordinated Direct Power Control of DFIG System without Phase-Locked Loop Under Unbalanced Grid Voltage Conditions. IEEE Trans. Power Electron. 2016, 31, 2905–2918. [Google Scholar] [CrossRef]
- Cheng, H.; Kong, J.; Wang, P.; Wang, C. Hybrid Control Scheme for Three-Phase Multilevel Unidirectional Rectifier Under Unbalanced Input Voltages. IEEE Access 2019, 7, 29989–30001. [Google Scholar] [CrossRef]
- Cheng, H.; Kong, J.; Jiang, J.; Wang, C.; Wang, P. Control Strategy for Three-Phase Bridgeless Rectifier Under Unbalanced Grid Conditions. In Proceedings of the 2018 IEEE International Power Electronics and Application Conference and Exposition (PEAC), Shenzhen, China, 4–7 November 2018; IEEE: Piscataway, NJ, USA, 2014. [Google Scholar] [CrossRef]
- Errouissi, R.; Al-Durra, A.; Muyeen, S.M. Design and Implementation of a Nonlinear PI Predictive Controller for a Grid-Tied Photovoltaic Inverter. IEEE Trans. Ind. Electron. 2017, 64, 1241–1250. [Google Scholar] [CrossRef] [Green Version]
- Mu, X.; Wang, J.; Wu, W.; Blaabjerg, F. A Modified Multifrequency Passivity-Based Control for Shunt Active Power Filter with Model-Parameter-Adaptive Capability. IEEE Trans. Ind. Electron. 2018, 65, 760–769. [Google Scholar] [CrossRef]
- Cupertino, A.F.; Carlette, L.P.; Perez, F.; Resende, J.T.; Seleme, S.I.; Pereira, H.A. Use of control based on passivity to mitigate the harmonic distortion level of inverters. In Proceedings of the 2013 IEEE PES Conference on Innovative Smart Grid Technologies, Sao Paulo, Brazil, 15–17 April 2013; IEEE: Piscataway, NJ, USA, 2013. [Google Scholar] [CrossRef]
- Biel, D.; Scherpen, J.M.A. Passivity-based control of active and reactive power in single-phase PV inverters. In Proceedings of the 2017 IEEE 26th International Symposium on Industrial Electronics (ISIE), Edinburgh, UK, 19–21 June 2017; IEEE: Piscataway, NJ, USA, 2017. [Google Scholar] [CrossRef]
- Li, J.; Lv, X.; Zhao, B.; Zhang, Y.; Zhang, Q.; Wang, J. Research on Passivity Based Control Strategy of Power Conversion System used in the Energy Storage System. IET Power Electron. 2019, 12, 392–399. [Google Scholar] [CrossRef]
- Zheng, Q.; Dong, L.; Lee, D.H.; Gao, Z. Active disturbance rejection control for MEMS gyroscopes. IEEE Trans. Control Syst. Technol. 2009, 17, 1432–1438. [Google Scholar] [CrossRef]
- Sira-Ramirez, H.; Linares-Flores, J.; Garcia-Rodriguez, C.; Contreras-Ordaz, M.A. On the control of the permanent magnet synchronous motor: An active disturbance rejection control approach. IEEE Trans. Control Syst. Technol. 2014, 22, 2056–2063. [Google Scholar] [CrossRef]
- Chang, X.; Li, Y.; Zhang, W.; Wang, N.; Xue, W. Active disturbance rejection control for a flywheel energy storage system. IEEE Trans. Ind. Electron. 2015, 62, 991–1001. [Google Scholar] [CrossRef]
- Li, J.; Zhang, Y.; Zhao, Y.; Ren, L.; Wang, J.; Liu, Y. An Improved Three-Stages Cascading Passivity-Based Control of Grid-Connected LCL Converter in Unbalanced Weak Grid Condition. IEEE Access 2021, 9, 89497–89506. [Google Scholar] [CrossRef]
- Li, J.; Wang, M.; Wang, J.; Zhang, Y.; Yang, D.; Wang, J.; Zhao, Y. Passivity-Based Control with Active Disturbance Rejection Control of Vienna Rectifier Under Unbalanced Grid Conditions. IEEE Access 2020, 8, 76082–76092. [Google Scholar] [CrossRef]
- Ortega, R.; Loria, A.; Nicklasson, P.J.; Sira-Ramirez, H.J. Passivity-Based Control of Euler-Lagrange Systems: Mechanical, Electrical and Electromechanical Applications; Springer: Berlin, Germany, 1998; pp. 15–30. [Google Scholar]










| Parameters | Value |
|---|---|
| Rated Phase-a voltage/V | 220 |
| Rated Phase-b voltage/V | 180 |
| Rated Phase-c voltage/V | 260 |
| Grid frequency/Hz | 50 |
| AC inductance L/mH | 5 |
| Switching frequency/kHz | 15 |
| DC-link capacitor/μF | 500 |
| DC-link resistor/Ω | 50 |
| Rated DC-link voltage/V | 500 |
| Parameters | Value |
|---|---|
| ADRC k | 1 |
| ADRC m | 8 × 106 |
| ADRC n | 3 × 10−6 |
| ADRC α1 | 0.5 |
| ADRC α2 | 0.5 |
| ADRC α3 | 0.7 |
| ADRC β1 | 100 |
| ADRC β2 | 50 |
| ADRC β3 | 30 |
| ADRC δ1 | 0.01 |
| ADRC δ2 | 0.01 |
| ADRC δ3 | 0.02 |
| Damping coefficient ra1 | 100 |
| Damping coefficient ra2 | 50 |
| Damping coefficient ra3 | 50 |
Publisher’s Note: MDPI stays neutral with regard to jurisdictional claims in published maps and institutional affiliations. |
© 2021 by the authors. Licensee MDPI, Basel, Switzerland. This article is an open access article distributed under the terms and conditions of the Creative Commons Attribution (CC BY) license (https://creativecommons.org/licenses/by/4.0/).
Share and Cite
Cheng, H.; Yang, D.; Wang, C. Research on the Nonlinear Control Strategy of Three-Phase Bridgeless Rectifier under Unbalanced Grids. Electronics 2021, 10, 3090. https://doi.org/10.3390/electronics10243090
Cheng H, Yang D, Wang C. Research on the Nonlinear Control Strategy of Three-Phase Bridgeless Rectifier under Unbalanced Grids. Electronics. 2021; 10(24):3090. https://doi.org/10.3390/electronics10243090
Chicago/Turabian StyleCheng, Hong, Daokuan Yang, and Cong Wang. 2021. "Research on the Nonlinear Control Strategy of Three-Phase Bridgeless Rectifier under Unbalanced Grids" Electronics 10, no. 24: 3090. https://doi.org/10.3390/electronics10243090
APA StyleCheng, H., Yang, D., & Wang, C. (2021). Research on the Nonlinear Control Strategy of Three-Phase Bridgeless Rectifier under Unbalanced Grids. Electronics, 10(24), 3090. https://doi.org/10.3390/electronics10243090

