Wash Analyses of Flexible and Wearable Printed Circuits for E-Textiles and Their Prediction of Damages
Abstract
1. Introduction
2. Materials and Methods
2.1. Preparation of FPCB Textile Samples
2.2. Washing Tests
2.3. Bending Test
2.4. Electrical Resistance Measurement
3. Results and Discussion
3.1. Flexural Rigidity Tests
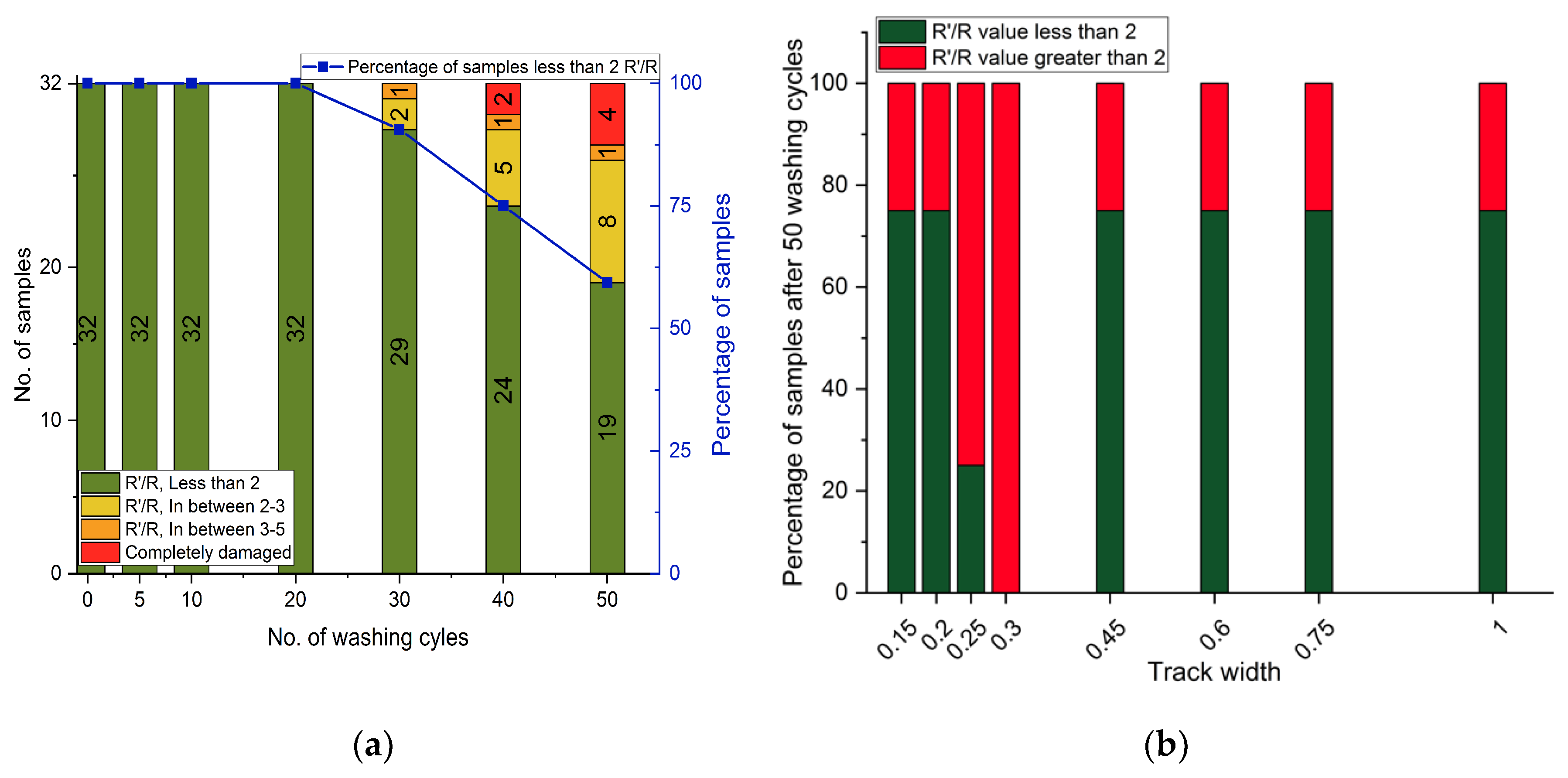
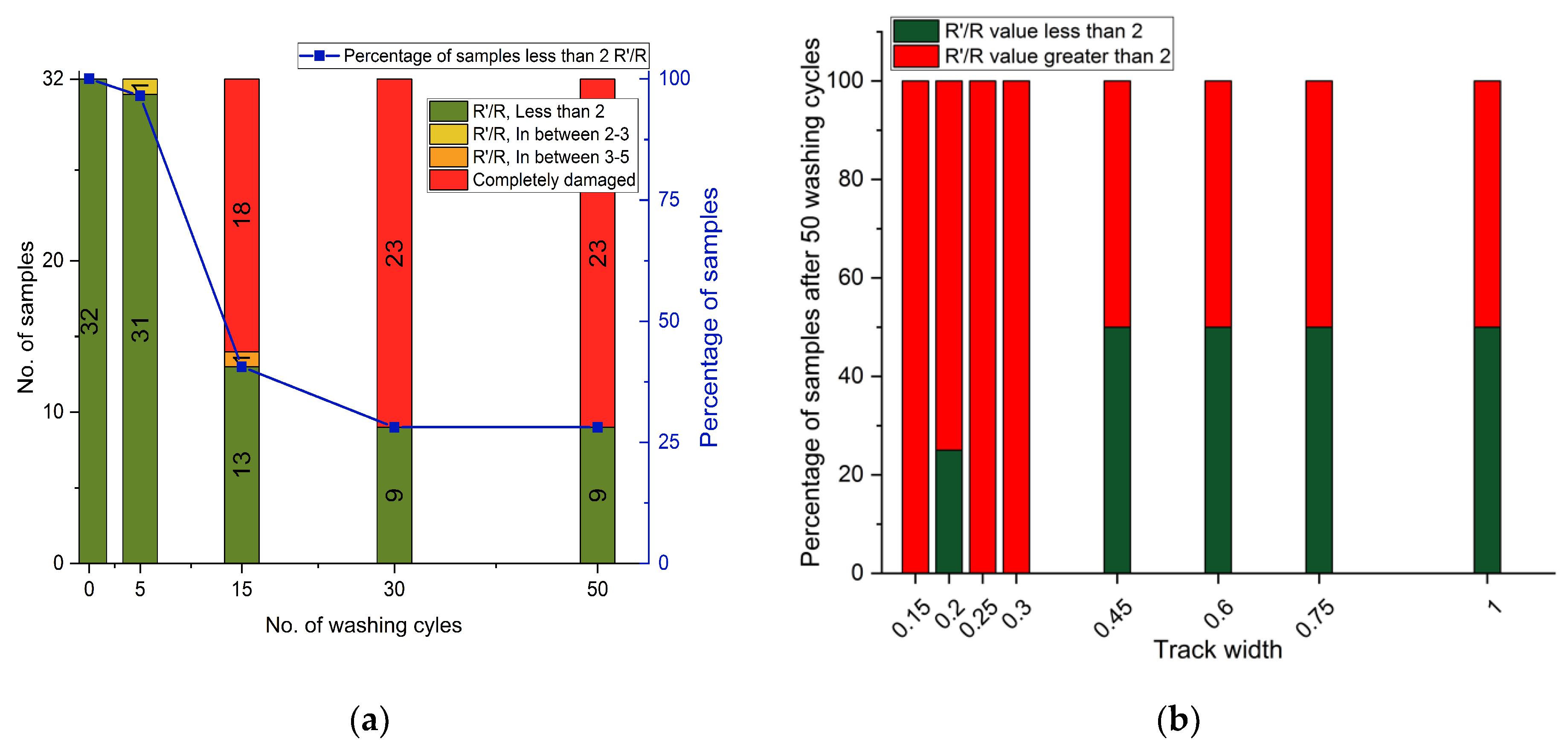
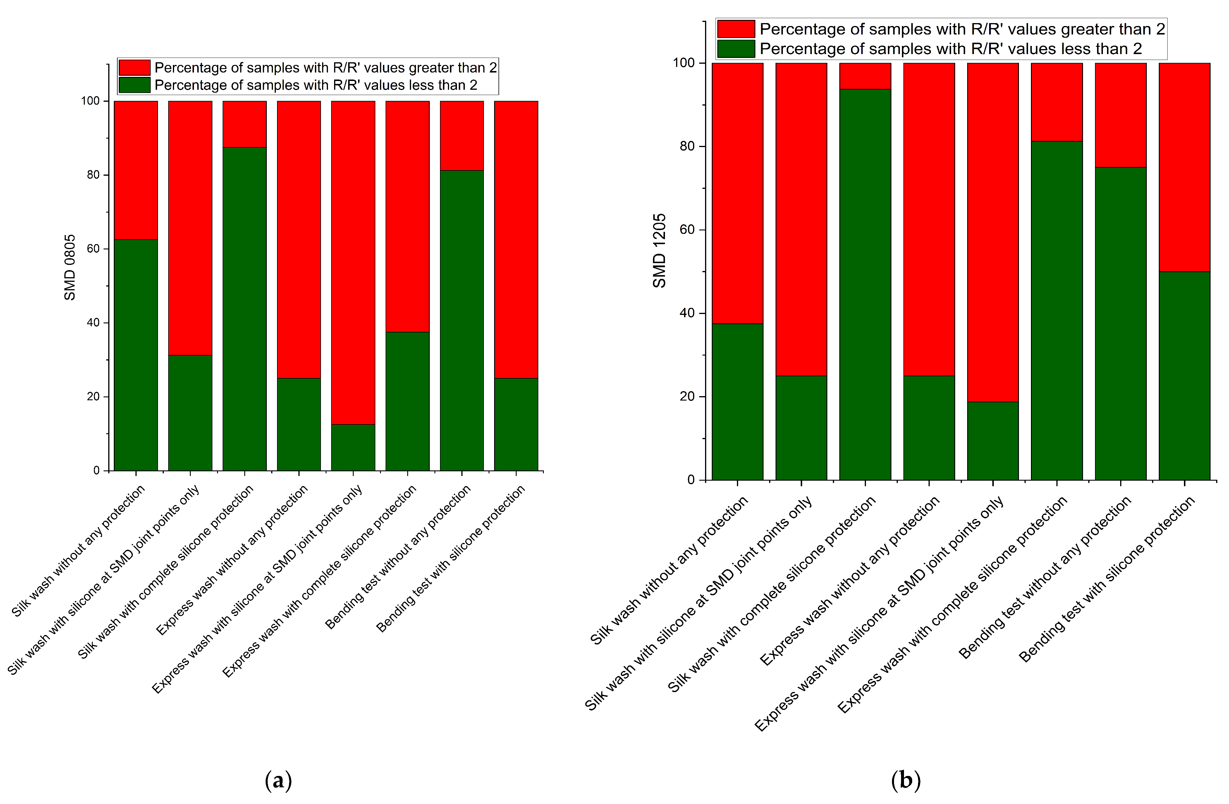
3.2. Result of Express and Silk Washing Tests
3.3. Results of Bending Tests
4. Conclusions
Supplementary Materials
Author Contributions
Funding
Data Availability Statement
Acknowledgments
Conflicts of Interest
References
- Wang, B.; Facchetti, A. Materials and Processes for Stretchable and Wearable e-Textile Devices. In Flexible and Wearable Electronics for Smart Clothing; Wang, G., Hou, C., Wang, H., Eds.; Wiley: Weinheim, Germany, 2020; pp. 305–334. ISBN 978-3-527-34534-2. [Google Scholar]
- Grancarić, A.M.; Jerković, I.; Koncar, V.; Cochrane, C.; Kelly, F.M.; Soulat, D.; Legrand, X. Conductive Polymers for Smart Textile Applications. J. Ind. Text. 2018, 48, 612–642. [Google Scholar] [CrossRef]
- Garbacz, K.; Stagun, L.; Rotzler, S.; Semenec, M.; Krshiwoblozki, M.V. Modular E-Textile Toolkit for Prototyping and Manufacturing. Proceedings 2021, 68, 5. [Google Scholar] [CrossRef]
- Meghrazi, M.A.; Tian, Y.; Mahnam, A.; Bhattachan, P.; Eskandarian, L.; Kakhki, S.T.; Popovic, M.R.; Lankarany, M. Multichannel ECG Recording from Waist Using Textile Sensors. Biomed. Eng. OnLine 2020, 19, 48. [Google Scholar] [CrossRef]
- Li, Y.; Yong, S.; Hillier, N.; Arumugam, S.; Beeby, S. Screen Printed Flexible Water Activated Battery on Woven Cotton Textile as a Power Supply for E-Textile Applications. IEEE Access 2020, 8, 206958–206965. [Google Scholar] [CrossRef]
- Stork, M.; Houzar, J. Non-Contact ECG Monitoring for Driver. In Proceedings of the 2020 30th International Conference Radioelektronika (RADIOELEKTRONIKA), Bratislava, Slovakia, 15–16 April 2020; pp. 1–5. [Google Scholar]
- Ankhili, A.; Tao, X.; Cochrane, C.; Koncar, V.; Coulon, D.; Tarlet, J.-M. Ambulatory Evaluation of ECG Signals Obtained Using Washable Textile-Based Electrodes Made with Chemically Modified PEDOT:PSS. Sensors 2019, 19, 416. [Google Scholar] [CrossRef]
- Shathi, M.A.; Chen, M.; Khoso, N.A.; Rahman, M.T.; Bhattacharjee, B. Graphene Coated Textile Based Highly Flexible and Washable Sports Bra for Human Health Monitoring. Mater. Des. 2020, 193, 108792. [Google Scholar] [CrossRef]
- Yu, X. Piezoelectric Materials and Devices Based Flexible Bio-integrated Electronics. In Flexible and Wearable Electronics for Smart Clothing; Wang, G., Hou, C., Wang, H., Eds.; Wiley: Weinheim, Germany, 2020; pp. 237–251. ISBN 978-3-527-34534-2. [Google Scholar]
- Hussain, M.M.; El-Atab, N. Handbook of Flexible and Stretchable Electronics; CRC Press: New York, NY, USA, 2019; ISBN 9781138081581. [Google Scholar]
- Xiang, L.; Wang, Z.; Liu, Z.; Weigum, S.E.; Yu, Q.; Chen, M.Y. Inkjet Printed Flexible Biosensor Based on Graphene Field Effect Transistor. IEEE Sens. J. 2016, 16, 8359–8364. [Google Scholar] [CrossRef]
- Ha, M.; Seo, J.-W.T.; Prabhumirashi, P.L.; Zhang, W.; Geier, M.L.; Renn, M.J.; Kim, C.H.; Hersam, M.C.; Frisbie, C.D. Aerosol Jet Printed, Low Voltage, Electrolyte Gated Carbon Nanotube Ring Oscillators with Sub-5 Μs Stage Delays. Available online: https://pubs.acs.org/doi/pdf/10.1021/nl3038773 (accessed on 16 April 2021).
- Grau, G.; Cen, J.; Kang, H.; Kitsomboonloha, R.; Scheideler, W.J.; Subramanian, V. Gravure-Printed Electronics: Recent Progress in Tooling Development, Understanding of Printing Physics, and Realization of Printed Devices. Flex. Print. Electron. 2016, 1, 023002. [Google Scholar] [CrossRef]
- Lu, G.-S.; You, P.-C.; Lin, K.-L.; Hong, C.-C.; Liou, T.-M. Fabricating High-Resolution Offset Color-Filter Black Matrix by Integrating Heterostructured Substrate with Inkjet Printing. J. Micromech. Microeng. 2014, 24, 055008. [Google Scholar] [CrossRef]
- Shi, J.; Liu, S.; Zhang, L.; Yang, B.; Shu, L.; Yang, Y.; Ren, M.; Wang, Y.; Chen, J.; Chen, W.; et al. Smart Textile-Integrated Microelectronic Systems for Wearable Applications. Adv. Mater. 2020, 32, 1901958. [Google Scholar] [CrossRef] [PubMed]
- Stoppa, M.; Chiolerio, A. Wearable Electronics and Smart Textiles: A Critical Review. Sensors 2014, 14, 11957–11992. [Google Scholar] [CrossRef]
- McLeod, P. A Review of Flexible Circuit Technology and Its Applications; Prime Faraday Technology Watch: Loughborough, UK, 2002; ISBN 1-84402-023-1. [Google Scholar]
- Ismar, E.; Tao, X.; Rault, F.; Dassonville, F.; Cochrane, C. Towards Embroidered Circuit Board From Conductive Yarns for E-Textiles. IEEE Access 2020, 8, 9. [Google Scholar] [CrossRef]
- Komolafe, A.; Torah, R.; Wei, Y.; Nunes-Matos, H.; Li, M.; Hardy, D.; Dias, T.; Tudor, M.; Beeby, S. Integrating Flexible Filament Circuits for E-Textile Applications. Adv. Mater. Technol. 2019, 4, 1900176. [Google Scholar] [CrossRef]
- Ma, Y.; Zhang, Y.; Cai, S.; Han, Z.; Liu, X.; Wang, F.; Cao, Y.; Wang, Z.; Li, H.; Chen, Y.; et al. Flexible Hybrid Electronics for Digital Healthcare. Adv. Mater. 2020, 32, 1902062. [Google Scholar] [CrossRef]
- Ehrmann, G.; Ehrmann, A. Suitability of Common Single Circuit Boards for Sensing and Actuating in Smart Textiles. Commun. Dev. Assem. Text. Prod. 2020, 1, 170–179. [Google Scholar] [CrossRef]
- Fromme, N.P.; Li, Y.; Camenzind, M.; Toncelli, C.; Rossi, R.M. Metal-Textile Laser Welding for Wearable Sensors Applications. Adv. Electron. Mater. 2001, 7, 2001238. [Google Scholar] [CrossRef]
- Liu, M.; Glanc-Gostkiewicz, M.; Beeby, S.; Yang, K. Fully Printed Wearable Electrode Textile for Electrotherapy Application. Proceedings 2021, 68, 12. [Google Scholar] [CrossRef]
- Yang, S.; Liu, S.; Ding, X.; Zhu, B.; Shi, J.; Yang, B.; Liu, S.; Chen, W.; Tao, X. Permeable and Washable Electronics Based on Polyamide Fibrous Membrane for Wearable Applications. Compos. Sci. Technol. 2021, 207, 108729. [Google Scholar] [CrossRef]
- Tao, X.; Huang, T.-H.; Shen, C.-L.; Ko, Y.-C.; Jou, G.-T.; Koncar, V. Bluetooth Low Energy-Based Washable Wearable Activity Motion and Electrocardiogram Textronic Monitoring and Communicating System. Adv. Mater. Technol. 2018, 3, 1700309. [Google Scholar] [CrossRef]
- Yin, Y.; Xu, Y.; Wang, C. Functionalization of Fiber Materials for Washable Smart Wearable Textiles. In Flexible and Wearable Electronics for Smart Clothing; Wang, G., Hou, C., Wang, H., Eds.; Wiley: Weinheim, Germany, 2020; pp. 183–212. ISBN 978-3-527-34534-2. [Google Scholar]
- Ehrmann, G.; Ehrmann, A. Electronic Textiles. Encyclopedia 2021, 1, 115–130. [Google Scholar] [CrossRef]
- Micus, S.; Haupt, M.; Gresser, G.T. Automatic Joining of Electrical Components to Smart Textiles by Ultrasonic Soldering. Sensors 2021, 21, 545. [Google Scholar] [CrossRef] [PubMed]
- Zaman, S.u.; Tao, X.; Cochrane, C.; Koncar, V. Launderability of Conductive Polymer Yarns Used for Connections of E-Textile Modules: Mechanical Stresses. Fibers Polym. 2019, 20, 2355–2366. [Google Scholar] [CrossRef]
- Zaman, S.u.; Tao, X.; Cochrane, C.; Koncar, V. E-Textile Systems Reliability Assessment—A Miniaturized Accelerometer Used to Investigate Damage during Their Washing. Sensors 2021, 21, 605. [Google Scholar] [CrossRef]
- Zaman, S.u.; Tao, X.; Cochrane, C.; Koncar, V. Understanding the Washing Damage to Textile ECG Dry Skin Electrodes, Embroidered and Fabric-Based; Set up of Equivalent Laboratory Tests. Sensors 2020, 20, 1272. [Google Scholar] [CrossRef] [PubMed]
- Ismar, E.; Zaman, S.u.; Tao, X.; Cochrane, C.; Koncar, V. Effect of Water and Chemical Stresses on the Silver Coated Polyamide Yarns. Fibers Polym. 2019, 20, 2604–2610. [Google Scholar] [CrossRef]
- Mao, L.; Meng, Q.; Ahmad, A.; Wei, Z. Mechanical Analyses and Structural Design Requirements for Flexible Energy Storage Devices. Adv. Energy Mater. 2017, 7, 1700535. [Google Scholar] [CrossRef]
- Singh, N.; Galande, C.; Miranda, A.; Mathkar, A.; Gao, W.; Reddy, A.L.M.; Vlad, A.; Ajayan, P.M. Paintable Battery. Sci. Rep. 2012, 2, 481. [Google Scholar] [CrossRef]
- Kim, S.-R.; Nairn, J.A. Fracture Mechanics Analysis of Coating/Substrate Systems: Part I: Analysis of Tensile and Bending Experiments. Eng. Fract. Mech. 2000, 65, 573–593. [Google Scholar] [CrossRef]
- Park, S.-I.; Ahn, J.-H.; Feng, X.; Wang, S.; Huang, Y.; Rogers, J.A. Theoretical and Experimental Studies of Bending of Inorganic Electronic Materials on Plastic Substrates. Adv. Funct. Mater. 2008, 18, 2673–2684. [Google Scholar] [CrossRef]















| Type of Samples | No. of Samples |
|---|---|
| Total number of sample circuits plus SMD used for each test | 32 |
| Total pieces of FPCBs used in each test | 8 |
| Total number of tracks + SMD on each piece of FPCB | 4 |
| Total type of different sized track widths used in each test | 8 |
| Total number of samples used for each size of track width | 4 |
| Total number of parallel positioned SMD in each test | 16 |
| Total number of perpendicular positioned SMD in each test | 16 |
| Total number of 0805 type SMD in each test | 16 |
| Total number of 1205 type SMD in each test | 16 |
Publisher’s Note: MDPI stays neutral with regard to jurisdictional claims in published maps and institutional affiliations. |
© 2021 by the authors. Licensee MDPI, Basel, Switzerland. This article is an open access article distributed under the terms and conditions of the Creative Commons Attribution (CC BY) license (https://creativecommons.org/licenses/by/4.0/).
Share and Cite
Zaman, S.u.; Tao, X.; Cochrane, C.; Koncar, V. Wash Analyses of Flexible and Wearable Printed Circuits for E-Textiles and Their Prediction of Damages. Electronics 2021, 10, 1362. https://doi.org/10.3390/electronics10111362
Zaman Su, Tao X, Cochrane C, Koncar V. Wash Analyses of Flexible and Wearable Printed Circuits for E-Textiles and Their Prediction of Damages. Electronics. 2021; 10(11):1362. https://doi.org/10.3390/electronics10111362
Chicago/Turabian StyleZaman, Shahood uz, Xuyuan Tao, Cédric Cochrane, and Vladan Koncar. 2021. "Wash Analyses of Flexible and Wearable Printed Circuits for E-Textiles and Their Prediction of Damages" Electronics 10, no. 11: 1362. https://doi.org/10.3390/electronics10111362
APA StyleZaman, S. u., Tao, X., Cochrane, C., & Koncar, V. (2021). Wash Analyses of Flexible and Wearable Printed Circuits for E-Textiles and Their Prediction of Damages. Electronics, 10(11), 1362. https://doi.org/10.3390/electronics10111362

