The Evaluation of an Asymptotic Solution to the Sommerfeld Radiation Problem Using an Efficient Method for the Calculation of Sommerfeld Integrals in the Spectral Domain
Abstract
1. Introduction
1.1. Previous Contribution by Our Research Group
1.2. Scope of This Research
1.3. Problem Geometry
1.4. Structure of the Article
2. Efficient Formulation for the EM Field Integral Expressions in Spectral Domain
2.1. Spectral Domain Integral Expressions
- –
- The range of integration extends from to , resulting in potential computational errors for large evaluation arguments.
- –
- –
- Points are also isolated singularities, and despite them being still integrable singularities [38] (it is a square root integrable singularity that applies to Rule 1 of [38]), a sufficiently small range around them must be excluded when evaluating (1) in the computer. As argued in [29], doing so may severely affect the accuracy of the results.
2.2. Reformulated Integral Expressions for the EM Field
- –
- They utilize the Bessel function, , instead of in (1), which is a bounded function with no singularities.
- –
- The singularities at points have also been removed. Thus, no need to exclude any range around them is required, when using any kind of numerical integration technique, in order to calculate (18) and (19).
- –
- The result is expressed as the sum of two integrals: one definite integral, in the bounded range and an improper integral, in which the integration range extends from 0 to ∞. However, due to the presence of , the second integrand is a fast decaying function, practically making the integral a bound-limits one that quickly converges and is easy to evaluate on a computer.
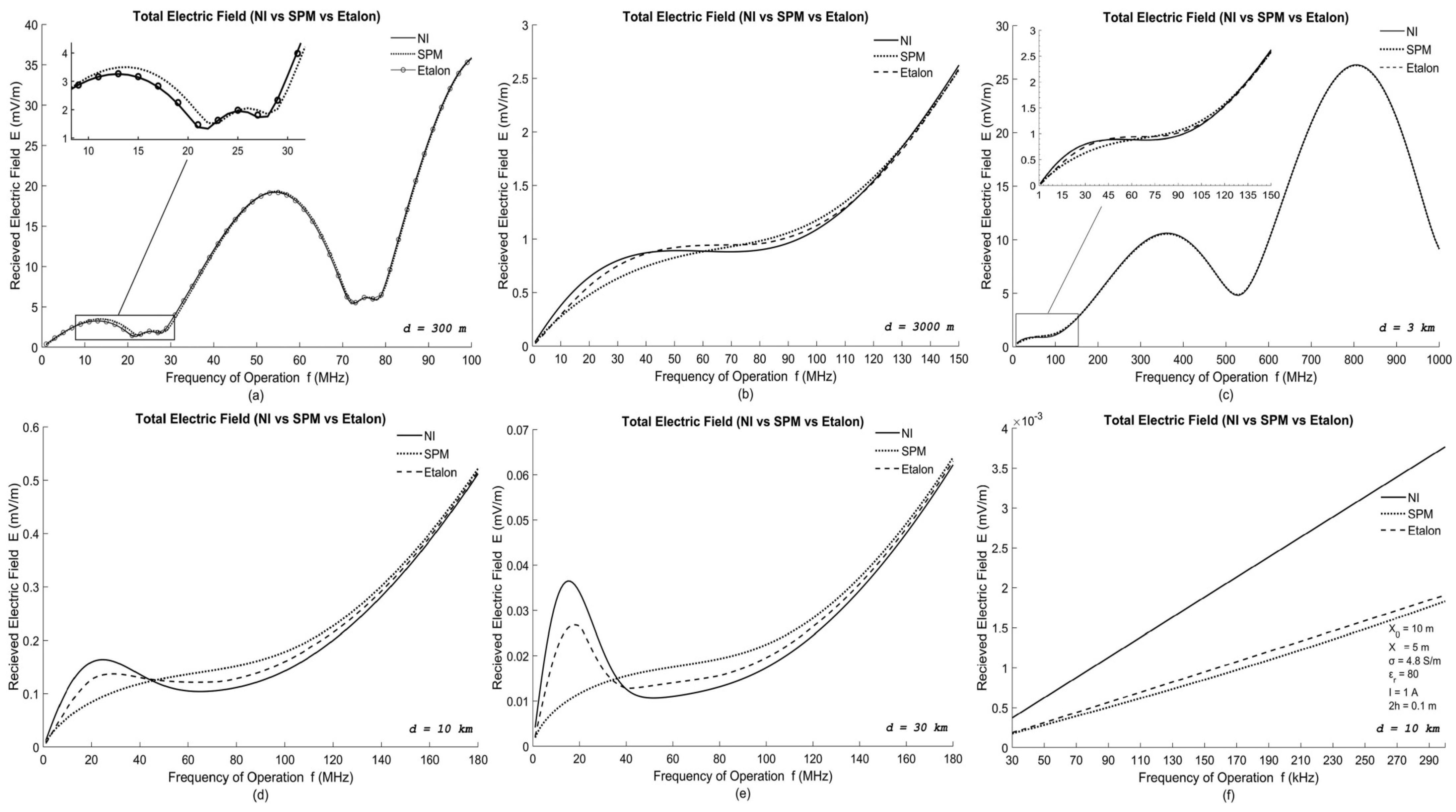
2.3. Simulation Results and Comparisons
3. Evaluating a Novel Asymptotic Solution to the Sommerfeld Problem
3.1. Outline of the Asymptotic Method
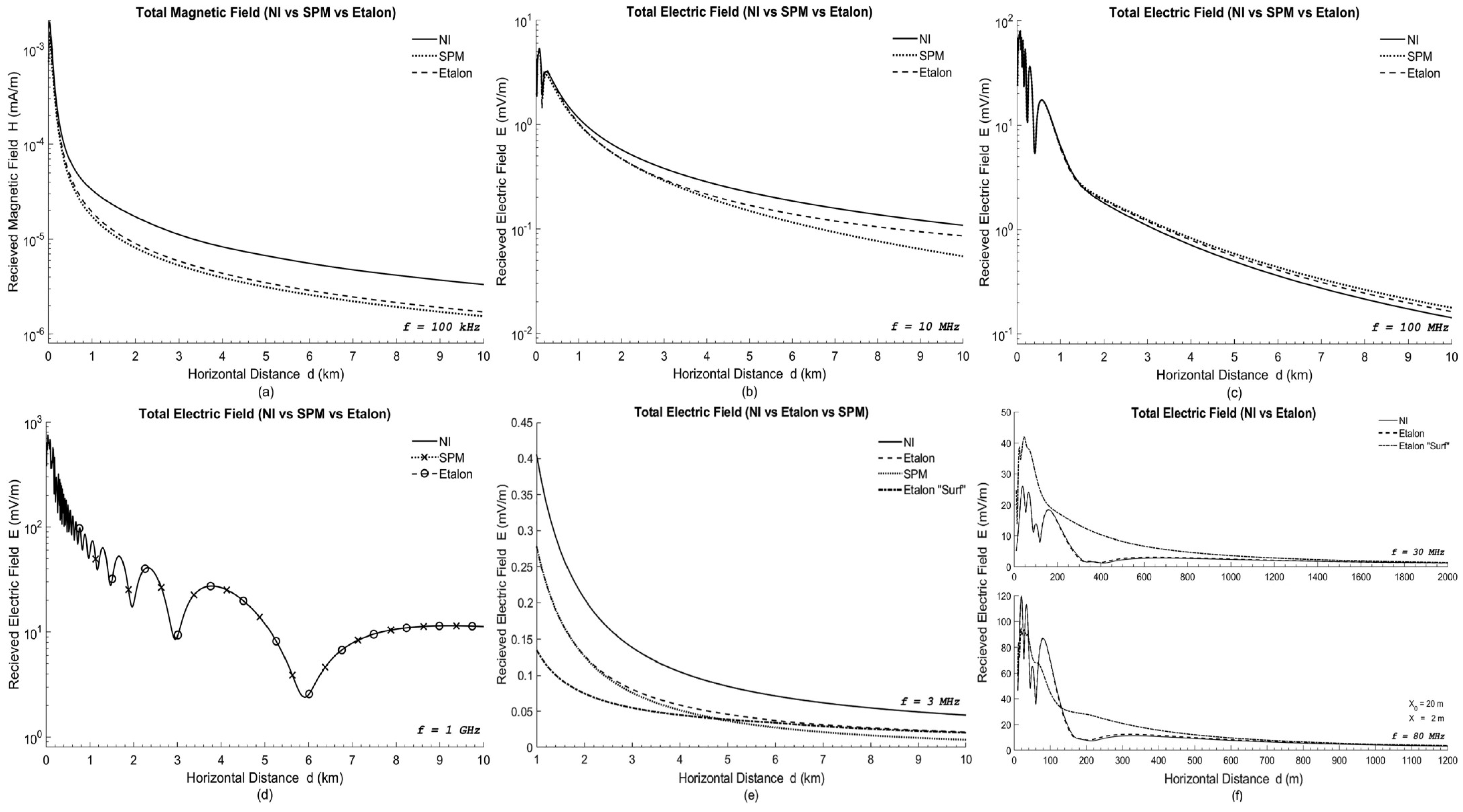
3.2. Simulation Results
4. Conclusions and Future Research
Author Contributions
Funding
Acknowledgments
Conflicts of Interest
Abbreviations
| EI | Etalon Integral |
| EM | ElectroMagnetic |
| HD | Hertzian Dipole |
| HF | High Frequency |
| LF | Low Frequency |
| LOS | Line-of-Sight |
| ND | Numerical Distance |
| NI | Numerical Integration |
| SDP | Steepest Descent or Saddle Point Method |
| SPM | Stationary Phase Method |
| T–R | Transmitter–Receiver |
| UHF | Ultra High Frequency |
| VHF | Very High Frequecy |
References
- Sommerfeld, A.N. Propagation of Waves in Wireless Telegraphy. Ann. Phys. 1909, 28, 665–737. [Google Scholar] [CrossRef]
- Zenneck, J. Propagation of Plane EM Waves along a Plane Conducting Surface. Ann. Phys. 1907, 23, 846–866. [Google Scholar] [CrossRef]
- Sommerfeld, A.N. Propagation of Waves in Wireless Telegraphy. Ann. Phys. 1926, 81, 1135–1153. [Google Scholar] [CrossRef]
- Sommerfeld, A.N. Partial Differential Equations in Physics; Accademic Press: New York, NY, USA, 1949; pp. 236–289. [Google Scholar]
- Ott, H. Reflexion und Brechung von Kugelwellen; Effekte 2. Ordnung. Ann. Der Phys. 1942, 433, 443–466. [Google Scholar] [CrossRef]
- Norton, K.A. The Propagation of Radio Waves over the Surface of the Earth and in the Upper Atmosphere. Proc. Inst. Radio Eng. 1936, 24, 1367–1387. [Google Scholar] [CrossRef]
- Norton, K.A. The Propagation of Radio Waves over the Surface of the Earth and in the Upper Atmosphere. Proc. Inst. Radio Eng. 1937, 25, 1203–1236. [Google Scholar] [CrossRef]
- Wait, J. Launching a surface wave over the Earth. Electron. Lett. 1967, 3, 396–397. [Google Scholar] [CrossRef]
- Bashkuev, Y.B.; Khaptanov, V.B.; Dembelov, M.G. Experimental proof of the existence of a surface electromagnetic wave. Tech. Phys. Lett. 2010, 36, 136–139. [Google Scholar] [CrossRef]
- Corum, K.; Corum, J.; Miller, M. Surface waves and the ‘crucial’ propagation experiment—The key to efficient wireless power delivery. In Proceedings of the 2016 Texas Symposium on Wireless and Microwave Circuits and Systems (WMCS), Waco, TX, USA, 31 March–1 April 2016; pp. 1–4. [Google Scholar] [CrossRef]
- King, R.J. Electromagnetic Wave Propagation Over a Constant Impedance Plane. Radio Sci. 1969, 4, 255–268. [Google Scholar] [CrossRef]
- Sarkar, T.K.; Dyab, W.; Abdallah, M.N.; Salazar-Palma, M.; Prasad, M.V.S.N.; Ting, S.W.; Barbin, S. Electromagnetic Macro Modeling of Propagation in Mobile Wireless Communication: Theory and Experiment. IEEE Antennas Propag. Mag. 2012, 54, 17–43. [Google Scholar] [CrossRef]
- Bladel, J.G.V. The Sommerfeld Dipole Problem. In Electromagnetic Fields; J. Wiley and Sons, Inc.: Hoboken, NJ, USA, 2007; pp. 448–452. [Google Scholar]
- Tyras, G. Field of a Dipole in a Stratified Medium. In Radiation and Propagation of Electromagnetic Waves; Accademic Press, Inc.: New York, NY, USA, 1969; pp. 133–160. [Google Scholar]
- Rahmat-Samii, Y.; Mittra, R.; Parhami, P. Evaluation of Sommerfeld Integrals for Lossy Half-Space Problems. Electromagnetics 1981, 1, 1–28. [Google Scholar] [CrossRef]
- Collin, R.E. Hertzian dipole radiating over a lossy earth or sea: Some early and late 20th-century controversies. IEEE Antennas Propag. Mag. 2004, 46, 64–79. [Google Scholar] [CrossRef]
- Michalski, K.A. On the efficient evaluation of integral arising in the sommerfeld halfspace problem. IEE Proc.-Microwaves Antennas Propag. 1985, 132, 312–318. [Google Scholar] [CrossRef]
- Pelosi, G.; Volakis, J.L. On the Centennial of Sommerfeld’s Solution to the Problem of Dipole Radiation Over an Imperfectly Conducting Half Space. IEEE Antennas Propag. Mag. 2010, 52, 198–201. [Google Scholar] [CrossRef]
- Wait, J.R. The Ancient and Modern History of EM Ground-Wave Propagation. IEEE Antennas Propag. Mag. 1998, 40, 7–24. [Google Scholar] [CrossRef]
- Baños, A. Dipole Radiation in the Presence of a Conducting Half-Space; Pergamon Press: Oxford, UK, 1966; pp. 151–158. [Google Scholar]
- Sautbekov, S.S.; Kasimkhanova, R.N.; Frangos, P.V. Modified Solution of Sommerfelds’s Problem. In Proceedings of the Proc. CEMA’10, Athens, Greece, 7–9 October 2010; pp. 5–8. Available online: http://rcvt.tu-sofia.bg/CEMA/proceedings/CEMA_2010_proc.pdf (accessed on 1 May 2021).
- Sautbekov, S. The Generalized Solutions of a System of Maxwell’s Equations for the Uniaxial Anisotropic Media. In Electromagnetic Waves Propagation in Complex Matter; IntechOpen Limited: London, UK, 2011; pp. 1–24. [Google Scholar] [CrossRef]
- Ioannidi, K.; Christakis, C.; Sautbekov, S.; Frangos, P.; Atanov, S.K. The Radiation Problem from a Vertical Hertzian Dipole Antenna above Flat and Lossy Ground: Novel Formulation in the Spectral Domain with Closed–Form Analytical Solution in the High Frequency Regime. Int. J. Antennas Propag. (IJAP) 2014, 2014, 989348. [Google Scholar] [CrossRef][Green Version]
- Balanis, C.A. Method of Stationary Phase. In Antenna Theory: Analysis and Design, 2nd ed.; J. Wiley and Sons, Inc.: New York, NY, USA, 1997; pp. 922–927. [Google Scholar]
- Moschovitis, C.G.; Karakatselos, K.T.; Papkelis, E.G.; Anastassiu, H.T.; Ouranos, I.C.; Tzoulis, A.; Frangos, P.V. Scattering of Electromagnetic Waves From a Rectangular Plate Using an Enhanced Stationary Phase Method Approximation. IEEE Trans. Antennas Propag. 2010, 58, 233–238. [Google Scholar] [CrossRef]
- Moschovitis, C.G.; Anastassiu, H.T.; Frangos, P.V. Scattering of Electromagnetic Waves from a Rectangular Plate Using an Extended Stationary Phase Method Based on Fresnel Functions (SPM-F). Prog. Electromagn. Res. 2010, 107, 63–99. [Google Scholar] [CrossRef][Green Version]
- Bourgiotis, S.; Ioannidi, K.; Christakis, C.; Sautbekov, S.; Frangos, P. The Radiation Problem from a Vertical Short Dipole Antenna Above Flat and Lossy Ground: Novel Formulation in the Spectral Domain with Numerical Solution and Closed-Form Analytical Solution in the High Frequency Regime. In Proceedings of the Proc. CEMA’14, Sofia, Bulgaria, 16–18 October 2014; pp. 12–18. Available online: http://rcvt.tu-sofia.bg/CEMA/proceedings/CEMA_2014_proc.pdf (accessed on 1 May 2021).
- Bourgiotis, S.; Chrysostomou, A.; Ioannidi, K.; Sautbekov, S.; Frangos, P. Radiation of a Vertical Dipole over Flat and Lossy Ground using the Spectral Domain Approach: Comparison of Stationary Phase Method Analytical Solution with Numerical Integration Results. Electron. Electr. Eng. 2015, 21, 38–41. [Google Scholar] [CrossRef][Green Version]
- Chrysostomou, A.; Bourgiotis, S.; Sautbekov, S.; Ioannidi, K.; Frangos, P.V. Radiation of a Vertical Dipole Antenna over Flat and Lossy Ground: Accurate Electromagnetic Field Calculation using the Spectral Domain Approach along with Redefined Integral Representations and corresponding Novel Analytical Solution. Electron. Electr. Eng. 2016, 22, 54–61. [Google Scholar] [CrossRef]
- Sautbekov, S.; Bourgiotis, S.; Chrysostomou, A.; Frangos, P. A Novel Asymptotic Solution to the Sommerfeld Radiation Problem: Analytic Field Expressions and the Emergence of the Surface Waves. Prog. Electromagn. Res. M 2018, 64, 9–22. [Google Scholar] [CrossRef]
- Weinstein, L.A. The Theory of Diffraction and the Factorization Method; Golem Press: Boulder, CO, USA, 1969. [Google Scholar]
- Fock, V.A. Diffraction of Radio Waves Around the Earth’s Surface. J. Phys. USSR 1945, 9, 256–266. [Google Scholar]
- Fock, V.A. The Field of a Plane Wave Near the Surface of a Conducting Body. J. Phys. USSR 1946, 10, 399–409. [Google Scholar]
- Leontovic, M.A.; Fock, V.A. Propagation of Electromagnetic Waves Along the Earth’s Surface. J. Phys. USSR 1946, 10, 13–24. [Google Scholar]
- Pedlosky, J. Waves in the Ocean and Atmosphere: Introduction to Wave Dynamics; Springer: Berling/Heidelberg, Germany, 2003. [Google Scholar]
- Sautbekov, S. Factorization Method for Finite Fine Structures. Prog. Electromagn. Res. B 2010, 25, 1–21. [Google Scholar] [CrossRef][Green Version]
- NIST Digital Library of Mathematical Functions, Release 1.0.23 of 2019-06-15. Olver, F.W.J.; Daalhuis, A.B.O.; Lozier, D.W.; Schneider, B.I.; Boisvert, R.F.; Clark, C.W.; Miller, B.R.; Saunders, B.V. (Eds.) Chapter 7. Available online: http://dlmf.nist.gov/7 (accessed on 1 May 2021).
- Fikioris, G.; Tatsoglou, I.; Bakas, O.N. On the Convergence/Divergence of Definite Integrals. In Selected Asymptotic Methods with Applications to Electromagnetics and Antennas; Balanis, C.A., Ed.; Morgan & Claypool: San Rafael, CA, USA, 2013; pp. 173–178. [Google Scholar]
- Fikioris, J. Introduction to Antenna Theory and Propagation of Electromagnetic Waves; National Technical University of Athens: Athens, Greece, 1982. (In Greek) [Google Scholar]
- Lytle, R.J.; Lager, D.L. Numerical Evaluation of Sommerfeld Integrals; Tech. Rep.; UCRL-51688; Lawrence Livermore Laboratory, University of California: Livermore, CA, USA, 1974. [Google Scholar] [CrossRef]
- Johnson, W.A.; Dudley, D.G. Real axis integration of Sommerfeld integrals: Source and observation points in air. Radio Sci. 1983, 18, 175–186. [Google Scholar] [CrossRef]
- Mosig, J.R.; Sarkar, T.K. Comparison of quasi-static and exact electromagnetic fields from a horizontal electric dipole above a lossy dielectric backed by an imperfect ground plane. IEEE Trans. Microw. Theory Tech. 1986, 34, 379–387. [Google Scholar] [CrossRef]
- Arfken, G.B.; Weber, H.J. Hankel Functions. In Mathematical Methods for Physicists, 6th ed.; Elsevier Inc.: Burlington, MA, USA, 2005; pp. 707–711. [Google Scholar]
- Olver, F.W.J. Bessel Functions of Integer Order. In Handbook of Mathematical Functions with Formulas, Graphs, and Mathematical Tables, Ninth Dover Printing ed.; Abramowitz, M., Stegun, I.A., Eds.; Dover: New York, NY, USA, 1964; p. 361. [Google Scholar]
- Monebhurrun, V. IEEE Standard Definitions of Terms for Radio Waves Propagation. IEEE Std 211-2018 (Revision of IEEE Std 211-1997). IEEE Antennas Propag. Mag. 2019, 1–57. [Google Scholar] [CrossRef]
- Thomas, G.; Weir, M.; Hass, J. Numerical Integration. In Thomas’ Calculus, 12th ed.; Addison-Wesley: New York, NY, USA, 2010; pp. 486–493. [Google Scholar]
- Michalski, K.A. Extrapolation methods for Sommerfeld integral tails. IEEE Trans. Antennas Propag. 1998, 46, 1405–1418. [Google Scholar] [CrossRef]
- Koufogiannis, I.D.; Polimeridis, A.G.; Mattes, M.; Mosig, J.R. Real axis integration of Sommerfeld integrals with error estimation. In Proceedings of the 2012 6th European Conference on Antennas and Propagation (EUCAP), Prague, Czech Republic, 26–30 March 2012; pp. 719–723. [Google Scholar] [CrossRef]
- Golubovic, R.; Polimeridis, A.G.; Mosig, J.R. Efficient algorithms for computing Sommerfeld integral tails. IEEE Trans. Antennas Propag. 2012, 60, 2409–2417. [Google Scholar] [CrossRef]
- Golubović, R.; Athanasios, G. The weighted averages method for semi-infinite range integrals involving products of bessel functions. IEEE Trans. Antennas Propag. 2013, 61, 5589–5596. [Google Scholar] [CrossRef]
- Michalski, K.A.; Mosig, J.R. Efficient computation of Sommerfeld integral tails-methods and algorithms. J. Electromagn. Waves Appl. 2016, 30, 281–317. [Google Scholar] [CrossRef]
- Kinayman, N.; Aksun, M.I. Comparative study of acceleration techniques for integrals and series in electromagnetic problems. Radio Sci. 1995, 30, 1713–1722. [Google Scholar] [CrossRef]
- McKeeman, W.M. Algorithm 145: Adaptive Numerical Integration by Simpson’s Rule. Commun. ACM 1962, 5, 604. [Google Scholar] [CrossRef]
- Hillstrom, K.E. Comparison of several adaptive Newton-Cotes quadrature routines in evaluating definite integrals with peaked integrands. Commun. ACM 1970, 13, 362–365. [Google Scholar] [CrossRef]
- Davis, J.D.; Polonsky, I. Numerical Interpolation, Differentiation and Integration. In Handbook of Mathematical Functions with Formulas, Graphs, and Mathematical Tables, Ninth Dover Printing ed.; Abramowitz, M., Stegun, I.A., Eds.; Dover: New York, NY, USA, 1964; pp. 875–924. [Google Scholar]
- Felsen, L.B.; Marcuvitz, N. Radiation and Scattering of Waves; Prentice-Hall: Englewood Cliffs, NJ, USA, 1972. [Google Scholar]
- Arfken, G.B.; Weber, H.J. Calculus of Residues. In Mathematical Methods for Physicists, 6th ed.; Elsevier Inc.: Burlington, MA, USA, 2005; pp. 455–482. [Google Scholar]
- Zaghloul, M.R.; Ali, A.N. Algorithm 916: Computing the Faddeyeva and Voigt functions. ACM Trans. Math. Softw. 2012, 38, 15:1–15:22. [Google Scholar] [CrossRef]
- Zaghloul, M.R. Algorithm 985: Simple, efficient, and relatively accurate approximation for the evaluation of the Faddeyeva function. ACM Trans. Math. Softw. 2017, 44, 22:1–22:9. [Google Scholar] [CrossRef]
- Bender, C.M.; Orszag, S.A. Asymptotic Expansion of Integrals. In Mathematical Methods for Scientists and Engineers; Asymptotic Methods and Perturbation Theory; Springer: New York, NY, USA, 1999; pp. 247–316. [Google Scholar]
- Michalski, K.; Mosig, J. The Sommerfeld half-space problem revisited: From radio frequencies and zenneck waves to visible light and fano modes. J. Electromagn. Waves Appl. 2016, 30, 1–42. [Google Scholar] [CrossRef]
- Michalski, K.A.; Nevels, R.D. On the Groundwave Excited by a Vertical Hertzian Dipole Over a Planar Conductor: Second-Order Asymptotic Expansion With Applications to Plasmonics. IEEE Trans. Microw. Theory Tech. 2017, 65, 1133–1140. [Google Scholar] [CrossRef]
- Michalski, K.A.; Lin, H.-I. On the far-zone electromagnetic field of a vertical hertzian dipole over an imperfectly conducting half-space with extensions to plasmonics. Radio Sci. 2017, 52, 798–810. [Google Scholar] [CrossRef]
- Michalski, K.A.; Lin, H.I. On the Sommerfeld half-space problem: Appraisal of approximate solutions with extensions to plasmonics. J. Electromagn. Waves Appl. 2018, 32, 483–503. [Google Scholar] [CrossRef]









| f | Adaptive Simpson’s | Trapezoidal | ||||
|---|---|---|---|---|---|---|
| (MHz) | ||||||
| 1 | 3.88 | 6.02 | 18.73 | 3.43 | 43.14 | 969.11 |
| 3 | 4.48 | 6.98 | 20.84 | 4.62 | 50.94 | 1272.52 |
| 10 | 5.11 | 7.92 | 21.69 | 7.43 | 69.27 | 1921.38 |
| 30 | 6.82 | 9.02 | 25.16 | 14.38 | 114.05 | 2923.07 |
| 80 | 9.80 | 14.93 | 32.15 | 31.25 | 240.26 | 6748.43 |
| 100 | 11.00 | 16.20 | 39.55 | 39.46 | 354.70 | 9560.96 |
| 300 | 21.29 | 35.77 | 61.24 | 57.60 | 520.40 | 15,437.25 |
| 1000 | 58.44 | 103.55 | 156.89 | 126.47 | 973.65 | 32,240.70 |
| Symbol | Description | Value |
|---|---|---|
| minimum frequency | 1 MHz | |
| maximum frequency | 1 GHz | |
| height of transmitting dipole | 60 m | |
| height of receiver’s position | 15 m | |
| dipole’s ipole current source | 1 A | |
| dipole’s length | 0.1 m | |
| ground conductivity | 4.8 S/m | |
| ground relative permitivity | 80 | |
| ground permeability | H/m | |
| numerical integration method | Adapt. Simpsons | |
| relative error tolerance |
Publisher’s Note: MDPI stays neutral with regard to jurisdictional claims in published maps and institutional affiliations. |
© 2021 by the authors. Licensee MDPI, Basel, Switzerland. This article is an open access article distributed under the terms and conditions of the Creative Commons Attribution (CC BY) license (https://creativecommons.org/licenses/by/4.0/).
Share and Cite
Bourgiotis, S.; Frangos, P.; Sautbekov, S.; Pshikov, M. The Evaluation of an Asymptotic Solution to the Sommerfeld Radiation Problem Using an Efficient Method for the Calculation of Sommerfeld Integrals in the Spectral Domain. Electronics 2021, 10, 1339. https://doi.org/10.3390/electronics10111339
Bourgiotis S, Frangos P, Sautbekov S, Pshikov M. The Evaluation of an Asymptotic Solution to the Sommerfeld Radiation Problem Using an Efficient Method for the Calculation of Sommerfeld Integrals in the Spectral Domain. Electronics. 2021; 10(11):1339. https://doi.org/10.3390/electronics10111339
Chicago/Turabian StyleBourgiotis, Sotiris, Panayiotis Frangos, Seil Sautbekov, and Mustakhim Pshikov. 2021. "The Evaluation of an Asymptotic Solution to the Sommerfeld Radiation Problem Using an Efficient Method for the Calculation of Sommerfeld Integrals in the Spectral Domain" Electronics 10, no. 11: 1339. https://doi.org/10.3390/electronics10111339
APA StyleBourgiotis, S., Frangos, P., Sautbekov, S., & Pshikov, M. (2021). The Evaluation of an Asymptotic Solution to the Sommerfeld Radiation Problem Using an Efficient Method for the Calculation of Sommerfeld Integrals in the Spectral Domain. Electronics, 10(11), 1339. https://doi.org/10.3390/electronics10111339

