A Promising Cutaneous Leishmaniasis Treatment with a Nanoemulsion-Based Cream with a Generic Pentavalent Antimony (Ulamina) as the Active Ingredient
Abstract
1. Introduction
2. Materials and Methods
2.1. Reagents
2.1.1. Nanoemulsion Formulation
2.1.2. Transdermal Passage Tests
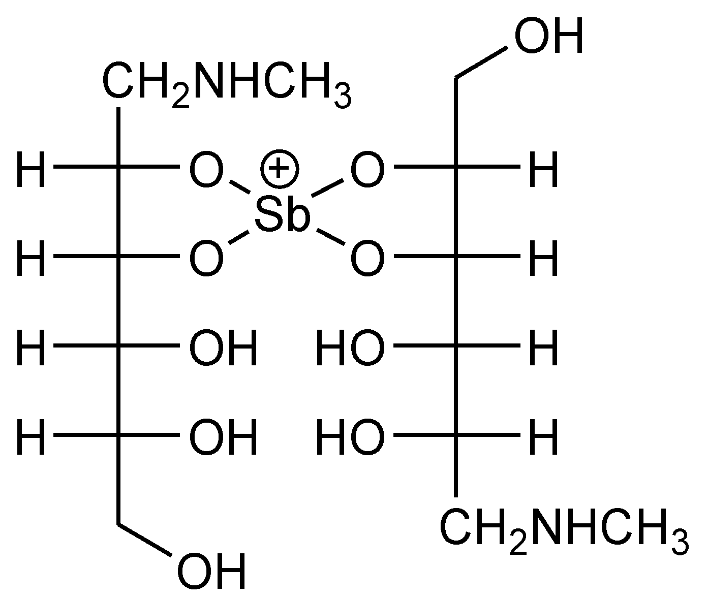
2.1.3. Antimony Analysis
2.2. Ulamina Nanoemulsion Preparation (O/W) and Cream Fabrication
2.3. Cream Evaluation
2.3.1. Human Sensory Testing
2.3.2. Microscopy, Droplet Size and pH
2.3.3. Rheological Studies
2.3.4. Cream Stability Tests
2.4. In Vitro Tests
2.4.1. Transdermal Passage
2.4.2. Antimony Analysis
2.5. Preliminar In Vivo Test
- Epidemiological Diagnosis: The origin of the patient is determined and is related to known areas of transmission.
- Clinical Diagnosis: Presence of flattened skin lesions with irregular but well-defined edges, which present base hardening as a result of the development of a granuloma, which are characteristics of lesions caused by Leishmaniasis.
- Parasitological Diagnosis: It was carried out by microscopic observation of smears of aspirates and biopsies and stained with Giemsa stain at 10% in phosphate buffer pH 7.2, where macrophages infected with amastigotes were observed, confirming the diagnosis of infection by Leishmania sp.
Treatment
3. Results
3.1. Nanoemulsion Formation
Nanoemulsion Droplet Size Distribution
3.2. Cream Sensory Tests
3.2.1. Homogeneity
3.2.2. Topical Cream pH
3.2.3. Optical Microscopy
3.3. Rheological Studies
3.3.1. Viscosity Measurements
3.3.2. Cream Stability Tests
3.4. In Vitro Tests
3.4.1. Transdermal Experiments
3.4.2. Antimony Analysis
3.5. Clinical Cases and In Vivo Tests
4. Conclusions
Author Contributions
Funding
Institutional Review Board Statement
Informed Consent Statement
Data Availability Statement
Acknowledgments
Conflicts of Interest
References
- Bouwstra, J.A. The skin barrier, a well-organized membrane. Colloids Surf. A Physicochem. Eng. Asp. 1997, 124, 403–413. [Google Scholar] [CrossRef]
- Burgess, C.M. Cosmetic Dermatology, 1st ed.; Springer: Berlin/Heidelberg, Germany, 2005. [Google Scholar]
- Neto, A.M.F.; Salinas, S.R.A. The Physics of Lyotropic Liquid Crystals: Phase Transitions and Structural Properties. In The Physics of Lyotropic Liquid Crystals: Phase Transitions and Structural Properties; Oxford University Press on Demand: Oxford, UK, 2010; pp. 1–320. [Google Scholar] [CrossRef]
- Prieto-Blanco, M.C.; Fernández-Amado, M.; López-Mahía, P.; Muniategui-Lorenzo, S.; Prada-Rodríguez, D. Surfactants in Cosmetics: Regulatory Aspects and Analytical Methods. Anal. Cosmet. Prod. 2018, 249–287. [Google Scholar]
- Vaughan, C.D. Using solubility parameters in cosmetics formulation. J. Soc. Cosmet. Chem. Jpn. 1985, 36, 319–333. [Google Scholar]
- Marti-Mestres, G. Pharmaceutical Emulsions and Suspensions; CRC Press: Boca Raton, FL, USA, 2000. [Google Scholar] [CrossRef]
- Frézard, F.; Demicheli, C.; Ribeiro, R.R. Pentavalent Antimonials: New Perspectives for Old Drugs. Molecules 2009, 14, 2317–2336. [Google Scholar] [CrossRef]
- Wallen-Russell, C.; Wallen-Russell, S. Meta Analysis of Skin Microbiome: New Link between Skin Microbiota Diversity and Skin Health with Proposal to Use This as a Future Mechanism to Determine Whether Cosmetic Products Damage the Skin. Cosmetics 2017, 4, 14. [Google Scholar] [CrossRef]
- Heras-Mosteiro, J.; Monge-Maillo, B.; Pinart, M.; Pereira, P.L.; Garcia-Carrasco, E.; Cuadrado, P.C.; Royuela, A.; Roman, I.M.; López-Vélez, R. Interventions for Old World cutaneous leishmaniasis. Cochrane Database Syst. Rev. 2017, 11, CD005067. [Google Scholar] [CrossRef]
- Torres-Guerrero, E.; Quintanilla-Cedillo, M.R.; Ruiz-Esmenjaud, J.; Arenas, R. Leishmaniasis: A review. F1000Research 2017, 6, 750. [Google Scholar] [CrossRef]
- De Lima, H.; Borges, R.H.; Escobar, J.; Convit, J. Leishmaniasis cutánea americana en Venezuela: Un análisis clínico epidemiológico a nivel nacional y por entidad federal, 1988–2007. Bol. Malariol. Salud Amb. 2010, 50, 283–300. [Google Scholar]
- Añez, N.; Rojas, A.; Scorza-Dagert, J.V.; Morales, C. Successful treatment against American cutaneous leishmaniasis by intralesional infiltration of a generic antimonial compound-lidocaine combination. A follow up study. Acta Trop. 2018, 185, 261–266. [Google Scholar] [CrossRef]
- Añez, N.; Rojas, A.; Crisante, G. Evaluation of conventional serological tests for the diagnosis of American cutaneous leishmaniasis. Boletín De Malariol. Y Salud Ambient. 2007, 47, 55–62. [Google Scholar]
- WHO Expert Committee on the Control of the Leishmaniases & World Health Organization. Control of the leishmaniases: Report of a Meeting of the WHO Expert Commitee on the Control of Leishmaniases, Geneva, Switzerland, 22–26 March 2010; World Health Organization: Geneva, Switzerland, 2010. [Google Scholar]
- Freitas-Junior, L.H.; Chatelain, E.; Kim, H.A.; Siqueira-Neto, J.L. Visceral leishmaniasis treatment: What do we have, what do we need and how to deliver it? Int. J. Parasitol. Drugs Drug Resist. 2012, 2, 11–19. [Google Scholar] [CrossRef] [PubMed]
- López, L.; Vélez, I.; Asela, C.; Cruz, C.; Alves, F.; Robledo, S.; Arana, B. A phase II study to evaluate the safety and efficacy of topical 3% amphotericin B cream (Anfoleish) for the treatment of uncomplicated cutaneous leishmaniasis in Colombia. PLoS Negl. Trop. Dis. 2018, 12, e0006653. [Google Scholar] [CrossRef]
- Bonfante-Garrido, R. Leishmanias y leishmaniasis tegumentaria en América Latina. Bol. La Of. Sanit. Panam. 1983, 95, 418–426. [Google Scholar]
- Scorza Dagert, J.V.; Morales, C.; Petit de Peña, Y.; Vásquez, L.; Rojas, E.; Scorza, J.V.B. Síntesis de un complejo antimonial pentavalente (Ulamina) y su aplicación experimental para el tratamiento de leishmaniasis cutánea localizada en Venezuela. Boletín De Malariol. Y Salud Ambient. 2006, 46, 59–65. [Google Scholar]
- World Health Assembly. Control of Leishmaniasis: Report by the Secretariat; World Health Organization: Ginebra, Switzerland, 2007; Available online: https://apps.who.int/iris/handle/10665/25315 (accessed on 3 December 2007).
- Henao, H.H.; Osorio, Y.; Saravia, N.G.; Gomez, A.; Travi, B. Eficacia y toxicidad de los antimoniales pentavalentes (Glucantime y Pentostam) en un modelo animal de leishmaniasis cutánea americana: Aplicación de la luminometría. Biomedica 2004, 24, 393–402. [Google Scholar] [CrossRef] [PubMed]
- Pinart, M.; Rueda, J.-R.; Romero, G.A.; Pinzón-Flórez, C.E.; Osorio-Arango, K.; Maia-Elkhoury, A.N.S.; Reveiz, L.; Elias, V.M.; A Tweed, J. Interventions for American cutaneous and mucocutaneous leishmaniasis. Cochrane Database Syst. Rev. 2020, 8, CD004834. [Google Scholar] [CrossRef]
- Matoussi, N.; Ameur, H.; Amor, S.; Fitouri, Z.; Becher, S. Toxicité cardiaque de l’antimoniate de méglumine (Glucantime®). À propos d’une observation. Médecine Mal. Infect. 2007, 37, S257–S259. [Google Scholar] [CrossRef] [PubMed]
- Lindoso, J.A.L.; Costa, J.M.L.; Queiroz, I.T.; Goto, H. Review of the current treatments for leishmaniases. Res. Rep. Trop. Med. 2012, 3, 69–77. [Google Scholar] [CrossRef] [PubMed]
- Murray, H.W.; Berman, J.D.; Davies, C.R.; Saravia, N.G. Advances in leishmaniasis. Lancet 2005, 366, 1561–1577. [Google Scholar] [CrossRef]
- Pandey, B.D.; Pun, S.B.; Kaneko, O.; Pandey, K.; Hirayama, K. Case Report: Expansion of Visceral Leishmaniasis to the Western Hilly Part of Nepal. Am. J. Trop. Med. Hyg. 2011, 84, 107–108. [Google Scholar] [CrossRef]
- Schofield, C.J. UNDP/World Bank/WHO special programme for research and training in tropical diseases (TDR). Parasitol. Today 1989, 5, 235–238. [Google Scholar] [CrossRef]
- Soto, J.; Grogl, M.; Berman, J.; Olliaro, P. Limited efficacy of injectable aminosidine as single-agent therapy for Colombian cutaneous leishmaniasis. Trans. R. Soc. Trop. Med. Hyg. 1994, 88, 695–698. [Google Scholar] [CrossRef]
- Buffet, P.A.; Morizot, G. Cutaneous leishmaniasis in France: Towards the end of injectable therapy? Bull. Soc. Pathol. Exot. 2003, 96, 383–388. [Google Scholar] [PubMed]
- Sundar, S.; Jha, T.K.; Singh, V.R.; Mishra, M.; Buffels, R.; Thakur, C.P. Low-dose liposomal amphotericin B in refractory Indian visceral leishmaniasis: A multicenter study. Am. J. Trop. Med. Hyg. 2002, 66, 143–146. [Google Scholar] [CrossRef]
- Hepburn, N.C.; Tidman, M.J.; Hunter, J.A. Aminosidine (paromomycin) versus sodium stibogluconate for the treatment of American cutaneous leishmaniasis. Trans. R. Soc. Trop. Med. Hyg. 1994, 88, 700–703. [Google Scholar] [CrossRef]
- Mushtaq, S.; Dogra, D.; Dogra, N. Clinical Response with intralesional Amphotericin B in the treatment of old world cutaneous leishmaniasis: A preliminary report. Dermatol. Ther. 2016, 29, 398–405. [Google Scholar] [CrossRef] [PubMed]
- Arevalo, I.; Tulliano, G.; Quispe, A.; Spaeth, G.; Matlashewski, G.; Llanos-Cuentas, A.; Pollack, H. Role of Imiquimod and Parenteral Meglumine Antimoniate in the Initial Treatment of Cutaneous Leishmaniasis. Clin. Infect. Dis. 2007, 44, 1549–1554. [Google Scholar] [CrossRef] [PubMed]
- Kim, D.H.; Chung, H.J.; Bleys, J.; Ghohestani, R.F. Is Paromomycin an Effective and Safe Treatment against Cutaneous Leishmaniasis? A Meta-Analysis of 14 Randomized Controlled Trials. PLOS Negl. Trop. Dis. 2009, 3, e381. [Google Scholar] [CrossRef] [PubMed]
- Lodi, G.; Sannino, M.; Caterino, P.; Cannarozzo, G.; Bennardo, L.; Nisticò, S.P. Fractional CO2 laser-assisted topical rifamycin drug delivery in the treatment of pediatric cutaneous leishmaniasis. Pediatric Dermatol. 2021, 38, 717–720. [Google Scholar] [CrossRef] [PubMed]
- Vásquez, L.; Dagert, J.V.S.; Scorza, J.V.; Vicuña-Fernández, N.; De Peña, Y.P.; Lopez, S.; Bendezu, H.; Rojas, E.; Pérez, B. Pharmacokinetics of experimental pentavalent antimony after intramuscular administration in adult volunteers. Curr. Ther. Res. 2006, 67, 193–203. [Google Scholar] [CrossRef] [PubMed]
- Vásquez de Ricciardi, L.; Vicuña-Fernández, N.; de Peña, Y.P.; López, S.; Scorza, J.V.; Scorza-Dage, J.V.; Villegas, E.; Pérez, B. Disposición farmacocinética de las especies de antimonio en perros después de una dosis de antimoniato de meglumina (Glucantime®). Boletín De Malariol. Y Salud Ambient. 2008, 48, 27–33. [Google Scholar]
- Gallignani, M.; Ayala, C.; Brunetto, M.D.R.; Burguera, M.; Burguera, J. Flow analysis–hydride generation–Fourier transform infrared spectrometric determination of antimony in pharmaceuticals. Talanta 2003, 59, 923–934. [Google Scholar] [CrossRef]
- Finnin, B.C.; Morgan, T.M. Transdermal penetration enhancers: Applications, limitations, and potential. J. Pharm. Sci. 1999, 88, 955–958. [Google Scholar] [CrossRef] [PubMed]
- Van Bocxlaer, K.; McArthur, K.-N.; Harris, A.; Alavijeh, M.; Braillard, S.; Mowbray, C.; Croft, S. Film-Forming Systems for the Delivery of DNDI-0690 to Treat Cutaneous Leishmaniasis. Pharmaceutics 2021, 13, 516. [Google Scholar] [CrossRef] [PubMed]
- Rodrigues, L.N.; Zanluchi, J.M.; Grebogi, I.H. Percutaneous absorption enhancers: Mechanisms and potential. Braz. Arch. Biol. Technol. 2007, 50, 949–961. [Google Scholar] [CrossRef]
- Roberts, M.; Cross, S.; Pellett, M. Skin Transport. In Dermatological and Transdermal Formulations, 1st ed.; Walters, K.A., Ed.; CRC Press, Taylor & Francis: New York, NY, USA, 2002. [Google Scholar]
- Magnusson, B.M.; Anissimov, Y.; Cross, S.E.; Roberts, M. Molecular Size as the Main Determinant of Solute Maximum Flux Across the Skin. J. Investig. Dermatol. 2004, 122, 993–999. [Google Scholar] [CrossRef] [PubMed]
- Leite-Silva, V.R.; De Almeida, M.M.; Fradin, A.; Grice, J.; Roberts, M. Delivery of drugs applied topically to the skin. Expert Rev. Dermatol. 2012, 7, 383–397. [Google Scholar] [CrossRef]
- Hendradi, E.; Obata, Y.; Isowa, K.; Nagai, T.; Takayama, K. Effect of Mixed Micelle Formulations Including Terpenes on the Transdermal Delivery of Diclofenac. Biol. Pharm. Bull. 2003, 26, 1739–1743. [Google Scholar] [CrossRef] [PubMed][Green Version]
- Monzote, L.; Herrera, I.; Satyal, P.; Setzer, W.N. In-Vitro Evaluation of 52 Commercially-Available Essential Oils Against Leishmania amazonensis. Molecules 2019, 24, 1248. [Google Scholar] [CrossRef] [PubMed]
- Sonneville-Aubrun, O.; Simonnet, J.-T.; L’Alloret, F. Nanoemulsions: A new vehicle for skincare products. Adv. Colloid Interface Sci. 2004, 108–109, 145–149. [Google Scholar] [CrossRef] [PubMed]
- Yuan, J.S.; Ansari, M.; Samaan, M.; Acosta, E.J. Linker-based lecithin microemulsions for transdermal delivery of lidocaine. Int. J. Pharm. 2008, 349, 130–143. [Google Scholar] [CrossRef]
- Lim, P.F.C.; Liu, X.Y.; Kang, L.; Ho, P.C.L.; Chan, S.Y. Physicochemical effects of terpenes on organogel for transdermal drug delivery. Int. J. Pharm. 2008, 358, 102–107. [Google Scholar] [CrossRef] [PubMed]
- Pouton, C.W. Formulation of self-emulsifying drug delivery systems. Adv. Drug Deliv. Rev. 1997, 25, 47–58. [Google Scholar] [CrossRef]
- Alenius, H.; Roberts, D.W.; Tokura, Y.; Lauerma, A.; Patlewicz, G.; Roberts, M. Skin, drug and chemical reactions. Drug Discov. Today Dis. Mech. 2008, 5, e211–e220. [Google Scholar] [CrossRef]
- Buck, P. Skin barrier function: Effect of age, race and inflammatory disease. Int. J. Aromather. 2004, 14, 70–76. [Google Scholar] [CrossRef]
- Forgiarini, A.; Esquena, J.; González, C.; Solans, C. Studies of the Relation between Phase Behavior and Emulsification Methods with Nanoemulsion Formation. Prog. Colloid Polym. Sci. 2000, 115, 36. [Google Scholar]
- Forgiarini, A.; Esquena, J.; González, C.; Solans, C. Formation of Nano-emulsions by Low-Energy Emulsification Methods at Constant Temperature. Langmuir 2001, 17, 2076. [Google Scholar] [CrossRef]
- Tadros, T.; Izquierdo, P.; Esquena, J.; Solans, C. Formation and stability of nano-emulsions. Adv. Colloid Interface Sci. 2004, 108–109, 303–318. [Google Scholar] [CrossRef] [PubMed]
- Shakeel, F.; Baboota, S.; Ahuja, A.; Ali, J.; Shafiq, S. Skin permeation mechanism and bioavailability enhancement of celecoxib from transdermally applied nanoemulsion. J. Nanobiotechnology 2008, 6, 8. [Google Scholar] [CrossRef] [PubMed]
- Zhou, H.; Yue, Y.; Liu, G.; Li, Y.; Zhang, J.; Gong, Q.; Yan, Z.; Duan, M. Preparation and Characterization of a Lecithin Nanoemulsion as a Topical Delivery System. Nanoscale Res. Lett. 2009, 5, 224–230. [Google Scholar] [CrossRef] [PubMed]
- Villarreal, A.M.; Fernandez, C.; Forgiarini, A.; Marquez, L.; Nielloud, F.; Salager, J. Nanoencapsulation de filtres solaires via nanoémulsions. In Procédés et Formulations au Service de la Santé; Durand, A., Canselier, J.-P., Eds.; EDP Sciences: Les Ulis, France, 2011; pp. 1–14. [Google Scholar]
- Salager, J.-L.; Antón, R.; Bullón, J.; Forgiarini, A.; Marquez, R. How to Use the Normalized Hydrophilic-Lipophilic Deviation (HLDN) Concept for the Formulation of Equilibrated and Emulsified Surfactant-Oil-Water Systems for Cosmetics and Pharmaceutical Products. Cosmetics 2020, 7, 57. [Google Scholar] [CrossRef]
- Clares, B.; Pujol, A.; Hernández, P.; Riera, C.; Calpena, A.-C. Evaluación de la cinética de liberación de antimoniato de meglumina desde geles para su aplicación tópica. Cosmetics 2020, 7, 57. [Google Scholar] [CrossRef]
- Horoiwa, T.A.; Cortez, M.; Sauter, I.P.; Migotto, A.; Bandeira, C.L.; Cerize, N.N.P.; de Oliveira, A. Sugar-based colloidal nanocarriers for topical meglumine antimoniate application to cutaneous leishmaniasis treatmente: Ex vivo cutaneous retention and in vivo evaluation. Eur. J. Pharm. Sci. 2020, 147, 105295. [Google Scholar] [CrossRef] [PubMed]
- Uchida, T.; Kadhum, W.R.; Kanai, S.; Todo, H.; Oshizaka, T.; Sugibayashi, K. Prediction of skin permeation by chemical compounds using the artificial membrane, Strat-M™. Eur. J. Pharm. Sci. 2014, 67, 113–118. [Google Scholar] [CrossRef] [PubMed]
- Peña-Juárez, M.C.; Guadarrama-Escobar, O.R.; Escobar-Chávez, J.J. Transdermal Delivery Systems for Biomolecules. J. Pharm. Innov. 2021, 1–14. [Google Scholar] [CrossRef]
- Forgiarini, A.; Esquena, J.; González, C.; Solans, C. Formation and stability of nano-emulsions in mixed nonionic surfactant systems. Prog. Colloid Polym. Sci. 2007, 118, 184–189. [Google Scholar] [CrossRef]
- Salager, J.-L.; Forgiarini, A.; Lopez, J.C.; Marfisi, S.; Alvarez, G. Dynamics of Near-zero Energy Emulsification. In Proceedings of the 6th World Surfactant Congress CESIO, Berlin, Germany, 21–23 June 2004; pp. 1–11. [Google Scholar]
- Mayer, S.; Weiss, J.; McClements, D.J. Vitamin E-enriched nanoemulsions formed by emulsion phase inversion: Factors influencing droplet size and stability. J. Colloid Interface Sci. 2013, 402, 122–130. [Google Scholar] [CrossRef]
- Marquez, R.; Bullón, J.; Cárdenas, A.; Briceño, M.I.; Forgiarini, A. Rheological Changes of Parenteral Emulsions During Phase-Inversion Emulsification. J. Dispers. Sci. Technol. 2008, 29, 621–627. [Google Scholar] [CrossRef]
- Perazzo, A.; Preziosi, V.; Guido, S. Phase inversion emulsification: Current understanding and applications. Adv. Colloid Interface Sci. 2015, 222, 581–599. [Google Scholar] [CrossRef]
- Maruno, M.; Da Rocha-Filho, P.A. O/W Nanoemulsion after 15 Years of Preparation: A Suitable Vehicle for Pharmaceutical and Cosmetic Applications. J. Dispers. Sci. Technol. 2009, 31, 17–22. [Google Scholar] [CrossRef]
- Singh, M.; Sharma, S.; Khokra, S.L.; Sahu, R.K.; Jangde, R. Preparation and evaluation of herbal cosmetic cream. Pharmacologyonline 2011, 2, 1258–1264. [Google Scholar]
- Grimm, W. Extension of the International Conference on Harmonization Tripartite Guideline for Stability Testing of New Drug Substances and Products to Countries of Climatic Zones III and IV. Drug Dev. Ind. Pharm. 1998, 24, 313–325. [Google Scholar] [CrossRef] [PubMed]
- Adejokun, D.A.; Dodou, K. Quantitative Sensory Interpretation of Rheological Parameters of a Cream Formulation. Cosmetics 2020, 7, 2. [Google Scholar] [CrossRef]
- Xing, H.; Krogmann, A.R.; Vaught, C.; Iv, E.C. Understanding the Global Sensory Landscape for Facial Cleansing/Makeup Remover Wipes. Cosmetics 2019, 6, 44. [Google Scholar] [CrossRef]
- Sousa, G.D.; de Souza Dantas, I.M.; de Santana, D.P.; Leal, L.B. New Oils for Cosmetic O/W Emulsions: In Vitro/In Vivo Evaluation. Cosmetics 2018, 5, 6. [Google Scholar] [CrossRef]
- Gallegos, C.; Franco, J. Rheology of food, cosmetics and pharmaceuticals. Curr. Opin. Colloid Interface Sci. 1999, 4, 288–293. [Google Scholar] [CrossRef]
- Brummer, R.; Godersky, S. Rheological studies to objectify sensations occurring when cosmetic emulsions are applied to the skin. Colloids Surf. A Physicochem. Eng. Asp. 1999, 152, 89–94. [Google Scholar] [CrossRef]
- Tadros, T.F. Rheology of Dispersions: Principles and Applications; John Wiley & Sons: Hoboken, NY, USA, 2010. [Google Scholar]
- Bjerregaard, S.; Vermehren, C.; Söderberg, I.; Frokjaer, S. Accelerated Stability Testing of a Water-in-Oil Emulsion. J. Dispers. Sci. Technol. 2001, 22, 23–31. [Google Scholar] [CrossRef]
- Willimann, H.; Walde, P.; Luisi, P.; Gazzaniga, A.; Stroppolo, F. Lecithin Organogel as Matrix for Transdermal Transport of Drugs. J. Pharm. Sci. 1992, 81, 871–874. [Google Scholar] [CrossRef]
- Haq, A.; Dorrani, M.; Goodyear, B.; Joshi, V.; Michniak-Kohn, B. Membrane properties for permeability testing: Skin versus synthetic membranes. Int. J. Pharm. 2018, 539, 58–64. [Google Scholar] [CrossRef]
- Christopher, D.; West, T.S. Spectrophotometric determination of antimony with bromopyrogallol red. Talanta 1966, 13, 507–513. [Google Scholar] [CrossRef]
- Rath, S.; Jardim, W.F.; Dórea, J.G. A simple spectrophotometric procedure for the determination of antimony (III) and (V) in antileishmanial drugs. Anal. Bioanal. Chem. 1997, 358, 548–550. [Google Scholar] [CrossRef]
- Espinoza, A.; Rojas, E.; Scorza, J.V. Reacción intradérmica de un antígeno monovalente de Leishmania (Viannia) brasiliensis en casos de leishmaniasis cutánea en el estado Trujillo, Venezuela. Rev. Soc. Ven. Microbiol. 2002, 22, 174–181. [Google Scholar]
- Jorquera, A.; González, R.; Marchán-Marcano, E.; Oviedo, M.; Matos, M. Multiplex-PCR for detection of natural Leishmania infection in Lutzomyia spp. captured in an endemic region for cutaneous leishmaniasis in state of Sucre, Venezuela. Mem. Inst. Oswaldo Cruz 2005, 100, 45–48. [Google Scholar] [CrossRef]
- Carstens-Kass, J.; Paulini, K.; Lypaczewski, P.; Matlashewski, G. A review of the leishmanin skin test: A neglected test for a neglected disease. PLOS Negl. Trop. Dis. 2021, 15, e0009531. [Google Scholar] [CrossRef] [PubMed]
- Solè, I.; Pey, C.M.; Maestro, A.; Gonzalez, C.; Porras, M.; Solans, C.; Gutierrez, J.M. Nano-emulsions prepared by the phase inversion composition method: Preparation variables and scale up. J. Colloid Interface Sci. 2009, 344, 417–423. [Google Scholar] [CrossRef] [PubMed]
- López-Montilla, J.C.; Herrera-Morales, P.E.; Pandey, S.; Shah, D.O. Spontaneous Emulsification: Mechanisms, Physicochemical Aspects, Modeling, and Applications. J. Dispers. Sci. Technol. 2002, 23, 219–268. [Google Scholar] [CrossRef]
- Ali, S.M.; Yosipovitch, G. Skin pH: From Basic SciencE to Basic Skin Care. Acta Derm. Venereol. 2013, 93, 261–267. [Google Scholar] [CrossRef]
- Wohlrab, J.; Gebert, A. pH and Buffer Capacity of Topical Formulations. Curr. Probl. Dermatol. 2018, 54, 123–131. [Google Scholar] [CrossRef]
- Lequeux, F. Emulsion rheology. Curr. Opin. Colloid Interface Sci. 1998, 3, 408–411. [Google Scholar] [CrossRef]
- Prausnitz, M.R.; Langer, R. Transdermal drug delivery. Nat. Biotechnol. 2008, 26, 1261–1268. [Google Scholar] [CrossRef] [PubMed]









| Variable | Value |
|---|---|
| Ambient temperature | Average temperature on the shelf without the use of air conditioners or air conditioning (25 ± 2 °C) |
| Refrigeration temperature | (5 ± 3 °C) |
| Accelerated temperature | (40 ± 2 °C) Sampling and analysis time |
| Sensorial Attribute | Description | Measurement Characteristics | Average of 10 Evaluators |
|---|---|---|---|
| Homogeneity | Aspect of the cream, e.g., homogeneus, heterogeneous, separation | Visual appearance (color, aspect, crystallinity, amount of waste) and its sensation to touch | Good |
| Film extensibility | Characteristics of the film formed over the skin | Qualitatively pondered by the type of film formed in the skin when the cream was applied | Good |
| Elimination | Ability of the cream to be washed or eliminated from the skin | Ease of removal from the skin | Good |
| Parameter | Characteristics |
|---|---|
| Appearance | Homogeneous |
| Texture after topical application | Smooth |
| Color | White |
| Odor | Pleasant smell, acceptable |
| Patient Sex | Age | Origin | Wound | Ulcer | Indicated Treatment | Before Treatment | After Treatment |
|---|---|---|---|---|---|---|---|
| Patient 1 Sex: F | 19 | Sanguijuela de los Blancos, Bermúdez Municipality, Sucre state | 8 × 10 cm ulcer on the right thigh | +leishmania with infected macrophages of amastigot form | Ulamina topical nanoemulsion every 12 h for 7 weeks | ![]() | ![]() |
| Patient 2 Sex: M | 67 | Rio Caribe, Mpio. Arismendi Municipality, Sucre state | 15 × 40 mm ulcer on the right wrist | +leishmania confirmed parasitological diagnosis | Ulamina topical nanoemulsion every 12 h for 6 weeks | ![]() | ![]() |
Publisher’s Note: MDPI stays neutral with regard to jurisdictional claims in published maps and institutional affiliations. |
© 2021 by the authors. Licensee MDPI, Basel, Switzerland. This article is an open access article distributed under the terms and conditions of the Creative Commons Attribution (CC BY) license (https://creativecommons.org/licenses/by/4.0/).
Share and Cite
Bullón, J.; Márquez, L.; Fernández, J.A.; Scorzza, C.; Scorza, J.V.; Rodríguez, J.; Cordero, A.; Véjar, F.; Koteich-Khatib, S.; Forgiarini, A. A Promising Cutaneous Leishmaniasis Treatment with a Nanoemulsion-Based Cream with a Generic Pentavalent Antimony (Ulamina) as the Active Ingredient. Cosmetics 2021, 8, 115. https://doi.org/10.3390/cosmetics8040115
Bullón J, Márquez L, Fernández JA, Scorzza C, Scorza JV, Rodríguez J, Cordero A, Véjar F, Koteich-Khatib S, Forgiarini A. A Promising Cutaneous Leishmaniasis Treatment with a Nanoemulsion-Based Cream with a Generic Pentavalent Antimony (Ulamina) as the Active Ingredient. Cosmetics. 2021; 8(4):115. https://doi.org/10.3390/cosmetics8040115
Chicago/Turabian StyleBullón, Johnny, Laura Márquez, José Alejandro Fernández, César Scorzza, José Vicente Scorza, Jimmy Rodríguez, Atilio Cordero, Francia Véjar, Sonia Koteich-Khatib, and Ana Forgiarini. 2021. "A Promising Cutaneous Leishmaniasis Treatment with a Nanoemulsion-Based Cream with a Generic Pentavalent Antimony (Ulamina) as the Active Ingredient" Cosmetics 8, no. 4: 115. https://doi.org/10.3390/cosmetics8040115
APA StyleBullón, J., Márquez, L., Fernández, J. A., Scorzza, C., Scorza, J. V., Rodríguez, J., Cordero, A., Véjar, F., Koteich-Khatib, S., & Forgiarini, A. (2021). A Promising Cutaneous Leishmaniasis Treatment with a Nanoemulsion-Based Cream with a Generic Pentavalent Antimony (Ulamina) as the Active Ingredient. Cosmetics, 8(4), 115. https://doi.org/10.3390/cosmetics8040115





