A Low-Power BL Path Design for NAND Flash Based on an Existing NAND Interface
Abstract
1. Introduction
2. BL Access for Read Operation
2.1. BL Delay Time in the Case of a Shielded-BL Read
2.2. BL Delay Time in the Case of an All-BL Read
2.3. Energy in the BL Path
2.4. Performance Comparison between SBL and ABL
3. BL Path Design: Conventional vs. Proposed
3.1. Circuits
3.2. Energy in the BL Path
4. Experimental
5. Design Consideration
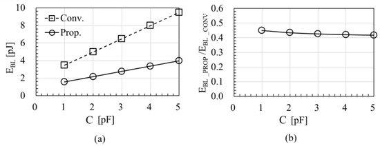
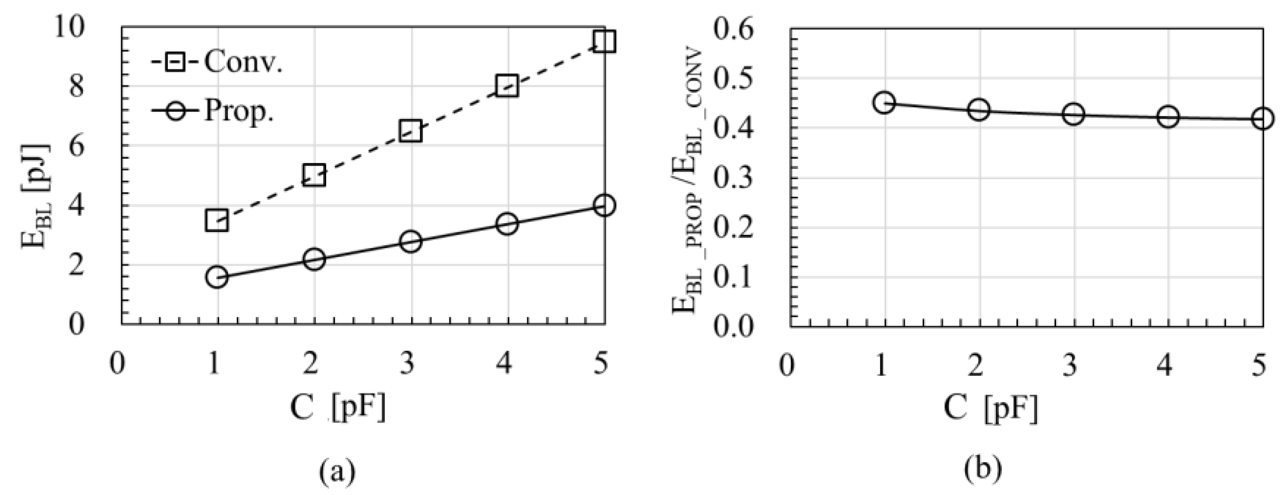
5.1. Energy vs. BL Capacitance
5.2. Average Die Energy vs. Energy Ratio of BL Path to WL Path
5.3. Immunity against Noise in VDDQ
5.4. Remaining Work: Impact of Capacitive Coupling between Adjacent Nodes
6. Summary
Author Contributions
Funding
Data Availability Statement
Conflicts of Interest
References
- Masanet, E.; Shehabi, A.; Lei, N.; Smith, S.; Koomey, J. Recalibrating global data center energy-use estimates. Science 2020, 367, 984–986. [Google Scholar] [CrossRef] [PubMed]
- Pelley, S.; Meisner, D.; Wenisch, T.F.; VanGilder, J.W. Understanding and Abstracting Total Data Center Power. Workshop on Energy-Efficient Design. 2009, Volume 11, pp. 1–6. Available online: https://www.yumpu.com/en/document/read/6834164/understanding-and-abstracting-total-data-center-power-dept-of- (accessed on 24 January 2024).
- Info-Tech. Top 10 Energy-Saving Tips for a Greener Data Center; Info-Tech Research Group: London, ON, Canada, 2010; Available online: http://static.infotech.com/downloads/samples/070411_premium_oo_greendc_top_10.pdf (accessed on 20 January 2024).
- Uzaman, S.K.; Shuja, J.; Maqsood, T.; Rehman, F.; Mustafa, S. A systems overview of commercial data centers: Initial energy and cost analysis. Int. J. Inf. Technol. Web Eng. (IJITWE) 2019, 14, 42–65. [Google Scholar] [CrossRef]
- Pakbaznia, E.; Ghasemazar, M.; Pedram, M. Temperature-aware dynamic resource provisioning in a power-optimized datacenter. In Proceedings of the 2010 Design, Automation & Test in Europe Conference & Exhibition (DATE 2010), Dresden, Germany, 8–12 March 2010; IEEE: New York, NY, USA; pp. 124–129. [Google Scholar]
- Pelley, S.; Meisner, D.; Zandevakili, P.; Wenisch, T.F.; Underwood, J. Power routing: Dynamic power provisioning in the data center. ACM SIGARCH Comput. Archit. News 2010, 38, 231–242. [Google Scholar] [CrossRef]
- Abts, D.; Marty, M.R.; Wells, P.M.; Klausler, P.; Liu, H. Energy proportional datacenter networks. In Proceedings of the 37th Annual International Symposium on Computer Architecture, Saint-Malo, France, 19–23 June 2010; pp. 338–347. [Google Scholar]
- Tsirogiannis, D.; Harizopoulos, S.; Shah, M.A. Analyzing the energy efficiency of a database server. In Proceedings of the 2010 ACM SIGMOD International Conference on Management of Data, Indianapolis, IN, USA, 6–11 June 2010; pp. 231–242. [Google Scholar]
- Dayarathna, M.; Wen, Y.; Fan, R. Data center energy consumption modeling: A survey. IEEE Commun. Surv. Tutor. 2015, 18, 732–794. [Google Scholar] [CrossRef]
- Mohan, V.; Bunker, T.; Grupp, L.; Gurumurthi, S.; Stan, M.R.; Swanson, S. Modeling power consumption of nand flash memories using flashpower. IEEE Trans. Comput.-Aided Des. Integr. Circuits Syst. 2013, 32, 1031–1044. [Google Scholar] [CrossRef]
- M550 M.2 Type 2280 NAND Flash SSD. Available online: https://www.micron.com/-/media/client/global/documents/products/data-sheet/ssd/m550_m2_2280_ssd.pdf (accessed on 24 January 2024).
- Siau, C.; Kim, K.H.; Lee, S.; Isobe, K.; Shibata, N.; Verma, K.; Ariki, T.; Li, J.; Yuh, J.; Amarnath, A.; et al. 13.5 A 512 Gb 3-bit/cell 3D flash memory on 128-wordline-layer with 132 MB/s write performance featuring circuit-under-array technology. In Proceedings of the 2019 IEEE International Solid-State Circuits Conference-(ISSCC), San Francisco, CA, USA, 17–21 February 2019; IEEE: New York, NY, USA, 2019; pp. 218–220. [Google Scholar]
- ONFI. Available online: https://www.onfi.org/ (accessed on 24 January 2024).
- Toggle. Available online: https://www.jedec.org/category/keywords/toggle (accessed on 24 January 2024).
- Yuh, J.; Li, J.; Li, H.; Oyama, Y.; Hsu, C.; Anantula, P.; Jeong, S.; Amarnath, A.; Darne, S.; Bhatia, S.; et al. A 1-Tb 4b/Cell 4-Plane 162-Layer 3D Flash Memory with a 2.4-Gb/s I/O Speed Interface. In Proceedings of the IEEE International Solid-State Circuits Conference (ISSCC), San Francisco, CA, USA, 20–26 February 2022. [Google Scholar] [CrossRef]
- Lassa, P. The New EZ NAND in ONFI v2.3. In SanDisk-Flash Memory Summit-Aug; SanDisk: Milpitas, CA, USA, 2010. [Google Scholar]
- Tripathy, S.; Sahoo, D.; Satpathy, M.; Pinisetty, S. Formal modeling and verification of nand flash memory supporting advanced operations. In Proceedings of the 2019 IEEE 37th International Conference on Computer Design (ICCD), Abu Dhabi, United Arab Emirates, 17–20 November 2019; IEEE: New York, NY, USA, 2019; pp. 313–316. [Google Scholar]
- Tanzawa, T.; Tanaka, T.; Takeuchi, K.; Nakamura, H. Circuit techniques for a 1.8-V-only NAND flash memory. IEEE J. Solid-State Circuits 2002, 37, 84–89. [Google Scholar] [CrossRef]
- Gonugondla, S.K.; Kang, M.; Kim, Y.; Helm, M.; Eilert, S.; Shanbhag, N. Energy-efficient deep in-memory architecture for NAND flash memories. In Proceedings of the 2018 IEEE International Symposium on Circuits and Systems (ISCAS), Florence, Italy, 27–30 May 2018; IEEE: New York, NY, USA, 2018; pp. 1–5. [Google Scholar]
- Makino, H.; Tanzawa, T. A 30% Power Reduction Circuit Design for NAND Flash by Utilizing 1. 2 V I/O Power Supply to Bitline Path. In Proceedings of the IEEE the 18th Asia Pacific Conference on Circuits and Systems, Shenzhen, China, 11–13 November 2022. [Google Scholar]
- Tanaka, T.; Tanaka, Y.; Nakamura, H.; Sakui, K.; Oodaira, H.; Shirota, R.; Ohuchi, K.; Masuoka, F.; Hara, H. A quick intelligent page-programming architecture and a shielded bitline sensing method for 3 V-only NAND flash memory. IEEE J. Solid-State Circuits 1994, 29, 1366–1373. [Google Scholar] [CrossRef]
- Cernea, R.A.; Pham, L.; Moogat, F.; Chan, S.; Le, B.; Li, Y.; Tsao, S.; Tseng, T.-Y.; Nguyen, K.; Li, J.; et al. A 34 MB/s MLC write throughput 16 Gb NAND with all bit line architecture on 56 nm technology. IEEE J. Solid-State Circuits 2009, 44, 186–194. [Google Scholar] [CrossRef]
- Huh, H.; Cho, W.; Lee, J.; Noh, Y.; Park, Y.; Ok, S.; Kim, J.; Cho, K.; Lee, H.; Kim, G.; et al. 13.2 a 1Tb 4b/Cell 96-Stacked-WL 3D NAND Flash Memory with 30MB/s Program Throughput Using Peripheral Circuit under Memory Cell Array Technique. In Proceedings of the 2020 IEEE International Solid-State Circuits Conference-(ISSCC), San Francisco, CA, USA, 16–20 February 2020. [Google Scholar]
- Kim, C.; Kim, D.H.; Jeong, W.; Kim, H.J.; Park, I.H.; Park, H.W.; Lee, J.; Park, J.; Ahn, Y.-L.; Lee, J.Y.; et al. A 512-Gb 3-b/Cell 64-Stacked WL 3-D-NAND Flash Memory. IEEE J. Solid-State Circuits 2018, 53, 124–133. [Google Scholar] [CrossRef]



















| Symbol | SBL/ABL | Condition |
|---|---|---|
![]() | ABL | VBL_PRE = 0.55 V |
![]() | ABL | VBL_PRE = 0.45 V |
![]() | SBL | VBL_PRE = 0.6 V, VBLF_PRE = 0.5 V |
![]() | SBL | VBL_PRE = 0.5 V, VBLF_PRE = 0.4 V |
| Parameter | Default Value |
|---|---|
| R | 3.0 MΩ |
| BL capacitance C | 3.0 pF |
| CSN | 0.1 pF |
| ICELL0 | 0 nA |
| ICELL1 | 100 nA |
| VDD | 3.0 V |
| VDDint | 2.0 V |
| VDDQ | 1.2 V |
| VBL | 0.5 V |
| TBL (BL pre-charge time) | 5.0 μs |
| TSW (Switching time) | 100 ns |
Disclaimer/Publisher’s Note: The statements, opinions and data contained in all publications are solely those of the individual author(s) and contributor(s) and not of MDPI and/or the editor(s). MDPI and/or the editor(s) disclaim responsibility for any injury to people or property resulting from any ideas, methods, instructions or products referred to in the content. |
© 2024 by the authors. Licensee MDPI, Basel, Switzerland. This article is an open access article distributed under the terms and conditions of the Creative Commons Attribution (CC BY) license (https://creativecommons.org/licenses/by/4.0/).
Share and Cite
Makino, H.; Tanzawa, T. A Low-Power BL Path Design for NAND Flash Based on an Existing NAND Interface. J. Low Power Electron. Appl. 2024, 14, 12. https://doi.org/10.3390/jlpea14010012
Makino H, Tanzawa T. A Low-Power BL Path Design for NAND Flash Based on an Existing NAND Interface. Journal of Low Power Electronics and Applications. 2024; 14(1):12. https://doi.org/10.3390/jlpea14010012
Chicago/Turabian StyleMakino, Hikaru, and Toru Tanzawa. 2024. "A Low-Power BL Path Design for NAND Flash Based on an Existing NAND Interface" Journal of Low Power Electronics and Applications 14, no. 1: 12. https://doi.org/10.3390/jlpea14010012
APA StyleMakino, H., & Tanzawa, T. (2024). A Low-Power BL Path Design for NAND Flash Based on an Existing NAND Interface. Journal of Low Power Electronics and Applications, 14(1), 12. https://doi.org/10.3390/jlpea14010012




