Strategic Interaction Between Brands and KOLs in Live-Streaming E-Commerce: An Evolutionary Game Analysis Using Prospect Theory
Abstract
1. Introduction
1.1. Background and Motivation
1.2. Research Questions and Major Findings
1.3. Contribution Statements and Organization
2. Literature Review
2.1. Evolutionary Game Theory and Prospect Theory
2.2. Marketing Analysis Between Brands and KOLs
2.3. Literature Summary
3. The Model and Equation
3.1. Model Assumption
- All the notations related to the article and their description are shown in Table 2.
3.2. Replicator Dynamic Equation
3.3. Stability Analysis of Equilibrium Points in Evolutionary Game System
3.4. The Impact of Changes in Objective Factors
3.5. The Impact of Changes in Subjective Factors
4. Simulation Analysis
4.1. Evolution of Steady States Under Different Objective Parameters
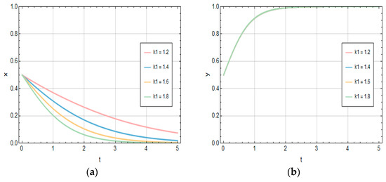
4.1.1. The Sensitivity Analysis of
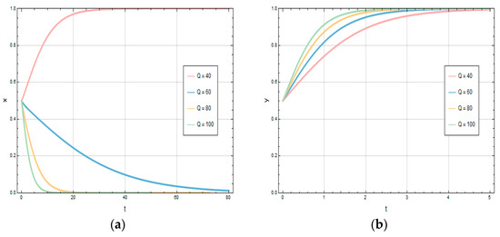
4.1.2. The Sensitivity Analysis of Q
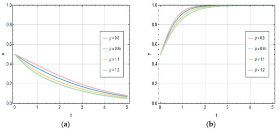
4.1.3. The Sensitivity Analysis of o
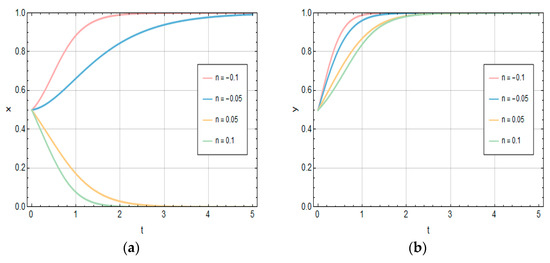
4.1.4. The Sensitivity Analysis of φ
4.1.5. The Sensitivity Analysis of ξ
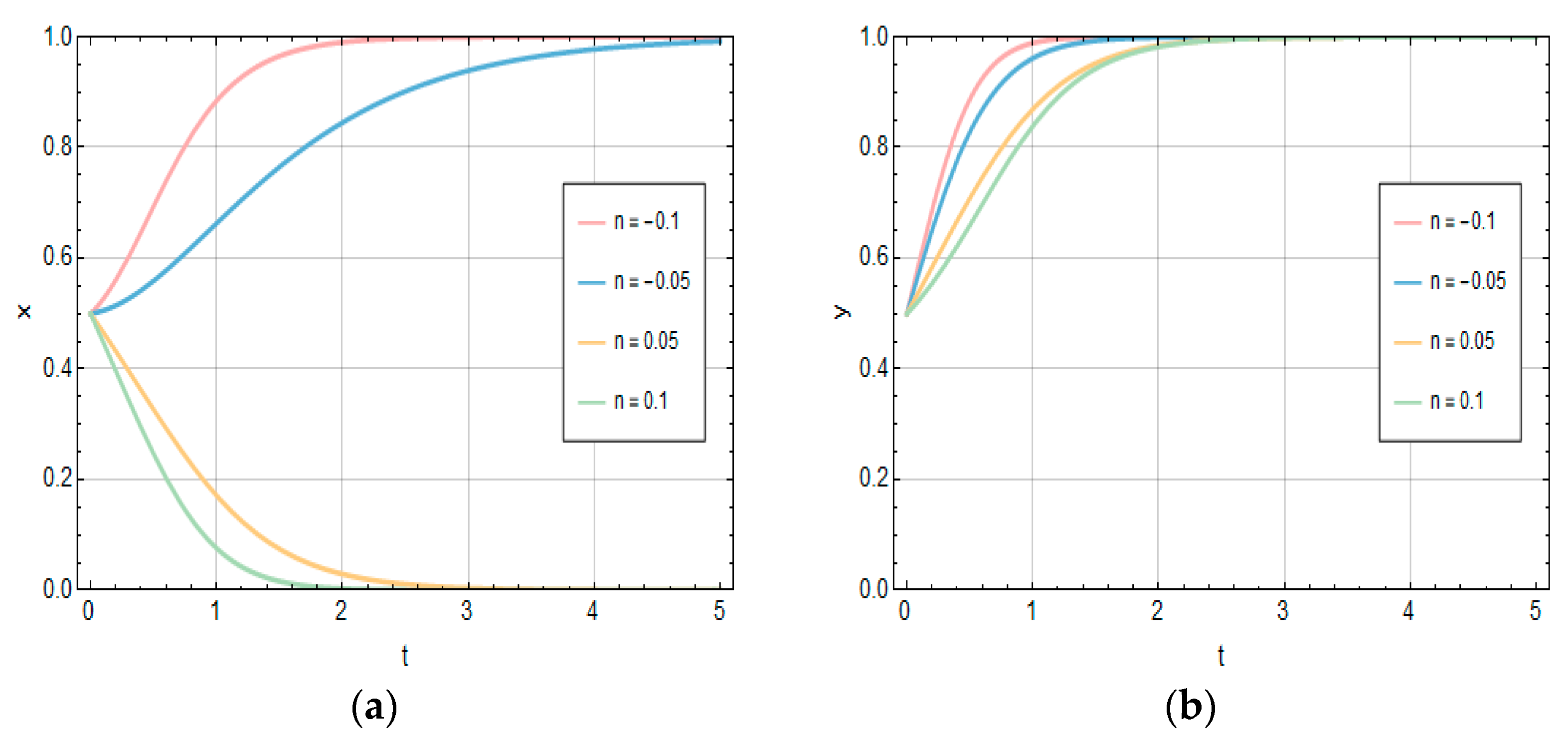
4.1.6. The Sensitivity Analysis of ζ
4.2. Analysis of the Subjective Factors of Game Participants
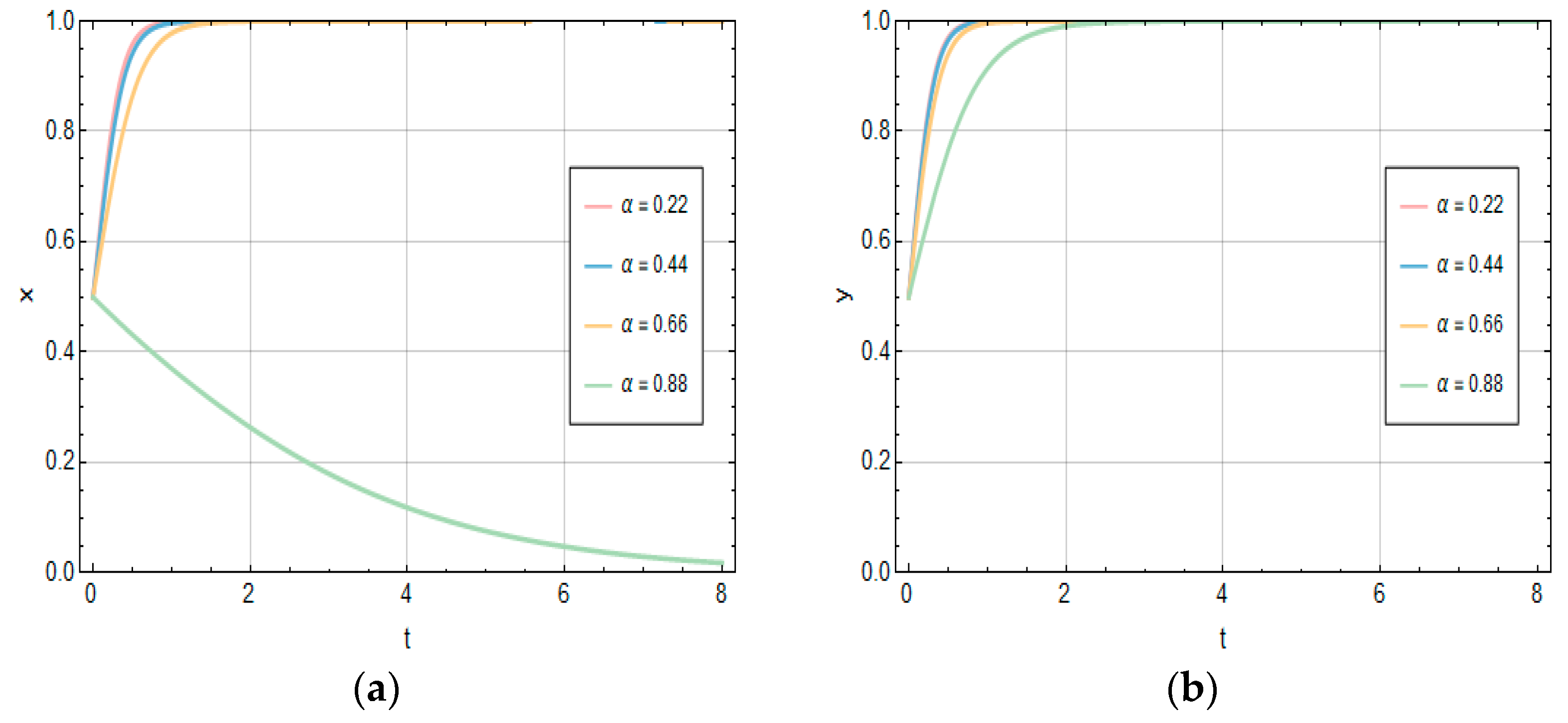
4.2.1. The Sensitivity Analysis of α
4.2.2. The Sensitivity Analysis of β
4.2.3. The Sensitivity Analysis of λ
5. Extended Research
5.1. Sensitivity Analysis of Misinformation and Promotional Deception Intensities
5.2. Sensitivity Analysis of Environmental Uncertainty
5.3. Discussion
6. Conclusions
6.1. Summary of Findings
6.2. Practical and Managerial Implications
6.3. Limitations and Future Research
Author Contributions
Funding
Data Availability Statement
Acknowledgments
Conflicts of Interest
Appendix A
References
- Geng, R.; Wang, S.; Chen, X.; Song, D.; Yu, J. Content Marketing in E-Commerce Platforms in the Internet Celebrity Economy. Ind. Manag. Data Syst. 2020, 120, 464–485. [Google Scholar] [CrossRef]
- Chatterjee, P. From Conformity to Reactance: Contingent Role of Network Centrality in Consumer-to-Consumer Influence. J. Bus. Res. 2017, 75, 86–94. [Google Scholar] [CrossRef]
- Geng, R.; Chen, X.; Wang, S. Wear in or Wear out: How Consumers Respond to Repetitive Influencer Marketing. Internet Res. 2024, 34, 810–848. [Google Scholar] [CrossRef]
- Kieren, P.; Weber, M. Expectation Formation Under Uninformative Signals. Manag. Sci. 2024, 71, 5123–5141. [Google Scholar] [CrossRef]
- Chen, A.; Chen, Y.; Li, R.; Lu, Y. Live-Streaming E-Commerce. Ind. Manag. Data Syst. 2024, 124, 2151–2179. [Google Scholar] [CrossRef]
- Wang, Y.; Lu, Z.; Cao, P.; Chu, J.; Wang, H.; Wattenhofer, R. How Live Streaming Changes Shopping Decisions in E-Commerce: A Study of Live Streaming Commerce. Comput. Support. Coop. Work CSCW 2022, 31, 701–729. [Google Scholar] [CrossRef]
- Huang, S.; Gao, Y.; Wang, Y. Supply Chain Channel Structure with Online Platform and Dual-Purpose Firms. Transp. Res. Part E Logist. Transp. Rev. 2023, 180, 103363. [Google Scholar] [CrossRef]
- Shi, S.; Wang, C.; Cheng, T.C.E.; Liu, S. Manufacturer Encroachment with an E-commerce Division. Prod. Oper. Manag. 2023, 32, 2002–2019. [Google Scholar] [CrossRef]
- Hosseini-Motlagh, S.-M.; Choi, T.-M.; Johari, M.; Nouri-Harzvili, M. A Profit Surplus Distribution Mechanism for Supply Chain Coordination: An Evolutionary Game-Theoretic Analysis. Eur. J. Oper. Res. 2022, 301, 561–575. [Google Scholar] [CrossRef]
- Liu, H.; Luo, R.; Li, L.; Shao, S.; Liu, Y.; Zhang, C.; Yang, Y. Study on the Selection of Takeaway Operating Modes from a Restaurant Perspective. Systems 2024, 12, 536. [Google Scholar] [CrossRef]
- Wang, G.; Chao, Y.; Cao, Y.; Jiang, T.; Han, W.; Chen, Z. A Comprehensive Review of Research Works Based on Evolutionary Game Theory for Sustainable Energy Development. Energy Rep. 2022, 8, 114–136. [Google Scholar] [CrossRef]
- Xu, L.; Di, Z.; Chen, J.; Shi, J.; Yang, C. Evolutionary Game Analysis on Behavior Strategies of Multiple Stakeholders in Maritime Shore Power System. Ocean Coast. Manag. 2021, 202, 105508. [Google Scholar] [CrossRef]
- Kahneman, D. Tversky A Prospect Theory: An Analysis of Decision under Risk. Econometrica 1979, 47, 263–291. [Google Scholar] [CrossRef]
- Brünner, T.; Reiner, J.; Natter, M.; Skiera, B. Prospect Theory in a Dynamic Game: Theory and Evidence from Online Pay-per-Bid Auctions. J. Econ. Behav. Organ. 2019, 164, 215–234. [Google Scholar] [CrossRef]
- Dorahaki, S.; Rashidinejad, M.; Fatemi Ardestani, S.F.; Abdollahi, A.; Salehizadeh, M.R. A Peer-to-Peer Energy Trading Market Model Based on Time-Driven Prospect Theory in a Smart and Sustainable Energy Community. Sustain. Energy Grids Netw. 2021, 28, 100542. [Google Scholar] [CrossRef]
- Wang, Y.; Xu, J. Synergistic Evolution in the Digital Transformation of the Whole Rural E-Commerce Industry Chain: A Game Analysis Using Prospect Theory. Systems 2025, 13, 117. [Google Scholar] [CrossRef]
- Fan, L.; Zhang, C.; Lian, K.; Chen, J. Tripartite Evolutionary Game Analysis on the Employment of University Graduates from the Perspective of the Talent Supply Chain Based on Prospect Theory. Systems 2025, 13, 205. [Google Scholar] [CrossRef]
- Yong, X.; Tao, Y.; Wu, Y.; Chen, W. Rent-Seeking Analysis of Carbon Emission Verification Based on Game Theory and Prospect Theory from the Perspective of Multi-Participation. J. Clean. Prod. 2024, 438, 140784. [Google Scholar] [CrossRef]
- Burgess, B.; Yaoyuneyong, G.; Pollitte, W.A.; Sullivan, P. Adopting Retail Technology in Crises: Integrating TAM and Prospect Theory Perspectives. Int. J. Retail Distrib. Manag. 2023, 51, 939–954. [Google Scholar] [CrossRef]
- Luo, X.; Cheah, J.-H.; Hollebeek, L.D.; Lim, X.-J. Boosting Customers’ Impulsive Buying Tendency in Live-Streaming Commerce: The Role of Customer Engagement and Deal Proneness. J. Retail. Consum. Serv. 2024, 77, 103644. [Google Scholar] [CrossRef]
- Lee, J.A.; Sudarshan, S.; Sussman, K.L.; Bright, L.F.; Eastin, M.S. Why Are Consumers Following Social Media Influencers on Instagram? Exploration of Consumers’ Motives for Following Influencers and the Role of Materialism. Int. J. Advert. 2022, 41, 78–100. [Google Scholar] [CrossRef]
- Wongkitrungrueng, A.; Assarut, N. The Role of Live Streaming in Building Consumer Trust and Engagement with Social Commerce Sellers. J. Bus. Res. 2020, 117, 543–556. [Google Scholar] [CrossRef]
- Zhang, Y.; Li, X.; Liu, R.; Shuai, Q.; Huang, C. How Facial Cues of Streamers Drive Purchase Intention in Live Streaming Commerce: Based on a Lens Model. J. Bus. Res. 2025, 190, 115193. [Google Scholar] [CrossRef]
- Niu, B.; Yu, X.; Li, Q.; Wang, Y. Gains and Losses of Key Opinion Leaders’ Product Promotion in Livestream E-Commerce. Omega 2023, 117, 102846. [Google Scholar] [CrossRef]
- Niu, B.; Chen, Y.; Zhang, J.; Chen, K.; Jin, Y. Brands’ Livestream Selling with Influencers’ Converting Fans into Consumers. Omega 2025, 131, 103195. [Google Scholar] [CrossRef]
- Lu, W.; Ji, X.; Wu, J. Retailer’s Information Sharing and Manufacturer’s Channel Expansion in the Live-Streaming E-Commerce Era. Eur. J. Oper. Res. 2025, 320, 527–543. [Google Scholar] [CrossRef]
- Ji, G.; Fu, T.; Li, S. Optimal Selling Format Considering Price Discount Strategy in Live-Streaming Commerce. Eur. J. Oper. Res. 2023, 309, 529–544. [Google Scholar] [CrossRef]
- Bu, Y.; Parkinson, J.; Thaichon, P. Influencer Marketing: Homophily, Customer Value Co-Creation Behaviour and Purchase Intention. J. Retail. Consum. Serv. 2022, 66, 102904. [Google Scholar] [CrossRef]
- Pick, M. Psychological Ownership in Social Media Influencer Marketing. Eur. Bus. Rev. 2021, 33. [Google Scholar] [CrossRef]
- Zhang, J.; Cai, L.; Zheng, X. How Influencers Can Enhance Consumer Responses by Value Co-Creation. Eur. J. Mark. 2024, 58, 2566–2595. [Google Scholar] [CrossRef]
- Zhou, H.; Gai, P. Collaborative governance strategy of marketing problems in online celebrity based on tripartite evolutionary game. China Soft Sci. 2024, S1, 100–111. [Google Scholar]
- He, P.; Shang, Q.; Wang, X.J.; Wang, T.; Chen, Z. Evolutionary game analysis of e-commerce supply chain considering platform supervision under the background of “Live streaming +”. Syst. Eng.—Theory Pract. 2023, 43, 2366–2379. [Google Scholar]
- Fargetta, G.; Scrimali, L.R.M. A Tripartite Evolutionary Game for Strategic Decision-Making in Live-Streaming e-Commerce. J. Comput. Sci. 2025, 87, 102585. [Google Scholar] [CrossRef]
- Pu, X.; Wang, Z.; Zhang, W. Optimal Homing Policy of the Manufacturer Facing Competing Platforms: The Effect of Selling Formats. Int. J. Prod. Res. 2024, 62, 7382–7411. [Google Scholar] [CrossRef]
- Zuo, W.; Chen, S.; Wang, X.; Chen, H. Multiple attribute behavioral decision-making model of internet consumers based on prospect theory. J. Ind. Eng. Eng. Manag. 2019, 33, 125–135. [Google Scholar]
- Tversky, A.; Kahneman, D. Advances in Prospect Theory: Cumulative Representation of Uncertainty. J. Risk Uncertain. 1992, 5, 297–323. [Google Scholar] [CrossRef]
- Shao, L.; Wu, X.; Zhang, F. Sourcing Competition under Cost Uncertainty and Information Asymmetry. Prod. Oper. Manag. 2020, 29, 447–461. [Google Scholar] [CrossRef]
- Bian, Y.; Xiao, T. Returns Management in a Supply Chain Considering Freight Insurance and Consumer Disappointment Aversion. Transp. Res. Part E Logist. Transp. Rev. 2025, 195, 103975. [Google Scholar] [CrossRef]
- Tan, Y.; Huang, X.; Li, W. Does Blockchain-Based Traceability System Guarantee Information Authenticity? An Evolutionary Game Approach. Int. J. Prod. Econ. 2023, 264, 108974. [Google Scholar] [CrossRef]


















| Key Contribution | Evolutionary Game Theory | Traditional Game Theory | PT | Game Player | ||||
|---|---|---|---|---|---|---|---|---|
| Brand | KOL | Consumer | Platform | |||||
| Niu et al. [24] | Brand owners use KOLs or not | √ | √ | √ | √ | |||
| Pu et al. [34] | Platform competition | √ | √ | √ | ||||
| Zuo et al. [35] | Consumer behavior | √ | √ | √ | ||||
| Zhou et al. [31] | KOL collaborative governance | √ | √ | √ | √ | |||
| He et al. [32] | Platform supervision | √ | √ | √ | √ | |||
| Fargetta and Scrimali [33] | Tripartite strategic interaction | √ | √ | √ | √ | |||
| This paper | Brand and KOL interaction-based PT | √ | √ | √ | √ | |||
| Notation | Description |
|---|---|
| The proportion of brands choosing “information disclosure” | |
| The proportion of KOLs choosing “truthful promotion” | |
| Probability of the occurrence of event i | |
| The sensitivity of the game participants to their payoffs | |
| The sensitivity of the game participants to their losses | |
| The loss aversion coefficient of the game participants | |
| The contract value of live-streaming e-commerce | |
| KOLs’ contract fulfillment capability | |
| The initial contract fulfillment capability of the KOLs | |
| The increment caused by misinformation and deceptive promotion | |
| The commission rate of the KOLs | |
| The environmental uncertainty of live-streaming e-commerce | |
| The extent of misinformation by brands | |
| The extent of deceptive promotion by KOLs | |
| The adjustment coefficient for the cumulative effect of KOLs’ contract fulfillment capability by the game participants | |
| The unit return cost coefficient generated by | |
| The unit reputation loss coefficient generated by | |
| The long-term brand value | |
| The brand’s level of trust in the KOL’s integrity |
| Brands | KOLs | |
|---|---|---|
| Truthful Promotion | ||
| Information disclosure | ||
| Misinformation | ||
| Equilibrium Point | Eigenvalue | The Sign of Eigenvalue | Local Stability |
|---|---|---|---|
| , ESS | |||
| , ESS | |||
| , ESS | |||
| , ESS | |||
| Saddle point, tr is 0, it is not possible for the system to be an ESS. |
| Parameter | |||||||||||||
| Value | 0.2 | 0 | 1.2 | 1.3 | 0.9 | 1 | 0.24 | 0.26 | 0.45 | 0.2 | 0.44 | 0.46 | 0.65 |
| Parameter | |||||||||||||
| Value | 100 | 0.5 | 0.1 | 0.3 | 0.3 | 1.5 | 0.88 | 0.88 | 2.25 | 0.5 | 0.5 | 0.5 | 0.5 |
Disclaimer/Publisher’s Note: The statements, opinions and data contained in all publications are solely those of the individual author(s) and contributor(s) and not of MDPI and/or the editor(s). MDPI and/or the editor(s) disclaim responsibility for any injury to people or property resulting from any ideas, methods, instructions or products referred to in the content. |
© 2025 by the authors. Licensee MDPI, Basel, Switzerland. This article is an open access article distributed under the terms and conditions of the Creative Commons Attribution (CC BY) license (https://creativecommons.org/licenses/by/4.0/).
Share and Cite
Shao, S.; Wang, Y.; Li, Z.; Li, L.; Shi, X.; Liu, H.; Gao, Z. Strategic Interaction Between Brands and KOLs in Live-Streaming E-Commerce: An Evolutionary Game Analysis Using Prospect Theory. Systems 2025, 13, 528. https://doi.org/10.3390/systems13070528
Shao S, Wang Y, Li Z, Li L, Shi X, Liu H, Gao Z. Strategic Interaction Between Brands and KOLs in Live-Streaming E-Commerce: An Evolutionary Game Analysis Using Prospect Theory. Systems. 2025; 13(7):528. https://doi.org/10.3390/systems13070528
Chicago/Turabian StyleShao, Shizhe, Yonggang Wang, Zheng Li, Luxin Li, Xiuping Shi, Hao Liu, and Ziyu Gao. 2025. "Strategic Interaction Between Brands and KOLs in Live-Streaming E-Commerce: An Evolutionary Game Analysis Using Prospect Theory" Systems 13, no. 7: 528. https://doi.org/10.3390/systems13070528
APA StyleShao, S., Wang, Y., Li, Z., Li, L., Shi, X., Liu, H., & Gao, Z. (2025). Strategic Interaction Between Brands and KOLs in Live-Streaming E-Commerce: An Evolutionary Game Analysis Using Prospect Theory. Systems, 13(7), 528. https://doi.org/10.3390/systems13070528

