Abstract
In the context of the carbon neutrality vision and digital economy development, the green effects of blockchain technology (BT), a key innovation in the digital era, deserve special attention. Based on strategic choice theory, Chinese A-share listed companies have been selected as the research objects, and the impact of BT application on green transformation (GT) has been empirically tested using a difference-in-difference model. Experimental results show that (1) BT can promote the GT of enterprises. (2) The mechanism testing results indicate that alleviating financing constraints, reducing transaction costs, and minimizing executives’ short-termism are important channels through which BT affects the GT of enterprises. (3) The moderating effects indicate that capital market attention, environmental regulations intensity, and government subsidies can further amplify the role of BT in promoting GT of enterprises. The research conclusions broaden the BT application scenarios and provide theoretical support and practical reference for BT, enabling corporations to achieve sustainable development.
1. Introduction
The 70th session of the United Nations General Assembly adopted the 2030 Agenda for Sustainable Development, which requires member states to adopt sustainable production models and promote sustainable economic growth [1]. The International Financial Reporting Sustainability Disclosure Standards require companies to disclose sustainable development risks and opportunities, and companies need to improve their environmental data disclosure system to meet the requirements of global investors. Export-oriented enterprises that fail to meet the standards may face international market access restrictions or increased financing costs [2]. Enterprises, as important micro entities in the market, focus on the impact of their business activities on the environment. However, increasing investment in technological improvements, environmental supervision, and other aspects also increases their own economic pressure [3]. Countries worldwide have increased their efforts in environmental regulations (ERs) to promote enterprise green transformation (GT) to cope with increasingly severe environmental problems. At present, the central and local governments in China have successively introduced a series of ERs. For example, the Chinese government implemented a carbon trading policy in 2013, requiring companies to participate in the carbon market and reduce carbon emissions [4]. The Chinese government implemented a green finance policy in 2017, requiring financial institutions to increase loan thresholds and interest rates for polluting enterprises, thereby forcing them to reduce pollution emissions [5].
Enterprises are forced to increase green investment under compliance requirements, and GT has achieved certain results. However, due to the often inconsistent goals of the central and local governments in economic and green development, formal ERs face problems of insufficient enforcement or high cost, and low efficiency in the implementation process. Consequently, specific policies cannot achieve the expected governance effects. The practice of environmental governance in China has shown that the use of administrative measures, such as fines, closures, and rectification, to force enterprises to passively undergo GT leads to economic losses, greatly damaging their vitality. Strict ERs are not conducive to industrial development and stable economic operation, increasing the repetitive game between enterprises and regulatory departments, consequently increasing regulatory difficulty, raising governance costs, and reducing social welfare levels [6]. Previous studies have also shown that overly strict ERs by the governments can increase production costs of the enterprises [7], ultimately decreasing their international competitiveness [8]. Compared with rigid ERs that force companies to undergo GT passively, adopting appropriate methods for GT is an important and must be urgently addressed at this stage.
With the continuous improvement and development of digital technology, China has entered the era of the digital economy. Blockchain technology (BT) has been gradually applied in multiple fields due to its openness, full traceability, and tamper-proof information [9,10]. For enterprises, on the one hand, they can leverage the traceable and tamper-proof features of BT to improve information transparency and reduce financing and transaction costs [11], thereby minimizing their financing constraints during GT. On the other hand, enterprises use BT to build trust platforms, promote interaction and cooperation among innovation entities [12], form a collaborative innovation model with complementary advantages, and ensure the secure exchange of confidential information between various entities [13]. In this regard, they provide security guarantees for innovation cooperation and patent protection among enterprises. The theory of strategic selection suggests that the external environment encountered by enterprises affects their strategic decisions. Following the analysis of their own conditions and external environment, enterprises can autonomously select a feasible strategy to respond to changes in the internal and external environment [14]. Under the urgent challenge of environmental pollution, the unique characteristics of BT provide an opportunity for enterprises to implement the GT strategy. In fact, whether and how a company applies BT is a part of its decision making, where the executive team plays a crucial role [15]. The executive team, which is the key decision-making body, considers the feasibility of applying BT to GT, considering their own experiences, the actual situation of the enterprise, and the external market environment. Local government actions influence whether enterprises apply BT for GT. For example, the government can guide enterprises to apply digital technologies, such as BT, by providing government subsidies [16,17]. In addition, enterprises in regions with different ER strengths have different effects in using BT to promote the GT strategy [18]. Therefore, the moderating effect of the external environment on enterprises’ application of BT for GT must be further analyzed. In this view, Chinese A-share listed companies from 2013 to 2022 are selected as samples; they are divided into a treatment group and a control group based on whether the companies actually applied BT. The difference-in-difference (DID) method is used to empirically study the impact of BT application on corporate GT, further examining the mechanism of action. The research approach of this study is shown in Figure 1.
Figure 1.
Research approach.
The possible marginal contributions and practical significance of this study are as follows: first, the existing literature has not included BT and enterprise GT in a unified analytical framework, nor has it examined the causal relationship between them, and there is relatively little microeconomic impact on BT. From the perspective of strategic choice theory, the impact of BT application on corporate GT is explored, enriching the research on the micro-level application effects of BT. Second, this study proposes and verifies that the application of BT promotes GT of enterprises through three paths: alleviating financing constraints (FC), reducing transaction costs (TC), and reducing the degree of executives’ short-termism (ES). It provides useful supplements to the existing literature about the GT path of enterprises. In addition, it also provides a reference for how to help enterprises actively carry out GT using BT in the current context of sustainable development. Third, considering capital market attention, the intensity of ERs, and government subsidies, their moderating role in promoting GT is analyzed through BT application in enterprises, providing empirical support for the capital market and government to effectively leverage the development dividends of BT to improve the sustainable development capabilities of enterprises. This study expands the research perspective of GT, provides new ideas for the integration of digital transformation and GT, and offers a path for Chinese enterprises to achieve coordination under the “dual carbon” vision.
2. Literature Review
2.1. Research on Enterprise GT
Scholars have conducted extensive research on the connotation, measurement methods, and influencing factors of corporate GT. From the perspective of the transformation of development models, the GT of enterprises is viewed as a further deepening of the broader industrial GT. This understanding inherits the dominant idea of industrial-level GT, which emphasizes green principles throughout production and business activities to ensure sustainability and environmental protection. Thomas (2015) and Ferguson (2015) focused more on the evolution of corporate GT toward sustainable or green economic development, which may be driven by innovation in energy technology, high efficiency in resource utilization, or the gradual transition from classic economic models to environmentally friendly economic models [19,20]. Similarly, Jansson (2013) mentioned that corporate GT represents a fundamental change in corporate development strategy, shifting from the previous high pollution mode to a resource-efficient and environmentally friendly green development path [21]. When viewed from the perspective of behavioral change, a certain degree of consensus indicates that the core of corporate GT lies in green innovation (GI). This type of GI involves the comprehensive innovation of enterprises, such as green technology progress, green product design, green management mechanisms, and continuous innovation in green corporate culture [22].
The two main methods for measuring the GT of enterprises include the use of two dimensions, such as total factor productivity (TFP), to measure the GT. For example, Wan et al. (2021) calculated the GT of manufacturing enterprises from the dimensions of emission reduction and efficiency improvement, namely, pollution emission intensity and TFP [23]. Wang and Wang (2022) used dual dimensional indicators to measure the GT from the perspectives of economic efficiency and social benefits. Economic efficiency is measured by the TFP of enterprises, whereas social benefits are measured by the enterprises’ ESG performance [24]. Hu et al. (2023) measured the GT of enterprises from two perspectives: GI and efficiency optimization. GI of enterprises is measured by the number of green patent authorizations, whereas efficiency optimization is measured by the TFP of the enterprises [18]. The second method involves using the DSBM model to directly measure the green TFP, considering unexpected output (wastewater, exhaust gas, chemical oxygen demand, and sulfur dioxide) to measure the GT of enterprises [25,26,27].
The research on the influencing factors of corporate GT can be divided into two aspects. From the perspective of internal influencing factors within a company, Du et al. (2018) found that green product innovation can enhance the company’s image and reputation, thereby becoming an important source for companies to gain a competitive advantage [28]. Zhai and An (2020) believed that a company’s human capital, financing capability, and technological innovation positively affect the GT of manufacturing enterprises [29]. Taklo et al. (2020) also pointed out that companies can reshape their traditional production models and produce environmentally friendly products through green technology research and development. This transformation not only attracts a wider consumer base but also provides businesses with an advantage in green competition [30]. From the perspective of external influencing factors of enterprises, relevant discussions mainly focus on the impact of ERs on the GT. The results show that different environmental policies exhibit varying effects on the GT of enterprises [31,32,33].
There is a wealth of research on the GT of enterprises, which provides literature support for us to measure GT and analyze the mechanism of BT’s impact on enterprise GT. However, existing research has not linked BT with corporate GT, and their impact relationship is still unclear. Therefore, this is precisely the breakthrough point of our research.
2.2. Research on BT
The academic research on the application of BT in enterprises mainly focuses on the theoretical exploration of this technology in supply chain finance, supply chain management, and enterprise business process management [34,35], analyzing the feasible path and mechanism of blockchain application. Some scholars have also explored the impact of emerging technologies, such as blockchain, on corporate strategic management from a technical perspective [36,37]. However, existing research encompasses mostly qualitative normative analysis, lacking quantitative empirical analysis, and neglecting the application effects of BT in enterprise innovation and governance. In addition, the widespread application of BT provides a series of economic consequences, and existing research on the economic consequences of blockchain technology mainly focuses on business processes and supply chain finance. In terms of improving business processes, BT effectively reduces the sales expense ratio [38], promotes enterprise innovation [39], and enhances enterprise performance [40] by increasing the productivity of enterprise workers, optimizing the automatic transaction process of resources [41,42], and promoting the intelligence and networking process of the industrial chain. As research deepens, some scholars have found that a higher proportion of independent directors and equity concentration, as well as the expansion of corporate asset size, are key factors for BT to fully play its role in corporate governance [38,40]. In optimizing supply chain finance, BT can not only ensure data integrity during the transaction process [35] but also reduce financial institution risks by minimizing information asymmetry and strengthening regulatory oversight of relevant institutions.
With the gradual advancement of the “dual carbon” strategy, the deep integration of digital technology and GT has become an important measure to achieve the “dual carbon” goal, especially with the broad application space of BT in this field. BT has become an ideal tool to alleviate FC for GT of enterprises and establish a collaborative innovation trust mechanism due to issues, such as high financing costs, high adjustment costs, and non-exclusivity of innovation [42]. At present, GT is essential for reducing energy consumption, decreasing pollution emissions, and promoting sustainable development [43]. The implementation of the GT strategy by enterprises is a systematic project. Small FC, high information transparency, and sustained innovation cooperation are the bases for carrying out GT activities. BT, with its own characteristics, enables enterprises to overcome financing difficulties, reduce information asymmetry, strengthen innovation cooperation between enterprises, and ultimately promote GT.
3. Research Hypothesis
3.1. The Direct Impact of BT on Enterprise GT
Blockchain is a distributed database that can record transactions between parties in a verifiable and immutable manner. The difference between blockchain systems and traditional databases lies in their transparency. Traditional databases are centrally stored in an organization’s infrastructure, similar to the accounts of all customers in a bank. Contrary to traditional databases that overwrite old records, each new transaction in a blockchain system is grouped with other old transactions and added to the blockchain system in a linear and sequential manner. Therefore, the database contains every transaction that has occurred in the previous blockchain. Once a transaction of a block is recorded, it is considered immutable and permanently entered into the database. Thus, BT can improve the transparency of transactions between parties, and transparency is an economic mechanism that saves transaction costs in the socio-economic system. It has the economic function of weakening information asymmetry, alleviating corporate FC and agency problems, thereby increasing corporate R&D funding investment [3,44]. The increase in research and development investment can help enterprises apply clean energy technologies and upgrade environmental protection equipment and processes in the production process [6]. Thus, reducing environmental costs, reshaping green core competitiveness, and significantly promoting corporate GT.
On this basis, the following hypothesis is proposed.
H1.
The application of BT can promote the GT of enterprises.
3.2. The Indirect Impact of BT on Enterprise GT
3.2.1. BT Promotes GT of Enterprises by Alleviating FC
The development of BT has promoted the innovation and efficiency improvement of financing models. It can not only effectively alleviate the problem of information asymmetry in the capital needs of enterprises in production and operation, but also at different stages of development, providing possibilities for solving the problems of difficult and expensive financing for enterprises. When the FC of enterprises is alleviated, they can invest a large amount of research and development funds in green technology projects to promote their GT. Specifically, the GT of enterprises is a long-term process that requires significant investment in research and development funds. Enterprises cannot easily sustain long-term green research and development projects solely through internal financing, and external financing is required to promote GT [45]. However, when seeking external funding, the high uncertainty of GT output and the high risk of innovation failure cause difficulty in estimating expected returns [46]. Meanwhile, the moral hazard caused by information asymmetry decreases the investors’ willingness to invest in enterprises, resulting in strong FC for GT activities of enterprises [47]. Generally, when enterprises obtain external financing, they send effective signals to external investors. However, due to issues, such as trade secrets, this effective private information is difficult to copy and is costly. In signal transmission, due to the lack of stable and perfect trust mechanisms, enterprises must pay additional credit costs to obtain external financing [48]. These aspects increase the financing costs of enterprises, thereby exacerbating their FC. The main purpose of enterprise GT is to reduce pollution emissions and energy consumption through energy-saving and emission reduction technologies or the production of green products. The environmental information disclosed by enterprises can reflect their emission reduction situation to a certain extent, thereby understanding their GT achievements. Enterprises can ensure the authenticity and reliability of information, improve information disclosure efficiency, reduce credit reporting costs, and solve problems, such as information asymmetry between financing parties, through the “traceable information and tamper-proof data” characteristics of BT. The information disclosure platform built by enterprises with the help of BT can enhance the security, transparency, and credibility of the environmental information disclosure process [49], thereby timely obtaining of the necessary funds for GT. In addition, BT can intelligently monitor the entire process of green product design, research and development, and production. This approach is not only beneficial for enterprises to reduce uncontrollable risks in the GT process, but also for external investors and governments to effectively supervise enterprises. The analysis indicates that BT can promote GT by alleviating FC for enterprises.
3.2.2. BT Promotes GT of Enterprises by Reducing TC
BT can improve the transparency of all parties involved in transactions to a certain extent and prevent opportunistic behavior. BT creates an almost tamper-proof and permanent record of previous transactions, resulting in easy detection and tracking of inappropriate behavior. Verified audit trails for previous misconduct can even be enforced legally. The risk of inappropriate behavior exposure can at least prevent more evident fraudulent or manipulative behavior. In addition, BT can reduce the uncertainty faced by enterprises. The BT application in the operation process of enterprises enables obtaining information about inventory and production processes, improving the internal transparency of the company. Therefore, BT can promote the optimization of enterprise business processes and enhance internal monitoring and control capabilities. Process optimization promotes the flexibility of management decisions, thereby reducing the impact of external uncertainty. Meanwhile, the improvement of internal monitoring and control capabilities can eliminate the uncertainty caused by internal factors in the enterprise. According to the transaction cost theory [50], the functional role of BT in expanding bounded rationality, suppressing opportunistic behavior, and reducing uncertainty can decrease TC. Within enterprises, the decrease in TC caused by BT can reduce non-productive expenditures and promote the improvement of operational efficiency and profit margins. The reduction in non-productive expenditures saves funds for enterprise innovation and enables enterprises to allocate more funds toward carrying out GT activities. The improvement of operational efficiency and profit margin can bring incremental funds to the investment in GT of enterprises, achieving sustainable investment and GT output of enterprises. Therefore, BT can promote the GT of enterprises by reducing TC.
3.2.3. BT Promotes GT of Enterprises by Reducing ES
The loss of benefits caused by the different interests and goals pursued by the owners and managers of the company is called agency costs [51]. Company managers may be influenced by stock price, public opinion, and risk, and they are more concerned about the current performance of the company. They tend to select suboptimal short-term investment projects and abandon high-risk long-term projects [52,53]. This type of short-sighted behavior can easily lead to a decrease in R&D expenditure, resulting in future performance damage and a decline in the competitiveness of the enterprise [54]. GT of enterprises is a long-term investment in sustainable development, consequently increasing management costs in the short term. Therefore, it does not have inherent incentives for managers. BT reduces information asymmetry between managers, shareholders, and other stakeholders, improves corporate transparency, reduces supervision costs for shareholders and stakeholders, and is conducive to the effectiveness of shareholder supervision mechanisms. BT can also effectively supervise and constrain management behavior, avoid the short-sighted behavior of enterprise management, reduce agency costs, and force management to undergo GT. Therefore, the enterprises applying BT are more likely to avoid ES behavior that only focuses on immediate benefits, conducive to the GT of the enterprise.
On this basis, the following hypothesis is proposed.
H2.
BT can promote the GT of enterprises by alleviating FC, reducing TC, and minimizing ES.
4. Research Design
4.1. Model Setting
Compared with traditional regression models, the DID model divides the research subjects into a treatment group (enterprises applying BT) and a control group (enterprises not applying BT). The DID model can effectively reduce estimation errors in traditional regression models by comparing the time trends before and after the application of BT in enterprises, as well as the differences in the application of BT between the treatment and control groups. The introduction of BT applications by enterprises constitutes a quasi-natural experiment. Therefore, a DID model is used to explore the impact of BT on the GT of enterprises. Among them, the dynamic DID model extends the single time point to multiple periods, using the traditional DID model. As a result, the problem of differences in the application time points of BT in different enterprises can be effectively solved [55]. This study adopts a dynamic DID model to explore the impact of BT on the GT of enterprises due to the inconsistent timing of applying BT among enterprises.
where GT represents the GT level of an enterprise, and Treat × Time is the core explanatory variable. We set the dummy variable Treat based on whether the enterprise applies BT, and the enterprise that applies BT as the treatment group, assigning a value of 1. Other enterprises are assigned a value of 0. At the same time, according to the time when the enterprise applies BT, a time dummy variable, Time, is set. Time suggests the BT application time. If the enterprise applies BT in the current year, then the value assigned to the current year and subsequent years is 1; otherwise, 0. The α1 coefficient reflects the impact of BT on GT. CV represents a control variable, and μ and γ indicate the time and individual fixed effects, respectively.
4.2. Sample and Variable Definition
4.2.1. Sample
Since 2016, with the successive introduction of policies related to the development of BT, its application has continued to expand, and enterprise blockchain applications have gradually landed. However, in terms of data availability, the lack of disclosure requirements for BT applications in enterprises in China has caused significant difficulties in data collection. Manufacturing enterprises that have been listed from 2013 to 2022 are selected as the research object, considering that the current application of BT still has high costs, whereas the main listed companies have advantages in profitability continuity and financial strength, with certain capabilities in BT application. Keyword analysis of enterprise annual report texts, combined with investor interaction platforms, mainstream media reports, white papers, research reports, and other channels, has been conducted to collect and organize enterprise BT application data. Other related financial data are obtained from the CSMAR economic database and the CNDeepData database. In addition, to ensure the validity of the results, the data are processed as follows: (1) companies with less than two years of listing time are excluded; (2) ST and *ST enterprises are excluded; (3) enterprises with missing main variables are also excluded; (4) continuous variables are subjected to the 1% winsorization process to avoid the potential impact of sample outliers on the results.
4.2.2. Variable Definition
GT: GTof enterprises refers to a strategic transformation in which enterprises actively adopt environmental protection measures, reduce negative impacts on the environment, and achieve sustainable development while pursuing economic benefits. It can specifically manifest as the improvement of green innovation and productivity levels in enterprises [3,14]. We measure enterprise GT with enterprise GI and TFP by using the methods of Hu et al. (2023) [14] and Li et al. (2023) [56]. Specifically, we assess the GI of the enterprises with the number of their green patent authorizations. We use the Levinsohn–Petrin method to measure the TFP of the enterprises, considering their existing research practices [57]. If the values of TFP and GI are higher, it indicates that the level of GT of the enterprise is higher.
BT: This variable is the interaction term (Treat × Time) between the event dummy variable Treat and the time dummy variable Time. According to research by Pan et al. (2020) [38], we manually collected financial reports of sample companies for each year and searched for relevant information on Baidu using the keywords “company abbreviation + blockchain technology” to further eliminate companies that have not actually applied BT and those that applied BT relatively late. At the same time, we recorded the initial year in which each company applied for BT.
Based on research by Zhou et al. (2024) [3], we select some financial indicators at the enterprise level as control variables. Table 1 defines the control variables, and Table 2 shows the descriptive statistical values of the main variables.
Table 1.
Variable description.
Table 2.
Descriptive statistics.
5. Results Analysis
5.1. Benchmark Regression
The results of the effect of BT on the GI and TFP of the enterprises are reported in Table 3. Columns (1) and (3) illustrate that without adding other control variables, the application of BT is significantly positively correlated with enterprise GI and TFP at a 1% level. After adding a series of control variables, columns (2) and (4) show that the core explanatory variable, Treat × Time coefficients, remain positive. The values of the Treat × Time coefficients in the second and fourth columns are 0.097 and 0.031, indicating that the GI and TFP level of enterprises using BT are 9.7% and 3.1% higher, respectively, than those without BT. This indicates that the application of BT has a significant positive impact on promoting GI and TFP in enterprises, that is, BT promotes GT in enterprises and verifies the hypothesis H1. The result of this paper is consistent with that of the existing literature. Research on the economic consequences of BT has confirmed that BT effectively reduces the sales expense ratio [38], promotes enterprise innovation [39], and improves enterprise performance [40] by improving employee productivity and optimizing the automated transaction process of resources [42]. This also indicates that BT plays an important role in promoting enterprise GT.
Table 3.
Overall impact of BT on GT.
5.2. Robustness Tests
5.2.1. Parallel Trend
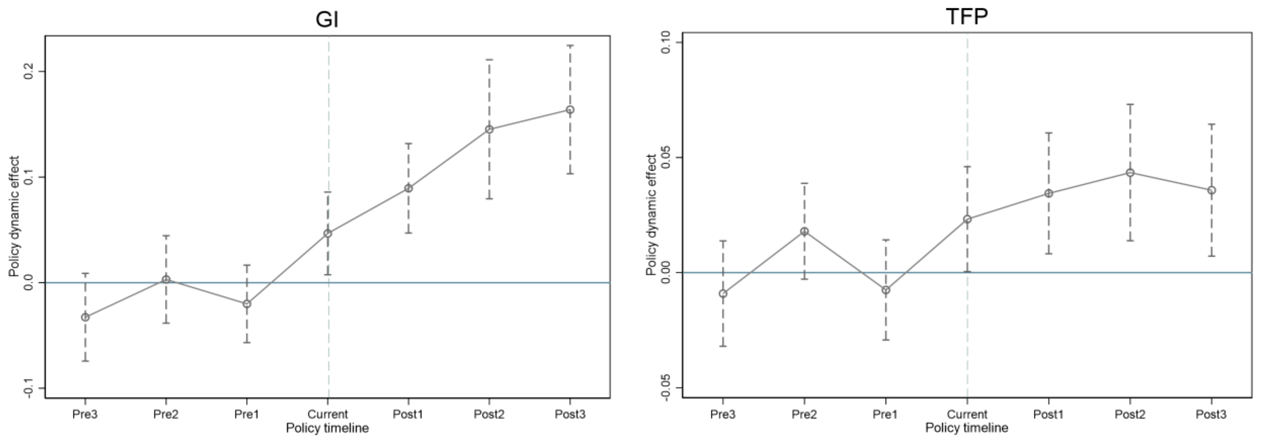
The application of BT in various enterprises indicates that the timing of manufacturing enterprises that start to apply BT is inconsistent. Therefore, the event study method is used for parallel trend testing. The test results are shown in Table 4. Prior to the application of BT in enterprises, the coefficients of the interaction term were insignificant. However, after the application of BT in enterprises, the coefficients of the interaction term are significant. This finding indicates that the parallel trend test has passed. We present the parallel trend results in a graph, as shown in Figure 2. It can be observed that when enterprises apply BT, there are significant changes in GT and TFP between pilot and non-pilot enterprises.
Table 4.
Parallel trend test.
Figure 2.
Parallel trend results.
5.2.2. Placebo Test
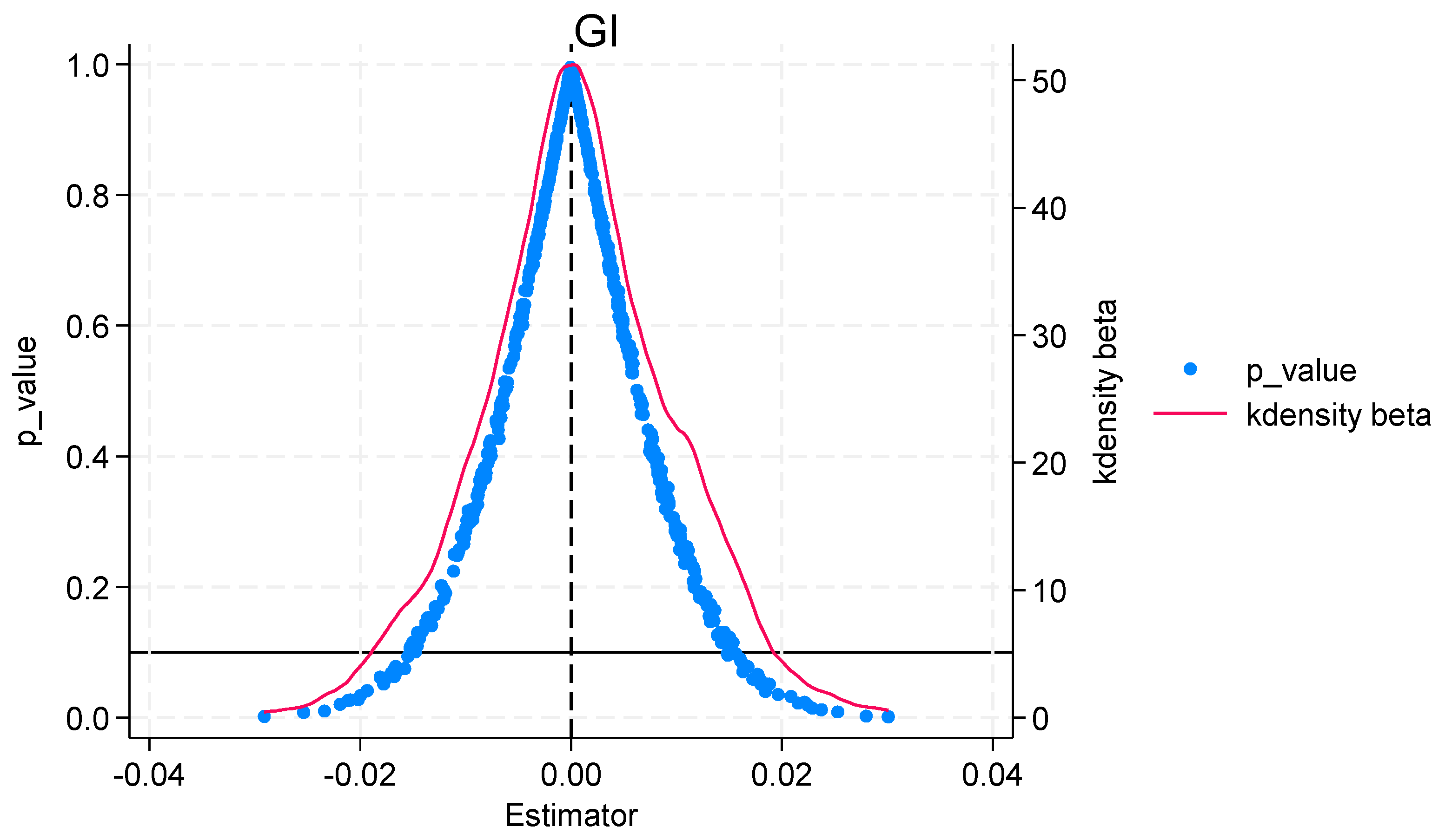
We follow the approach of La Ferrara et al. (2012) [58] and randomly sample 500 times to construct a “virtual policy dummy variable” based on the distribution of BT variables in benchmark regression. We then re-estimate the DID coefficients using model (1), as shown in Figure 3 and Figure 4. The mean regression coefficients of enterprise GI and TFP are close to 0 and much smaller than the coefficients in Table 3, with p-values mostly greater than 0.1. Therefore, the placebo test passed and demonstrated the validity of the baseline results.
Figure 3.
Placebo test with GI as the dependent variable.
Figure 4.
Placebo test with TFP as the dependent variable.
5.2.3. Replace the Explained Variable
Scholars adopted ESG performance as a proxy indicator of GT for measurement because ESG performance can effectively reflect the environmental performance [56]. Therefore, we select the Huazheng ESG index as a measure of GT and conduct regression. Table 5 shows the results after replacing the explained variable, indicating that BT improves the ESG performance of the enterprises. In addition, we use the Olley-Pakes method to measure the TFP of the enterprise and regress the calculated results according to Model (1). The results are shown in Columns 3 and 4, with the core coefficient still being positive.
Table 5.
Results of variable replacement.
5.2.4. Changing the Sample Interval
The outbreak of the COVID-19 pandemic at the end of 2019 had a strong negative impact on the main market enterprises. To avoid the possible interference of COVID-19 on the GT of enterprises, the samples in 2020 and subsequent years are removed, and the impact of BT application on the GT is retested. The regression results are reported in Table 6. Subsequently, the regression coefficients of Treat × Time are significant at the 1% level, indicating that BT can promote the GT of enterprises.
Table 6.
Changing the sample interval.
5.2.5. Propensity Score Matching (PSM)–DID
We further use PSM to re-match the control group with the treatment group enterprises, considering that the model may have sample selection issues. We use control variables as covariates for matching using the kernel matching method. The findings reveal no systematic difference between the treatment group and the control group. After excluding a few unmatched samples, the multi-temporal DID model is used for retesting, and the regression results are shown in Table 7. The regression coefficients of Treat × Time are significant, indicating that BT can promote corporate GT.
Table 7.
PSM–DID.
5.2.6. Exclusion of the Effects of ER
This study controls the possible interference from ER by adjusting Model (1), given that the ER introduced by the Chinese government may affect enterprise GT. For example, China implemented a carbon trading policy in seven provinces in 2011 to compel enterprises to engage in low-carbon production. Therefore, the cross-multiplication term of the province and time fixed effects is added to Model (1). Columns 1 and 2 of Table 8 reveal that the Treat × Time coefficients are significant. Moreover, starting from the urban level, China launched the low-carbon city policy in 2010 to address climate change on a city basis. Thus, the cross-multiplication term of the city and time fixed effects is added to Model (1). The Treat × Time coefficients in columns 3 and 4 are still significant.
Table 8.
Exclusion of the effects of ER.
5.2.7. Robustness Test Based on Machine Learning
This paper has passed endogeneity tests using parameter models such as PSM and the multi-period DID method. However, these methods all have certain limitations. For example, PSM cannot fundamentally solve endogeneity problems caused by selection bias or omitted variables, and cannot estimate well when there are many covariates. When covariates or omitted variables that affect the GT effect of enterprise change over time, the estimation results of the DID method are also difficult to guarantee. To overcome these shortcomings, this paper uses the generalized random forest (GRF) model in machine learning for further empirical estimation. In recent years, many studies on policy effects have shown that GRF is superior to the traditional policy evaluation method [59,60]. The GRF model can avoid sample selection bias caused by subjective grouping, and even in the case of a large number of covariates, the estimation value processing process can still ensure an appropriate range of confidence intervals. In addition, GRF also considers the asymptotic nature of parameters, which is superior to ordinary regression models that cannot estimate the asymptotic nature. Therefore, using the GRF model to calculate the average treatment effect of BT on enterprise GT can further verify the reliability of the causal relationship. According to Wager and Athey (2018) [61], we estimate the average treatment effect of BT on enterprise GT using a generalized random forest model. Table 9 presents the results of the GRF model. The average treatment effect of BT on GI of enterprises remains stable at around 0.216, which supports the impact of BT in improving GI. Similarly, the average therapeutic effect of BT on enterprise TFP remains stable at around 0.104. Therefore, after conducting robustness tests using the GRF model, the core conclusion of this paper has not changed.
Table 9.
GRF results.
5.3. Mechanism Verification
These empirical results indicate that compared with non-BT enterprises, those that apply BT have significantly improved their level of GT. Therefore, through what path does BT affect the GT of enterprises? This section attempts to conduct empirical tests from three aspects: alleviating FC, reducing TC, and reducing ES, to achieve a clearer understanding and comprehension of the mechanism by which BT affects corporate GT. Inspired by Jiang (2022) [62], we construct model (2) to estimate how BT affects corporate GT by alleviating FC, reducing TC, and decreasing ES.
where the Med explanatory variable refers to the enterprise FC, TC, and ES in model (2). Referring to research by Hadlock and Pierce (2010) [63], the SA index is selected to measure FC. We use the management expense ratio of an enterprise to measure its TC. In accordance with Brochet et al. (2015) [64], we conduct text analysis to measure ES. A larger value indicates that the enterprise manager is relatively short-sighted. The results in Table 10 demonstrate the impact of BT on FC, TC, and ES. The Treat × Time coefficients are negative, indicating that BT reduces the FC, TC, and ES of enterprises. Table 11 further verifies the impact of FC, TC, and ES on corporate GT, and the results show that FC, TC, and ES hinder corporate GT. Therefore, BT can promote corporate GT by reducing FC, TC, and ES, suggesting that research hypothesis 2 is valid.
Table 10.
Mechanism test.
Table 11.
Mechanism test.
5.4. Moderating Effect
5.4.1. Capital Market Attention
The driving force for corporate GT is not entirely endogenous. Thus, it not only requires internal capabilities as a basic guarantee but also a certain external push, such as supervision pressure from external investors. Generally, a higher external market attention to environmental issues demonstrates a greater incentive effect on enterprises to accelerate their GT. Specifically, as green development becomes a national strategy, external investors are no longer solely concerned with short-term economic returns, but are beginning to incorporate corporate environmental responsibility into investment considerations. The increasing preference for green investment among investors has prompted companies to focus on their own GT [65]. When the capital market is concentrated, companies are more willing to adopt BT to reduce pollution emissions, fulfill more social responsibilities, and promote the GT of enterprises while increasing their valuation. This study measures capital market attention from the institutional investor shareholding ratio (INST) of enterprises [65]. Table 12 reports the regression results of the interaction term between the Treat × Time and INST. The coefficients of Treat × Time × INST are positive, indicating that when a company receives more attention from the capital market, it enhances the positive impact of BT on its GT. Therefore, capital market attention is conducive to enhancing the positive effects of BT on the GT of enterprises.
Table 12.
Moderating effects.
5.4.2. Environmental Regulations
The GT of enterprises is a change in the original production mode, which requires the reconfiguration of resources between green industries and polluting industries. Thus, the financial and environmental departments must cooperate [66]. On the one hand, in areas with strict ERs, the cost of pollution control for enterprises is higher, requiring more environmental investment and financing. The BT application can alleviate information asymmetry between enterprises and investors, as well as FC for enterprises. On the other hand, the BT application as an inevitable trend for enterprise development has attracted considerable attention from the external sector. BT may play a greater role in environmental governance in regions with significant formal ERs. To analyze the moderating impact of ERs, the proportion of industrial pollution control investment completed in the province, where the registered address of a listed company belongs to the secondary industry, is used to measure the intensity of ERs [67]. Table 12 reports the regression results of the interaction term Treat × Time × ER, which includes BT and ER intensity. The regression coefficients of Treat × Time × ER are positive, indicating that the greater ER intensity enhances the positive impact of BT on their GT. Therefore, the promoting effect of BT can complement formal ERs and play a more significant role in regions with larger ERs.
5.4.3. Government Subsidies
Enterprises often face market failures such as path dependence and environmental externalities in GT, given the characteristics of large capital investment, high risk coefficient, and low success rate. Government subsidies, as a policy tool for regulating the market, enable enterprises to strengthen capital turnover and risk resistance capabilities and address market failures during transformation. First, government subsidies can assist companies in overcoming the positive externalities of GT and overcoming development bottlenecks. The ecological environment has the attribute of public goods. Although enterprises invest resources, they cannot enjoy the benefits alone, easily leading to the phenomenon of “free riding”. Therefore, if the government cannot compensate for the spillover costs, then a considerable number of enterprises may be unwilling to actively engage in GT. Second, government subsidies can alleviate the financial pressure of GT on companies. The use of clean technologies and environmentally friendly materials in GT increases production costs. Funds are provided to enterprises without compensation; thus, government subsidies not only compensate for additional costs but also send a signal of “government recognition” to external investors [68], exhibiting a crowding effect on internal financing and equity financing of enterprises. This condition further alleviates their financial pressure. Finally, government subsidies can stimulate the enthusiasm of enterprises to engage in GT by increasing cash flow to diversify potential risks and accelerate the GT. We use the logarithm of the government subsidy amount to measure government subsidies (GS). Table 11 reports the regression results of the interaction term Treat × Time × GS between BT and government subsidies. The regression coefficients of Treat × Time × GS are positive, indicating that a larger government subsidies received by enterprises enhance the positive impact of BT on their GT.
6. Conclusions
BT, as an important technology for new infrastructure construction, has great potential in promoting disruptive innovation in industrial practices and promoting environmental governance. A dynamic DID model is used to study the impact, mechanism, and heterogeneity analysis of BT application on corporate GT. The following conclusion can be drawn: first, BT can promote the GT of enterprises, and various robustness test results are consistent with benchmark regression results. Second, the mechanism testing results indicate that alleviating financing constraints, reducing transaction costs, and minimizing managerial shortsightedness are important channels through which BT affects its GT. Finally, the moderating effect suggests that capital market attention, environmental regulations intensity, and government subsidies can further amplify the role of BT in promoting enterprise GT.
To promote the development of BT and GT, the following policy implications are proposed: first, considering the significant positive relationship between BT and enterprise GT, that is, BT can promote enterprises to engage in GT. So, enterprises should leverage the trust and traceability mechanism of BT to strengthen green innovation cooperation among enterprises, and apply BT to GT strategies. At present, the development of BT is still in its early stages, with a wide range of application scenarios. The inherent characteristics of BT provide development space for the GT of enterprises. Enterprises should take BT as a breakthrough point for GT, leverage the characteristics of BT, improve their own information transparency, and strengthen cooperation with other innovative entities. The government should also fully leverage its role in guiding the market according to the situation, promote and implement the “blockchain+” development strategy, further improve policy mechanisms, and provide full play to the government’s guiding role.
Second, we find in the mechanism verification that BT can enhance the promotion of corporate GT by alleviating the financing constraints of enterprises. Therefore, alleviating financing constraints is an important channel for BT to enhance the GT. Enterprises can establish an adaptation mechanism between BT and their own financing development needs to achieve a balanced goal of revenue sharing and cost sharing among all participating parties. At the same time, all enterprises should ensure the integrity, security, and traceability of on-chain data, reduce data risks from the source, and increase financing accessibility. Multi-technology collaboration is a development trend applied to address technological uncertainty and improve financing efficiency. Enterprises should achieve the integration and innovation of BT using digital technologies to reduce information asymmetry with stakeholders and further solve the financing difficulties of enterprises. The government should strengthen the construction of BT and financing platforms, continuously optimize the planning and application related to financial technology, promote the improvement of emerging financial technology infrastructure, such as cloud computing and BT, as well as empower the real economy, promote supply chain finance innovation, cultivate emerging business models, and solve enterprise financing problems.
Third, the government must increase support for BT research and development and reduce the cost of BT applications. This BT application is a systematic project that requires the joint efforts of various departments, related enterprises, and other parties to carry out the technological transformation of existing systems, with high initial investment costs. Relevant government departments can provide financial support to manufacturing enterprises through financial subsidies, tax incentives, and other means. They also increase support for technology research and development through the establishment of special funds. Moreover, they establish a long-term communication and cooperation mechanism among enterprises, universities, and research institutions, promote technological integration and innovation through multiple measures and pathways, and solve the problem of low interoperability between different systems in the practical application of BT. When the government provides subsidies for the development of BT to enterprises, enterprises need to submit detailed BT research and development or application plans. The government needs to clarify the purpose, technological path, and expected results of the funds received by enterprises after receiving government subsidies, to ensure that the funds are directed towards the BT field. In addition, the government can verify the compliance of enterprise fund use through regular spot checks, third-party audits, and other methods. Non-compliant enterprises are required to return relevant government subsidies and bear legal responsibilities.
In the mechanism analysis of this paper, the mechanism by which BT affects corporate GT may vary with changes in company structure or size, but we do not discuss this, which is a limitation of our research. We will incorporate more enterprise-level factors into the analysis framework of BT and GT in the future. In the measurement of enterprise BT, we mainly adopt whether to apply BT as a proxy indicator for BT, which may not reflect the magnitude of changes in the level of enterprise BT. In the future, we will seek continuity variables at the enterprise level as proxy indicators for BT. Due to data limitations, our research sample is Chinese listed companies. The research conclusions and policy recommendations of this paper have further discussions on whether they are effective for non-listed enterprises. Therefore, in the future, we will use data from non-listed companies to improve our research in this study.
Author Contributions
Methodology, Y.Z.; Software, C.Z.; Resources, Y.Z.; Writing—original draft, Y.Z.; Writing—review & editing, C.Z.; Funding acquisition, C.Z. All authors have read and agreed to the published version of the manuscript.
Funding
This work was supported by the Major Humanities and Social Sciences Research Projects in Zhejiang higher education institutions (No. 2024QN031), and the Achievement of the Special Project on the ‘Research and Interpretation of the Spirit of the Third Plenary Session of the 20th Central Committee of the Communist Party of China and the Fifth Plenary Session of the 15th Provincial Committee of the Zhejiang Provincial Party Committee’ for Social Science Planning in Zhejiang Province. And the Ningbo Philosophy and Social Science Key Research Base “Research Base on Digital Economy Innovation and Linkage with Hub Free Trade Zones.”
Data Availability Statement
Data are available on request. The data are not publicly available due to the privacy and continuity of the research.
Conflicts of Interest
The authors declare no competing interests.
References
- Rahman, M.M. Impact of taxes on the 2030 agenda for sustainable development: Evidence from organization for economic co-operation and development (OECD) countries. Reg. Sustain. 2023, 4, 235–248. [Google Scholar] [CrossRef]
- Pratama, A.; Jaenudin, E.; Anas, S. Environmental, social, governance sustainability disclosure using international financial reporting sustainability standards S1 in Southeast Asian companies: A preliminary assessment. Int. J. Energy Econ. Policy 2022, 12, 456–472. [Google Scholar]
- Zhou, C.; Qi, S.; Li, Y. Environmental policy uncertainty and green transformation dilemma of Chinese enterprises. J. Environ. Manag. 2024, 370, 122891. [Google Scholar]
- Zhou, C.B.; Qi, S.Z. Can carbon emission trading policy break China’s urban carbon lock-in? J. Environ. Manag. 2024, 353, 120129. [Google Scholar]
- Liu, S.; Wang, Y. Green innovation effect of pilot zones for green finance reform: Evidence of quasi natural experiment. Technol. Forecast. Soc. Chang. 2023, 186, 122079. [Google Scholar]
- Zhou, C.B. Green innovation: A key strategy for enterprises and countries to gain a competitive edge in the global market. Technol. Anal. Strateg. Manag. 2024, 5, 1–17. [Google Scholar]
- Murty, M.N.; Kumar, S. Win–win opportunities and environmental regulation: Testing of porter hypothesis for Indian manufacturing industries. J. Environ. Manag. 2003, 67, 139–144. [Google Scholar]
- Cole, M.A.; Elliott RJ, R. Determining the trade-environment composition effect: The role of capital, labor and environmental regulations. J. Environ. Econ. Manag. 2003, 46, 363–383. [Google Scholar]
- Chen, X.; Zhang, C. A dynamic analysis of a green closed-loop supply chain with different on-line platform smart recycling and selling models. Comput. Ind. Eng. 2025, 200, 110748. [Google Scholar]
- Su, C.; Deng, J.; Li, X.; Huang, W.; Ma, J.; Wang, C.; Wang, X. Investment in enhancing resilience safety of chemical parks under blockchain technology: From the perspective of dynamic reward and punishment mechanisms. J. Loss Prev. Process Ind. 2025, 94, 105523. [Google Scholar]
- Tan, C.; Zeng, Y.; Ip, W.; Wu, C. B2C or O2O? The strategic implications for the fresh produce supply chain based on blockchain technology. Comput. Ind. Eng. 2023, 183, 109499. [Google Scholar] [CrossRef]
- Zhang, L.R.; Peng, B.; Cheng, C.Q. Research on Government Subsidy Strategy of Low-carbon Supply Chain Based on Block-chain Technology. Chin. J. Manag. Sci. 2023, 31, 49–60. [Google Scholar]
- Guo, H.; Yu, X. A survey on blockchain technology and its security. Blockchain Res. Appl. 2022, 3, 100067. [Google Scholar] [CrossRef]
- Hitt, M.A.; Tyler, B.B. Strategic decision models:Integrating different perspectives. Strateg. Manag. J. 1991, 12, 327–351. [Google Scholar] [CrossRef]
- Child, J. Strategic choice in the analysis of action, structure, organizations and environment: Retrospect and prospect. Organ. Stud. 1997, 18, 43–76. [Google Scholar] [CrossRef]
- Liu, S.S.; Hua, G.; Ma, B.J.; Cheng, T.C.E. Competition between green and non-green products in the blockchain era. Int. J. Prod. Econ. 2023, 264, 108970. [Google Scholar] [CrossRef]
- Zhong, J.; Li, Y.; Wu, Y.; Cao, Y.; Li, Z.; Peng, Y.; Qiao, X.; Xu, Y.; Yu, Q.; Yang, X.; et al. Optimal operation of energy hub: An integrated model combined distributionally robust optimization method with stackelberg game. IEEE Trans. Sustain. Energy 2023, 14, 1835–1848. [Google Scholar] [CrossRef]
- Hu, J.; Yu, R.X.; Han, Y.N. Can ESG Rating Promote Green Transformation of Enterprises? J. Quant. Technol. Econ. 2023, 40, 90–111. [Google Scholar]
- Thomas, K.D. Handbook of Research on Sustainable Development and Economics; IGI Global: Hershey, PA, USA, 2015. [Google Scholar]
- Ferguson, P. The green economy agenda: Business as usual or transformational discourse? Environ. Politics 2015, 24, 17–37. [Google Scholar] [CrossRef]
- Jansson, S. Reaching for a sustainable, Resilient urban future using the lens of ecosystem services. Ecol. Econ. 2013, 86, 285–291. [Google Scholar] [CrossRef]
- Xie, X.; Huo, J.; Zou, H. Green process innovation, green product innovation, and corporate financial performance: A content analysis method. J. Bus. Res. 2019, 101, 697–706. [Google Scholar]
- Wan, P.B.; Yang, M.; Chen, L. How Do Environmental Technical Standards Affect the Green Transformation of China’s Manufacturing Industry: A Perspective from Technological Transformation. China Ind. Econ. 2021, 9, 118–136. [Google Scholar]
- Wang, Z.J.; Wang, H. Low-carbon city pilot policy and high quality development of enterprises: From the perspective of economic efficiency and social benefit. Bus. Manag. J. 2022, 44, 43–62. [Google Scholar]
- Zhang, B.; Yu, L.; Sun, C. How does urban environmental legislation guide the green transition of enterprises? Based on the perspective of enterprises’ green total factor productivity. Energy Econ. 2022, 110, 106032. [Google Scholar] [CrossRef]
- Wang, X.; Chu, B.; Ding, H.; Chiu, A.S. Impacts of heterogeneous environmental regulation on green transformation of China’s iron and steel industry: Evidence from dynamic panel threshold regression. J. Clean. Prod. 2023, 382, 135214. [Google Scholar]
- Su, Y.; Zhu, X.; Deng, Y.; Chen, M.; Piao, Z. Does the greening of the tax system promote the green transformation of China’s heavily polluting enterprises? Environ. Sci. Pollut. Res. 2023, 30, 54927–54944. [Google Scholar]
- Du, L.; Zhang, Z.; Feng, T. Linking green customer and supplier integration with green innovation performance: The role of internal integration. Bus. Strategy Environ. 2018, 27, 1583–1595. [Google Scholar]
- Zhai, X.; An, Y. Analyzing influencing factors of green transformation in China’s manufacturing industry under environmental regulation: A structural equation model. J. Clean. Prod. 2020, 251, 119760. [Google Scholar] [CrossRef]
- Taklo, S.K.; Tooranloo, H.S.; Parizi, Z.S. Green Innovation: A Systematic Literature Review. J. Clean. Prod. 2020, 279, 122474. [Google Scholar]
- Lanoie, P.; Patry, M.; Lajeunesse, R. Environmental regulation and productivity: Testing the porter hypothesis. J. Product. Anal. 2008, 30, 121–128. [Google Scholar]
- Dechezlepretre, A.; Sato, M. The Impacts of Environmental Regulations on Competitiveness. Rev. Environ. Econ. Policy 2017, 11, 183–206. [Google Scholar] [CrossRef]
- Ramanathan, R.; He, Q.; Black, A.; Ghobadian, A.; Gallear, D. Environmental regulations, innovation and firm performance: A revisit of the Porter hypothesis. J. Clean. Prod. 2017, 155, 79–92. [Google Scholar] [CrossRef]
- Wu, H.; Li, Z.; King, B.; Ben Miled, Z.; Wassick, J.; Tazelaar, J. A Distributed Ledger for Supply Chain Physical Distribution Visibility. Information 2017, 8, 137. [Google Scholar] [CrossRef]
- Gong, Q.; Ban, M.Y.; Zhang, Y.L. Blockchain, enterprise digitization and supply chain finance innovation. J. Manag. World 2021, 37, 22–34. [Google Scholar]
- Li, Y.J.; Chen, T. Blockchain Empowers Supply Chain: Challenge, Implementation Path and Prospect. Nankai Bus. Rev. 2021, 24, 192–201. [Google Scholar]
- Rimba, P.; Tran, A.B.; Weber, I.; Staples, M.; Ponomarev, A.; Xu, X. Quantifying the Cost of Distrust: Comparing Blockchain and Cloud Services for Business Process Execution. Inf. Syst. Front. 2020, 22, 489–507. [Google Scholar] [CrossRef]
- Pan, X.; Pan, X.; Song, M.; Ai, B.; Ming, Y. Blockchain technology and enterprise operational capabilities: An empirical test. Int. J. Inf. Manag. 2020, 52, 101946. [Google Scholar] [CrossRef]
- Zhong, H.Y.; Zhou, W.Y. The Impact of Blockchain Development on Enterprise Innovation. Stat. Decis. 2022, 16, 163–167. [Google Scholar]
- Lin, X.Y.; Wu, D. Blockchain Technology and Enterprise Performance: The moderating Role of Corporate Governance Structure. Manag. Rev. 2021, 11, 341–352. [Google Scholar]
- Sun, R.; He, D.Y.; Su, H.L. Application of Blockchain Technology to Preventing Supply Chain Finance Based on Evolutionary Game. Chin. J. Manag. Sci. 2023, 3, 1–18. [Google Scholar]
- Wang, Y.Z.; Luo, N.S.; Liu, W.B. What leverage is beneficial to corporate innovation. China Ind. Econ. 2019, 3, 138–155. [Google Scholar]
- Oltra, V.; Saint, J.M. Sectoral systems of environmental innovation: An application to the French automotive industry. Technol. Forecast. Soc. Change 2009, 76, 567–583. [Google Scholar] [CrossRef]
- Li, B.; Xu, H. Does Information Transparency Affect CorporateR&D Innovation? Foreign Econ. Manag. 2020, 42, 30–42. [Google Scholar]
- Su, X.; Pan, C.; Zhou, S.; Zhong, X. Threshold effect of green credit on firms’ green technology innovation: Is environmental information disclosure important? J. Clean. Prod. 2022, 380, 134945. [Google Scholar] [CrossRef]
- Hall, B.H.; Mairesse, J.; Lotti, F. Employment, Innovation, and Productivity: Evidence from Italian Microdata. Ind. Corp. Chang. 2008, 17, 813–839. [Google Scholar]
- Qi, S.Z.; Zhou, C.B.; Li, K.; Tang, S.Y. Influence of a pilot carbon trading policy on enterprises’ low-carbon innovation in China. Clim. Policy 2021, 21, 318–336. [Google Scholar]
- Bergh, D.D.; Ketchen, D.J.; Orlandi, I.; Heugens, P.P.M.A.R.; Boyd, B.K. Information Asymmetry in Management Research: Past Accomplishments and Future Opportunities. J. Manag. 2018, 45, 122–158. [Google Scholar] [CrossRef]
- Wu, W.; Fu, Y.; Wang, Z.; Liu, X.; Niu, Y.; Li, B.; Huang, G.Q. Consortium blockchain-enabled smart ESG reporting platform with token-based incentives for corporate crowdsensing. Comput. Ind. Eng. 2022, 172, 108456. [Google Scholar]
- Coase, R. The Nature of the Firm. Economica 1937, 4, 386–405. [Google Scholar]
- Jones, C.I.; Williams, J.C. Measuring the Social Return to R&D. Q. J. Econ. 1998, 113, 1119–1135. [Google Scholar]
- He, J.J.; Tian, X. The dark side of analyst coverage: The case of innovation. J. Financ. Econ. 2013, 109, 856–878. [Google Scholar]
- Fang, V.W.; Tian, X.; Tice, S. Does Stock Liquidity Enhance or Impede Firm Innovation? J. Financ. 2014, 69, 2085–2125. [Google Scholar]
- Hu, N.; Xue, F.J.; Wang, H.N. Does managerial myopia affect long-term investment? Based on text analysis and machine learning. J. Manag. World 2021, 37, 139–156. [Google Scholar]
- Beck, T.; Ross, L.; Alexey, L. Big Bad Banks? The Winners and Losers from Bank Deregulation in the United States. J. Financ. 2010, 65, 1637–1667. [Google Scholar]
- Li, J.C.; Lian, G.H.; Xu, A.T. Study on the Path of Enterprise Green Transformation Under the Carbon Peaking and Carbon Neutrality Goals: An Empirical Study on Digitalization Driving Greenization. J. Quant. Technol. Econ. 2023, 40, 27–49. [Google Scholar]
- Lu, X.D.; Lian, Y.J. Estimation of Total Factor Productivity of Industrial Enterprises in China: 1999-2007. China Econ. Q. 2012, 11, 541–558. [Google Scholar]
- La Ferrara, E.; Duryea, S.; Chong, A.E. Soap Operas and Fertility: Evidence from Brazil. Am. Econ. J. Appl. Econ. 2012, 4, 1–31. [Google Scholar]
- Athey, S.; Tibshirani, J.; Wager, S. Generalized random forests. Ann. Stat. 2019, 47, 1148–1178. [Google Scholar]
- Athey, S.; Imbens, G.W. Machine learning methods that economists should know about. Annu. Rev. Econ. 2019, 11, 685–725. [Google Scholar]
- Wager, S.; Athey, S. Estimation and Inference of Heterogeneous Treatment Effects using Random Forests. J. Am. Stat. Assoc. 2018, 113, 1228–1242. [Google Scholar] [CrossRef]
- Jiang, T. Mediating effects and moderating effects in causal inference. China Ind. Econ. 2022, 5, 100–120. [Google Scholar]
- Hadlock, C.J.; Pierce, J.R. New evidence on measuring financial constraints: Moving beyond the KZ index. Rev. Financ. Stud. 2010, 5, 1909–1940. [Google Scholar] [CrossRef]
- Brochet, F.; Loumioti, M.; Serafeim, G. Speaking of the short-term: Disclosure horizon and managerial myopia. Rev. Account. Stud. 2015, 20, 1122–1163. [Google Scholar] [CrossRef]
- Fang, X.M.; Na, J.L. Stock Market Reaction to Green Innovation: Evidence from GEM Firms. Econ. Res. J. 2020, 55, 106–123. [Google Scholar]
- Zhang, J.P.; Chen, S.Y. Financial Development, Environmental Regulations and Green Economic Transition. J. Financ. Econ. 2021, 47, 78–93. [Google Scholar]
- Liu, R.Z.; He, C. Study on the Threshold Effect of Environmental Regulations on Income Inequality of Urban Residents. China Soft Sci. 2021, 8, 41–52. [Google Scholar]
- Ren, S.G.; Sun, H.L.; Zhang, T. Do Enrironmental Subsidies Spur Environmental Innoration? Empirical Evidence from Chinese Listed Firms. Technol. Forecasing Soc. Chang. 2021, 173, 121123. [Google Scholar] [CrossRef]
Disclaimer/Publisher’s Note: The statements, opinions and data contained in all publications are solely those of the individual author(s) and contributor(s) and not of MDPI and/or the editor(s). MDPI and/or the editor(s) disclaim responsibility for any injury to people or property resulting from any ideas, methods, instructions or products referred to in the content. |
© 2025 by the authors. Licensee MDPI, Basel, Switzerland. This article is an open access article distributed under the terms and conditions of the Creative Commons Attribution (CC BY) license (https://creativecommons.org/licenses/by/4.0/).



