Abstract
To enhance the security and supervision of emergency materials from their source to transport, thus preventing safety incidents, a tripartite evolution model integrating the government, material production enterprises, and logistics entities is proposed. This model, situated within the framework of a government-established blockchain platform, combines evolutionary game theory and prospect theory. It examines the strategy evolution of emergency material’s security subjects amid diverse government reward punishment measures and enterprise risk perceptions. Our findings indicate that employing dynamic reward–punishment measures not only conserves government regulatory resources but also incentivizes enterprises to enhance the quality of emergency materials security. This dynamic approach effectively encourages responsible behavior, averting rebellious tendencies or speculative mindsets in enterprises with deviating risk perceptions regarding emergency materials security.
1. Introduction
In recent years, numerous countries have grappled with a surge in emergencies. Global records show 387 natural disasters in 2022 alone, resulting in 30,704 fatalities, impacting 185 million individuals, and causing an estimated $223.8 billion in economic losses [1]. The prompt and efficient delivery of emergency provisions is pivotal in minimizing losses during such crises [2]. Consequently, scholars have delved into solutions to bolster emergency supplies’ efficacy. For instance, Paul et al. [3] formulated a recovery model for supply chains during emergencies. Their study explored strategies like extended work hours, increased labor hiring, and accounting for demand fluctuations to enhance production capacity. Xie et al. [4] devised a four-party evolutionary game model focusing on regulatory bodies, social media, vaccine industry stakeholders, and the public. Their research tackled the regulation of vaccine quality in public health crises, examining behavioral shifts within the vaccine industry under joint regulation. Qi and Hu [5] concentrated on the transportation of emergency cold chain materials. They developed an optimization model considering factors like vehicle loss, refrigeration, and cargo damage to optimize transportation paths. Chen et al. [6] utilized the IACO-BP algorithm to predict the demand for emergency supplies during flood disasters, significantly enhancing the precision and efficiency of demand prediction. Comprehensive research on emergency supply security issues plays a pivotal role in fortifying emergency response capabilities.
Consequently, researchers have unearthed blockchain’s value in supporting emergency material distribution. For instance, Almaghrabi and Alhogail [7] tackled the challenge of transparently disclosing the use of socially donated materials by nonprofit organizations during emergencies. They proposed a blockchain-based traceability framework, tracking donated materials from contribution to receipts, fostering openness and transparency throughout the process, thereby bolstering public trust in charitable institutions. Similarly, Omar et al. [8] leveraged blockchain to revamp the supply chain operations of Personal Protective Equipment (PPE) amid epidemic-related shortages. Their solution employed Ethereum smart contracts and decentralized storage systems to ensure precise PPE traceability. Musamih et al. [9] engineered a blockchain-centric regulatory system to combat vaccine wastage during epidemics. By utilizing smart contracts, they automated the management of the vaccine lifecycle stages, curbing wastage and enforcing accountability among relevant parties. Blockchain’s decentralized architecture empowers network participants to collectively maintain stored information, with each record requiring joint verification. Additionally, asymmetric encryption ensures the privacy and security of blockchain data [10]. Consequently, blockchain not only streamlines supply chain management but also distinguishes between authentic and counterfeit products. Kumar and Tripathi [11] merged blockchain with encrypted QR codes to track pharmaceutical supply chains, thwarting counterfeit drugs from manufacturer to consumer. Notably, the FDA initiated a pilot program in 2023 utilizing blockchain and cutting-edge tech to monitor counterfeit drugs and contaminated food [12]. IBM’s Trust Your Supplier solution harnesses blockchain to manage supplier-provided product data and digital identities, curbing the risk of counterfeit products [13]. These initiatives spotlight the potential for establishing a comprehensive traceability system for emergency supplies, encompassing suppliers, manufacturers, testing entities, users, and more. Such systems accelerate data visualization, enhance process transparency, enable lifecycle tracking of emergency supplies during crises, and elevate the quality management and service standards of emergency provisions.
Regarding research into blockchain mechanisms, several scholars have employed evolutionary game theory to scrutinize blockchain’s application in diverse domains. Zhou et al. [14], for instance, employed evolutionary game theory to scrutinize decision-making shifts among platforms and merchants when blockchain technology is integrated into cross-border e-commerce. Similarly, Liu et al. [15] crafted an evolutionary game model encompassing financial institutions, SMEs, and core enterprises to analyze strategy alterations pre- and post-introduction of blockchains in account receivable factoring business. This focused on the risk associated with farm product information being encoded before blockchain recording. They utilized evolutionary game theory to construct a decision-making model for farmers and blockchain regulators to address potential information falsification. Furthermore, Xu and Tian [16] tackled corporate “greenwashing” and defaults impacting green credit financial services. They adopted blockchain for credit assessment, utilizing evolutionary game theory to analyze behavioral choices among corporations and banks in relation to green credit. While classical game theory presumes complete rationality among game subjects [17], in uncertain environments, subjects often exhibit limited rationality. Evolutionary game theory adeptly simulates behavioral evolution in such scenarios [18]. Built upon Lamarck’s genetic theory and Darwin’s biological evolution theory [19], evolutionary game theory represents a dynamic model accounting for game players’ limited rationality, seeking dynamic equilibrium through learning, imitation, and mutation [20]. Indeed, the quality and safety of emergency supplies during crises result not just from regulatory authorities and production enterprises’ management but also from the interplay between these entities. This mutual interdependence can indirectly lead to security incidents concerning emergency supplies. Consequently, an increasing number of studies are leveraging evolutionary game theory concepts within the realm of quality supervision.
Evolutionary game theory provides a means to relax the assumption of complete rationality among game subjects. However, in the real context of supervising the security of emergency materials during crises, both regulatory governments and enterprises often exhibit subjective cognitive biases towards gains and losses, significantly influencing evolutionary trends. Prospect theory, stemming from psychology and behavioral science, effectively captures decision-makers’ distinct risk attitudes regarding gains and losses in uncertain scenarios [21]. Consequently, scholars have integrated prospect theory with evolutionary game theory to delve deeper into strategy shifts when game subjects possess a psychological inclination towards risk. For instance, Sun et al. [22] introduced prospect theory into evolutionary game scenarios involving enterprises and regulatory governments dealing with carbon emission regulations, accounting for their risk cognitive biases. Zhao et al. [23] utilized prospect theory to construct an evolutionary game model between network operators, the regulatory government, and explored the behavioral evolution amidst collusion between operators, cyber-rumor mongers, and government regulation. Shen et al. [24] employed prospect theory to analyze strategic choices among government and watershed polluters under diverse compensation mechanisms in the Taihu Lake Basin, aiming to entice companies to participate in ecological compensation systems. Similarly, Li et al. [25] developed an evolutionary game model involving firms and the government, factoring in prospect theory’s risk perception biases, to drive green technological innovation among firms. Addressing concerns about the lack of a watershed water pollution management scheme for cross-jurisdictional river management, Yuan et al. [26] employed prospect theory, evolutionary games, and system dynamics to elucidate strategic behaviors among riparian stakeholders, often resulting in “free-riding” behaviors. Sun et al. [27] considered different road risks and devised an emergency logistics path selection model based on prospect theory and evolutionary game theory for rescuers, ensuring swift and efficient delivery of emergency supplies to demand points.
In essence, to enhance the quality and safety of emergency supplies while averting security incidents, this study establishes an evolutionary game model involving three key players in emergency materials security: the regulatory government, emergency materials production enterprises, and emergency materials transportation logistics firms. Within the blockchain platform for emergency materials security, this model incorporates the prospect theory’s value and weight functions. These functions serve to adjust the payoff structure for emergency material guarantee enterprises (comprising both material and logistics enterprises) in the model’s payment matrix. This adjustment aims to more accurately simulate enterprises’ risk perception psychology amidst varying governmental measures and the dynamic emergency environment. Additionally, it seeks to further analyze how enterprises respond to diverse governmental incentives and how the bias in their risk perception influences the strategic choices made by each entity involved.
2. Problem Description and Model Construction
2.1. Problem Description
Emergency material security during public health emergencies is crucial for effective crisis management. However, the information concerning raw materials, production processes, technical standards, and supply chain updates is often complex and burdensome, making timely reception and monitoring challenging for government regulators. Such difficulties may lead to misconduct among the entities involved, risking the safety of emergency supplies. Blockchain technology allows for secure storage of emergency material information, enhancing transparency through its trust-building mechanisms, thus enabling government bodies to track materials’ movements and swiftly address issues, improving overall quality control in emergency situations.
However, under the backdrop of blockchain-enhanced cooperation for emergency material security in public health emergencies, manufacturing enterprises are wary of sharing material and corporate data on the blockchain platform due to concerns over privacy breaches. In the unpredictable environment of sudden outbreaks, many inducements might attract these companies to pursue profits at the expense of adhering to emergency material security guidelines, potentially resulting in the opportunistic sharing of false information on the blockchain network [28]. Moreover, logistics firms might consider cutting costs or pursuing other interests, compromising transport conditions for emergency materials, and thereby affecting product quality route and possibly triggering safety incidents. Finally, regulatory authorities, constrained by budgetary considerations, might loosen their oversight on emergency material security measures, which could encourage reckless behavior in cooperating firms, inciting poor conduct in their duties.
In summary, given the application of blockchain in securing emergency supplies for public health crises, this paper selects emergency material producers and logistics firms as partners with the government—one being responsible for the origin of supply, the other for its distribution—analyzing strategies under varying government incentives and corporate psychologies using evolutionary games and prospect theory. The study investigates how differing risk attitudes towards losses and gains affect the quality of emergency material security, aiming to strengthen regulation over critical aspects of production and distribution to improve response quality and prevent safety-related incidents.
2.2. Model Assumptions
This study considers a three-player game model involving the regulatory authority, material production enterprises, and logistics companies, each playing a different role in the emergency material security process. Each participant makes strategic decisions under different supervision and incentive mechanisms, which affect the final quality of material security and transportation efficiency. The game model is constructed as follows.
2.2.1. Participants and Strategy Sets
Regulatory Authority (G): The strategy set of the regulatory authority includes two choices:
Strict Regulation (S): The authority implements stringent supervision measures and closely monitors corporate behavior.
Lenient Regulation (L): The authority applies a more relaxed supervision approach with less intervention in corporate actions.
Material Production Enterprises (M): The strategy set of the material production enterprises includes two choices:
Truthful Sharing (T): The enterprise shares truthful production information on the blockchain platform.
Opportunistic Sharing (O): The enterprise shares false or incomplete production information on the platform.
Logistics Companies (L): The strategy set of logistics companies includes two choices:
Proactive Cooperation (P): The logistics company actively cooperates with government transportation requirements and ensures good transport conditions.
Passive Cooperation (C): The logistics company, considering cost concerns, adopts passive transportation measures.
2.2.2. Payoff Functions
Based on the participants and their strategy sets, the following payoff functions are defined for each player.
(1) Regulatory Authority’s Payoff Function
The payoff of the regulatory authority is composed of two parts: the effectiveness of the policy (depending on the intensity of regulation) and the social reputation (depending on whether emergency incidents are effectively avoided). Therefore, the payoff function for the regulatory authority is as follows:
where
is the reward the government receives under strict regulation;
is the penalty the government faces under lenient regulation;
represents the social reputation of the government.
Material Production Enterprises’ Payoff Function
The payoff of the material production enterprise is determined by the production costs, the economic benefits of information sharing, and government incentives. The payoff function is as follows:
where
is the reward the enterprise receives for truthful sharing;
is the cost incurred by the enterprise for opportunistic sharing;
is the additional benefit from government incentives.
(2) Logistics Companies’ Payoff Function
The payoff of the logistics company is influenced by transportation costs, the degree of cooperation, and government incentives. The payoff function is as follows:
where
is the reward the logistics company receives for proactive cooperation;
is the cost incurred by the logistics company for passive cooperation;
is the government’s incentive for cooperation.
2.2.3. Game Model Analysis
In this game model, the three participants select their strategies to maximize their respective payoffs. The evolutionary dynamics of their strategies are analyzed using evolutionary game theory, assuming that each participant makes decisions based on varying government incentives and penalties in different scenarios. By analyzing the stability of strategies in the game, the optimal regulatory approach and cooperation model for emergency material security are identified.
Assumption 1:
Given the governmental relief attributes of emergency supplies for public health crises, the state pre-purchases and stockpiles such materials, ready to mobilize them during emergencies [29]. In the context of joint emergency material security efforts, the government acts as the overseer, manufacturers serve as the suppliers, and logistics firms handle deliveries. Prior research indicates that reducing supervisory expenses enhances governmental rigor in monitoring activities [30]; hence, substantial upfront investments in blockchain infrastructure for emergency material security could undermine effective surveillance of business conduct. Therefore, this paper posits that the government will rely on third-party blockchain service providers for designing and developing the blockchain platform dedicated to emergency material security, which the government will operate, shouldering the blockchain development cost denoted as C.
Assumption 2:
During the gaming scenario, there exist three principal entities: the regulatory authority (comprising emergency management bureaus and various emergency material security divisions), emergency material producers (companies enlisted on the government’s collaboration whitelist), and logistics firms (partnering with supply firms to execute emergency responses). Existing literature on decision-making by emergency material security stakeholders mostly assumes symmetrical information [31,32], i.e., the government knows the risk aversion levels of partnering enterprises. Yet, real-world circumstances rarely conform to such symmetry. Thus, this study hypothesizes that regulatory authorities can mitigate risks via regulatory levers, assuming neutrality in risk assessment, whereas companies (material and logistics firms alike) weigh factors like loss avoidance and profit maximization, exhibiting risk-seeking behavior alongside bounded rationality [33]. To better simulate the assumption of limited rationality, the paper integrates prospect theory’s value function and weight function to recalibrate firm payoffs [34].
Let T represent the reference point, which is commonly set to either zero or expected gain in previous studies; for analytical simplicity, T = 0 is chosen here. and denote sensitivity coefficients for gains and losses, respectively (with , ), while () signifies the loss aversion coefficient.
The probability weighting function, , is a function of objective probability , satisfying and . The specific formulation of the weighting function is as follows:
Wherein, serves as a weighting factor. Research demonstrates that all parameters within the prospect value function and decision weight function vary contingent upon alterations in the decision scenario. The prospect value can be derived by weighting the value function, , and the probability weighting function, :
Assumption 3:
Both the government and enterprises possess dual strategic options. The government may opt for rigorous supervision, embedding itself to monitor enterprise movements closely, promptly identifying and addressing any substandard practices [35], or incentivize positive behaviors through measures such as tax breaks and financial subsidies. Alternatively, it might choose a lenient oversight strategy, abstaining from intervention in either positive or negative corporate actions. Emergency material producers deliberate on the security issues associated with information sharing on the blockchain platform, deciding between the truthful disclosure of production details or opportunistic sharing, meaning disseminating fictitious or fabricated production information on the blockchain [28]. Logistics companies, aiming to support governmental emergency transportation endeavors, must initially invest in strategic reserves, intangible assets in related equipment and software [36]. Consequently, motivated by cost concerns and privacy protection, logistics might elect proactive engagement or passive cooperation. Summarizing the foregoing, the strategic choice sets for the triad of players are defined in Table 1:
Table 1.
Strategy Selection Chart for Stakeholders.
Assumption 4:
The likelihood of the government enforcing strict supervision is represented by (), whereas the probability of adopting lenient regulation stands at . For the material enterprise, the chance of opting for genuine information sharing is (), contrasting with the probability of engaging in opportunistic sharing, quantified as . Similarly, the odds of a logistics company pursuing proactive collaboration are (), with passive cooperation being characterized by a probability of .
Assumption 5:
When the government enforces stringent oversight, the likelihood of detecting an organization’s passive strategy is considered certain, leading to punitive measures against said complacency. denotes the penalty imposed by the government on enterprises for opportunistic sharing, whereas represents the reprimand meted out to logistics companies for lackluster cooperation. Authorities also extend fiscal incentives or subsidies as rewards for commendable actions. is designated for the government’s remunerations towards material enterprises for honest disclosures, paralleled by , the incentives offered to logistics companies for their proactive engagement [37]. However, under a laissez-faire regulatory approach, the chances of uncovering either party’s positive or negative behavior are negligible, thereby negating any form of punishment or reward.
Assumption 6:
In the realm of emergency material security, all parties share risks and benefits collectively. If one stakeholder adopts a passive stance, the hazard of an emergency incident can potentially be offset by the active strategies of others. For instance, stringent governmental oversight can reveal timely adverse actions and harness the blockchain platform to reclaim problematic resources, averting potential crises. Accordingly, we designate the probability of an emergency incident as p (p ∈ [0, 1] p ∈ [0, 1]). This probability reaches its maximum when all players opt for passive tactics, resulting in = 1, but decreases to nil if everyone selects proactive measures, culminating in .
Assumption 7:
When the supervisory authority enacts rigorous oversight, the public and recipients of emergency supplies recognize and laud these efforts, enhancing the government’s credibility, hence accruing social benefit denoted as . Conversely, lax regulation could trigger passivity from corporations, precipitating emergency incidents, resulting in diminished public esteem and reduced trustworthiness’ for the governing body, manifesting as negative societal effect symbolized by [38]. Analogously, when companies embrace proactive strategies, fully cooperating with emergency relief operations, they are prioritized for future collaborations, listed on the “white list” for emergency material assurance partnerships, with enhanced data sharing and safety levels, improving their reputation and brand image, yielding potential positive returns and . Selecting passive approaches leads to reputational damage and declining prestige, inflicting potential negative consequences and.
Assumption 8:
The stringent regulator utilizes the blockchain platform to pinpoint accountable entities and track problematic goods, incurring administrative costs labeled as . Enterprises practicing sincere sharing have continuous expenditures for maintaining systems on the blockchain, such as hardware upkeep, expert consultations, and data conversion, leading to blockchain data sharing expenses [39]. Likewise, logistics companies actively collaborating will incur expenditures on fixed asset investments and intangible technology assets to ensure real-time updates of cargo status onto the blockchain, summing up to [40].
Assumption 9:
Engaging in emergency material provision yields regular earnings and for organizations. Should one party adopt a passive strategy, yet no emergency incident occurs due to compensatory acts by other stakeholders, the passive player gains speculative profits , specifically , for manufacturers through opportunistic conduct. The speculative profit for the logistics enterprise is [41].
Assumption 10:
The types of emergency supplies investigated herein typically comprise medical items, foodstuffs, and other essentials that see high demand peaks during emergencies, require urgent delivery, and maintain stable pricing in non-crisis times [41]. It necessitates monitoring the origins and transportation status of these critical provisions. Upon the occurrence of an emergency incident, the supervisory authority must address the social fallout and damages incurred, bearing expenses denoted as , alongside facing penalties from higher-ups signified by . Similarly, affected businesses confront losses from event-related damages, encompassed by and [30].
From the aforementioned assumptions, the model parameter table is derived, as shown in Table 2.
Table 2.
Model parameters table.
3. Evolutionary Game Analysis of Static Reward–Penalty Mechanism of Regulatory Authorities
Based on the model assumptions and parameter design detailed in the preceding section, the prospect value matrix for the principal stakeholders in emergency supplies assurance can be deduced when the supervisory authority enacts static reward–penalty measures. This is illustrated in Table 3.
Table 3.
Prospect Value Matrix for Emergency.
3.1. Static Stability Analysis of the Regulatory Authority Strategy with Rewards and Penalties
From Table 3, one can calculate the replicator dynamic equation , as well as its first partial derivative with respect to x, denoted as . First, we define variables and :
According to the stability theorem of differential equations, the condition for the stability of the government’s strategy choice is , and , Therefore, setting , yields the following:
(1) impact of variations in on the stability of the government’s supervision strategy.
When , , meaning all strategic interactions achieve a stable state. When or are two stable states. Let , Consider the following scenarios:
Scenario one: If
① When ; thus, is an evolutionarily stable point, indicating the government selects a strict supervision policy.
② When , is an evolutionarily stable point, suggesting the government opts for a lenient regulation policy.
Scenario Two: If
① When , , at this point is an evolutionary stable point, indicating the regulatory authority chooses a lenient regulation policy.
② When , , at this point is an evolutionary stable point, indicating the regulatory authority chooses a strict supervision policy.
(2) The influence of value on the stability of the regulatory authority’s strategy:
When , , all gaming behaviors reach a steady state. When , or are two stable states. Let , consider the following cases:
Case one: When
① When , , at this point is an evolutionary stable point, meaning the regulatory authority selects a stringent supervision policy.
② when , , at this point is an evolutionary stable point, suggesting the regulatory authority opts for a relaxed supervision policy.
Case Two: when
① When , , at this point is an evolutionary stable point, indicating the regulatory authority chooses a relaxed supervision policy.
② When , , at this point is an evolutionary stable point, signaling the regulatory authority decides on a stringent supervision policy. The phase diagram of the replicator dynamics for regulatory authority is shown in Figure 1.
Figure 1.
Phase diagram of the replicator dynamics for regulatory authority.
Conclusion 1:
Derived frombeing less than zero, it is evident that during emergencies involving safety incidents of emergency supplies, the losses and penalties incurred by the government exceed the rewards and penalties associated with rigorous supervision over companies. The probability of the government implementing strict regulations is inversely proportional to the likelihood of firms adopting proactive strategies. In practical scenarios, due to substantial losses and penalties imposed by higher authorities, if supervision fails, resulting in emergency supply safety incidents, the government will increase oversight intensity when enterprises exhibit low levels of proactivity. However, when firms show high tendencies towards proactive strategies, the government decreases its supervision efforts to conserve resources allocated to stringent regulation. Consequently, when facing significant losses from such safety incidents, the evolutionary game model may reach an ideal state of (0, 1, 1): the government opts for lenient regulation while material and logistics enterprises choose proactive strategies.
3.2. Analysis of the Stability of Corporate Strategies Under Static Reward–Penalty Schemes
From Table 3, the replicator dynamics equation for material enterprises can be computed, as well as the first-order partial derivative of with respect to .
According to the stability theorem of differential equations, the stability condition for the strategy choice of material enterprises is that = 0, and . Therefore, setting ,
(1) The influence of value change on the strategy stability of material enterprises:
When , , which means all gaming behaviors can achieve a steady state. When , or , cases as follows:
Case one: when
① When , , at this point, is the evolutionary stable point, indicating that material enterprises choose the truth-sharing policy.
② When , , at this point, is the evolutionary stable point, indicating that material enterprises choose the opportunistic sharing policy.
Case two: when
① When , , at this point, is the evolutionary stable point, indicating that material enterprises choose the opportunistic sharing policy.
② When , , at this point, is the evolutionary stable point, indicating that material enterprises choose the truth-sharing policy.
(2) The influence of value changes depending on the strategy stability of material enterprises:
When , , which means all gaming behaviors can achieve a steady state. When , or are two stable states. Let , cases as follows:
Case one: when
① when ,, at this point, is the evolutionary stable point, indicating that material enterprises choose the opportunistic sharing policy.
② When , , at this point, is the evolutionary stable point, indicating that material enterprises choose the truth-sharing policy.
Case two:
① When , , at this point, is the evolutionary stable point, indicating that material enterprises choose the truth-sharing policy.
② When , , at this point, is the evolutionary stable point, indicating that material enterprises choose the opportunistic sharing policy. The phase diagram of the replication dynamics for material enterprises is shown in Figure 2.
Figure 2.
Phase diagram of the replication dynamics for material enterprises.
Conclusion 2:
Given 0, when the losses borne by material enterprises due to emergency supply safety incidents are less than the rewards and penalties from strict government supervision, the probability of choosing genuine sharing strategies increases as the probability of strict government regulation rises. In reality, significant rewards and penalties from strict government oversight imply severe consequences for passive strategies by material enterprises. Thus, they gradually gravitate toward truthful disclosure under stringent supervision. Conversely, when 0, it signifies insufficient incentives from strict government supervision relative to the losses from emergency safety incidents. Under lax regulation, material enterprises, considering the high risk of safety events, opt for proactive strategies. Yet, when faced with strict regulation, the lower incidence of safety events leads to opportunistic behavior [42], prompting them to adopt passive strategies for speculative gains.
Conclusion 3:
With 0, where probabilities of strict government supervision and emergency safety incidents are both high, material enterprises face significant government penalties and event-related losses. This cumulative damage drives them, alongside logistics enterprises, toward proactive strategies. On the other hand, when 0, the probability of material enterprises’ truthfulness declines as logistic enterprises’ cooperation increases. Here, the combination of higher chances of lax regulation and lower safety incident rates fosters an enabling environment for opportunism, leading material enterprises to choose opportunity-sharing tactics for speculative benefits.
3.3. Static Analysis of Logistics Enterprises’ Strategy Stability Under Reward–Penalty Regimes
From Table 3, the replicator dynamic equation for logistics enterprises, , along with its first partial derivative concerning z. :
According to the stability theorem of differential equations, the condition for the stability of logistics enterprises’ strategy choice is , and , therefore, setting .
(1) The impact of variations in value on logistics enterprises’ strategy stability
When , , meaning all gaming behaviors can attain a steady state. When , or are two stable states, let , cases as follows:
Case one: When
① When , , this signifies that is an evolutionary stable point, indicating Logistics enterprises choose active cooperation policy.
② When , , this signifies that is an evolutionary stable point, meaning logistics enterprises opt for a passive cooperation policy.
Case two: when
① When , , this signifies that is an evolutionary stable point, meaning logistics enterprises opt for a passive cooperation policy.
② When , , this signifies that is an evolutionary stable point, indicating logistics enterprises choose active cooperation policy.
(2) The impact of variations in value on logistics enterprises’ strategy stability
When , , meaning all gaming behaviors can attain a steady state. When , or are two stable states, let , cases as follows:
Case one: when
① When , , this signifies that is an evolutionary stable point, meaning logistics enterprises opt for a passive cooperation policy.
② When , , this signifies that is an evolutionary stable point, indicating logistics enterprises choose active cooperation policy.
Case two: when
① When , , this signifies that is an evolutionary stable point, indicating logistics enterprises choose active cooperation policy.
② When , , this signifies that is an evolutionary stable point, meaning logistics enterprises opt for a passive cooperation policy. The phase diagram of the replication dynamics for logistics enterprise is shown in Figure 3.
Figure 3.
Phase diagram of the replication dynamics for logistics enterprises.
Conclusion 4:
Derived from, when the penalties and rewards from strict government supervision fall short of the losses logistics enterprises incur during emergency supply safety incidents, the probability of strict government regulation inversely correlates with the likelihood of logistics enterprises opting for active collaboration. In practice, due to significant losses caused by safety incidents and inadequate incentives from the government, further punishment might prompt enterprises to take risks, exhibiting risk-seeking behavior, selecting passive strategies to offset losses through speculative gains. Conversely, when, government incentives outweigh safety event losses for logistics enterprises. Effective government reward and penalty measures constrain poor practices, thereby increasing the probability of active cooperation as the rate of strict government supervision grows.
Conclusion 5:
From , under lenient government supervision, if the occurrence of emergency safety incidents is relatively low, the probability of logistics enterprises engaging in active collaboration diminishes as the true-sharing profile of material enterprises increases. In real-life scenarios, with a low frequency of safety incidents and high probabilities of proactive strategies among material enterprises—fellow business–government collaborative partners—the opportunistic conduct of logistics enterprises becomes triggered, leading them to select passive strategies when material enterprises adopt positive strategies. On the contrary, when , high probabilities of strict government supervision and safety incidents result in considerable aggregate losses for logistics enterprises. As such, they tend increasingly towards active cooperation strategies.
4. Dynamic Reward–Punishment Mechanisms for Regulatory Authorities: An Evolutionary Game Analysis
Based on previous analysis, situations exist wherein static incentive measures by the regulatory authority prove insufficient, leading enterprises to engage in opportunistic behaviors, opting for passive strategies to secure speculative profits. To address this, our study introduces dynamic reward–punishment mechanisms [43], whereby government rewards for active strategies and penalties for passive ones dynamically adjust according to varying probabilities of corporate strategies. Specifically, higher probabilities of passive strategies trigger greater governmental punishments, whereas increased probabilities of active strategies attract more substantial rewards [44]. Model-wise, this manifests as government rewards of and , for active strategies, and penalties of and for passive strategies. The payoff matrix for these dynamic reward–punishment measures in the realm of emergency supply security stakeholders is depicted in Table 4. Recomputing the replicator dynamic equations for government and enterprises is based on Table 4.
Table 4.
Matrix of prospective payoffs under dynamic reward–punishment measures for emergency supply assurance entities.
4.1. Analyzing Strategy Stability Under Dynamic Reward–Punishment Measures
The replicator dynamic equation for the regulatory authority under dynamic reward–punishment measures, , along with its first-order partial derivative with respect to :
The auxiliary variables are defined as follows:
Based on the stability theorem of differential equations, the stability conditions for the regulatory authority’s strategy are given by , and , thus setting , the critical points are found.
(1) Impact of variations in Value on Regulatory Authority Strategy Stability
When , , which implies all gaming behaviors reach a steady state. When , are two stable states, due to being a quadratic function of , the cases are discussed in the following.
Case one: When , is a parabolic function opening upwards with respect to .
① When , , then is an evolutionary stable point, indicating the regulatory authority opts for strict regulation.
② When , , then is an evolutionary stable point, indicating the regulatory authority chooses lenient regulation.
Case two: When , is a parabolic function opening downwards with respect to
① When , , then is an evolutionary stable point, indicating the regulatory authority chooses lenient regulation.
② When , , then is an evolutionary stable point, indicating the regulatory authority opts for strict regulation.
(2) Impact of variations in Value on Regulatory Authority Strategy Stability
When , , which means all gaming behaviors can achieve a steady state. When , or , due to being a quadratic function of therefore, situations are examined accordingly:
Case one: When , is a parabolic function opening upwards with respect to .
① When , , then is an evolutionary stable point, indicating the regulatory authority opts for strict regulation.
② When , , then is an evolutionary stable point, indicating the regulatory authority chooses lenient regulation.
Case two: When , is a parabolic function opening downwards with respect to
① When , , then is an evolutionary stable point, indicating the regulatory authority chooses lenient regulation.
② When , , then is an evolutionary stable point, indicating the regulatory authority opts for strict regulation. The dynamic reward–punishment measures for the regulatory authority’s replicator dynamics phase diagram is shown in Figure 4.
Figure 4.
Dynamic reward–punishment measures for the regulatory authority’s replicator dynamics phase diagram.
Conclusion 6:
Derived from or , under dynamic reward–punishment schemes, if government penalties exceed rewards, the probability of strict regulation escalates as the likelihood of companies adopting proactive strategies increases. In practical terms, significant penalties from strict government oversight reduce the expected value of passive strategies, nudging firms toward active approaches; simultaneously, penalties imposed on companies contribute to government gains while rewards become costs. When the benefits of stringent oversight surpass the costs, the regulatory authority leans towards enforcing stricter control measures.
Conclusion 7:
Stemming from or , under dynamic reward–punishment frameworks, if government penalties lag behind rewards, the likelihood of strict supervision wanes as the probability of businesses employing active strategies rises. Here, greater rewards over penalties indicate that the cost of stringent oversight outstrips the benefits. Consequently, as corporations increasingly embrace active strategies, the intensity of the government’s reward system intensifies, amplifying the cost of strict regulation, leading authorities to lean toward relaxed monitoring to mitigate supervisory expenses.
4.2. Analysis of Dynamic Reward–Punishment Stability for Material Enterprises
Under dynamic reward–punishment regimes, the replicator dynamic equation for material enterprises, and its first-order partial derivative regarding y, :
According to the stability theorem of differential equations, the condition for material enterprises’ strategy stability is that , and , therefore setting ,
(1) Impact of variations in value on material enterprises strategy stability
When , , which indicates all gaming behaviors can achieve a steady state. When , or are two stable states. Let , cases as follows:
Case one: when ,
① When , , then is an evolutionary stable point, indicating material enterprises choose truth-sharing policies.
② When , , then is an evolutionary stable point, indicating material enterprises select opportunistic sharing policies.
Case two: When
① When , , then is an evolutionary stable point, indicating material enterprises choose opportunistic sharing policies.
② When , , then is an evolutionary stable point, indicating material enterprises choose truth-sharing policies.
(2) Impact of variations in value on material enterprises strategy stability
When , , indicating all gaming behaviors can reach a steady state. When , or are two stable states. Let , cases as follows:
Case one: When
① When , , then is an evolutionary stable point, indicating material enterprises choose opportunistic sharing policies.
② When , , then is an evolutionary stable point, indicating material enterprises choose truth-sharing policies.
Case two: When
① When , , then is an evolutionary stable point, indicating material enterprises choose truth-sharing policies.
② When , , is an evolutionary stable point, indicating material enterprises choose opportunistic sharing policies. The dynamic reward–punishment measures for material enterprises’ replicator dynamics phase diagram is shown in Figure 5.
Figure 5.
Dynamic reward–punishment measures for material enterprises’ replicator dynamics phase diagram.
Conclusion 8:
Given , when the rewards and penalties under the dynamic reward–punishment scheme exceed the losses incurred by material enterprises during emergency supply safety incidents, an increase in the probability of strict government regulation leads to a rise in the probability of genuine sharing. Practically speaking, within the dynamics of variable incentives, where rewards and penalties escalate alongside selected probabilities, choosing passive strategies incurs heavier penalties, whilst active strategies receive amplified rewards. Thus, material enterprises gravitate towards authentic sharing strategies. However, under, with lesser incentives offered by government measures compared to potential losses from safety events, strict regulation has less sway. Facing substantial risks, enterprises develop a risk appetite, steering towards opportunistic sharing tactics.
Conclusion 9:
Derived from , with both lower probabilities of strict government supervision and rare emergency safety incidents, as the likelihood of logistic enterprises’ cooperative strategies increases, so does the tendency for opportunistic sharing by material enterprises. In reality, amidst relaxed regulation and infrequent incidents, the active engagement of logistic enterprises triggers opportunistic behaviors in material counterparts, who then opt for opportunistic sharing, bearing minimal penalties and losses. Conversely, under , facing elevated risks of strict regulation and frequent safety events, enterprises opt for honest sharing to avoid hefty penalties and severe losses associated with safety incidents.
4.3. Analysis of Dynamic Reward–Punishment Stability for Logistics Enterprises
Under dynamic reward–punishment systems, the replicator dynamic equation for logistics enterprises, , and its first-order partial derivative regarding z, :
According to the stability theorem of differential equations, the condition for logistics enterprises choosing strategy stability is that , and , thus let :
(1) Impact of variations in value on logistics enterprises strategy stability
When , , indicating all gaming behaviors can achieve a steady state. When , or are two stable states. Let , cases as follows:
Case one: When
① When , , then is an evolutionary stable point, indicating logistics enterprises opt for active cooperation policies.
② When , , then is an evolutionary stable point, indicating logistics enterprises choose passive cooperation policies.
Case two: When
① When , , then is an evolutionary stable point, indicating logistics enterprises choose passive cooperation policies.
② When , , then is an evolutionary stable point, indicating logistics enterprises opt for active cooperation policies.
(2) Impact of variations in value on logistics enterprises strategy stability
When , , indicating all gaming behaviors can reach a steady state. When , or are two stable states, let , cases as follows:
Case one: when ,
① When , , then is an evolutionary stable point, indicating logistics enterprises choose passive cooperation policies.
② When , , then is an evolutionary stable point, indicating logistics enterprises opt for active cooperation policies.
Case two: When
① When ,, then is an evolutionary stable point, indicating logistics enterprises opt for active cooperation policies.
② When , , then is an evolutionary stable point, indicating logistics enterprises opt for active cooperation policies. The phase diagram of replicator dynamics for logistics enterprises under dynamic reward–punishment measures is shown in Figure 6.
Figure 6.
Phase diagram of replicator dynamics for logistics enterprises under dynamic reward–punishment measures.
Conclusion 10:
With , indicating that government-imposed rewards and penalties exceed losses from emergency supply safety incidents, escalating probabilities of strict regulation enhance dynamic incentives, driving logistics enterprises to progressively favor active collaboration. Contrarily, when , large safety incident losses spur reverse psychology in logistics enterprises under heightened scrutiny, prompting passive collaboration strategies to offset damages via speculative gains.
Conclusion 11:
Stemming from , low probabilities of stringent regulation and rare emergency incidents encourage logistics enterprises towards passive collaboration, influenced by the synergy of material enterprises’ genuine sharing and lax government surveillance. Yet, with , high incidences of strict regulation and safety events push enterprises to actively collaborate, seeking avoidance of significant government penalties and safety-related losses.
5. Simulation Analysis of Blockchain-Enabled Supervision for Emergency Supply Assurance
Building upon the prior chapter’s analytical exploration of static and dynamic reward–punishment measures among key players in emergency response during public health crises, solutions delineating stable states under certain conditions are derived. However, given the complexity in gauging parameter relationships solely through mathematical resolutions, determining the stability of Nash equilibria remains challenging. Therefore, this chapter advances our understanding through numerical simulation, drawing parallels with methodologies outlined in references [35,36,37].
Assuming that enterprise risk propensity varies across different scenarios during public health emergencies, incorporating prospect theory to mimic psychological traits under evolving games, yet simplifying calculations by setting a = 1; b = 1; λ = 1; r = 1, when risk attitudes are not considered, other parameter values are determined accordingly p = 0.5; Og = 5; Om = 3; Ol = 3; Ng = 10; Nm = 5; Nl = 5; Am = 10; Al = 10; Fg = 15; Fm = 10; Fl = 10; C = 12; Cg = 7; Cm = 10; Cl = 10; Rm = 25; Rl = 15; ΔRm = 10; ΔRl = 10; Dg = 25; Dm = 20; Dl = 10.
5.1. Comparative Analysis of Static vs. Dynamic Rewards and Punishments
Per Lyapunov’s rule, that when eigenvalues corresponding to equilibrium points possess negative real parts, qualifies as the evolutionarily stable strategies (ESS) for the system. This principle reveals the stability of equilibrium points in the tripartite evolutionary game among governmental agencies and enterprises dealing with emergency supplies amid public health crises, especially when excluding behavioral characteristics. The stability analysis of equilibrium points sans psychological traits is presented in Table 5, accompanied by evolutionary trajectories depicted in Figure 7.
Table 5.
Stability analysis of equilibrium points excluding corporate behavioral features.
Figure 7.
Tripartite Strategy Evolutionary Process Graph Without Considering Corporate Psychological Behaviors.
From Table 5, it becomes evident that, disregarding corporate psychological behavior, the equilibrium point (1,1,1)—signifying strict regulation by the government, genuine sharing by material enterprises, and active cooperation by logistics enterprises — serves as an evolutionarily stable strategy (ESS). Nevertheless, under dynamic reward–punishment measures, both (1,0,0) and (1,1,1) emerge as ESSs, denoting scenarios where the government enforces rigorous oversight, material enterprises opt for opportunistic sharing, logistics enterprises choose passive cooperation, along with instances of strict governance and passive strategies adopted by all parties. Moreover, in the realm of dynamic measures, an additional equilibrium at (1,0.4,0.2) surfaces, highlighting strict government regulation coupled with tendencies towards passive strategies amongst enterprises.
When disregarding corporate risk psychology, implying that strategy choices are entirely dictated by profit maximization principles, governments can ensure that all parties select proactive strategies under static reward–punishment frameworks by judiciously choosing adequate incentive amounts. Nonetheless, under dynamic reward–punishment measures, alongside the (1,1,1) strategy, the (1,0,0) choice also surfaces, illustrating that even under stringent regulation, enterprises do not necessarily embrace positive strategies. This arises due to rewards and penalties under dynamic reward–punishment measures being contingent on probabilistic strategy selections. Consequently, when enterprises display tepid enthusiasm for proactive approaches, they receive reduced rewards. Meanwhile, speculative gains from opportunistic conduct remain steady. In scenarios where speculative profits surpass rewards, corporations lean towards passive strategies, culminating in a situation marked by strict government oversight coupled with corporate apathy.
Owing to realities faced during public health emergencies, wherein material and logistics firms confront uncertain, complex environments concerning emergency supply assurance, their attitudes towards gains and losses vary significantly. Thus, adjusting parameters to = 0.88; = 0.88; = 2.25; = 0.74, while holding other variables constant [33], experimental re-runs yield findings encapsulated in Table 6, illustrated via evolutionary trajectories in Figure 8.
Table 6.
Stability Analysis of Equilibrium Points Accounting for Corporate Behavioral Characteristics.
Figure 8.
Tripartite sStrategy evolutionary process graph considering corporate behavioral traits.
As in Table 6, considering corporate psychological behaviors, both under static and dynamic reward–punishment tactics, all players attain balance at (1,1,1), signifying an ESS of (1,1,1), with the government and companies adopting proactive strategies.
Table 5 contrasts this, as it illustrates that static reward–punishment measures can effectively curb enterprise opportunism under varied corporate psychologies. If rewards and punishments fall within rational bounds, they serve to motivate and restrain enterprises accordingly. Compared to static reward–punishment measures, dynamic reward–punishment strategies demonstrate efficacy irrespective of corporate risk attitudes.
To delve deeper into the supervisory outcomes of distinct governmental measures, utilizing Matlab 2022a simulation software facilitates comparisons regarding the impact of two regulatory approaches on stakeholder evolution under various corporate psychological traits, as depicted in Figure 9.
Figure 9.
Comparative chart between static reward–punishment measures and dynamic reward–punishment measures.
As illustrated in Figure 9, the likelihood of stringent supervision is higher when the regulatory body employs dynamic reward–punishment measures, whereas material and logistics enterprises exhibit greater propensity for proactive strategies under static reward–punishment measures, particularly with materials enterprises showing a stronger inclination towards active strategies than logistics enterprises under dynamic reward–punishment measures.
As is evident from Figure 10 and Figure 11, the environmental uncertainty epitomized by sudden public health crises leads to divergent risk psychologies among emergency relief collaboration entities facing gains and losses. When initial probabilities of proactive strategies by the government and enterprises are low, ( under both static reward–punishment measures and dynamic reward–punishment measures, the regulatory authority swiftly opts for stringent supervision. However, compared to static regulations, enterprises adopt proactive strategies more gradually under dynamic reward–punishment measures. When initial probabilities of proactive strategies are high (), relative to dynamic reward–punishment measures, the static regulatory approach sees slower adoption of strict supervision by the government, its probability trailing behind that of material and logistics firms. Conversely, under dynamic reward–punishment measures, governmental bodies opt for rigorous supervision at a swifter pace, with higher probabilities of proactive strategies observed.
Figure 10.
Temporal evolution of strategies under different governmental reward–punishment measures (Initial Probability = 0.2).
Figure 11.
Temporal evolution of strategies under different governmental reward–punishment measures (Initial probability = 0.7).
In real-world scenarios, when initial inclinations for proactive measures are low, enhanced scrutiny by the governing entity compels businesses to increase the likelihood of proactive strategies. Therefore, the administration rapidly selects stringent oversight. If reasonable incentives are set to entice enterprises towards proactive strategies, static reward–punishment measures will witness enterprises displaying aversion to speculative gains, gradually opting for positive approaches. Yet, under dynamic reward–punishment measures, the adoption rate of such strategies is slower. This occurs because the incentive levels under dynamic reward–punishment measures adjust incrementally based on probabilities of chosen strategies, hence the motivational effect becomes progressively apparent, making it less swift than static reward–punishment measures. When initial proactiveness is high, static reward–punishment measures lead to reduced surveillance intensity by the government, thus depicting lower probabilities for strict oversight than those of corporate proactive strategies. Conversely, dynamic reward–punishment measures necessitate consistent high-level monitoring by the regulator, continuously assessing business strategies to adjust incentive scales, resulting in strict governmental supervision rates exceeding those of corporate proactive strategy probabilities.
In conclusion, effective implementation of static reward–punishment measures hinges on ensuring that incentives and penalties positively influence enterprises, allowing for cost-saving in regulatory efforts when corporations exhibit strong predispositions toward proactive strategies. Dynamic reward–punishment measures demand sustained high-level oversight but offer savings on incentive expenditures compared to static reward–punishment measures. Moreover, they prove efficacious against varying corporate behavioral characteristics amidst public health crises, exhibiting robust strategy stability. The initial wills of governments and enterprises also critically shape tripartite evolutions. Choosing static reward–punishment measures yields cost reductions when initial probabilities of proactive strategies are high, whereas dynamic reward–punishment measures economize on incentive allocations when such probabilities are low.
In this section, the performance of the static reward–penalty mechanism in various emergency situations is compared. The static mechanism, which relies on fixed penalties and rewards, was analyzed under the following three emergency scenarios:
Scenario 1: Natural Disaster (e.g., Earthquake, Flooding).
In this scenario, the urgency and scale of the disaster lead to widespread disruption. Under a static reward–penalty mechanism, logistics companies were less responsive, as the fixed penalties did not account for the evolving nature of the crisis.
Scenario 2: Public Health Crisis (e.g., Pandemic).
The ongoing nature of a public health crisis necessitates long-term cooperation. It was found that static mechanisms, while effective initially, failed to adapt to the prolonged nature of the emergency, leading to a suboptimal response from material production enterprises.
Scenario 3: Industrial Accident (e.g., Chemical Spill).
In industrial accidents, logistics costs and time constraints are significant. The static mechanism was less effective in ensuring timely deliveries, as the fixed rewards did not adequately incentivize rapid logistics adjustments.
These findings suggest that while the static reward–penalty mechanism may work in some emergency situations, it struggles to adapt to the dynamic needs of different types of emergencies.
5.2. Prospect Value Consideration: Before and After Contrast
Leveraging prospect theory rectifies deficits in evolutionary game models simulating uncertainty impacts on risk psychologies in emergency response collaborations. Henceforth, shifts in government and corporate strategies before and after incorporating risk perceptions into analyses are juxtaposed—using prospect values to represent the perceived worth of gains and losses in corporate eyes. Utilizing Matlab 2022a for simulations, Figure 12 depicts the temporal evolution under static reward–punishment measures, whereas Figure 13 illustrates dynamics under dynamic reward–punishment measures.
Figure 12.
Comparative chart of corporate risk psychology changes, before and after, under static reward–punishment measures.
Figure 13.
Comparative chart of corporate risk psychology changes before and after under dynamic reward–punishment measures.
From Figure 12, it can be seen that under static reward–punishment measures, enterprises choosing proactive strategies have higher probabilities and act faster when evaluating gains and losses via prospect value, with material enterprises demonstrating higher likelihoods compared to logistics enterprises at any given moment. However, under static reward–punishment measures, the government’s application of prospect value for evaluating gains and losses results in relatively lower probabilities of stringent regulation.
As shown in Figure 13, under dynamic reward–punishment measures, similar trends emerge as seen in static reward–punishment measures, yet contrasts are more pronounced. With enterprises gauging gains and losses using expected value during evolutionary game dynamics, adjusting strategies according to changes in strategic interactions and maximizing interests, their probability of proactive strategies is lower, and the speed of selection is slower. By contrast, when enterprises apply prospect value for valuing gains and losses, reflecting different risk aversion and preference mindsets, the likelihood of proactive strategies is notably higher, and the adoption process accelerates.
The above analysis elucidates that static reward–punishment measures attract enterprises to proactive strategies with substantial reward–penalty investments, leading to minimal strategy shift variations regardless of differing risk psychologies. Meanwhile, under dynamic reward–punishment measures, uncertainties brought about by public health emergencies enhance the mechanism’s effectiveness in motivating enterprises to choose proactive strategies, ensuring authenticity of supply chain information and enhancing quality standards in emergency resource provision processes.
5.3. Impact of Overconfidence in Enterprises
The preceding section contrasted strategy evolutions of authorities and companies pre- and post-acknowledgment of varying risk psychologies, revealing that recognizing specific risk profiles enhances alignment with regulatory measures under public health crises. This segment delves further into diverse influences shaping corporate risk psychology, affecting evolutionary gaming dynamics.
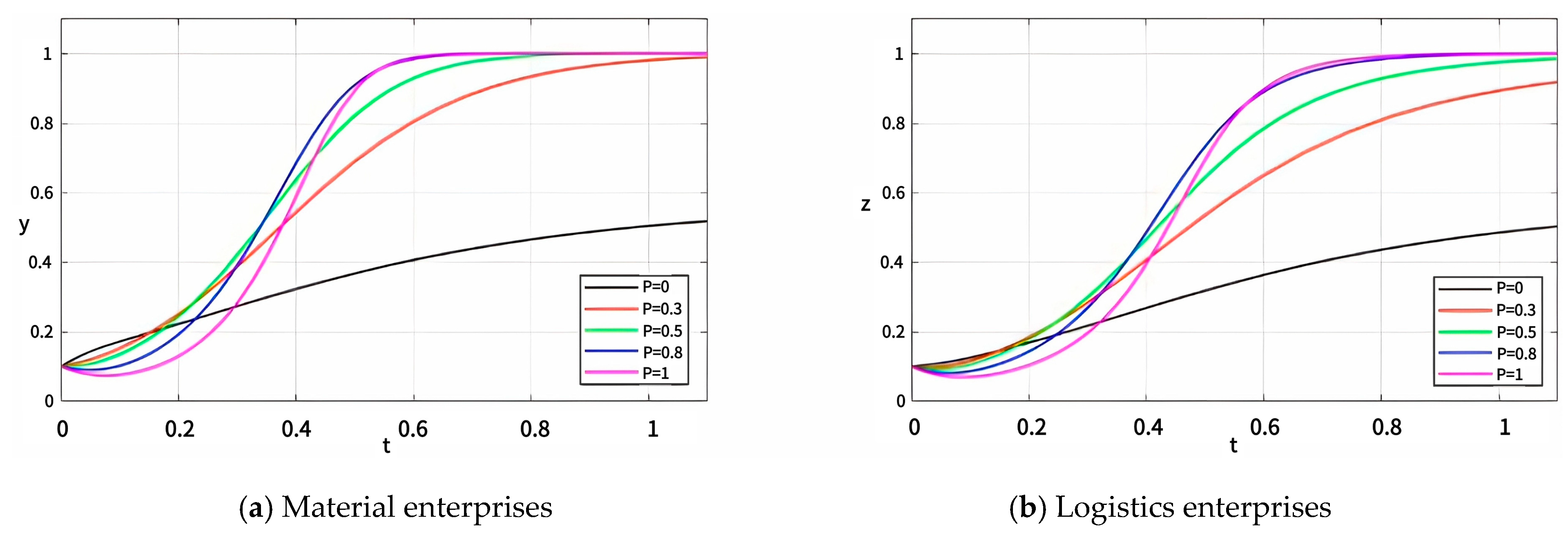
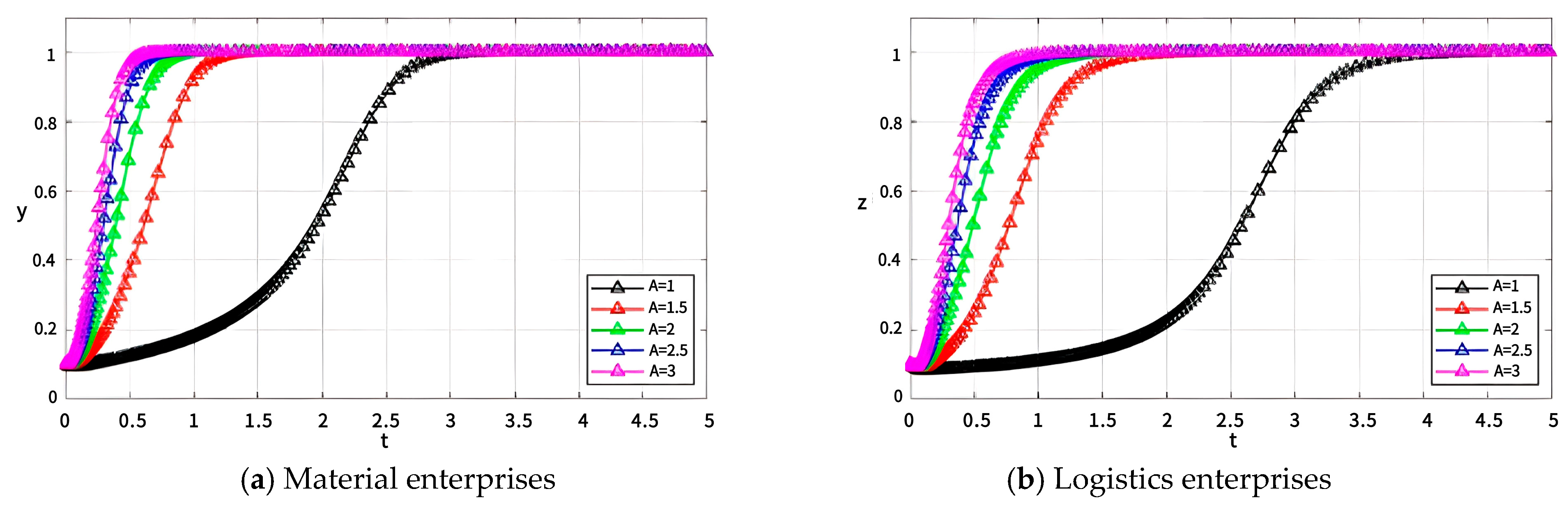
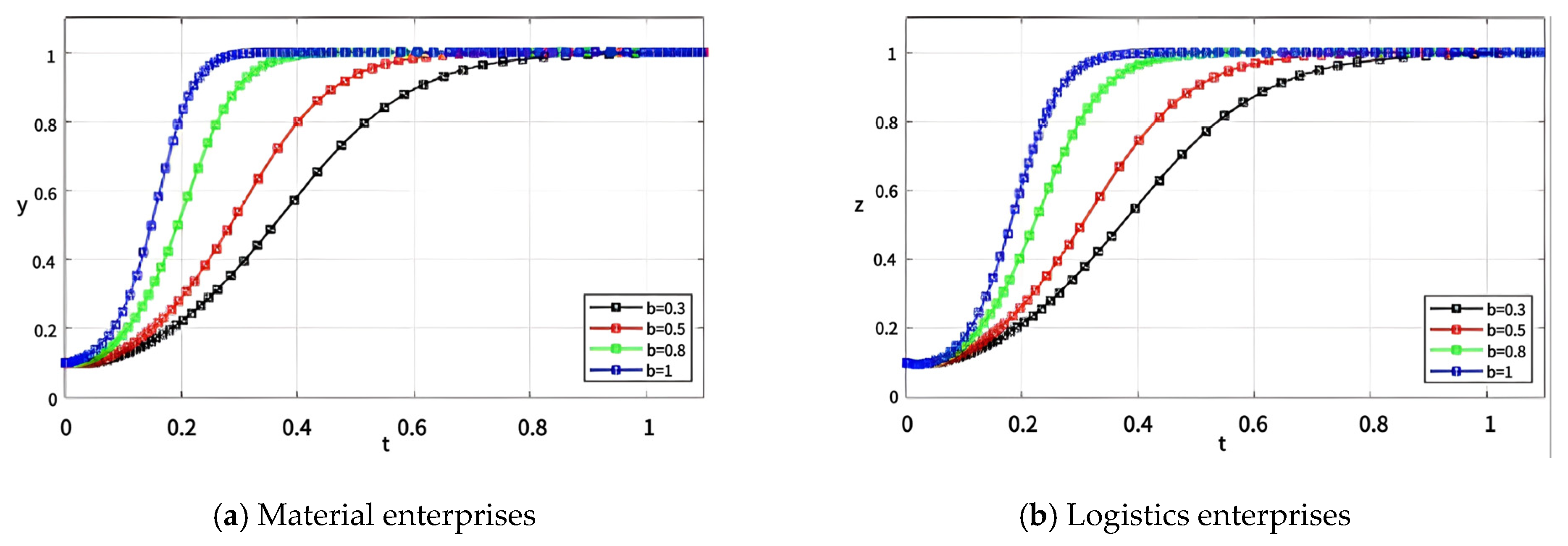
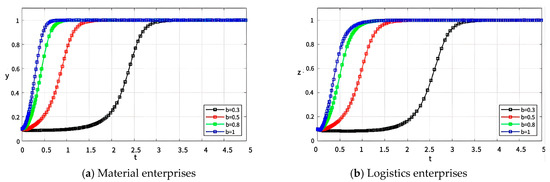
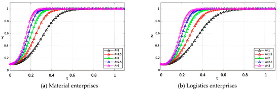
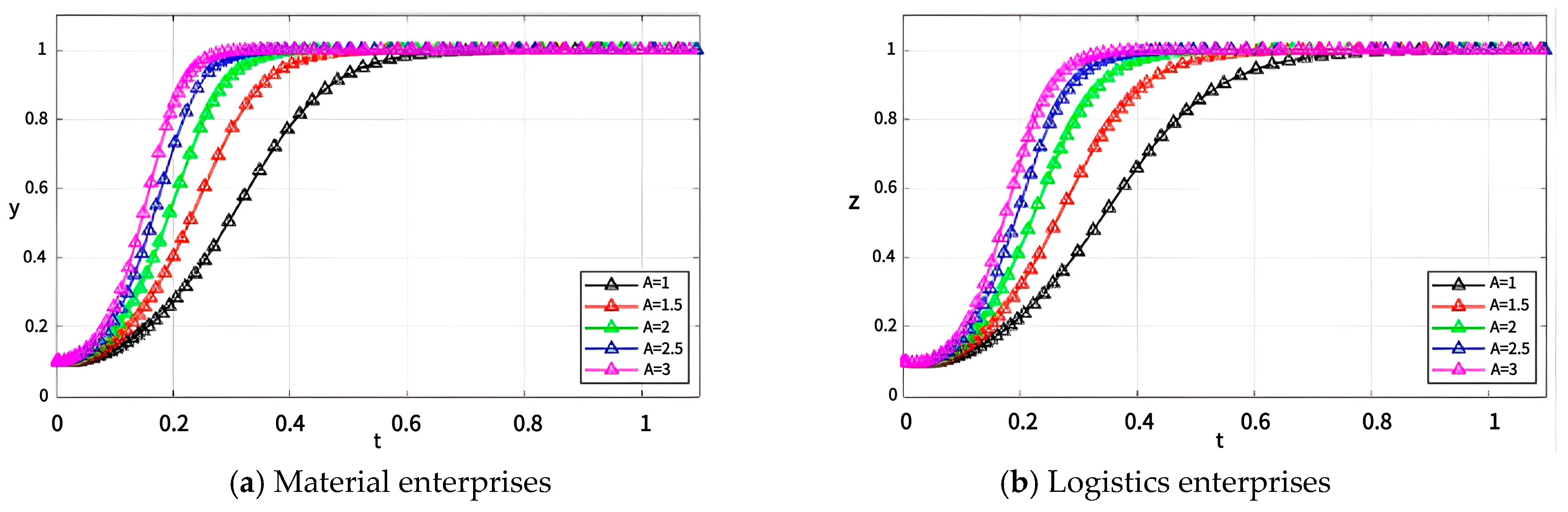
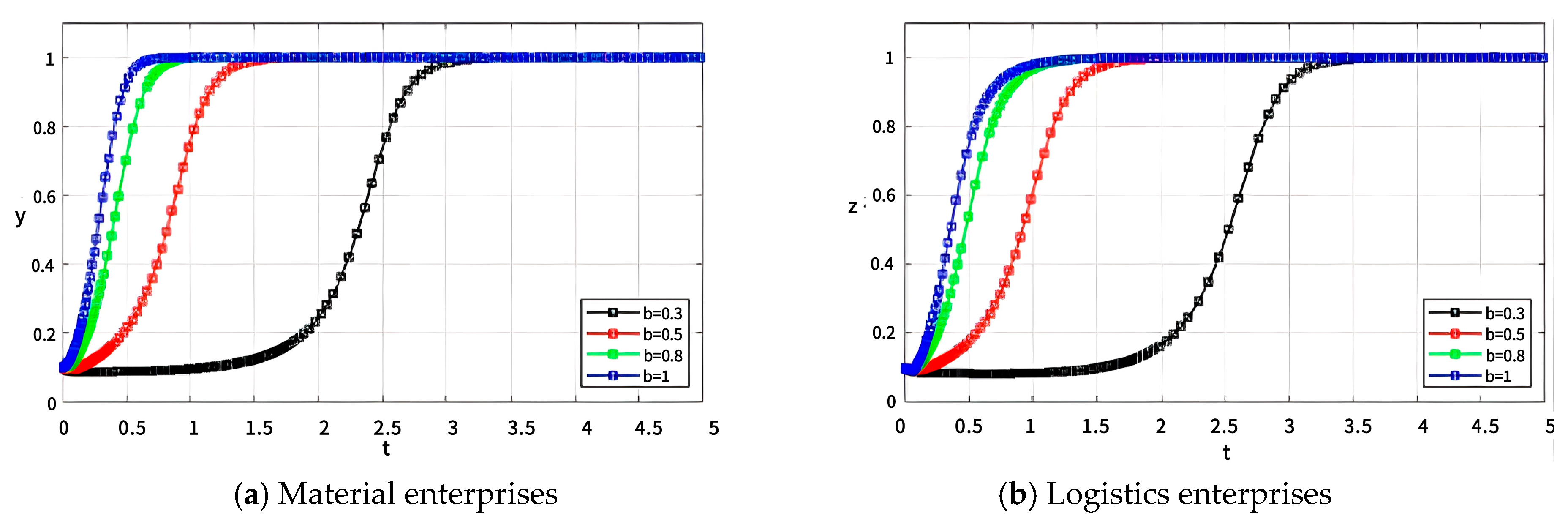
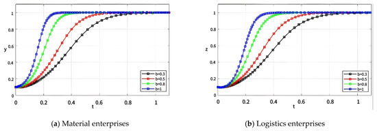
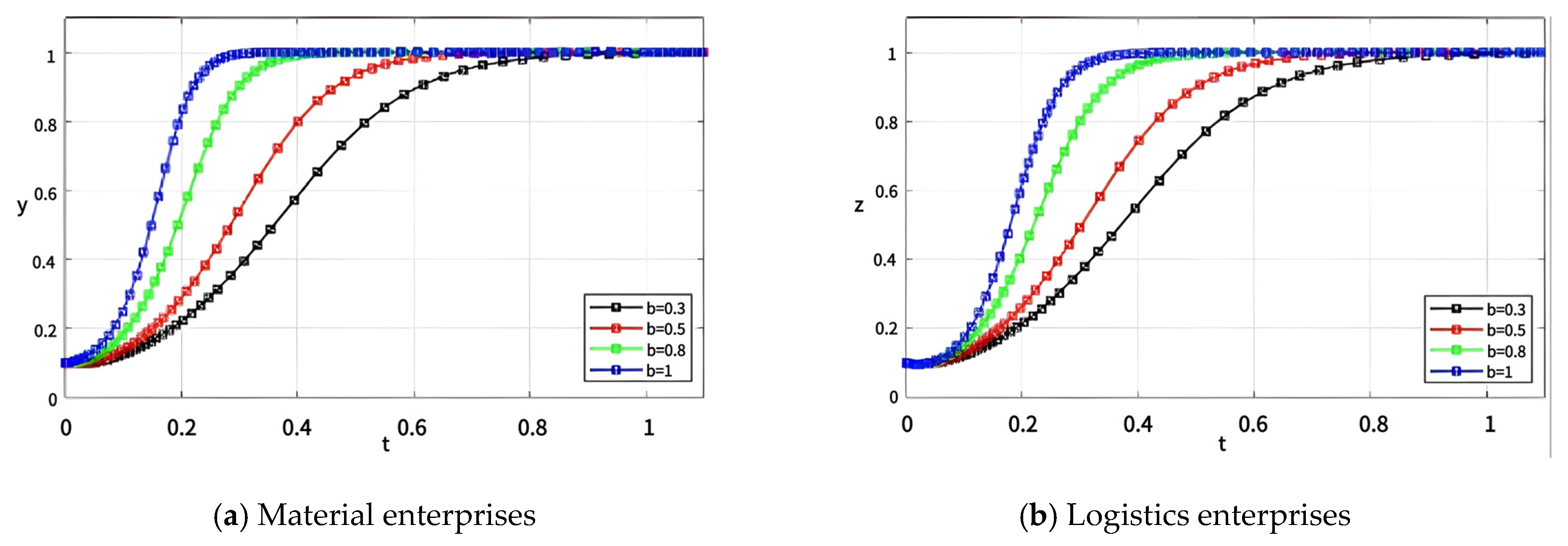
In reality, due to difficulties in blockchain systems detecting false or incomplete data uploads by companies involved in emergency supply chains, or assumptions that other parties’ proactive strategies can offset individual negative actions, emergency resources providers might assume that passive engagement in security measures would go unnoticed unless a safety incident occurs. This mental trait represents overconfidence, where , causing an underestimation of penalties associated with passive strategies leading to safety incidents. To vividly illustrate overconfidence’s impact on strategic choices, under the aforementioned parameter settings, let 0, 0.3, 0.5, 0.8, 1; 0.3, 0.5, 0.8, 1. Figure 14 and Figure 15 depict static reward–punishment measures and dynamic reward–punishment measures’ effect on company strategies as varies, while Figure 16 and Figure 17 showcase impacts under changing for respective measures.
Figure 14.
Impact of changing under static reward–punishment measures ( = 0.74).
Figure 15.
Impact of varying under dynamic reward–punishment measures ().
Figure 16.
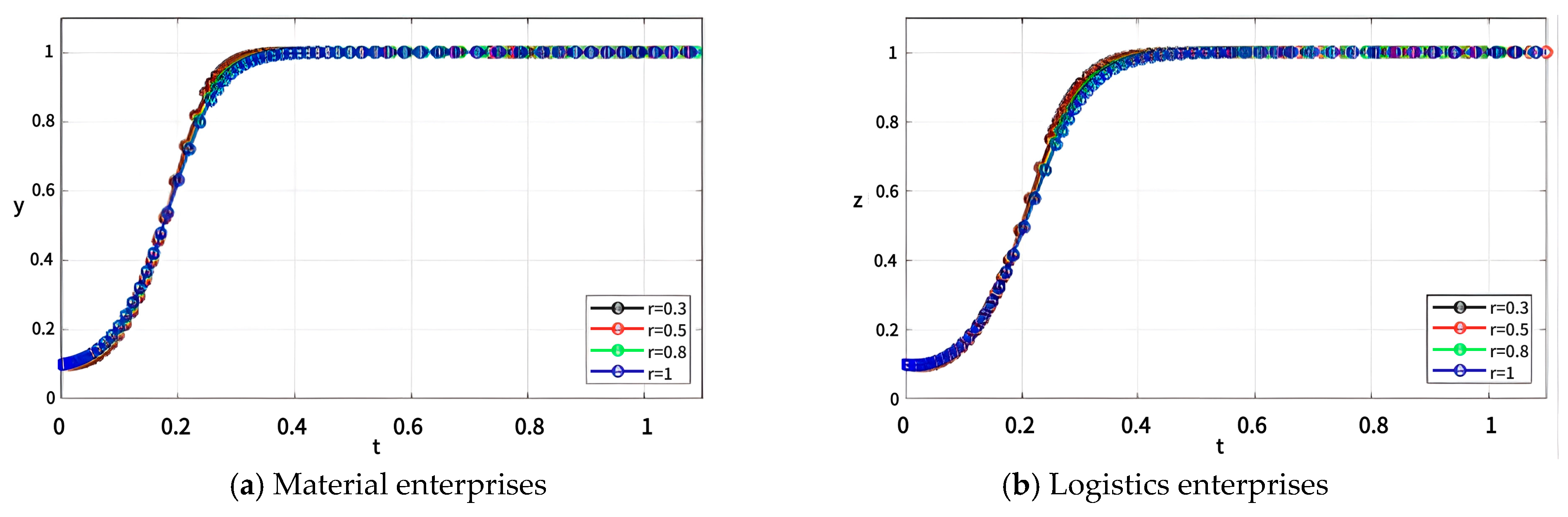
Impact of changing under static reward–punishment measures (p = 0.5).
Figure 17.
Effect of varying under dynamic reward–punishment measures (p = 0.5).
Figure 14 and Figure 15 reveal that the magnitude of safety incident probability directly influences strategy selections by material enterprises and logistics enterprises. Under both governmental reward–punishment schemes, as escalates, emergency resource providers expedite their adoption of proactive strategies. Under static reward–punishment measures, alongside augmentation and time progression, material enterprises stabilize at authentic sharing strategies. However, logistics enterprises exhibit instability in strategy choice under zero safety incident probability, quickly shifting to proactive cooperation once the probability rises, accelerating with greater p values. Contrasted with static reward–punishment measures, under dynamic reward–punishment measures, both material enterprises and logistics enterprises favor proactive strategies ( =0.57) even at = 0, escalating their adoption velocity as safety event probabilities surge, culminating in proactive choices. Additionally, across all safety incident probabilities, material enterprises outpace logistics enterprises in terms of probability and speed of proactive strategy selection.
Per Kahneman and Tversky’s coefficient < 1 suggests decision-makers often overestimate probabilities of low-probability events, underestimating them for medium-to-high likelihood occurrences [45]. A closer r to 1 indicates proximity to actual event probabilities, smaller values denoting stronger overconfidence bias.
Figure 16 and Figure 17 illustrate that under either static or dynamic reward–punishment measures, the adoption velocity of proactive strategies by material enterprises and logistics enterprises accelerates with decreasing weight coefficient . Smaller implies higher overestimated probabilities for low-probability safety incidents, coupled with intensified risk aversion versus loss-seeking sentiments for medium-to-high likelihood events. These dual factors underpin adherence to aforementioned patterns.
In this section, the evolutionary strategies under three distinct emergency scenarios—natural disasters, public health crises, and industrial accidents—are analyzed. The influence of static and dynamic reward–penalty mechanisms on the strategies chosen by logistics companies and material production enterprises in these scenarios is compared.
Scenario 1: Natural Disaster (e.g., Earthquake, Flooding).
Under the static mechanism, the evolutionary strategy of logistics companies showed little adaptation to the rapidly changing disaster context, leading to slower recovery. However, with the dynamic mechanism, the reward–penalty adjustments incentivized quicker logistical response and better material distribution, with evolutionary strategies favoring proactive cooperation.
Scenario 2: Public Health Crisis (e.g., Pandemic).
The static mechanism led to some short-term coordination, but the inability to adjust over time resulted in suboptimal strategies, as firms tended to adopt passive strategies when the initial urgency decreased. Conversely, in the dynamic case, the evolutionary strategy shifted towards sustained cooperation, as continuous adjustments in incentives encouraged firms to remain engaged throughout the crisis.
Scenario 3: Industrial Accident (e.g., Chemical Spill).
In industrial accidents, the dynamic mechanism was more effective in adjusting strategies for rapid material delivery and ensuring safety, as penalties for delays and rewards for quick responses kept the firms motivated to act swiftly. In contrast, static mechanisms struggled to incentivize rapid logistics changes, leading to slower adaptation and delayed responses.
This analysis confirms that the dynamic reward–penalty mechanism facilitates more adaptive and effective strategies in emergency situations, improving coordination and minimizing the long-term impact of crises.
In summary, amid significant safety incident probabilities, firms readily collaborate with authorities to avoid substantial losses and reputational damage. However, at lesser incident probabilities, material enterprises, being more prone to societal scrutiny and bearing greater aggregate losses, demonstrate prudence in decision-making, unlike logistics enterprises, which are heavily influenced by overconfidence. Furthermore, overconfidence amplifies perceived probabilities of rare events, aiding regulatory authorities in setting incentives that curb undesirable corporate behavior effectively. This underscores the necessity of balancing confidence and realism in managing emergency responses, promoting resilient stakeholder engagements and sustainable crisis mitigation.
5.4. Impact of Corporate Risk Psychology
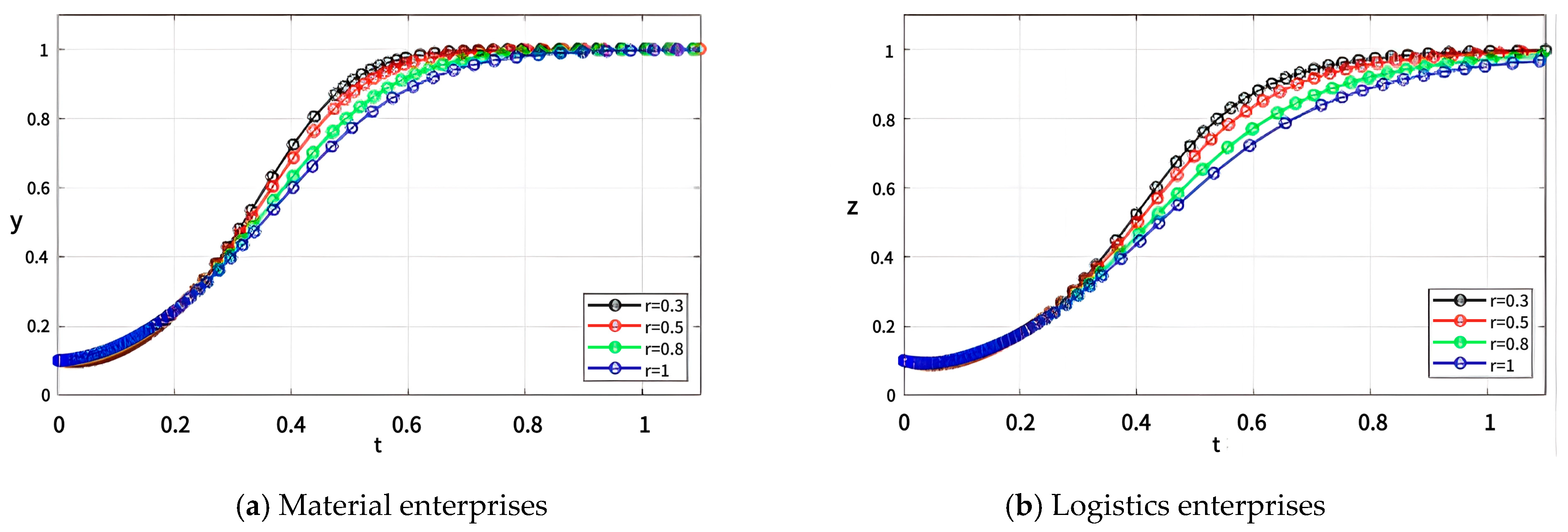
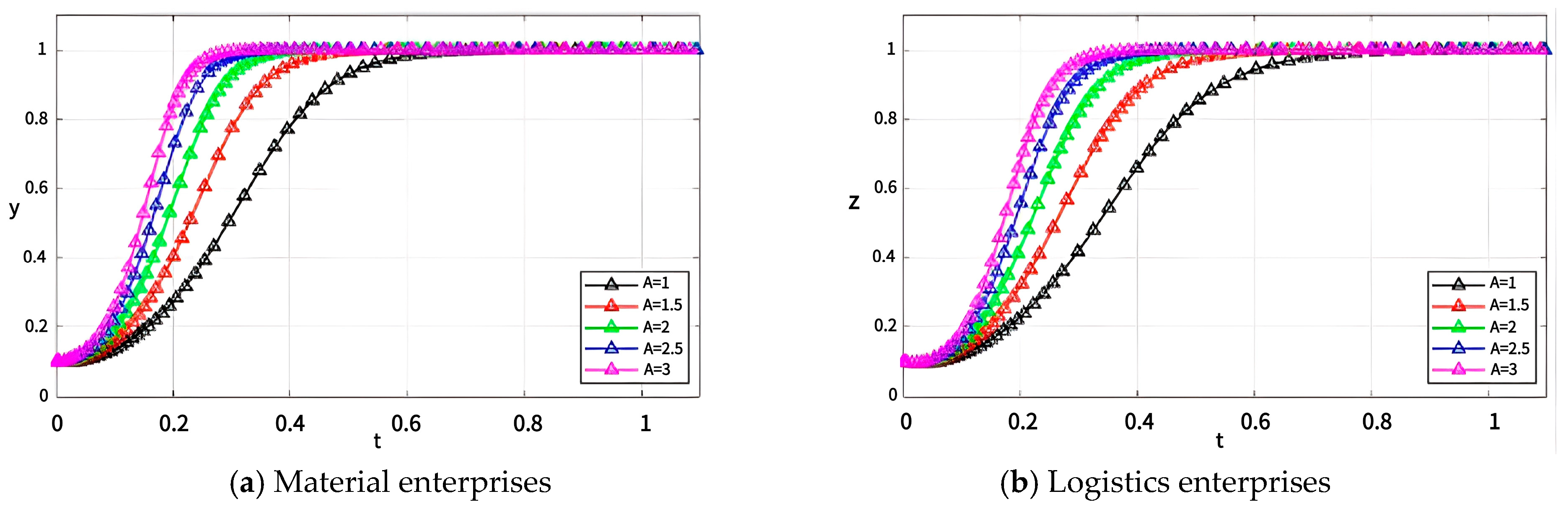
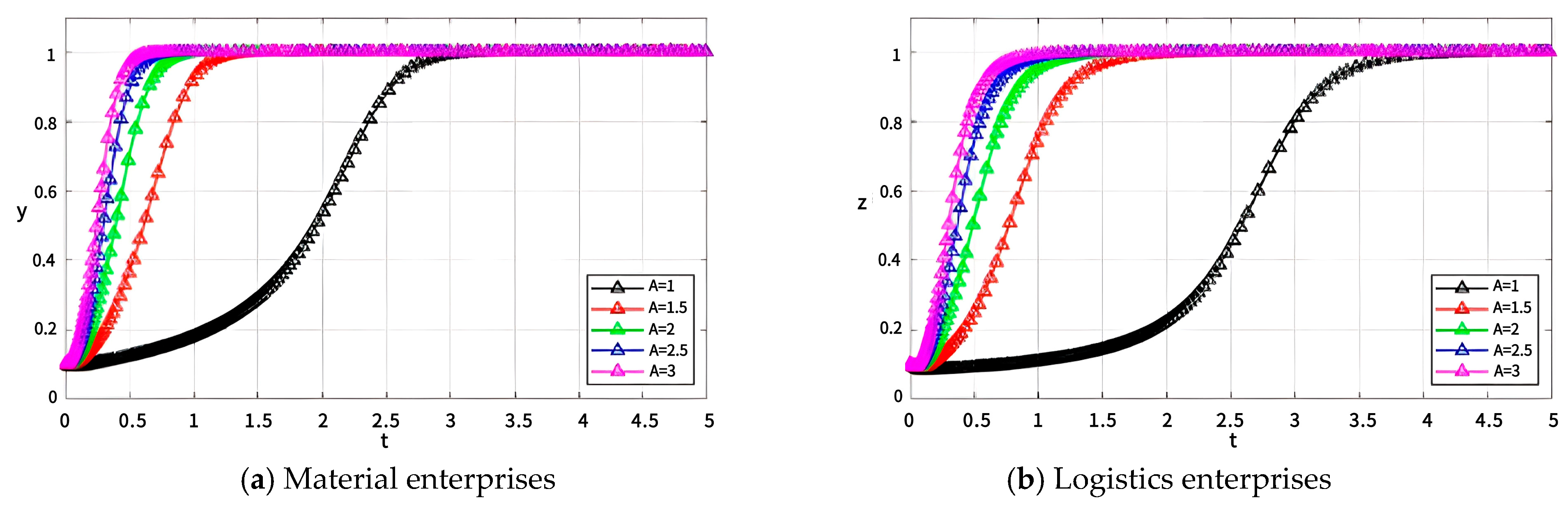
Prospect theory posits that decision-makers exhibit risk-seeking tendencies () in scenarios involving losses but display risk aversion ( > 1) towards potential gains. When faced with strict governance, enterprises may incur penalties from negative actions, risking safety incidents resulting in losses. Conversely, proactive strategies entail costs. To explore divergent attitudes towards losses and gains across contexts, this section employs Matlab 2022a for simulations, setting loss aversion coefficient = 1, 1.5, 2, 2.5, 3; loss sensitivity factor = 0.3, 0.5, 0.8, 1, keeping other parameters constant. Figure 18 and Figure 19 illustrate the impacts of varying under static and dynamic reward–punishment measures, respectively. Figure 20 and Figure 21 depict ’s effect similarly.
Figure 18.
Influence of changing under static reward–punishment measures (b = 0.88).
Figure 19.
Effect of variation under dynamic reward–punishment measures ( = 0.88).
Figure 20.
Impact of varying under static reward–punishment measures (λ = 2.25).
Figure 21.
Effect of changing under dynamic reward–punishment measures (λ = 2.25).
Figure 18 and Figure 19 reveal that as the loss aversion coefficient increases, both material enterprises and logistics enterprises opt for proactive strategies more swiftly and with higher probabilities, with material enterprises exhibiting higher likelihoods and shorter evolution times than logistics enterprises simultaneously.
Similarly, Figure 20 and Figure 21 show that heightened loss sensitivity coefficients lead to accelerated and elevated probabilities of proactive strategy selection among both material and logistics enterprises, again with material enterprises showing superior performance. Greater and indicate heightened sensitivity to losses; under stringent oversight, negative actions invite penalties from regulatory bodies. Social condemnation ensues should safety incidents occur, tarnishing reputations. Higher sensitivity thus correlates with stronger inclinations toward positive behavior. Given emergency material enterprises’ position as the “first line of defense” in quality control, they bear greater risks, hence displaying more pronounced risk-averse behavior.
6. Conclusions
In conclusion and discussion, this study aims to enhance supervision over emergency material quality across production and distribution, crucial for bolstering emergency materials security and preventing safety incidents. Employing blockchain within the context of emergency materials security, a three-party evolution game model involving government oversight, emergency material production (reserve) enterprises, and distribution/logistics entities are established. The incorporation of prospect theory enables a more accurate simulation of enterprises’ risk perception biases towards various government incentives and penalties. Through numerical analysis using MATLAB, the study observes the following conclusions:
When the decision-making principle of emergency supply cooperation enterprises is to maximize profits, static reward-and-punishment measures can effectively regulate enterprise behavior by incentivizing positive actions. However, at this point, dynamic reward-and-punishment measures may be at a disadvantage due to inadequate incentives for enterprises, potentially leading to a situation where the government strictly regulates while enterprises choose inactive strategies. When emergency supply cooperation enterprises have a high initial willingness to adopt proactive strategies, static reward-and-punishment measures can save the government’s regulatory investment. However, compared to dynamic reward-and-punishment measures, static measures sacrifice certain reward investments. Conversely, when emergency supply cooperation enterprises have a low initial willingness to adopt proactive strategies, dynamic reward-and-punishment measures can save the government’s reward investment for enterprises. Nevertheless, compared to static measures, dynamic measures sacrifice certain regulatory investments.
The uncertain environment of public health emergencies can elicit different risk perceptions among emergency supply enterprises. These risk perceptions can amplify the effects of different reward-and-punishment measures implemented by the regulatory government, with the amplification effect of dynamic measures being more pronounced than that of static measures. Dynamic reward-and-punishment measures can stably function under different probabilities of emergency supply safety incidents, driving emergency supply cooperation enterprises towards proactive strategies. The overconfidence of emergency supply cooperation enterprises when facing risks can constrain their negative behaviors. Moreover, the influence of overconfidence among logistics enterprises is greater than that among material enterprises, resulting in a more pronounced constraining effect. The higher an enterprise’s loss sensitivity, the stronger its self-discipline. Additionally, material enterprises demonstrate stronger internal constraints compared to logistics enterprises.
Future research can involve incorporating emergency material receivers into a four-way evolutionary game model, mirroring real-world emergency material security processes. Additionally, exploring nonlinear government dynamic rewards and penalties can elucidate optimal regulatory strategies fostering cooperative behavior among emergency material security enterprises.
Author Contributions
Conceptualization, X.L. and L.X.; methodology, L.L.; software, W.M.; validation, X.L., L.L. and W.M.; formal analysis, L.X.; investigation, X.L.; resources, L.L.; data curation, X.L.; writing—original draft preparation, L.X.; writing—review and editing, W.M.; visualization, X.L.; supervision, L.X.; project administration, L.X. All authors have read and agreed to the published version of the manuscript.
Funding
This research received no external funding.
Data Availability Statement
The data presented in this study are available on request from this manuscript.
Conflicts of Interest
The authors declare no conflict of interest.
References
- The Emergency Events Database (EM-DAT). Available online: https://www.emdat.be (accessed on 2 November 2023).
- Xiong, L.; Xue, R. Evolutionary game analysis of collaborative transportation of emergency materials based on blockchain. Int. J. Logist. Res. Appl. 2023, 27, 1633–1654. [Google Scholar] [CrossRef]
- Paul, S.K.; Chowdhury, P.; Chakrabortty, R.K.; Ivanov, D.; Sallam, K. A mathematical model for managing the multi-dimensional impacts of the COVID-19 pandemic in supply chain of a high-demand item. Ann. Oper. Res. 2022, 1–46. [Google Scholar] [CrossRef]
- Xie, R.; Jia, Y.; Wu, Y.; Zhang, P. Four-party evolutionary game analysis of supervision for vaccine quality in major epidemics. J. Intell. Fuzzy Syst. 2022, 42, 5695–5714. [Google Scholar] [CrossRef]
- Qi, C.; Hu, L. Optimization of vehicle routing problem for emergency cold chain logistics based on minimum loss. Phys. Commun. 2020, 40, 101085. [Google Scholar] [CrossRef]
- Chen, F.; Chen, J.; Liu, J. Forecast of flood disaster emergency material demand based on IACO-BP algorithm. Neural Comput. Appl. 2022, 34, 3537–3549. [Google Scholar] [CrossRef]
- Almaghrabi, A.; Alhogail, A. Blockchain-based donations traceability framework. J. King Saud Univ.-Comput. Inf. Sci. 2022, 34, 9442–9454. [Google Scholar] [CrossRef]
- Omar, I.A.; Debe, M.; Jayaraman, R.; Salah, K.; Omar, M.; Arshad, J. Blockchain-based Supply Chain Traceability for COVID-19 personal protective equipment. Comput. Ind. Eng. 2022, 167, 107995. [Google Scholar] [CrossRef]
- Musamih, A.; Salah, K.; Jayaraman, R.; Yaqoob, I.; Al-Hammadi, Y.; Antony, J. Blockchain-based solution for COVID-19 vaccine waste reduction. J. Clean. Prod. 2022, 372, 133619. [Google Scholar] [CrossRef]
- Khan, H.H.; Malik, M.N.; Konečná, Z.; Chofreh, A.G.; Goni, F.A.; Klemeš, J.J. Blockchain technology for agricultural supply chains during the COVID-19 pandemic: Benefits and cleaner solutions. J. Clean. Prod. 2022, 347, 131268. [Google Scholar] [CrossRef]
- Kumar, R.; Tripathi, R. Traceability of counterfeit medicine supply chain through Blockchain. In Proceedings of the 2019 11th International Conference on Communication Systems & Networks (COMSNETS), Bangalore, India, 7–11 January 2019; pp. 603–605. [Google Scholar]
- US Food and Drug Administration. FDA Takes New Steps to Adopt More Modern Technologies for Improving the Security of the Drug Supply Chain through Innovations that Improve Tracking and Tracing of Medicines. 2019. Available online: https://www.fda.gov/news-events/press-announcements/fda-takes-new-steps-adopt-more-modern-technologies-improving-security-drug-supply-chain-through (accessed on 2 November 2023).
- IBM. Trust Your Supplier. Available online: https://www.trustyoursupplier.com (accessed on 2 November 2023).
- Zhou, F.; Zhang, C.; Chen, T.; Lim, M.K. An evolutionary game analysis on blockchain technology adoption in cross-border e-commerce. Oper. Manag. Res. 2023, 16, 1766–1780. [Google Scholar] [CrossRef]
- Liu, Z.C.; Wang, L.B.; Gu, J.Y. The impact of blockchain on the credit risk of supply chain finance: A tripartite evolutionary game analysis. In Proceedings of the 2023 IEEE 22nd Wuhan International Conference, Wuhan, China, 26–28 May 2023; pp. 350–361. [Google Scholar]
- Xu, L.; Xu, L.; Tian, T.; Tian, T. Blockchain-enabled enterprise bleaching green regulation banking evolution game analysis. Environ. Dev. Sustain. 2023, 26, 27457–27483. [Google Scholar] [CrossRef]
- Fan, W.; Wang, S.; Gu, X.; Zhou, Z.; Zhao, Y.; Huo, W. Evolutionary game analysis on industrial pollution control of local government in China. J. Environ. Manag. 2021, 298, 113499. [Google Scholar] [CrossRef] [PubMed]
- Du, L.; Qian, L. The government’s mobilization strategy following a disaster in the Chinese context: An evolutionary game theory analysis. Nat. Hazards 2015, 80, 1411–1424. [Google Scholar] [CrossRef]
- Zhao, X.G.; Ren, L.Z.; Zhang, Y.Z.; Wan, G. Evolutionary game analysis on the behaviour strategies of power producers in renewable portfolio standard. Energy 2018, 162, 505–516. [Google Scholar]
- Kaniovski, Y.M.; Young, H. Learning Dynamics in Games with Stochastic Perturbations. Games Econ. Behav. 1995, 11, 330–363. [Google Scholar] [CrossRef]
- Edwards Kimberley, D. Prospect theory: A literature review. Int. Rev. Financ. Anal. 1996, 5, 19–38. [Google Scholar] [CrossRef]
- Sun, H.; Gao, G.; Li, Z. Evolutionary game analysis of enterprise carbon emission regulation based on prospect theory. Soft Comput. 2022, 26, 13357–13368. [Google Scholar] [CrossRef]
- Zhao, J.; Lan, T.; Rong, H.; Liu, S. Exploring the evolutionary game of rumor control based on prospect theory. Neural Comput. Appl. 2023, 36, 9675–9685. [Google Scholar] [CrossRef]
- Shen, J.; Gao, X.; He, W.; Sun, F.; Zhang, Z.; Kong, Y.; Wan, Z.; Zhang, X.; Li, Z.; Wang, J.; et al. Prospect theory in an evolutionary game: Construction of watershed ecological compensation system in Taihu Lake Basin. J. Clean. Prod. 2021, 291, 125929. [Google Scholar] [CrossRef]
- Li, C.; Wang, Z.; Wang, L. Factors affecting firms’ green technology innovation: An evolutionary game based on prospect theory. Environ. Monit. Assess. 2023, 195, 227–255. [Google Scholar] [CrossRef]
- Yuan, L.; He, W.; Degefu, D.M.; Kong, Y.; Wu, X.; Xu, S.; Wan, Z.; Ramsey, T.S. Elucidating competing strategic behaviors using prospect theory, system dynamics, and evolutionary game: A case of transjurisdictional water pollution problem in China. Environ. Sci. Pollut. Res. 2022, 29, 20829–20843. [Google Scholar] [CrossRef] [PubMed]
- Sun, W.; Zhu, C.; Li, H. Evolutionary game of emergency logistics path selection under bounded rationality. Socio-Econ. Plan. Sci. 2022, 82, 101311. [Google Scholar] [CrossRef]
- Sun, G.Q.; Xie, Y.F. Blockchain technology, supply chain network and data sharing: Based on the perspective of evolutionary game. Chin. J. Manag. Sci. 2023, 31, 149–162. [Google Scholar]
- Feng, H.; Huang, C.F.; Zhang, L.; Shi, W.Q.; Jin, L. The research on emergency materials reserve and contract design under asymmetric information. Chin. J. Manag. Sci. 2023, 31, 117–127. [Google Scholar]
- Song, Y.R. Research on Evolutionary Game and Coordination Mechanism of Information Sharing in Pharmaceutical Supply Chain Based on Blockchain; Qingdao University: Qingdao, China, 2023. [Google Scholar]
- Hu, Z.Q.; Tian, J.; Feng, G.Z. The pricing model of emergency supplies under quantity flexible contracts with dual purchasing sources. Chin. J. Manag. Sci. 2019, 27, 100–112. [Google Scholar]
- Liu, Y.; Tian, J.; Feng, G.Z. Government’s relief supplies procurement model based on quantity flexible contract and Markov chain. Syst. Eng.-Theory Pract. 2020, 40, 120–133. [Google Scholar]
- Zhao, Z.Y.; Liu, Y.M.; Liu, L. Evolutionary game analysis of the supervision of drug quality safety based on prospect theory. Oper. Res. Manag. Sci. 2022, 31, 75–81. [Google Scholar]
- Niu, Y.S.; Chu, X.L.; Wang, S.Q.; Gao, Y.M. Analysis of opportunistic behaviors of the private partner facing early termination in PPP projects. Syst. Eng. -Theory Pract. 2019, 39, 2784–2791. [Google Scholar]
- Zhang, D.N.; Guo, P. Speculation in epidemic prevention, long-term efficient supervision, and conformity preference: Evolutionary game modeling and analysis. Oper. Res. Manag. Sci. 2023, 32, 23–30. [Google Scholar]
- Zhu, S.F.; Gui, P. Game analysis on collaborative distribution decision-making of cold chain emergency logistics under major epidemic situation. J. Saf. Sci. Technol. 2020, 16, 30–36. [Google Scholar]
- Liang, Y.R.; Liu, Y.Q. The evolutionary game and stability of the regulatory mechanism of medical protective equipment market under COVID-19 epidemic. Chin. J. Manag. Sci. 2022, 30, 85–95. [Google Scholar]
- Song, Y.H.; Sang, X.Y.; Wang, Z.; Xu, H.Q. Research on quality assurance strategy of emergency medical materials based on evolutionary game. J. Saf. Sci. Technol. 2022, 18, 31–39. [Google Scholar]
- Yang, X.C.; Li, Y.Q. Study on the willingness of sharing multi-agent data of supply chain from the perspective of blockchain technology. Sci. Technol. Manag. Res. 2021, 41, 181–192. [Google Scholar]
- Lu, C.Y.; Liu, D.H. The differential game model of international disaster relief under the opportunism of recipient countries. J. Syst. Sci. Math. 2023, 43, 3189–3205. [Google Scholar]
- Zhang, L.; Tian, J.; Feng, G.Z. Coordination mechanism of government emergency supplies procurement under price flexibility contract. Chin. J. Manag. Sci. 2017, 25, 158–167. [Google Scholar]
- Zhou, Y.N.; Liu, J.C.; Liu, J.Q. Study on the efficiency of government supervision of PPP projects considering public noise information. J. Ind. Eng. Eng. Manag. 2024, 38, 135–149. [Google Scholar]
- Cheng, C.; An, R.F.; Dong, K.Y.; Ren, X.; Wang, Z.; Zhao, G. Research on innovation strategy for renewable power generation enterprises under the background of carbon trading mechanism—From the perspective of evolutionary game. Chin. J. Manag. Sci. 2024, 32, 82–94. [Google Scholar]
- Meng, Q.; Liu, Y.; Li, Z.; Wu, C. Dynamic reward and penalty strategies of green building construction incentive: An evolutionary game theory-based analysis. Environ. Sci. Pollut. Res. 2021, 28, 44902–44915. [Google Scholar] [CrossRef]
- Tversky, A.; Kahneman, D. Advances in prospect theory: Cumulative representation of uncertainty. J. Risk Uncertain. 1992, 5, 297–323. [Google Scholar] [CrossRef]
Disclaimer/Publisher’s Note: The statements, opinions and data contained in all publications are solely those of the individual author(s) and contributor(s) and not of MDPI and/or the editor(s). MDPI and/or the editor(s) disclaim responsibility for any injury to people or property resulting from any ideas, methods, instructions or products referred to in the content. |
© 2025 by the authors. Licensee MDPI, Basel, Switzerland. This article is an open access article distributed under the terms and conditions of the Creative Commons Attribution (CC BY) license (https://creativecommons.org/licenses/by/4.0/).




















