Interaction Mechanism between Inter-Organizational Relationship Cognition and Engineering Project Value Added from the Perspective of Dynamic Impact
Abstract
1. Introduction
2. Literature Background and Model Establishment
2.1. Inter-Organizational Relationship Cognition
2.2. Organizational Behavior
2.3. Value Added in Engineering Projects
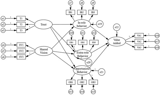
2.4. Model Establishment
3. Methodology
3.1. Survey Instruments
3.2. Sampling and Data Collection
3.3. Common Method Bias
3.4. Construct Reliability and Validity Measures
4. Model Development and Analysis
4.1. Establishment of the SEM Model and Model Validation
4.2. Establishment of FCM Model
4.2.1. Predictive Analysis
4.2.2. Diagnostic Analysis
4.2.3. Hybrid Analysis
5. Discussion
5.1. Static Relationships between Inter-Organizational Relationship Cognition and Value Added
5.2. Dynamic Relationships between Inter-Organizational Relationship Cognition and Value Added
5.3. Theoretical Implications
5.4. Practical Implications
5.5. Limitations and Future Directions
6. Conclusions
Author Contributions
Funding
Data Availability Statement
Conflicts of Interest
References
- Yin, Z.; Caldas, C.; de Oliveira, D. Identification of business-project management processes that improve capital efficiency of downstream and chemical projects. Int. J. Constr. Manag. 2024, 24, 1–9. [Google Scholar] [CrossRef]
- Shi, Q. Rethinking the implementation of project management: A Value Adding Path Map approach. Int. J. Proj. Manag. 2011, 29, 295–302. [Google Scholar] [CrossRef]
- Barlish, K.; Sullivan, K. How to measure the benefits of BIM—A case study approach. Autom. Constr. 2012, 24, 149–159. [Google Scholar] [CrossRef]
- Wyke, S.; Lindhard, S.M.; Larsen, J.K. Using principal component analysis to identify latent factors affecting cost and time overrun in public construction projects. Eng. Constr. Archit. Manag. 2024, 31, 2415–2436. [Google Scholar] [CrossRef]
- Chawla, V.; Chanda, A.; Angra, S.; Chawla, G. The sustainable project management: A review and future possibilities. J. Proj. Manag. 2018, 3, 157–170. [Google Scholar] [CrossRef]
- Ramani, P.V.; KSD, L.K.L. Application of lean in construction using value stream mapping. Eng. Constr. Archit. Manag. 2021, 28, 216–228. [Google Scholar] [CrossRef]
- Porter, M.E. Competitive Advantage: Creating and Sustaining Superior Performance; Simon and Schuster: New York, NY, USA, 2008. [Google Scholar]
- Bahadorestani, A.; Naderpajouh, N.; Sadiq, R. Planning for sustainable stakeholder engagement based on the assessment of conflicting interests in projects. J. Clean. Prod. 2020, 242, 118402. [Google Scholar] [CrossRef]
- Lin, X.; Ho, C.M.; Shen, G.Q. Who should take the responsibility? Stakeholders’ power over social responsibility issues in construction projects. J. Clean. Prod. 2017, 154, 318–329. [Google Scholar] [CrossRef]
- Wu, G.; Hu, Z.; Zheng, J. Role stress, job burnout, and job performance in construction project managers: The moderating role of career calling. Int. J. Environ. Res. Public Health 2019, 16, 2394. [Google Scholar] [CrossRef]
- Zaman, U.; Florez-Perez, L.; Anjam, M.; Ghani Khwaja, M.; Ul-Huda, N. At the end of the world, turn left: Examining toxic leadership, team silence and success in mega construction projects. Eng. Constr. Archit. Manag. 2023, 30, 2436–2462. [Google Scholar] [CrossRef]
- Yap, J.B.H.; Chow, I.N.; Shavarebi, K. Criticality of construction industry problems in developing countries: Analyzing Malaysian projects. J. Manag. Eng. 2019, 35, 04019020. [Google Scholar] [CrossRef]
- Arditi, D.; Nayak, S.; Damci, A. Effect of organizational culture on delay in construction. Int. J. Proj. Manag. 2017, 35, 136–147. [Google Scholar] [CrossRef]
- Vaez-Alaei, M.; Deniaud, I.; Marmier, F.; Cowan, R.; Gourc, D. How partners’ knowledge base and complexity are related to innovative project success: The roles of trust and trust capability of partners. Int. J. Proj. Manag. 2024, 42, 102557. [Google Scholar] [CrossRef]
- Lumineau, F.; Oliveira, N. A pluralistic perspective to overcome major blind spots in research on interorganizational relationships. Acad. Manag. Ann. 2018, 12, 440–465. [Google Scholar] [CrossRef]
- Faems, D.; Van Looy, B.; Janssens, M.; Vlaar, P.W. The process of value realization in asymmetric new venture development alliances: Governing the transition from exploration to exploitation. J. Eng. Technol. Manag. 2012, 29, 508–527. [Google Scholar] [CrossRef]
- Bossink, B. The influence of knowledge flow on sustainable innovation in a project-based industry: From demonstration to limited adoption of eco-innovations. J. Clean. Prod. 2018, 193, 249–262. [Google Scholar] [CrossRef]
- Akomea-Frimpong, I.; Jin, X.; Osei-Kyei, R. A holistic review of research studies on financial risk management in public–private partnership projects. Eng. Constr. Archit. Manag. 2021, 28, 2549–2569. [Google Scholar] [CrossRef]
- Villani, E.; Greco, L.; Phillips, N. Understanding value creation in public-private partnerships: A comparative case study. J. Manag. Stud. 2017, 54, 876–905. [Google Scholar] [CrossRef]
- Xiong, W.; Zhao, X.; Yuan, J.-F.; Luo, S. Ex post risk management in public-private partnership infrastructure projects. Proj. Manag. J. 2017, 48, 76–89. [Google Scholar] [CrossRef]
- Zhang, Y.; Wang, H.; Gao, W.; Wang, F.; Zhou, N.; Kammen, D.M.; Ying, X. A survey of the status and challenges of green building development in various countries. Sustainability 2019, 11, 5385. [Google Scholar] [CrossRef]
- Atanda, J.O.; Olukoya, O.A. Green building standards: Opportunities for Nigeria. J. Clean. Prod. 2019, 227, 366–377. [Google Scholar] [CrossRef]
- Nguyen, D.T.; Rameezdeen, R.; Chileshe, N.; Coggins, J. Effect of customer cooperative behavior on reverse logistics outsourcing performance in the construction industry–A partial least squares structural equation modeling approach. Eng. Constr. Archit. Manag. 2022, 29, 3345–3362. [Google Scholar] [CrossRef]
- Luo, L.; Zhang, L.; He, Q. Linking project complexity to project success: A hybrid SEM–FCM method. Eng. Constr. Archit. Manag. 2020, 27, 2591–2614. [Google Scholar] [CrossRef]
- Luo, L.; Wu, X.; Hong, J.; Wu, G. Fuzzy cognitive map-enabled approach for investigating the relationship between influencing factors and prefabricated building cost considering dynamic interactions. J. Constr. Eng. Manag. 2022, 148, 04022081. [Google Scholar] [CrossRef]
- Wang, Q.; Xiong, Z.; Zhu, K.; Guo, P. Construction safety risks of metro tunnels constructed by the mining method in Wuhan city, china: A structural equation model-fuzzy cognitive map hybrid method. Buildings 2023, 13, 1335. [Google Scholar] [CrossRef]
- Dang, X.; Wang, M.; Deng, X.; Mao, H.; He, P. What affects the corporate social responsibility practices of Chinese international contractors considering dynamic interactions? A hybrid structural equation modeling–fuzzy cognitive map approach. Eng. Constr. Archit. Manag. 2024; ahead-of-print. [Google Scholar] [CrossRef]
- Lau, E.; Rowlinson, S. The implications of trust in relationships in managing construction projects. Int. J. Manag. Proj. Bus. 2011, 4, 633–659. [Google Scholar] [CrossRef]
- Kauppila, O.P.; Tempelaar, M.P. The social-cognitive underpinnings of employees’ ambidextrous behaviour and the supportive role of group managers’ leadership. J. Manag. Stud. 2016, 53, 1019–1044. [Google Scholar] [CrossRef]
- Wu, G.; Li, H.; Wu, C.; Hu, Z. How different strengths of ties impact project performance in megaprojects: The mediating role of trust. Int. J. Manag. Proj. Bus. 2020, 13, 889–912. [Google Scholar] [CrossRef]
- Lau, E.; Rowlinson, S. Interpersonal trust and inter-firm trust in construction projects. Constr. Manag. Econ. 2009, 27, 539–554. [Google Scholar] [CrossRef]
- Jiang, W.; Zhao, X. Trust and the intent to cooperate in energy performance contracting for public buildings in China. Eng. Constr. Archit. Manag. 2021, 28, 372–396. [Google Scholar] [CrossRef]
- Lord, M. Group learning capacity: The roles of open-mindedness and shared vision. Front. Psychol. 2015, 6, 150. [Google Scholar] [CrossRef] [PubMed]
- Wang, G.; Locatelli, G.; Wan, J.; Li, Y.; Le, Y. Governing behavioral integration of top management team in megaprojects: A social capital perspective. Int. J. Proj. Manag. 2020, 39, 365–376. [Google Scholar] [CrossRef]
- Chi, M.; Chong, H.-Y.; Xu, Y. The effects of shared vision on value co-creation in megaprojects: A multigroup analysis between clients and main contractors. Int. J. Proj. Manag. 2022, 40, 218–234. [Google Scholar] [CrossRef]
- Suprapto, M.; Bakker, H.L.; Mooi, H.G. Relational factors in owner–contractor collaboration: The mediating role of teamworking. Int. J. Proj. Manag. 2015, 33, 1347–1363. [Google Scholar] [CrossRef]
- Arslan, B. The interplay of competitive and cooperative behavior and differential benefits in alliances. Strateg. Manag. J. 2018, 39, 3222–3246. [Google Scholar] [CrossRef]
- Organ, D.W. Organizational Citizenship Behavior: The Good Soldier Syndrome; Lexington Books: Lanham, MD, USA; DC Heath and Company: Lexington, MA, USA, 1988. [Google Scholar]
- Cheng, J.-H.; Sheu, J.-B. Inter-organizational relationships and strategy quality in green supply chains—Moderated by opportunistic behavior and dysfunctional conflict. Ind. Mark. Manag. 2012, 41, 563–572. [Google Scholar] [CrossRef]
- Huo, B.; Wang, Z.; Tian, Y. The impact of justice on collaborative and opportunistic behaviors in supply chain relationships. Int. J. Prod. Econ. 2016, 177, 12–23. [Google Scholar] [CrossRef]
- Villena, V.H.; Revilla, E.; Choi, T.Y. The dark side of buyer–supplier relationships: A social capital perspective. J. Oper. Manag. 2011, 29, 561–576. [Google Scholar] [CrossRef]
- Wang, T.; Han, L.; Yang, Z.; Jia, Y. The effect of cultural differences on the relationship between contract governance and opportunism. Eur. J. Mark. 2023, 57, 2974–3004. [Google Scholar] [CrossRef]
- Anvuur, A.M.; Kumaraswamy, M.M. Measurement and antecedents of cooperation in construction. J. Constr. Eng. Manag. Decis. 2012, 138, 797–810. [Google Scholar] [CrossRef]
- Tabassi, A.A.; Abdullah, A.; Bryde, D.J. Conflict management, team coordination, and performance within multicultural temporary projects: Evidence from the construction industry. Proj. Manag. J. 2019, 50, 101–114. [Google Scholar] [CrossRef]
- Zhang, S.; Fu, Y.; Kang, F. How to foster contractors’ cooperative behavior in the Chinese construction industry: Direct and interaction effects of power and contract. Int. J. Proj. Manag. 2018, 36, 940–953. [Google Scholar] [CrossRef]
- Wang, Y.; Chen, Y.; Fu, Y.; Zhang, W. Do prior interactions breed cooperation in construction projects? The mediating role of contracts. Int. J. Proj. Manag. 2017, 35, 633–646. [Google Scholar] [CrossRef]
- Das, T.; Rahman, N. Determinants of partner opportunism in strategic alliances: A conceptual framework. J. Bus. Psychol. 2010, 25, 55–74. [Google Scholar] [CrossRef]
- Wang, D.; Fu, H.; Fang, S. The efficacy of trust for the governance of uncertainty and opportunism in megaprojects: The moderating role of contractual control. Eng. Constr. Archit. Manag. 2019, 27, 150–167. [Google Scholar] [CrossRef]
- Cheung, S.O.; Yiu, T.W.; Leung, A.Y.; Chiu, O.K. Catastrophic transitions of construction contracting behavior. J. Constr. Eng. Manag. Decis. 2008, 134, 942–952. [Google Scholar] [CrossRef]
- Lu, P.; Qian, L.; Chu, Z.; Xu, X. Role of opportunism and trust in construction projects: Empirical evidence from China. J. Manag. Eng. 2016, 32, 05015007. [Google Scholar] [CrossRef]
- Fernandes, A.S. Assessing the technology contribution to value added. Technol. Forecast. Soc. Chang. 2012, 79, 281–297. [Google Scholar] [CrossRef]
- Liu, J.; Wang, Z.; Skitmore, M.; Yan, L. How contractor behavior affects engineering project value-added performance. J. Manag. Eng. 2019, 35, 04019012. [Google Scholar] [CrossRef]
- Svejvig, P.; Geraldi, J.; Grex, S. Accelerating time to impact: Deconstructing practices to achieve project value. Int. J. Proj. Manag. 2019, 37, 784–801. [Google Scholar] [CrossRef]
- Wu, G.; Zhao, X.; Zuo, J. Relationship between project’s added value and the trust–conflict interaction among project teams. J. Manag. Eng. 2017, 33, 04017011. [Google Scholar] [CrossRef]
- Browning, T.R. A quantitative framework for managing project value, risk, and opportunity. IEEE Trans. Eng. Manag. 2014, 61, 583–598. [Google Scholar] [CrossRef]
- Basole, R.C.; Park, H. Interfirm collaboration and firm value in software ecosystems: Evidence from cloud computing. IEEE Trans. Eng. Manag. 2018, 66, 368–380. [Google Scholar] [CrossRef]
- Pargar, F.; Kujala, J.; Aaltonen, K.; Ruutu, S. Value creation dynamics in a project alliance. Int. J. Proj. Manag. 2019, 37, 716–730. [Google Scholar] [CrossRef]
- Fuentes, M.; Smyth, H.; Davies, A. Co-creation of value outcomes: A client perspective on service provision in projects. Int. J. Proj. Manag. 2019, 37, 696–715. [Google Scholar] [CrossRef]
- Willumsen, P.; Oehmen, J.; Stingl, V.; Geraldi, J.J.I.J.o.P.M. Value creation through project risk management. Int. J. Proj. Manag. 2019, 37, 731–749. [Google Scholar] [CrossRef]
- Qian, Q.; Zhang, L.; Cao, T. Effect of behavior tension on value creation in owner–contractor relationships: Moderating role of dependence asymmetry. Eng. Manag. J. 2021, 33, 220–236. [Google Scholar] [CrossRef]
- Zhang, S.B.; Fu, Y.F.; Gao, Y.; Zheng, X.D. Influence of trust and contract on dispute negotiation behavioral strategy in construction subcontracting. J. Manag. Eng. 2016, 32, 04016001. [Google Scholar] [CrossRef]
- Li, B.; Gao, Y.; Zhang, S.; Wang, C. Understanding the effects of trust and conflict event criticality on conflict resolution behavior in construction projects: Mediating role of social motives. J. Manag. Eng. 2021, 37, 04021066. [Google Scholar] [CrossRef]
- Lee, J.; Park, J.-G.; Lee, S. Raising team social capital with knowledge and communication in information systems development projects. Int. J. Proj. Manag. 2015, 33, 797–807. [Google Scholar] [CrossRef]
- Zhang, L.; Fenn, P.; Fu, Y. To insist or to concede? Contractors’ behavioural strategies when handling disputed claims. Eng. Constr. Archit. Manag. 2019, 26, 424–443. [Google Scholar] [CrossRef]
- Lu, P.; Guo, S.; Qian, L.; He, P.; Xu, X. The effectiveness of contractual and relational governances in construction projects in China. Int. J. Proj. Manag. 2015, 33, 212–222. [Google Scholar] [CrossRef]
- Wu, X.; Liu, Q.; Zhang, L.; Skibniewski, M.J.; Wang, Y. Prospective safety performance evaluation on construction sites. Accid. Anal. Prev. 2015, 78, 58–72. [Google Scholar] [CrossRef]
- Zhang, L.; Chettupuzha, A.A.; Chen, H.; Wu, X.; AbouRizk, S.M. Fuzzy cognitive maps enabled root cause analysis in complex projects. Appl. Soft Comput. 2017, 57, 235–249. [Google Scholar] [CrossRef]
- Chen, H.; Zhang, L.; Wu, X. Performance risk assessment in public–private partnership projects based on adaptive fuzzy cognitive map. Appl. Soft Comput. 2020, 93, 106413. [Google Scholar] [CrossRef]
- Gao, L.; Zhang, X.; Deng, X.; Zhang, N.; Lu, Y. Using fuzzy cognitive maps to explore the dynamic impact on management team resilience in international construction projects. Eng. Constr. Archit. Manag. 2024; ahead-of-print. [Google Scholar] [CrossRef]
- Kahvandi, Z.; Saghatforoush, E.; Ravasan, A.Z.; Mansouri, T. An FCM-based dynamic modelling of integrated project delivery implementation challenges in construction projects. Lean Constr. J. 2018, 2018, 63–87. [Google Scholar]
- Sperry, R.C.; Jetter, A.J. A systems approach to project stakeholder management: Fuzzy cognitive map modeling. Proj. Manag. J. 2019, 50, 699–715. [Google Scholar] [CrossRef]
- Yang, J.; Mossholder, K.W. Examining the effects of trust in leaders: A bases-and-foci approach. Leadersh. Q. 2010, 21, 50–63. [Google Scholar] [CrossRef]
- Koh, T.Y.; Rowlinson, S. Relational approach in managing construction project safety: A social capital perspective. Accid. Anal. Prev. 2012, 48, 134–144. [Google Scholar] [CrossRef]
- Wong, A.; Tjosvold, D.; Yu, Z.-y. Organizational partnerships in China: Self-interest, goal interdependence, and opportunism. J. Appl. Psychol. 2005, 90, 782. [Google Scholar] [CrossRef]






| Features | Category | Quantity | Percentage |
|---|---|---|---|
| Project Type | General construction work | 119 | 54.3 |
| Oil and gas engineering | 2 | 0.9 | |
| Transportation Engineering | 27 | 12.3 | |
| Power engineering | 22 | 10.0 | |
| Hydraulic engineering | 20 | 9.1 | |
| Industrial plants | 9 | 4.1 | |
| Other | 20 | 9.1 | |
| Workplace | Owners | 38 | 17.4 |
| Contractors | 113 | 51.6 | |
| Consultancy | 51 | 23.3 | |
| Other | 17 | 7.8 | |
| Role in the project | Senior Management | 28 | 10.6 |
| Middle managers | 64 | 29.2 | |
| Executive level | 109 | 49.8 | |
| Other | 18 | 8.2 | |
| Education | Doctorate | 4 | 1.8 |
| Graduates | 67 | 30.6 | |
| Undergraduates | 136 | 62.1 | |
| High School and below | 12 | 5.5 | |
| Work experience | <5 years | 91 | 41.6 |
| 6–10 years | 71 | 32.4 | |
| 11–15 years | 41 | 18.7 | |
| >15 years | 16 | 7.3 |
| Item | CITC | Cronbach’s Alpha If Item Deleted | Cronbach’s Alpha | AVE | CR | |
|---|---|---|---|---|---|---|
| Trust | T1 | 0742 | 0.849 | 0.879 | 0.710 | 0.880 |
| T2 | 0.786 | 0.811 | ||||
| T3 | 0.771 | 0.825 | ||||
| Shared vision | SV1 | 0.727 | 0.802 | 0.856 | 0.667 | 0.857 |
| SV2 | 0.782 | 0.782 | ||||
| SV3 | 0.714 | 0.812 | ||||
| In-role behavior | IB1 | 0.784 | 0.839 | 0.888 | 0.727 | 0.889 |
| IB2 | 0.792 | 0.832 | ||||
| IB3 | 0.769 | 0.852 | ||||
| Extra-role behavior | EB1 | 0.751 | 0.782 | 0.857 | 0.668 | 0.858 |
| EB2 | 0.730 | 0.800 | ||||
| EB3 | 0.711 | 0.818 | ||||
| Opportunistic behavior | OB1 | 0.568 | 0.670 | 0.790 | 0.519 | 0.757 |
| OB2 | 0.649 | 0.574 | ||||
| OB3 | 0.509 | 0.737 | ||||
| Value added | VA1 | 0.700 | 0.745 | 0.826 | 0.619 | 0.829 |
| VA2 | 0.714 | 0.728 | ||||
| VA3 | 0.637 | 0.806 |
| Variables | T | SV | IB | EB | OB | VA |
|---|---|---|---|---|---|---|
| T | 0.710 | |||||
| SV | 0.710 *** | 0.667 | ||||
| IB | 0.786 *** | 0.673 *** | 0.727 | |||
| EB | 0.571 *** | 0.495 *** | 0.507 *** | 0.668 | ||
| OB | −0.333 *** | −0.297 *** | −0.329 *** | −0.259 *** | 0.519 | |
| VA | 0.589 *** | 0.542 *** | 0.548 *** | 0.434 *** | −0.290 *** | 0.619 |
| Square root of AVE | 0.843 | 0.817 | 0.853 | 0.817 | 0.720 | 0.787 |
| Fit Indices | Indicators | Fit Standard | Values | Fit Condition |
|---|---|---|---|---|
| Absolute fit indices | χ2/df | <2 | 1.340 | √ |
| GFI | >0.8 | 0.927 | √ | |
| AGFI | >0.8 | 0.896 | √ | |
| RMSEA | <0.05 | 0.039 | √ | |
| RMR | <0.05 | 0.040 | √ | |
| Contracted fit indices | PNFI | >0.5 | 0.736 | √ |
| PCFI | >0.5 | 0.771 | √ | |
| Relative fit indices | NFI | >0.9 | 0.939 | √ |
| CFI | >0.9 | 0.984 | √ | |
| IFI | >0.9 | 0.984 | √ | |
| TLI | >0.9 | 0.979 | √ |
| Causal Path | Standard Coefficient | p-Value | Interpretation |
|---|---|---|---|
| T→IB | 0.492 | *** | Supported |
| T→EB | 0.332 | * | Supported |
| T→OB | −0.284 | 0.072 | Not supported |
| SV→IB | 0.445 | *** | Supported |
| SV→EB | 0.341 | * | Supported |
| SV→OB | −0.449 | ** | Supported |
| IB→SV | 0.479 | *** | Supported |
| EB→SV | 0.161 | * | Supported |
| OB→SV | −0.341 | *** | Supported |
| T→IB→SV | 0.236 | *** | Supported |
| T→EB→SV | 0.053 | * | Supported |
| T→OB→SV | 0.097 | 0.076 | Not supported |
| SV→IB→SV | 0.213 | *** | Supported |
| SV→EB→SV | 0.055 | * | Supported |
| SV→OB→SV | 0.153 | * | Supported |
| Fit Indices | Indicator | Fit Standards | Value | Test Results |
|---|---|---|---|---|
| Absolute fit indices | χ2/df | <2 | 1.425 | √ |
| GFI | >0.8 | 0.919 | √ | |
| AGFI | >0.8 | 0.889 | √ | |
| RMSEA | <0.05 | 0.044 | √ | |
| RMR | <0.05 | 0.046 | √ | |
| Parsimony fit indices | PNFI | >0.5 | 0.762 | √ |
| PCFI | >0.5 | 0.799 | √ | |
| Relative fit indices | NFI | >0.8 | 0.932 | √ |
| CFI | >0.9 | 0.979 | √ | |
| IFI | >0.9 | 0.979 | √ | |
| TLI | >0.9 | 0.974 | √ |
| Items | P(VA|i = 1.0) | P(VA|i = 0.5) | P(VA|i = −0.5) | P(VA|i = −1.0) |
|---|---|---|---|---|
| T | 0.8229 | 0.8228 | −0.8228 | −0.8229 |
| SV | 0.8867 | 0.8866 | −0.8866 | −0.8867 |
| IB | 0.5447 | 0.5445 | −0.5445 | −0.5447 |
| EB | 0.4026 | 0.4023 | −0.4023 | −0.4026 |
| OB | −0.4977 | −0.4974 | 0.4974 | 0.4977 |
| Target Node | P(i|VA = 1.0) | P(i|VA = 0.5) | P(i|VA = −0.5) | P(i|VA = −1.0) |
|---|---|---|---|---|
| T | 0.8543 | 0.8542 | −0.8542 | −0.8543 |
| SV | 0.8917 | 0.8917 | −0.8917 | −0.8917 |
| IB | 0.5447 | 0.5445 | −0.5445 | −0.5447 |
| EB | 0.3949 | 0.3947 | −0.3947 | −0.3949 |
| OB | −0.4939 | −0.4936 | 0.4936 | 0.4939 |
| Integrated Intervention Scenarios | T | SV | IB | OB | VA Convergence Value |
|---|---|---|---|---|---|
| 1 | 0.5 | 0.5 | −1 | 1 | 0.9035 |
| 2 | 0.5 | −1 | 0.5 | 1 | −0.6374 |
| 3 | 0.5 | −1 | −1 | −0.5 | −0.6830 |
| 4 | −1 | 0.5 | 0.5 | 1 | 0.3196 |
| 5 | −1 | 0.5 | −1 | −0.5 | 0.3191 |
| 6 | 0.5 | 0.5 | 0.5 | −0.5 | 0.9280 |
Disclaimer/Publisher’s Note: The statements, opinions and data contained in all publications are solely those of the individual author(s) and contributor(s) and not of MDPI and/or the editor(s). MDPI and/or the editor(s) disclaim responsibility for any injury to people or property resulting from any ideas, methods, instructions or products referred to in the content. |
© 2024 by the authors. Licensee MDPI, Basel, Switzerland. This article is an open access article distributed under the terms and conditions of the Creative Commons Attribution (CC BY) license (https://creativecommons.org/licenses/by/4.0/).
Share and Cite
Xu, M.; Liu, X.; Bian, Z.; Wang, Y. Interaction Mechanism between Inter-Organizational Relationship Cognition and Engineering Project Value Added from the Perspective of Dynamic Impact. Systems 2024, 12, 362. https://doi.org/10.3390/systems12090362
Xu M, Liu X, Bian Z, Wang Y. Interaction Mechanism between Inter-Organizational Relationship Cognition and Engineering Project Value Added from the Perspective of Dynamic Impact. Systems. 2024; 12(9):362. https://doi.org/10.3390/systems12090362
Chicago/Turabian StyleXu, Mengyu, Xun Liu, Zhen Bian, and Yufan Wang. 2024. "Interaction Mechanism between Inter-Organizational Relationship Cognition and Engineering Project Value Added from the Perspective of Dynamic Impact" Systems 12, no. 9: 362. https://doi.org/10.3390/systems12090362
APA StyleXu, M., Liu, X., Bian, Z., & Wang, Y. (2024). Interaction Mechanism between Inter-Organizational Relationship Cognition and Engineering Project Value Added from the Perspective of Dynamic Impact. Systems, 12(9), 362. https://doi.org/10.3390/systems12090362

