Navigating Regional Airport System Economics: Insights from Central Europe and Croatia
Abstract
1. Introduction
2. Materials and Methods
- Analyze the performance, economic situation, and ownership structure of selected regional airport systems.
- Apply cluster analysis to categorize regional airport systems based on similarities in their characteristics and features.
- Identify key indicators that influence the regional airport systems economics in Central Europe and could create the “basic platform of central Europe regional airport business model”.
- variant A “With State Owner,” when the highest value of ASW is 0.544 for 4 clusters,
- variant B “Without State Owner,” when the highest value of ASW is 0.635 for 3 clusters.
3. Results
3.1. Identification of Indicators for Cluster Analysis That Influence the Regional Airport Economics
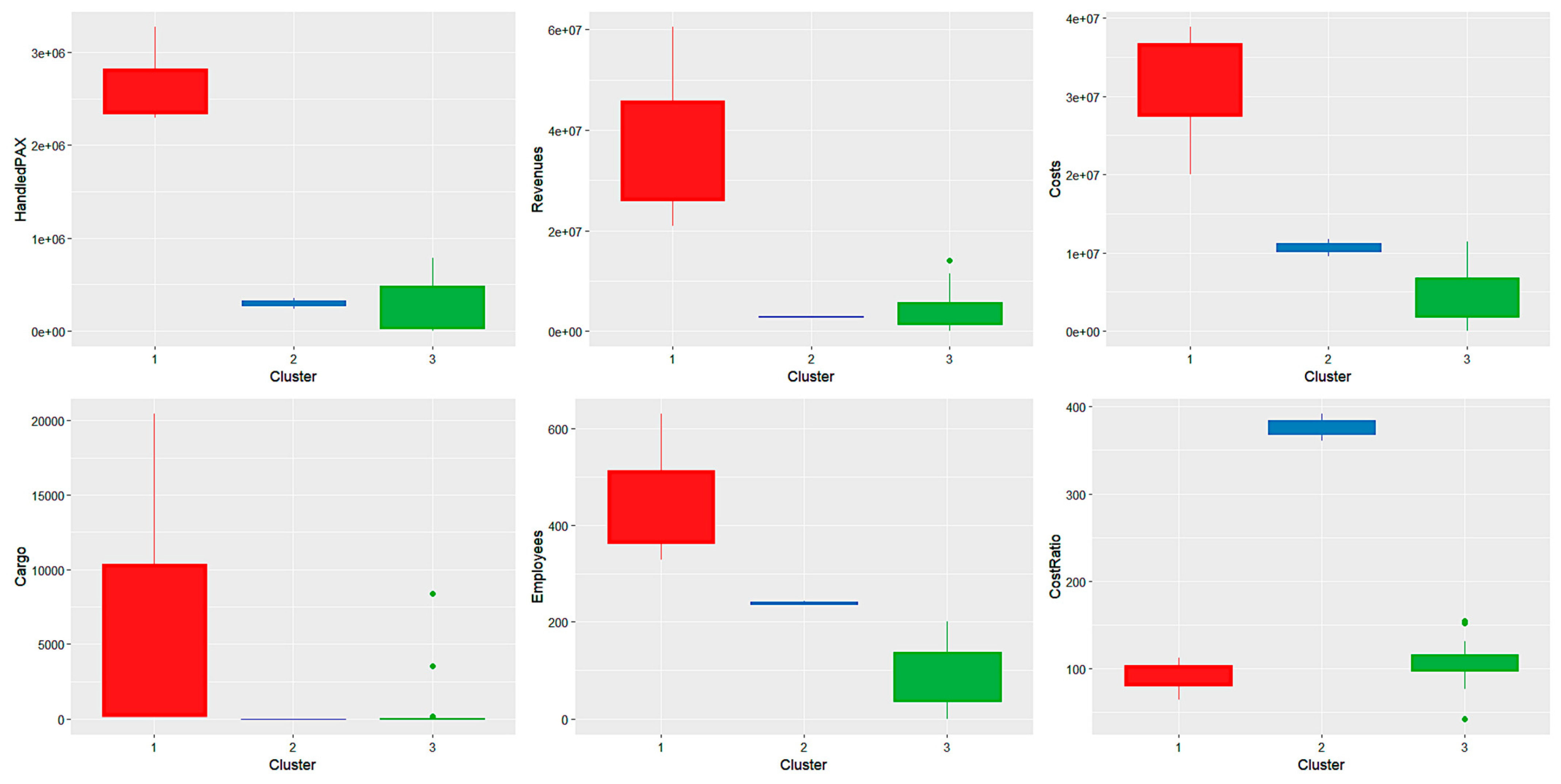
3.2. Cluster Analysis A
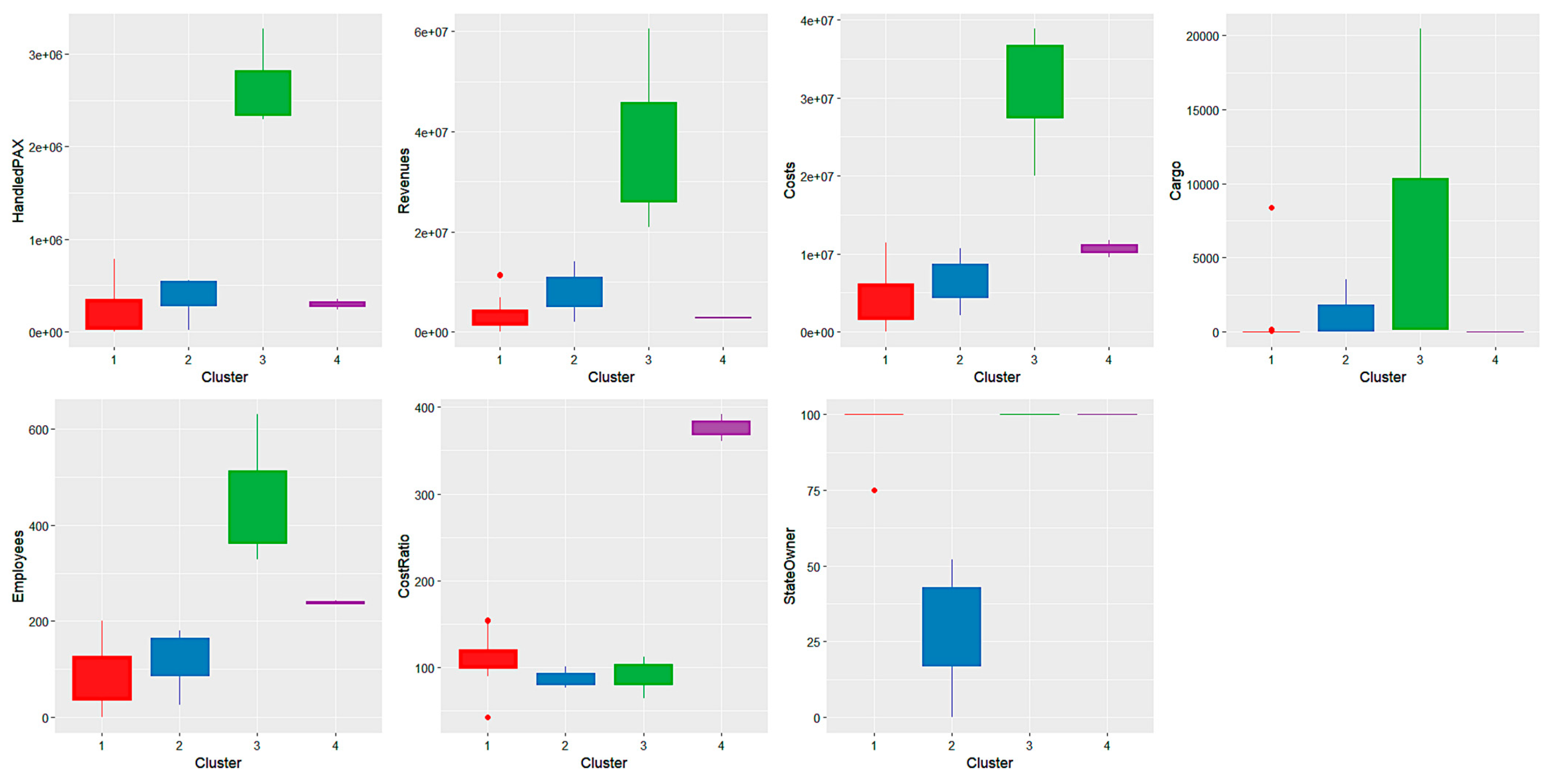
3.3. Cluster Analysis B
4. Discussion
5. Conclusions
Author Contributions
Funding
Data Availability Statement
Conflicts of Interest
Appendix A
| Airport | Year | Handled PAX | Total Revenues € | Total costs € | Transported Cargo (t) | Number of Employees | Cost Indicator (%) | Ownership Structure |
|---|---|---|---|---|---|---|---|---|
| Bratislava | 2019 | 2,290,242 | 31,111,000 | 34,793,000 | 20,449 | 631 | 111.8% | SR 100% |
| 2018 | 2,292,712 | 32,190,000 | 33,355,000 | 24,458.02 | 608 | 103.6% | ||
| 2017 | 1,942,069 | 28,481,000 | 32,453,000 | 26,246.07 | 617 | 113.9% | ||
| 2016 | 1,756,808 | 24,834,000 | 33,159,000 | 22,895.36 | 612 | 133.5% | ||
| Košice | 2019 | 558,064 | 14,047,516 | 10,681,624 | 59 | 149 | 76.0% | KSC Holding 64% |
| 2018 | 542,026 | 13,345,853 | 10,068,424 | 32 | 147 | 75.4% | SR 34% | |
| 2017 | 496,708 | 11,401,873 | 9,045,861 | 106.36 | 139 | 79.3% | ||
| 2016 | 436,696 | 9,121,438 | 7,202,546 | 88.359 | 134 | 79.0% | ||
| Poprad | 2019 | 94,249 | 2,774,035 | 3,071,373 | 0 | 63 | 110.7% | SR 97.61% |
| 2018 | 88,387 | 2,785,600 | 3,007,000 | 0 | 62 | 107.9% | Poprad city 1.67% | |
| 2017 | 80,140 | 2,529,400 | 2,745,700 | 0.61 | 60 | 108.6% | City of Vysoké Tatry 0.72% | |
| 2016 | 84,030 | 2,275,500 | 2,795,600 | 5.512 | 62 | 122.9% | ||
| Sliač | 2019 | 40,624 | 2,215,143 | 2,393,305 | 61.643 | 42 | 108.0% | SR 100% |
| 2018 | 41,866 | 2,344,409 | 2,317,236 | 73.922 | 38 | 98.8% | ||
| 2017 | 34,827 | 2,420,191 | 2,312,855 | 485.286 | 40 | 95.6% | ||
| 2016 | 22,511 | 2,152,734 | 2,242,142 | 592.2 | 37 | 104.2% | ||
| Piešťany | 2019 | 10,498 | 1,418,048 | 1,655,882 | 0.487 | 36 | 116.8% | Trnava region 59.31% |
| 2018 | 768 | 886,188 | 1,229,560 | 8.68 | 26 | 138.7% | SR 20.65% | |
| 2017 | 1294 | 659,533 | 980,746 | 36.517 | 27 | 148.7% | City of Piešťany | |
| 2016 | 912 | 502,530 | 1,132,655 | 5.512 | 30 | 225.4% | 20.04% | |
| Žilina | 2019 | 349 | 675,063 | 770,619 | 0 | 19 | 114.2% | Žilina region 65.99% |
| 2018 | 523 | 815,861 | 860,476 | 0.434 | 19 | 105.5% | SR 34.01% | |
| 2017 | 421 | 712,116 | 856,287 | 0.526 | 19 | 120.2% | ||
| 2016 | 286 | 707,441 | 844,631 | 1.2 | 19 | 119.4% |
| Airport | Year | Handled PAX | Total Revenues € | Total Costs € | Transported Cargo (t) | Number of Employees | Cost Indicator (%) | Ownership Structure |
|---|---|---|---|---|---|---|---|---|
| Brno | 2019 | 543,633 | x | x | 3529 | 180 | x | South Moravian region 100% |
| 2018 | 500,727 | x | x | 3750 | 159 | x | ||
| 2017 | 470,285 | x | x | 3893 | 143 | x | ||
| 2016 | 417,725 | 6,908,412 | 6,406,044 | 4150 | 143 | 92.7% | ||
| Ostrava | 2019 | 323,320 | 11,215,894 | 11,408,454 | 8392 | 200 | 101.7% | Moravian-Silesian region 100% |
| 2018 | 377,936 | 10,549,109 | 10,868,133 | 5448 | 176 | 103.0% | ||
| 2017 | 324,116 | 9,235,129 | 9,813,872 | 5363 | 182 | 106.3% | ||
| 2016 | 258,223 | 8,204,816 | 11,487,312 | 4152 | 182 | 140.0% | ||
| Pardubice | 2019 | 102,206 | 2,588,625 | 3,926,529 | 187 | 36 | 151.7% | City of Pardubice 66% |
| 2018 | 147,064 | 3,860,374 | 4,480,758 | 183 | 38 | 116.1% | Pardubice region 34% | |
| 2017 | 88,490 | 2,775,507 | 2,973,790 | 265 | 32 | 107.1% | ||
| 2016 | 31,174 | 1,783,606 | 2,178,220 | 142 | 29 | 122.1% | ||
| Karlovy Vary | 2019 | 62,434 | 1,271,367 | 1,966,997 | 0 | 42 | 154.7% | Karlovy Vary region 100% |
| 2018 | 45,003 | 1,688,330 | 2,044,341 | 0 | 45 | 121.1% | ||
| 2017 | 21,404 | 1,121,864 | 1,705,614 | 0 | 48 | 152.0% | ||
| 2016 | 25,235 | 1,138,104 | 1,690,538 | 0 | 51 | 148.5% |
| Airport | Year | Handled PAX | Total Revenues € | Total Costs € | Transported Cargo (t) | Number of Employees | Cost Indicator (%) | Ownership Structure |
|---|---|---|---|---|---|---|---|---|
| Debrecen | 2019 | 601,236 | 6,840,736 | 7,731,572 | 0 | 182 | 113.0% | City of Debrecen 49.96% |
| 2018 | 381,391 | 5,508,900 | 6,851,827 | 0 | 84 | 124.4% | Debreceni Holding 25.02% | |
| 2017 | 318,184 | 5,318,953 | 6,004,389 | 0 | 70 | 112.9% | Property Manager in Debrecen 25.02% | |
| 2016 | 284,965 | 4,045,065 | 4,807,734 | 0 | 102 | 118.9% | ||
| Gyór-Pér | 2019 | x | 2,071,184 | 2,088,221 | x | 25 | 100.8% | Audi Hungaria 48% |
| 2018 | 20,076 | 2,365,668 | 2,324,149 | x | 20 | 98.2% | City of Gyór 40% | |
| 2017 | 22,785 | 1,949,792 | 1,942,153 | x | 17 | 99.6% | Hungarian State 12% | |
| 2016 | 21,454 | 1,614,642 | 1,607,299 | x | 19 | 99.5% | ||
| Hevíz-Balaton | 2019 | 9123 | 1,403,763 | 1,370,784 | 0 | 37 | 97.7% | City of Hevíz 100% |
| 2018 | 11,466 | 1,376,133 | 1,369,899 | 0 | 35 | 99.5% | ||
| 2017 | 13,229 | 1,360,658 | 1,331,592 | 0 | 19 | 97.9% | ||
| 2016 | 17,663 | 1,188,365 | 1,184,310 | 0 | 14 | 99.7% | ||
| Pécs-Pogány | 2019 | 5983 | 624,980 | 676,754 | 0 | 13 | 108.3% | City of Pécs 58.80% |
| 2018 | 5345 | 573,994 | 572,812 | 0 | 13 | 99.8% | Hungarian State 41.20% | |
| 2017 | 4595 | 644,293 | 573,480 | 0 | 13 | 89.0% | ||
| 2016 | 3644 | 827,664 | 561,210 | 0 | 13 | 67.8% |
| Airport | Year | Handled PAX | Total Revenues € | Total Costs € | Transported Cargo (t) | Number of Employees | Cost Indicator (%) | Ownership Structure |
|---|---|---|---|---|---|---|---|---|
| Lublin | 2019 | 357,366 | 2,999,880 | 11,749,971 | 0 | 235 | 391.7% | City of Lublin 52.3604% |
| 2018 | 455,188 | 3,404,223 | 12,561,298 | 0.490 | 246 | 369.0% | Lublin Region 44.8570% | |
| 2017 | 430,346 | 2,276,877 | 12,346,993 | 0.014 | 253 | 542.3% | City of Swidnik 2.7772% | |
| 2016 | 377,606 | 1,748,373 | 10,002,035 | 1.070 | x | 572.1% | Swidnik district 0.0054% | |
| Lodž | 2019 | 241,707 | 2,656,373 | 9,583,578 | 0.857 | 244 | 360.8% | City of Lodž 95.509% |
| 2018 | 217,014 | 2,553,594 | 9,556,441 | 17.178 | 252 | 374.2% | Lodž Region 4.489% | |
| 2017 | 204,676 | 2,385,249 | 11,588,371 | 0 | 247 | 485.8% | Aeroclub Lodž 0.002% | |
| 2016 | 241,076 | 2,469,494 | 14,170,984 | 0 | 287 | 573.8% | ||
| Bydgoszcz | 2019 | 425,230 | 4,509,142 | 6,917,604 | 9.22 | 195 | 153.4% | Kujawsko-Pomorskie region 71.416% |
| 2018 | 413,245 | 4,639,390 | 6,934,742 | 7.07 | 189 | 149.5% | City of Bydgoszcz 22.913% | |
| 2017 | 331,300 | 4,391,252 | 7,202,904 | 23.55 | 185 | 164.0% | St. enterpise Polish airports 4.867% | |
| 2016 | 337,556 | 3,976,067 | 7,127,773 | 0 | 180 | 179.3% | City of Toruň 0.036% | |
| City of Inowroclaw 0.0065% | ||||||||
| P.P.U. Nordtechnik Sp. Z.o.o 0.6905% | ||||||||
| Targi Pomorskie Sp. Z.o.o 0.0017% | ||||||||
| 3 persons 0.0008% | ||||||||
| Szczecin-Goleniów | 2019 | 576,037 | x | x | 10.95 | x | x | St. enterprise Polish Airports 40.10% |
| 2018 | 598,971 | 4,659,526 | 4,659,526 | 37.33 | 132 | 126.8% | City of Szszecin 37.97% | |
| 2017 | 578,691 | 3,800,142 | 3,800,142 | 149.9 | 131 | 132.2% | Zapadnio-Pomorskie region 21.93% | |
| 2016 | 467,877 | 3,571,513 | 3,571,513 | 574.9 | 127 | 125.4% | ||
| Zielona-Góra | 2019 | 33,783 | 38,568 | 38,568 | 0 | 0 | 42.4% | Lubuskie region 100% |
| 2018 | 21,934 | 30,780 | 30,780 | 0 | 0 | 23.4% | ||
| 2017 | 17,702 | 29,755 | 29,755 | 0 | 0 | 27.9% | ||
| 2016 | 9443 | 10,085 | 10,085 | 0 | 0 | 50.2% | ||
| Poznaň-Lawica | 2019 | 2,379,635 | 20,925,905 | 20,925,905 | 100.72 | x | 95.8% | St. enterprise Polish airports 38.99% |
| 2018 | 2,476,304 | 21,099,337 | 21,099,337 | 73.16 | x | 92.9% | City of Poznań 36.99% | |
| 2017 | 1,852,655 | 16,576,267 | 16,576,267 | 466.40 | 330 | 108.3% | Wielkopolskie region 24.02% | |
| 2016 | 1,710,116 | 14,684,458 | 14,684,458 | 212,291 | 336 | 98.4% |
| Airport | Year | Handled PAX | Total Revenues € | Total Costs € | Transported Cargo (t) | Number of Employees | Cost Indicator (%) | Ownership structure |
|---|---|---|---|---|---|---|---|---|
| Split | 2019 | 3,271,000 | 60,533,981 | 38,846,610 | 253 | 397 | 64.2% | Croatian state 55% |
| 2018 | 3,096,000 | 54,516,739 | 33,807,140 | 273 | 347 | 62.0% | Splitsko-Dalmatinska country 15% | |
| 2017 | 2,791,000 | 49,365,501 | 30,136,094 | 294 | 357 | 61.0% | Kaštela City 15% | |
| 2016 | 2,263,000 | 41,778,103 | 27,530,281 | 346 | 352 | 65.9% | Trogir City 15% | |
| Zadar | 2019 | 783,000 | 11,456,527 | 10,302,609 | 2 | 127 | 89.9% | Croatian state 55% |
| 2018 | 585,000 | 9,832,825 | 8,637,312 | 27 | 128 | 87.8% | Zadar county 20% | |
| 2017 | 574,000 | 9,054,032 | 8,148,149 | 5 | 172 | 90.0% | Zadar city 20% | |
| 2016 | 502,000 | 7,938,190 | 7,420,031 | 8 | 158 | 93.5% | Donji Zemunik municipality 5% | |
| Rijeka | 2019 | 197,000 | 3,454,036 | 3 443,554 | 95 | 60 | 99.7% | Croatian state 55% |
| 2018 | 179,000 | 3,835,109 | 3,488,759 | - | 68 | 91.0% | Primorsko-Goranska county 20% | |
| 2017 | 137,000 | 2,584,789 | 2,300,906 | - | 55 | 89.0% | Rijeka city 10% | |
| 2016 | 141,000 | 2,240,765 | 2,236,534 | - | 53 | 99.8% | Crikevnica city 4% Omišalj municipality 3% | |
| Osijek | 2019 | 46,000 | 2,140,934 | 2,064,431 | 12 | 61 | 96.4% | Croatian state 55% |
| 2018 | 67,000 | 1,617,367 | 1,954,797 | - | 65 | 120.9% | Osječko-Baranjska county 20% | |
| 2017 | 43,000 | 1,658,368 | 1,693,896 | - | 56 | 102.1% | Osjek city 25% | |
| 2016 | 30,000 | 1,977,096 | 1,958,299 | - | 52 | 99.0% |
References
- Pacagnella, A.C.; Hollaender, P.S.; Mazzanti, G.V.; Bortoletto, W.W. Infrastructure and Flight Consolidation Efficiency of Public and Private Brazilian International Airports: A Two-Stage DEA and Malmquist Index Approach. J. Adv. Transp. 2020, 2020, 2464869. [Google Scholar] [CrossRef]
- Commision Regulation (EU) 2017/1084 of 14 June 2017 Amending Regulation (EU) No 651/2014. Official Journal of the European Union. 2017. Available online: https://eur-lex.europa.eu/legal-content/EN/TXT/PDF/?uri=CELEX:32017R1084&from=ES (accessed on 11 April 2024).
- Cervinka, M. Is regional airports business a way to make profit? Transp. Res. Procedia 2019, 43, 84–92. [Google Scholar] [CrossRef]
- Adler, N.; Ülkü, T.; Yazhemsky, E. Small regional airport sustainability: Lessons from benchmarking. J. Air Transp. 2013, 33, 22–31. [Google Scholar] [CrossRef]
- Kazda, A.; Hromádka, M.; Mrekaj, B. Small regional airports operation: Unnecessary burdens or key to regional development. Transp. Res. Procedia 2017, 28, 59–68. [Google Scholar] [CrossRef]
- Tveter, E. The effect of airports on regional development: Evidence from the construction of regional airports in Norway. Res. Transp. Econ. 2017, 63, 50–58. [Google Scholar] [CrossRef]
- Breidenbach, P. Ready for take-off? The economic effects of regional airport expansions in Germany. Reg. Stud. 2020, 54, 1084–1097. [Google Scholar] [CrossRef]
- Zheng, X.; Liu, C.; Wei, P. Air Transportation Direct Share Analysis and Forecast. J. Adv. Transp. 2020, 2020, 8924095. [Google Scholar] [CrossRef]
- ACI. European Regional Airports—Sustainability Connecting People, Places, and Products. 2023. Available online: https://www.aci-europe.org/downloads/publications/EUROPEAN%20REGIONAL%20AIRPORTS%202023.pdf (accessed on 4 April 2024).
- Jimenez, E.; Suau-Sanchez, P. Reinterpreting the role of primary and secondary airports in low-cost carrier expansion in Europe. J. Transp. Geogr. 2020, 88, 102847. [Google Scholar] [CrossRef] [PubMed]
- Chwilkowska-Kubala, A. What are the sources of regional airport economic effectiveness? The dynamic capabilities perspective with evidence from Poland. J. Air Transp. Manag. 2021, 92, 102024. [Google Scholar] [CrossRef]
- Remencová, T.; Novák-Sedláčková, A. Modernization of Digital Technologies at Regional Airports and its Potential Impact on the Cost Reduction. Transp. Res. Procedia 2021, 55, 18–25. [Google Scholar] [CrossRef]
- Beifert, A.; Prause, G.; Gerlitz, L. Sustainable Business Development Models for Regional Airports. Innovations and Strategies for Logistics and Supply Chains: Technologies, Business Models and Risk Management. Proc. Hambg. Int. Conf. Logist. 2015, 20, 256–284. [Google Scholar]
- Rotondo, F. An explorative analysis to identify airport business models. Res. Transp. Bus. Manag. 2019, 33, 100417. [Google Scholar] [CrossRef]
- Budd, L.; Ison, S. Public utility or private asset? The evolution of UK airport ownership. Case Stud. Transp. Policy 2021, 9, 212–218. [Google Scholar] [CrossRef]
- Wu, Z.; Lai, P.L.; Ma, F.; Park, K.S.; Nimsai, S. Determining Spatial Relationships between Airports and Local Economy from Competitiveness Perspective: A Case Study of Airports in China. Aerospace 2023, 10, 138. [Google Scholar] [CrossRef]
- Kováčiková, K.; Remencová, T.; Sedláčková, A.N.; Novák, A. The impact of COVID-19 on the digital transformation of the airports. Transp. Res. Procedia 2022, 64, 84–89. [Google Scholar] [CrossRef]
- Karanki, F.; Bilotkach, V. The impact of Airport business practices and governance forms on excess capacity. Econ. Transp. 2024, 38, 100353. [Google Scholar] [CrossRef]
- Villa, I.; Morejon Ramirez, L.A.; Moore, M. The Business Case for Regional Air Mobility at Scale. In Proceedings of the AIAA AVIATION 2023 Forum, San Diego, CA, USA, 12–16 June 2023; p. 3295. [Google Scholar]
- Dulskaia, I.; Bellini, F. New Business Models and Partnerships for Sustainable Mobility and Transport Sector. Capacit. Build. Local Authorities Sustain. Transp. Plan. 2023, 319, 279–302. [Google Scholar] [CrossRef]
- Hiney, N.; Efthymiou, M.; Morgenroth, E.L.W. Regional airport business models: The Shannon Group as a case study. In Air Transport and Regional Development Case Studies; Routledge (Taylor & Francis): Abingdon, UK, 2021; ISBN 9780367533144. [Google Scholar]
- Chutiphongdech, T.; Vongsaroj, R. Critical Components of Airport Business Model Framework: Evidence from Thailand. Sustainability 2022, 14, 8347. [Google Scholar] [CrossRef]
- Kristaps, G. Alternative Models for Regional Airports in Latvia. RFDS 2021, 10, 87–98. [Google Scholar] [CrossRef][Green Version]
- Colak, O.; Enoch, M.; Morton, C. Airport business models and the COVID-19 pandemic: An exploration of the UK case study. J. Air Transp. Manag. 2023, 108, 102337. [Google Scholar] [CrossRef]
- Wang, Z.; Song, W.K. Sustainable airport development with performance evaluation forecasts: A case study of 12 Asian airports. J. Air Transp. Manag. 2020, 89, 101925. [Google Scholar] [CrossRef]
- Štimac, I.; Vidović, A.; Mihetec, T.; Drljača, M. Optimization of airport capacity efficiency by selecting optimal aircraft and airline business model. Sustainability 2020, 12, 3988. [Google Scholar] [CrossRef]
- Minato, N.; Morimoro, R. Dynamically interdependent business model for airline–airport coexistence. J. Air Transp. Manag. 2017, 64, 161–172. [Google Scholar] [CrossRef]
- Kovačič, B.; Doler, D.; Sever, D. Innovative business model for the management of airports in purpose to identify runway damage in time. Sustainability 2021, 13, 613. [Google Scholar] [CrossRef]
- Song, K.H.; Suh, W. Perceptions on Regional Benefit of Airport Development and Operation. Appl. Sci. 2022, 12, 4340. [Google Scholar] [CrossRef]
- Große, C.; Olausson, P.M.; Svensson, B. Resilience Endangered: The Role of Regional Airports in Remote Areas in Sweden. Infrastructures 2021, 6, 167. [Google Scholar] [CrossRef]
- Silva, C.M.; Granemann, S.R.; Guarnieri, P.; Da Silva, G.L. Measuring the Attractiveness of Cities to Receive Investments in Regional Airport Infrastructure. Mathematics 2022, 10, 1734. [Google Scholar] [CrossRef]
- Rengarajan, S.; Moser, R.; Tillessen, L.; Narayanamurthy, G.; Reddy, S.S.J. Decision model innovation for competitive productivity (CP) in the airport industry. Int. J. Contemp. Hosp. Manag. 2021, 33, 3021–3039. [Google Scholar] [CrossRef]
- Straubinger, A.; Michelmann, J.; Biehle, T. Business model options for passenger urban air mobility. CEAS Aeronaut. J. 2021, 12, 361–380. [Google Scholar] [CrossRef]
- Christensen, L.; Nielsen, O.A.; Rich, J.; Knudsen, M. Optimizing airport infrastructure for a country: The case of Greenland. Res. Transp. Econ. 2020, 79, 100773. [Google Scholar] [CrossRef]
- Chakuu, S.; Nedza, M. Characteristics of airport business models and traffic analysis at the selective airports in Europe and USA. TTS Tech. Transp. Szyn. 2015, 12, 252–256. [Google Scholar]
- Remencová, T.; Novák-Sedláčková, A. The Approach to Evaluation of the economic and operational Indicators of selected Regional Airports in the Countries of Central Europe. Transp. Res. Procedia 2021, 59, 154–165. [Google Scholar] [CrossRef]
- Martín-Domingo, L.; Martín, J.C. The effect of COVID-related EU state aid on the level playing field for airlines. Sustainability 2022, 14, 2368. [Google Scholar] [CrossRef]
- Agnolucci, I. Will COVID-19 make or break EU state aid control? An analysis of commission decisions authorising pandemic state aid measures. J. Eur. Compet. Law Pract. 2022, 13, 3–16. [Google Scholar] [CrossRef]
- Vyskoč, L.; Remencová, T. Funding options of regional airports in the context of present legislation. University of Zilina. Proc. Young Wings Conf. 2021, 9, 201–205. [Google Scholar]
- Adikariwattage, V.; De Barros, A.G.; Wirasinghe, S.C.; Ruwanpura, J. Airport classification criteria based on passenger characteristics and terminal size. J. Air Transp. Manag. 2012, 24, 36–41. [Google Scholar] [CrossRef]
- Bloch, J.H.; Janko, K.; Thessen, T.; Jensen, O.B.; Lassen, C. Not all hubs are made equal: A case study of airport governance in Europe. Eur. Urban Reg. Stud. 2021, 28, 241–262. [Google Scholar] [CrossRef]
- Nõmmik, A.; Antov, D. European Regional Airport: Factors Influencing Efficency. Transp. Telecommun. J. 2020, 21, 211–220. [Google Scholar] [CrossRef]
- Settimo, G.; Manigrasso, M.; Avino, P. Indoor air quality: A focus on the European legislation and state-of-the-art research in Italy. Atmosphere 2020, 11, 370. [Google Scholar] [CrossRef]
- Pagliari, R.; Graham, A. Airport competition within the Scottish Lowlands region. Res. Transp. Econ. 2020, 79, 100760. [Google Scholar] [CrossRef]
- Serrano, F.; Kazda, A. The future of airports post COVID-19. J. Air Transp. Manag. 2020, 89, 101900. [Google Scholar] [CrossRef]
- Remencová, T.; Novák Sedláčková, A. Position of central european regional airports. Transp. Probl. 2021, 16, 163–172. [Google Scholar] [CrossRef]
- Mayer, R. Airport classification based on cargo characteristics. J. Transp. Geogr. 2016, 54, 53–65. [Google Scholar] [CrossRef]
- Pauwels, J.; Buyle, S.; Dewulf, W. Regional Airports Revisited: Unveiling Pressing Research Gaps and Proposing a Uniform Definition. J. Air Transp. Res. Soc. 2024, 2, 100008. [Google Scholar] [CrossRef]
- Rousseeuw, P.J. Silhouettes: A graphical aid to the interpretation and validation of cluster analysis. J. Comput. Appl. Math. 1987, 20, 53–65. [Google Scholar] [CrossRef]
- Kazda, A.; Sedláčková, A.N.; Bračić, M. Expropriation and airport development. Civ. Environ. Eng. 2020, 16, 282–288. [Google Scholar] [CrossRef]
- Statistical Office of the Slovak Republic. Annual Reports of Regional Airports in Slovakia 2016–2019. Available online: https://slovak.statistics.sk/wps/portal/ext/home/!ut/p/z1/04_Sj9CPykssy0xPLMnMz0vMAfIjo8ziA809LZycDB0NLPyCXA08QxwD3IO8TAwNTEz1wwkpiAJKG-AAjgb6wal5QDOiwMqc3R09TMx9DAwsfNxNDTwdPUKDLAONjQ0cjaEK8JhTkBtR4ZmuqAgAeXHFQA!!/dz/d5/L2dBISEvZ0FBIS9nQSEh/ (accessed on 1 March 2024).
- Civil Aviation Authority of Czech Republic. Annual Reports of Regional Airports in Czechia 2016–2019. Available online: https://www.caa.cz/en/ (accessed on 1 March 2024).
- Annual Reports of Debrecen Airport 2016–2019. Available online: https://www.debrecenairport.com/en/public-information (accessed on 1 March 2024).
- Annual Reports of Gyor-Per Airport 2016–2019. Available online: https://centreforaviation.com/data/profiles/airports/gyr-per-airport-lhpr (accessed on 1 March 2024).
- Annual Reports of Heviz-Balaton Airport 2016–2019. Available online: https://www.ceginformacio.hu/cr9319165265_EN (accessed on 1 March 2024).
- Annual Reports of Pecs-Pogany Airport 2016–2019. Available online: https://centreforaviation.com/data/profiles/airports/pecs-pogany-airport-pev (accessed on 1 March 2024).
- Annual Reports of Lublin Airport 2016–2019. Available online: https://www.airport.lublin.pl/en/statystyki (accessed on 1 March 2024).
- Annual Reports of Lodz Airport 2016–2019. Available online: https://www.lodz-airport.pl/en/about-airport/statistics (accessed on 1 March 2024).
- Annual Reports of Bydgoszcz Airport 2016–2019. Available online: https://plb.pl/en/uslugi-dla-general-aviation/ (accessed on 1 March 2024).
- Annual Reports of Szczecin-Goleniow Airport 2016–2019. Available online: https://airport.com.pl/ (accessed on 1 March 2024).
- Annual Reports of Zielona Gora Airport 2016–2019. Available online: https://ri.luglightfactory.com/en/investor-relations/reports/annual-reports (accessed on 1 March 2024).
- Annual Reports of Poznan-Lawica Airport 2016–2019. Available online: https://poznanairport.pl/en/about-us/statistics/ (accessed on 1 March 2024).
- Croatian Bureau of Statistics. Annual Reports of Regional Airports in Croatia 2016–2019. Available online: https://dzs.gov.hr/en (accessed on 1 March 2024).






| Country | Airport | IATA Code |
|---|---|---|
| Slovakia | Bratislava | BTS |
| Košice | KSC | |
| Poprad | TAT | |
| Piešťany | PZY | |
| Sliač | SLD | |
| Zilina | ILZ | |
| Czechia | Brno | BRO |
| Ostrava | OSR | |
| Pardubice | PED | |
| Karlovy Vary | KLV | |
| Hungary | Debrecen | DEB |
| Gyór-Pér | QGY | |
| Hevíz | SOB | |
| Pécs-Pogány | PEV | |
| Poland | Lublin | LUZ |
| Łódź | LCJ | |
| Bydgoszcz | BGZ | |
| Szczecin-Goleniów | SZZ | |
| Zielona Góra | IEG | |
| Poznaň-Lawica | POZ | |
| Croatia | Split | SPU |
| Zadar | ZAD | |
| Rijeka | RJK | |
| Osijek | OSI |
| Number of Clusters | 2 | 3 | 4 | 5 | 6 |
|---|---|---|---|---|---|
| ASW-Variant A | 0.598 | 0.541 | 0.544 | 0.540 | 0.521 |
| ASW-Variant B | 0.659 | 0.635 | 0.631 | 0.502 | 0.498 |
| Median: | Handled PAX | Total Revenues € | Total Costs € | Transported Cargo (t) | Number of Employees | Cost Indicator (%) | Public Ownership (%) |
|---|---|---|---|---|---|---|---|
| Cluster no. 1 | 78,341.5 | 2,401,884 | 2,732,339 | 1.2 | 51 | 109.5% | 6.255 |
| Cluster no. 2 | 543,633 | 7,958,389 | 6,756,475 | 59 | 149 | 84.9 | 34 |
| Cluster no. 3 | 2,379,635 | 31,111,000 | 34,793,000 | 253 | 397 | 95.8 | 100 |
| Cluster no. 4 | 299,537 | 2,828,267 | 10,666,775 | 0.4 | 239.5 | 376.2 | 100 |
| Median: | Handled PAX | Total Revenues € | Total Costs € | Transported Cargo (t) | Number Personnel | Cost Indicator (%) |
|---|---|---|---|---|---|---|
| Cluster no. 1 | 2,379,635 | 31,111,000 | 34,793,000 | 253 | 397 | 95.8 |
| Cluster no. 2 | 299,536.5 | 2,828,126.5 | 10,666,774.5 | 0.4 | 239.5 | 376.2 |
| Cluster no. 3 | 94,249 | 2,588,625 | 3,071,373 | 2 | 60 | 108.0 |
Disclaimer/Publisher’s Note: The statements, opinions and data contained in all publications are solely those of the individual author(s) and contributor(s) and not of MDPI and/or the editor(s). MDPI and/or the editor(s) disclaim responsibility for any injury to people or property resulting from any ideas, methods, instructions or products referred to in the content. |
© 2024 by the authors. Licensee MDPI, Basel, Switzerland. This article is an open access article distributed under the terms and conditions of the Creative Commons Attribution (CC BY) license (https://creativecommons.org/licenses/by/4.0/).
Share and Cite
Novák, A.; Novák Sedláčková, A.; Kováčiková, K.; Böhm, P. Navigating Regional Airport System Economics: Insights from Central Europe and Croatia. Systems 2024, 12, 175. https://doi.org/10.3390/systems12050175
Novák A, Novák Sedláčková A, Kováčiková K, Böhm P. Navigating Regional Airport System Economics: Insights from Central Europe and Croatia. Systems. 2024; 12(5):175. https://doi.org/10.3390/systems12050175
Chicago/Turabian StyleNovák, Andrej, Alena Novák Sedláčková, Kristína Kováčiková, and Patrik Böhm. 2024. "Navigating Regional Airport System Economics: Insights from Central Europe and Croatia" Systems 12, no. 5: 175. https://doi.org/10.3390/systems12050175
APA StyleNovák, A., Novák Sedláčková, A., Kováčiková, K., & Böhm, P. (2024). Navigating Regional Airport System Economics: Insights from Central Europe and Croatia. Systems, 12(5), 175. https://doi.org/10.3390/systems12050175

