Generation of Two-Line Restorer Line with Low Chalkiness Using Knockout of Chalk5 through CRISPR/Cas9 Editing
Abstract
Simple Summary
Abstract
1. Introduction
2. Materials and Methods
2.1. Materials
2.2. Gene Editing
2.3. Field Experiment and Trait Evaluation
2.4. Data Analysis
3. Results
3.1. Generation of Chalk5 Knockout Homozygous Mutants
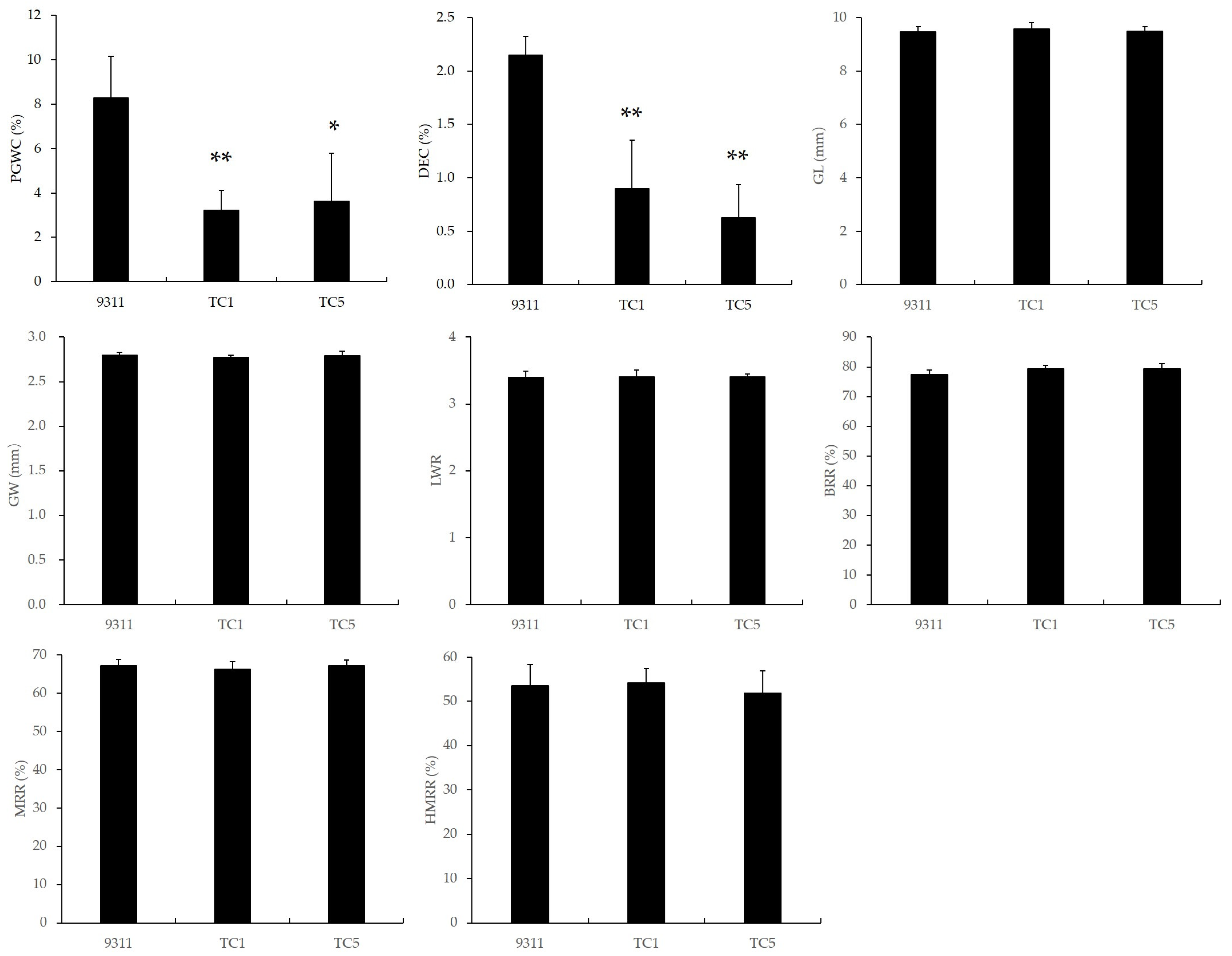
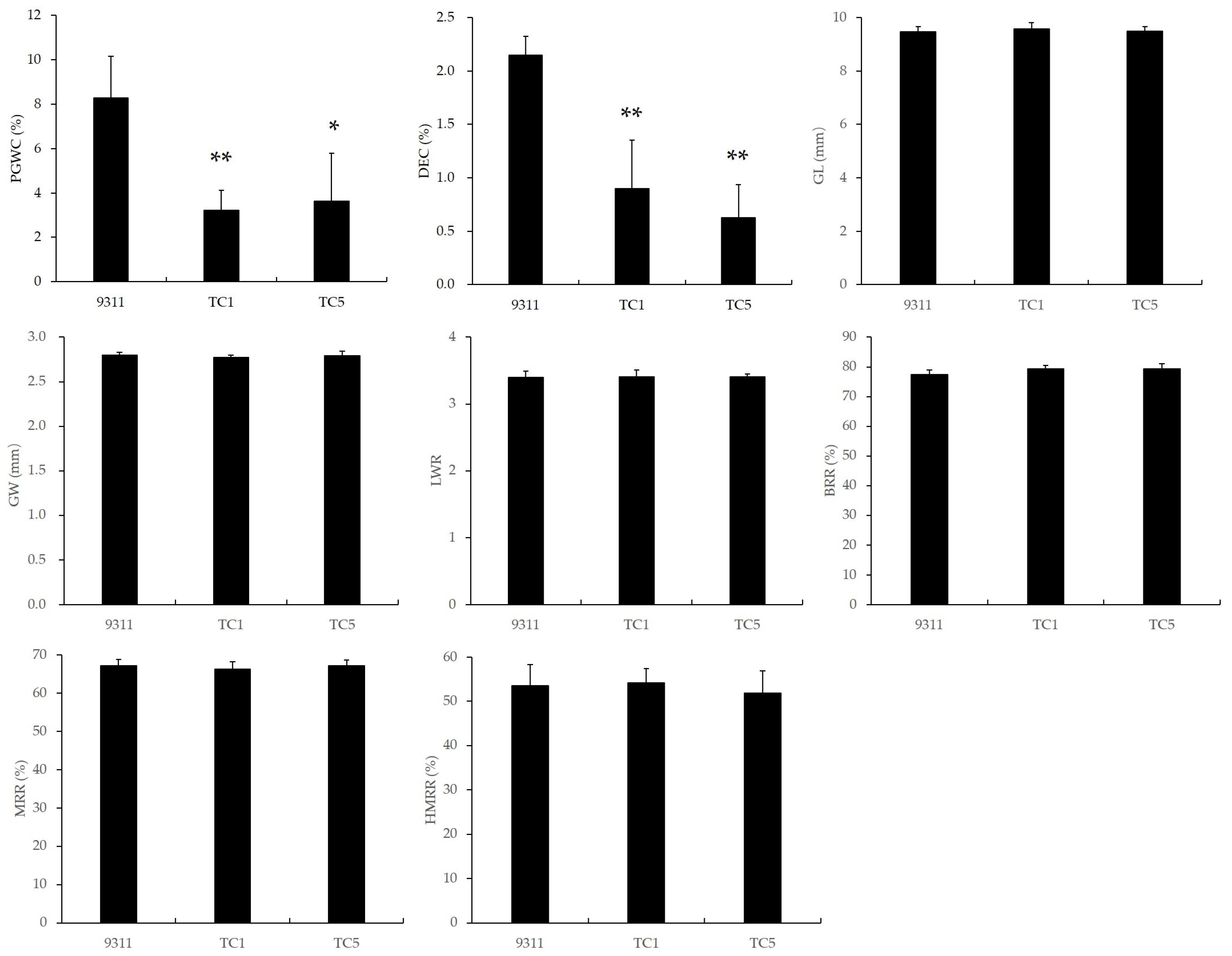
3.2. Chalk5 Knockout Homozygous Mutants Showed Significantly Reduced Chalkiness
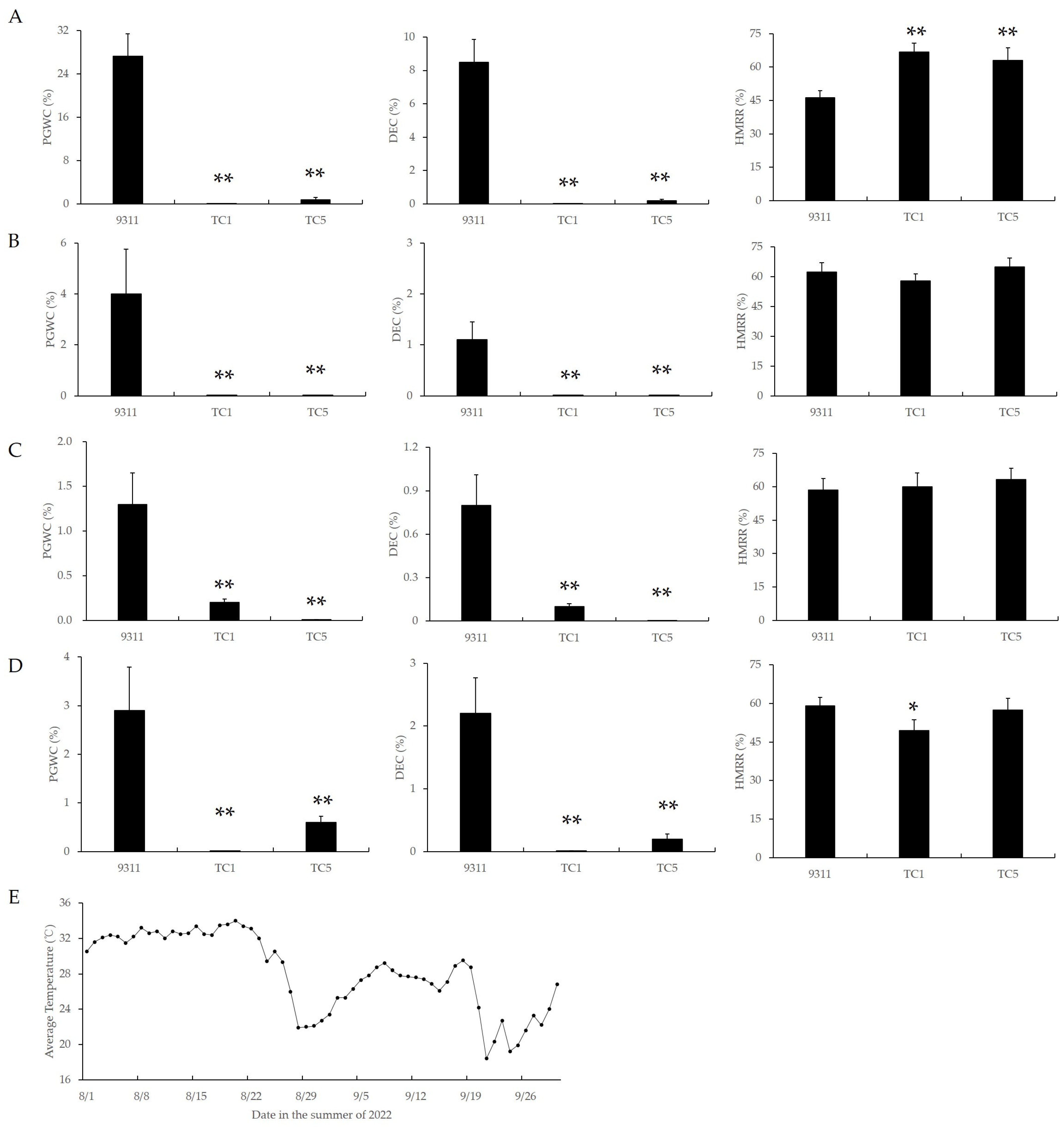
3.3. Chalkiness of Chalk5 Knockout Homozygous Mutants Was Insensitive to Temperature
3.4. Chalk5 Knockout Homozygous Mutants Significantly Decreased Chalkiness in Hybrid Background
4. Discussion
5. Conclusions
Supplementary Materials
Author Contributions
Funding
Institutional Review Board Statement
Informed Consent Statement
Data Availability Statement
Conflicts of Interest
References
- Xing, Y.Z.; Zhang, Q.F. Genetic and molecular bases of rice yield. Ann. Rev. Plant Biol. 2010, 61, 421–442. [Google Scholar] [CrossRef] [PubMed]
- Qiu, X.; Yang, J.; Zhang, F.; Niu, Y.; Zhao, X.; Shen, C.; Chen, K.; Teng, S.; Xu, J. Genetic dissection of rice appearance quality and cooked rice elongation by genome-wide association study. Crop J. 2021, 9, 1470–1480. [Google Scholar] [CrossRef]
- Qiu, X.; Yuan, Z.; He, W.; Liu, H.; Xu, J.; Xing, D. Progress in genetic and breeding research on rice chalkiness. J. Plant Genet. Resour. 2014, 15, 992–998. [Google Scholar]
- Qiu, X.; Chen, K.; Lv, W.; Ou, X.; Zhu, Y.; Xing, D.; Yang, L.; Fan, F.; Yang, J.; Xu, J.; et al. Examining two sets of introgression lines reveals background-independent and stably expressed QTL that improve grain appearance quality in rice (Oryza sativa L.). Theor. Appl. Genet. 2017, 130, 951–967. [Google Scholar] [CrossRef] [PubMed]
- He, P.; Li, S.G.; Qian, Q.; Ma, Y.Q.; Li, J.Z.; Wang, W.M.; Chen, Y.; Zhu, L.H. Genetic analysis of rice grain quality. Theor. Appl. Genet. 1999, 98, 502–508. [Google Scholar] [CrossRef]
- Zhou, L.; Chen, L.; Jiang, L.; Zhang, W.; Liu, L.; Liu, X.; Zhao, Z.; Liu, S.; Zhang, L.; Wang, J.; et al. Fine mapping of the grain chalkiness QTL qPGWC-7 in rice (Oryza sativa L.). Theor. Appl. Genet. 2008, 118, 581–590. [Google Scholar] [CrossRef] [PubMed]
- Guo, T.; Liu, X.; Wan, X.; Weng, J.; Liu, S.; Liu, X.; Chen, M.; Li, J.; Su, N.; Wu, F.; et al. Identification of a stable quantitative trait locus for percentage grains with white chalkiness in rice (Oryza sativa). J. Integr. Plant Biol. 2011, 53, 598–607. [Google Scholar] [CrossRef]
- Wang, S.; Wu, K.; Yuan, Q.; Liu, X.; Liu, Z.; Lin, X.; Zeng, R.; Zhu, H.; Dong, G.; Qian, Q.; et al. Control of grain size, shape and quality by OsSPL16 in rice. Nat. Genet. 2012, 44, 950–954. [Google Scholar] [CrossRef]
- Qiu, X.; Pang, Y.; Yuan, Z.; Xing, D.; Xu, J.; Dingkuhn, M.; Li, Z.; Ye, G. Genome-wide association study of grain appearance and milling quality in a worldwide collection of indica rice germplasm. PLoS ONE 2015, 10, e0145577. [Google Scholar] [CrossRef]
- Zhao, X.; Daygon, V.D.; McNally, K.L.; Hamilton, R.S.; Xie, F.; Reinke, R.F.; Fitzgerald, M.A. Identification of stable QTLs causing chalk in rice grains in nine environments. Theor. Appl. Genet. 2016, 129, 141–153. [Google Scholar] [CrossRef]
- Wang, X.; Pang, Y.; Wang, C.; Chen, K.; Zhu, Y.; Shen, C.; Ali, J.; Xu, J.; Li, Z. New candidate genes affecting rice grain appearance and milling quality detected by genome-wide and gene-based association analyses. Front. Plant Sci. 2017, 7, 1998. [Google Scholar] [CrossRef]
- Zhu, A.; Zhang, Y.; Zhang, Z.; Wang, B.; Xue, P.; Cao, Y.; Chen, Y.; Li, Z.; Liu, Q.; Cheng, S.; et al. Genetic dissection of qPCG1 for a quantitative trait locus for percentage of chalky grain in rice (Oryza sativa L.). Front. Plant Sci. 2018, 9, 1173. [Google Scholar] [CrossRef]
- Wu, B.; Xia, D.; Zhou, H.; Cheng, S.; Wang, Y.; Li, M.; Gao, G.; Zhang, Q.; Li, X.; He, Y. Fine mapping of qWCR7, a grain chalkiness QTL in rice. Mol. Breed. 2021, 41, 68. [Google Scholar] [CrossRef]
- Yang, W.; Liang, J.; Hao, Q.; Luan, X.; Tan, Q.; Lin, S.; Zhu, H.; Liu, G.; Liu, Z.; Bu, S.; et al. Fine mapping of two grain chalkiness QTLs sensitive to high temperature in rice. Rice 2021, 14, 33. [Google Scholar] [CrossRef]
- Wu, B.; Yun, P.; Zhou, H.; Xia, D.; Gu, Y.; Li, P.; Yao, J.; Zhou, Z.; Chen, J.; Liu, R.; et al. Natural variation in WHITE-CORE RATE 1 regulates redox homeostasis in rice endosperm to affect grain quality. Plant Cell 2022, 34, 1912–1932. [Google Scholar] [CrossRef]
- Zhao, D.; Zhang, C.; Li, Q.; Liu, Q. Genetic control of grain appearance quality in rice. Biotechnol. Adv. 2022, 60, 108014. [Google Scholar] [CrossRef]
- Yang, W.; Xiong, L.; Liang, J.; Hao, Q.; Luan, X.; Tan, Q.; Lin, S.; Zhu, H.; Liu, G.; Liu, Z.; et al. Substitution mapping of two closely linked QTLs on chromosome 8 controlling grain chalkiness in rice. Rice 2021, 14, 85. [Google Scholar] [CrossRef] [PubMed]
- Zhao, D.S.; Li, Q.F.; Zhang, C.Q.; Zhang, C.; Yang, Q.Q.; Pan, L.X.; Ren, X.Y.; Lu, J.; Gu, M.H.; Liu, Q.Q. GS9 acts as a transcriptional activator to regulate rice grain shape and appearance quality. Nat. Commun. 2018, 9, 1240. [Google Scholar] [CrossRef] [PubMed]
- Li, Y.; Fan, C.; Xing, Y.; Yun, P.; Luo, L.; Yan, B.; Peng, B.; Xie, W.; Wang, G.; Li, X.; et al. Chalk5 encodes a vacuolar H(+)-translocating pyrophosphatase influencing grain chalkiness in rice. Nat. Genet. 2014, 46, 398–404. [Google Scholar] [CrossRef]
- Wang, X. Analysis of the application value of Chalk5 gene in the breeding system from Liaoing Province. North Rice 2017, 47, 20–22. [Google Scholar] [CrossRef]
- Wang, D.; Wang, J.; Sun, W.; Qiu, X.; Yuan, Z.; Yu, S. Verifying the breeding value of a rare haplotype of Chalk7, GS3, and Chalk5 to improve grain appearance quality in rice. Plants 2022, 11, 1470. [Google Scholar] [CrossRef] [PubMed]
- Terao, T.; Hirose, T. Temperature-dependent QTLs in indica alleles for improving grain quality in rice: Increased prominence of QTLs responsible for reduced chalkiness under high-temperature conditions. Mol. Breed. 2018, 38, 52. [Google Scholar] [CrossRef]
- Lo, P.C.; Hu, L.; Kitano, H.; Matsuoka, M. Starch metabolism and grain chalkiness under high temperature stress. Natl. Sci. Rev. 2016, 3, 280–282. [Google Scholar] [CrossRef]
- Shan, Q.; Wang, Y.; Li, J.; Zhang, Y.; Chen, K.; Liang, Z.; Zhang, K.; Liu, J.; Xi, J.J.; Qiu, J.-L.; et al. Targeted genome modification of crop plants using a CRISPR/Cas system. Nat. Biotechnol. 2013, 31, 686–688. [Google Scholar] [CrossRef] [PubMed]
- Shomura, A.; Izawa, T.; Ebana, K.; Ebitani, T.; Kanegae, H.; Konishi, S.; Yano, M. Deletion in a gene associated with grain size increased yields during rice domestication. Nat. Genet. 2008, 40, 1023–1028. [Google Scholar] [CrossRef] [PubMed]
- Li, Y.; Fan, C.; Xing, Y.; Jiang, Y.; Luo, L.; Sun, L.; Shao, D.; Xu, C.; Li, X.; Xiao, J.; et al. Natural variation in GS5 plays an important role in regulating grain size and yield in rice. Nat. Genet. 2011, 43, 1266–1269. [Google Scholar] [CrossRef]
- Duan, P.G.; Xu, J.S.; Zeng, D.L.; Zhang, B.L.; Geng, M.F.; Zhang, G.Z.; Huang, K.; Huang, L.J.; Xu, R.; Ge, S.; et al. Natural variation in the promoter of GSE5 contributes to grain size diversity in rice. Mol. Plant 2017, 10, 685–694. [Google Scholar] [CrossRef]
- Gann, P.J.I.; Dharwadker, D.; Cherati, S.R.; Vinzant, K.; Khodakovskaya, M.; Srivastava, V. Targeted mutagenesis of the vacuolar H+ translocating pyrophosphatase gene reduces grain chalkiness in rice. Plant J. 2023, 115, 1261–1276. [Google Scholar] [CrossRef] [PubMed]
- Liao, Y.; Li, M.; Wu, H.; Liao, Y.; Xin, J.; Yuan, X.; Li, Y.; Wei, A.; Zou, X.; Guo, D.; et al. Generation of aroma in three-line hybrid rice through CRISPR/Cas9 editing of BETAINE ALDEHYDE DEHYDROGENASE2 (OsBADH2). Physiol. Plant. 2024, 176. [Google Scholar] [CrossRef]
- Qiu, X.; Gong, R.; Tan, Y.; Yu, S. Mapping and characterization of the major quantitative trait locus qSS7 associated with increased length and decreased width of rice seeds. Theor. Appl. Genet. 2012, 125, 1717–1726. [Google Scholar] [CrossRef]
- Hu, H.; Lv, W.; Li, Q.; Ou, X.; Xu, J.; Li, Z.; Xing, D.; Yang, L.; Xu, J.; Qiu, X.; et al. Characterization of main effects, epistatic effects and genetic background effects on QTL for yield related traits by two sets of reciprocal introgression lines in rice (Orysa sativa). Int. J. Agric. Biol. 2018, 20, 2125–2132. [Google Scholar] [CrossRef]
- Jia, Q.; Wu, X.; Qian, K.; Peng, Z.; Cai, Y.; Ye, R. Analysis on quality characteristics of rice varieties approved in China from 2000 to 2020. Hubei Agric. Sci. 2022, 61, 11–18. [Google Scholar]
- Liu, P.; He, L.; Mei, L.; Zhai, W.; Chen, X.; Ma, B. Rapid and directional improvement of elite rice variety via combination of genomics and multiplex genome editing. J. Agric. Food Chem. 2022, 70, 6156–6167. [Google Scholar] [CrossRef] [PubMed]
- Feng, L.; Xiong, W.; Ju, H.; Cao, Y.; Yang, D. Changes of high temperature events during rice growth period in MLRYR under RCP scenarios. Chin. J. Agrometeorol. 2015, 36, 383–392. [Google Scholar]



| Trait | LX03S/9311 | LX03S/TC1 | Huhan82S/9311 | Huhan82S/TC1 |
|---|---|---|---|---|
| PGWC (%) | 51.24 ± 5.28 | 16.83 ± 2.97 ** | 13.3 ± 1.09 | 2.5 ± 1.24 ** |
| DEC (%) | 24.94 ± 3.06 | 4.34 ± 0.91 ** | 3.25 ± 1.27 | 0.63 ± 0.77 ** |
| HMRR (%) | 38.86 ± 5.97 | 40.02 ± 7.28 | 36.79 ± 6.21 | 38.44 ± 8.02 |
| PN | 8.51 ± 0.88 | 8.16 ± 0.74 | 7.84 ± 1.09 | 8.16 ± 0.94 |
| SN | 146.39 ± 5.24 | 153.01 ± 6.28 | 149.73 ± 10.22 | 141.48 ± 4.00 |
| GN | 114.27 ± 3.08 | 118.96 ± 4.88 | 126.41 ± 5.94 | 115.79 ± 5.23 |
| SSR (%) | 80.12 ± 5.25 | 79.63 ± 7.24 | 83.17 ± 5.28 | 80.60 ± 10.99 |
| KGW (g) | 30.06 ± 0.64 | 27.39 ± 0.77 | 29.79 ± 0.65 | 28.07 ± 0.93 |
| GY (g) | 38.21 ± 5.24 | 36.77 ± 2.06 | 40.27 ± 5.23 | 39.03 ± 6.66 |
Disclaimer/Publisher’s Note: The statements, opinions and data contained in all publications are solely those of the individual author(s) and contributor(s) and not of MDPI and/or the editor(s). MDPI and/or the editor(s) disclaim responsibility for any injury to people or property resulting from any ideas, methods, instructions or products referred to in the content. |
© 2024 by the authors. Licensee MDPI, Basel, Switzerland. This article is an open access article distributed under the terms and conditions of the Creative Commons Attribution (CC BY) license (https://creativecommons.org/licenses/by/4.0/).
Share and Cite
Fan, G.; Jiang, J.; Long, Y.; Wang, R.; Liang, F.; Liu, H.; Xu, J.; Qiu, X.; Li, Z. Generation of Two-Line Restorer Line with Low Chalkiness Using Knockout of Chalk5 through CRISPR/Cas9 Editing. Biology 2024, 13, 617. https://doi.org/10.3390/biology13080617
Fan G, Jiang J, Long Y, Wang R, Liang F, Liu H, Xu J, Qiu X, Li Z. Generation of Two-Line Restorer Line with Low Chalkiness Using Knockout of Chalk5 through CRISPR/Cas9 Editing. Biology. 2024; 13(8):617. https://doi.org/10.3390/biology13080617
Chicago/Turabian StyleFan, Gucheng, Jiefeng Jiang, Yu Long, Run Wang, Famao Liang, Haiyang Liu, Junying Xu, Xianjin Qiu, and Zhixin Li. 2024. "Generation of Two-Line Restorer Line with Low Chalkiness Using Knockout of Chalk5 through CRISPR/Cas9 Editing" Biology 13, no. 8: 617. https://doi.org/10.3390/biology13080617
APA StyleFan, G., Jiang, J., Long, Y., Wang, R., Liang, F., Liu, H., Xu, J., Qiu, X., & Li, Z. (2024). Generation of Two-Line Restorer Line with Low Chalkiness Using Knockout of Chalk5 through CRISPR/Cas9 Editing. Biology, 13(8), 617. https://doi.org/10.3390/biology13080617

