Bioprospecting for Novel Probiotic Strains from Human Milk and Infants: Molecular, Biochemical, and Ultrastructural Evidence
Abstract
Simple Summary
Abstract
1. Introduction
2. Materials and Methods
2.1. Isolation, Phenotypic and Biochemical Features of Lactic Acid Bacteria
2.2. Molecular Identification of LAB Isolates by 16S rRNA Sequencing
2.2.1. Genomic DNA Extraction
2.2.2. Amplification of 16S rDNA of Isolates
2.2.3. Sequencing and Phylogenetic Analysis
2.3. Scanning Electron Microscopy
2.3.1. Growth Conditions
2.3.2. Isolate Preparation for SEM
2.4. Probiotic Characteristics of Isolates
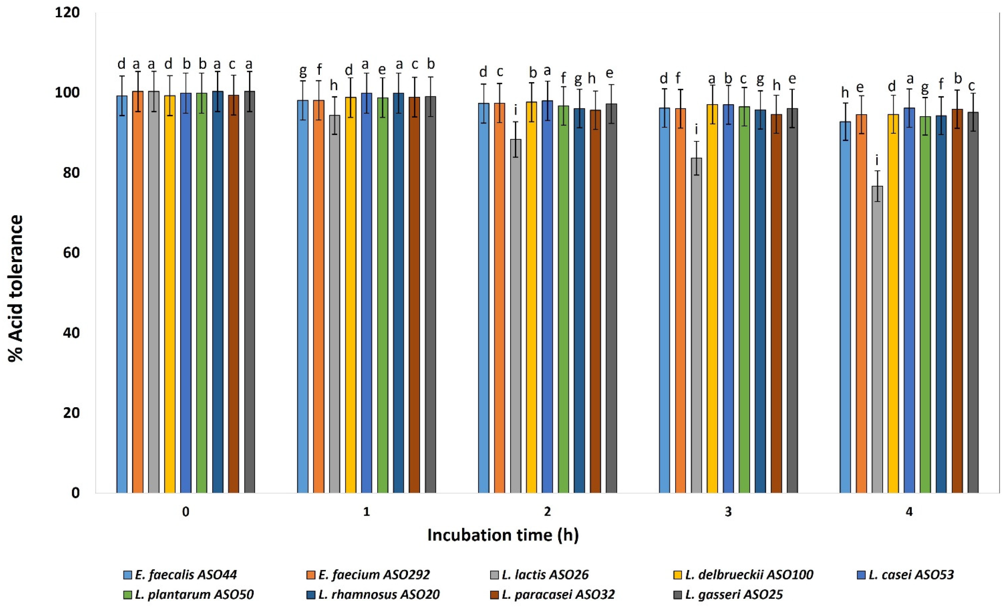
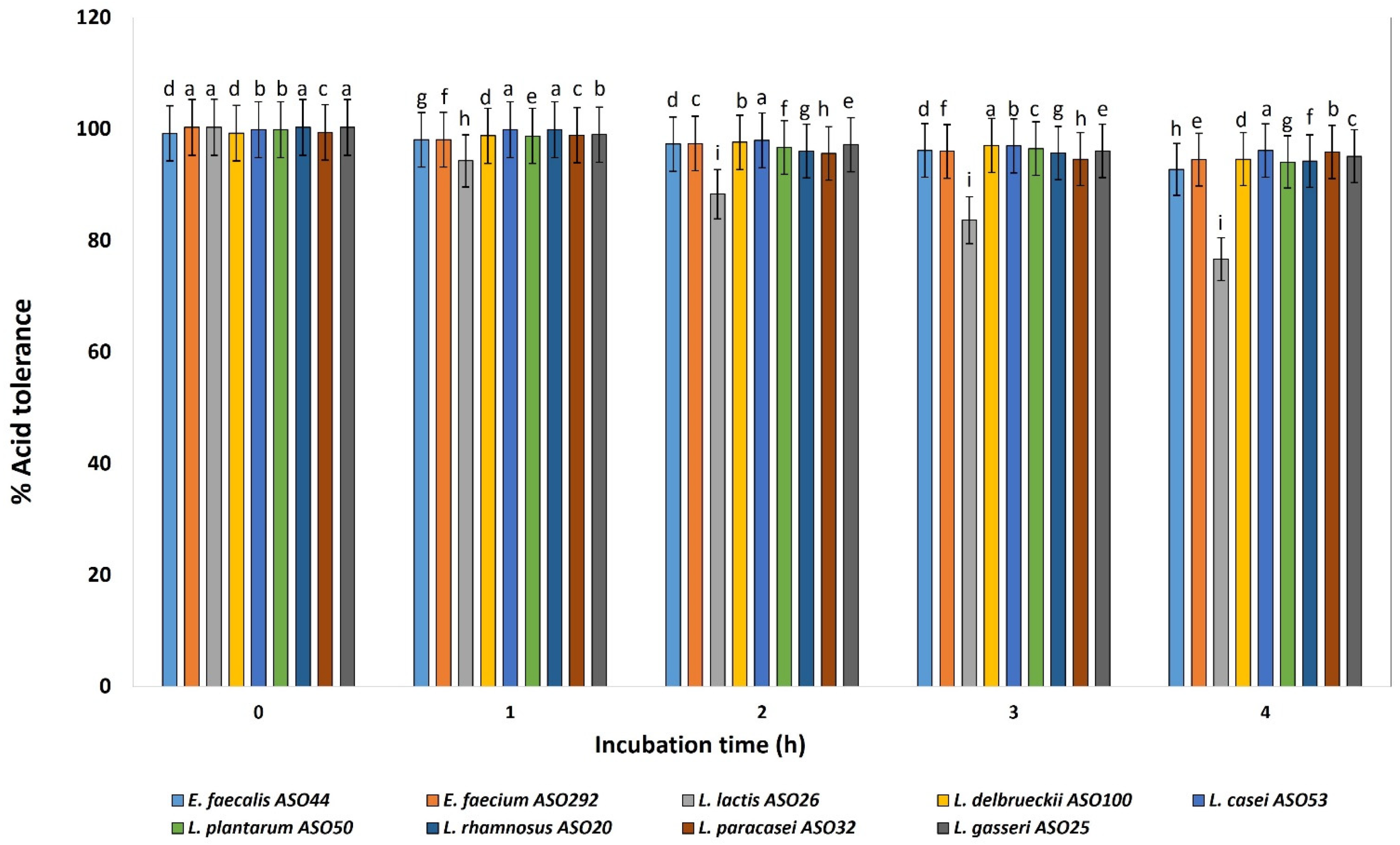
2.4.1. Acidity Resistance
2.4.2. Bile Salt Tolerance
2.4.3. Bile Salt Hydrolase Activity Assay
2.4.4. Antagonistic Activity
2.4.5. Antibiotic Susceptibility Testing
2.4.6. Statistical Analysis
3. Results
3.1. Isolation and Identification of Lactic Acid Bacteria
3.2. Physiological and Biochemical Characteristics
3.3. Molecular Identification
3.4. Scanning Electron Microscopy (SEM)
3.5. Probiotic Characteristics
4. Discussion
5. Conclusions
Author Contributions
Funding
Institutional Review Board Statement
Informed Consent Statement
Data Availability Statement
Acknowledgments
Conflicts of Interest
References
- Brink, L.R.; Mercer, K.E.; Piccolo, B.D.; Chintapalli, S.V.; Elolimy, A.; Bowlin, A.K.; Matazel, K.S.; Pack, L.; Adams, S.H.; Shankar, K. Neonatal Diet Alters Fecal Microbiota and Metabolome Profiles at Different Ages in Infants Fed Breast Milk or Formula. Am. J. Clin. Nutr. 2020, 111, 1190–1202. [Google Scholar] [CrossRef] [PubMed]
- Eidelman, A.; Schanler, R. Breastfeeding and the Use of Human Milk; American Academy of Pediatrics: Itasca, IL, USA, 2018. [Google Scholar]
- Medjaoui, I.; Rahmani, B.; Talhi, M.; Mahammi, F.Z.; Moghtit, F.Z.; Mehtar, N.; Gaouar, S.B.S. Isolation and Characterization of Lactic Acid Bacteria from Human Milk and Newborn Feces. J. Pure Appl. Microbiol. 2016, 10, 2613–2620. [Google Scholar] [CrossRef]
- Pannaraj, P.S.; Li, F.; Cerini, C.; Bender, J.M.; Yang, S.; Rollie, A.; Adisetiyo, H.; Zabih, S.; Lincez, P.J.; Bittinger, K. Association between Breast Milk Bacterial Communities and Establishment and Development of the Infant Gut Microbiome. JAMA Pediatr. 2017, 171, 647–654. [Google Scholar] [CrossRef] [PubMed]
- Lyons, K.E.; Ryan, C.A.; Dempsey, E.M.; Ross, R.P.; Stanton, C. Breast Milk, a Source of Beneficial Microbes and Associated Benefits for Infant Health. Nutrients 2020, 12, 1039. [Google Scholar] [CrossRef] [PubMed]
- Hill, C.; Guarner, F.; Reid, G.; Gibson, G.R.; Merenstein, D.J.; Pot, B.; Morelli, L.; Canani, R.B.; Flint, H.J.; Salminen, S. Expert Consensus Document: The International Scientific Association for Probiotics and Prebiotics Consensus Statement on the Scope and Appropriate Use of the Term Probiotic. Nat. Rev. Gastroenterol. Hepatol. 2014, 11, 506–514. [Google Scholar] [CrossRef]
- Olivares, M.; Díaz-Ropero, M.P.; Martín, R.; Rodríguez, J.M.; Xaus, J. Antimicrobial Potential of Four Lactobacillus Strains Isolated from Breast Milk. J. Appl. Microbiol. 2006, 101, 72–79. [Google Scholar] [CrossRef]
- Plaza-Diaz, J.; Ruiz-Ojeda, F.J.; Gil-Campos, M.; Gil, A. Mechanisms of Action of Probiotics. Adv. Nutr. 2019, 10, S49–S66. [Google Scholar] [CrossRef]
- Yousefi, B.; Eslami, M.; Ghasemian, A.; Kokhaei, P.; Salek Farrokhi, A.; Darabi, N. Probiotics Importance and Their Immunomodulatory Properties. J. Cell. Physiol. 2019, 234, 8008–8018. [Google Scholar] [CrossRef]
- Misra, S.; Pandey, P.; Mishra, H.N. Novel Approaches for Co-Encapsulation of Probiotic Bacteria with Bioactive Compounds, Their Health Benefits and Functional Food Product Development: A Review. Trends Food Sci. Technol. 2021, 109, 340–351. [Google Scholar] [CrossRef]
- Le, B.; Yang, S.H. Efficacy of Lactobacillus Plantarum in Prevention of Inflammatory Bowel Disease. Toxicol. Rep. 2018, 5, 314–317. [Google Scholar] [CrossRef]
- He, D.; Wang, Y.; Lin, J.; Xing, Y.-F.; Zeng, W.; Zhu, W.-M.; Su, N.; Zhang, C.; Lu, Y.; Xing, X.-H. Identification and Characterization of Alcohol-Soluble Components from Wheat Germ-Apple Fermented by Lactobacillus Sp. Capable of Preventing Ulcerative Colitis of Dextran Sodium Sulfate-Induced Mice. J. Funct. Foods 2020, 64, 103642. [Google Scholar] [CrossRef]
- Dos Santos, S.C.; Konstantyner, T.; Cocco, R.R. Effects of Probiotics in the Treatment of Food Hypersensitivity in Children: A Systematic Review. Allergol. Immunopathol. 2020, 48, 95–104. [Google Scholar] [CrossRef] [PubMed]
- Cavalcante, R.G.S.; de Albuquerque, T.M.R.; de Luna Freire, M.O.; Ferreira, G.A.H.; Dos Santos, L.A.C.; Magnani, M.; Cruz, J.C.; Braga, V.A.; de Souza, E.L.; de Brito Alves, J.L. The Probiotic Lactobacillus Fermentum 296 Attenuates Cardiometabolic Disorders in High Fat Diet-Treated Rats. Nutr. Metab. Cardiovasc. Dis. 2019, 29, 1408–1417. [Google Scholar] [CrossRef] [PubMed]
- Rajoka, M.S.R.; Mehwish, H.M.; Fang, H.; Padhiar, A.A.; Zeng, X.; Khurshid, M.; He, Z.; Zhao, L. Characterization and Anti-Tumor Activity of Exopolysaccharide Produced by Lactobacillus Kefiri Isolated from Chinese Kefir Grains. J. Funct. Foods 2019, 63, 103588. [Google Scholar] [CrossRef]
- Lee, H.; Lee, C.-K.; Kim, K. Isolation of Novel Strains of Lactobacillus Gasseri EJL and Bifidobacterium Breve JTL from Breast Milk and Infant Feces: A Longitudinal Study of a Mother-Infant Pair. Microbiol. Biotechnol. Lett. 2021, 49, 1–8. [Google Scholar] [CrossRef]
- Li, B.; Pan, L.-L.; Sun, J. Novel Probiotic Lactic Acid Bacteria Were Identified from Healthy Infant Feces and Exhibited Anti-Inflammatory Capacities. Antioxidants 2022, 11, 1246. [Google Scholar] [CrossRef]
- Buck, J.D. Nonstaining (KOH) Method for Determination of Gram Reactions of Marine Bacteria. Appl. Environ. Microbiol. 1982, 44, 992–993. [Google Scholar] [CrossRef]
- Schaad, N.W.; Jones, J.B.; Chun, W. Laboratory Guide for the Identification of Plant Pathogenic Bacteria; American Phytopathological Society (APS Press): Saint Paul, MN, USA, 2001; ISBN 0890542635. [Google Scholar]
- Hadioetomo, R.S. Mikrobiologi Dasar Dalam Praktek Teknik dan ProsedurDasar Laboratorium; Gramedia: Jakarta, Indonesia, 1993. [Google Scholar]
- Bulut, Ç. Isolation and Molecular Characterization of Lactic Acid Bacteria from Cheese; Izmir Institute of Technology: İzmir, Turkey, 2003; ISBN 9798505503249. [Google Scholar]
- Ashry, N.M.; Alaidaroos, B.A.; Mohamed, S.A.; Badr, O.A.M.; El-Saadony, M.T.; Esmael, A. Utilization of Drought-Tolerant Bacterial Strains Isolated from Harsh Soils as a Plant Growth-Promoting Rhizobacteria (PGPR). Saudi. J. Biol. Sci. 2022, 29, 1760–1769. [Google Scholar] [CrossRef]
- Abdelatty, A.M.; Mandouh, M.I.; Mohamed, S.A.; Busato, S.; Badr, O.A.M.; Bionaz, M.; Elolimy, A.A.; Moustafa, M.M.A.; Farid, O.A.A.; Al-Mokaddem, A.K. Azolla Leaf Meal at 5% of the Diet Improves Growth Performance, Intestinal Morphology and P70S6K1 Activation, and Affects Cecal Microbiota in Broiler Chicken. Animal 2021, 15, 100362. [Google Scholar] [CrossRef]
- Waterhouse, A.M.; Procter, J.B.; Martin, D.M.A.; Clamp, M.; Barton, G.J. Jalview Version 2—A Multiple Sequence Alignment Editor and Analysis Workbench. Bioinformatics 2009, 25, 1189–1191. [Google Scholar] [CrossRef]
- Kumar, S.; Stecher, G.; Li, M.; Knyaz, C.; Tamura, K. MEGA X: Molecular Evolutionary Genetics Analysis across Computing Platforms. Mol. Biol. Evol. 2018, 35, 1547–1549. [Google Scholar] [CrossRef] [PubMed]
- Kokkinosa, A.; Fasseas, C.; Eliopoulos, E.; Kalantzopoulos, G. Cell Size of Various Lactic Acid Bacteria as Determined by Scanning Electron Microscope and Image Analysis. Lait 1998, 78, 491–500. [Google Scholar] [CrossRef]
- Jaya, S. Microstructure Analysis of Dried Yogurt: Effect of Different Drying Methods. Int. J. Food Prop. 2009, 12, 469–481. [Google Scholar] [CrossRef]
- Sabikhi, L.; Babu, R.; Thompkinson, D.K.; Kapila, S. Resistance of Microencapsulated Lactobacillus Acidophilus LA1 to Processing Treatments and Simulated Gut Conditions. Food Bioprocess Technol. 2010, 3, 586–593. [Google Scholar] [CrossRef]
- Moser, S.A.; Savage, D.C. Bile Salt Hydrolase Activity and Resistance to Toxicity of Conjugated Bile Salts Are Unrelated Properties in Lactobacilli. Appl. Environ. Microbiol. 2001, 67, 3476–3480. [Google Scholar] [CrossRef] [PubMed]
- Chang, Y.-H.; Kim, J.-K.; Kim, H.-J.; Kim, W.-Y.; Kim, Y.-B.; Park, Y.-H. Selection of a Potential Probiotic Lactobacillus Strain and Subsequent in Vivo Studies. Antonie Van Leeuwenhoek 2001, 80, 193–199. [Google Scholar] [CrossRef]
- Başyiğit, G.; Kuleaşan, H.; Karahan, A.G. Viability of Human-Derived Probiotic Lactobacilli in Ice Cream Produced with Sucrose and Aspartame. J. Ind. Microbiol. Biotechnol. 2006, 33, 796–800. [Google Scholar] [CrossRef]
- Wayne, P.A. Clinical and Laboratory Standards Institute. Performance Standards for Antimicrobial Susceptibility Testing: 20th Informational Supplement; CLSI: Nueva Ecija, Philippines, 2010. [Google Scholar]
- Valladares, R.; Sankar, D.; Li, N.; Williams, E.; Lai, K.-K.; Abdelgeliel, A.S.; Gonzalez, C.F.; Wasserfall, C.H.; Larkin III, J.; Schatz, D. Lactobacillus Johnsonii N6. 2 Mitigates the Development of Type 1 Diabetes in BB-DP Rats. PLoS ONE 2010, 5, e10507. [Google Scholar] [CrossRef]
- Alberda, C.; Gramlich, L.; Meddings, J.; Field, C.; McCargar, L.; Kutsogiannis, D.; Fedorak, R.; Madsen, K. Effects of Probiotic Therapy in Critically Ill Patients: A Randomized, Double-Blind, Placebo-Controlled Trial. Am. J. Clin. Nutr. 2007, 85, 816–823. [Google Scholar] [CrossRef]
- Soni, M.; Shah, H.R.; Patel, S.M. Isolation, Identification and Analysis of Probiotic Characteristics of Lactobacillus Spp. from Regional Yoghurts from Surendranagar District, Gujarat. Asian. J. Dairy Food Res. 2021, 40, 267–272. [Google Scholar] [CrossRef]
- Lackey, K.A.; Williams, J.E.; Meehan, C.L.; Zachek, J.A.; Benda, E.D.; Price, W.J.; Foster, J.A.; Sellen, D.W.; Kamau-Mbuthia, E.W.; Kamundia, E.W. What’s Normal? Microbiomes in Human Milk and Infant Feces Are Related to Each Other but Vary Geographically: The INSPIRE Study. Front. Nutr. 2019, 6, 45. [Google Scholar] [CrossRef] [PubMed]
- Zhang, D.; Zhang, S.; Guidesi, E.; Zonenschain, D.; Sagheddu, V.; Lee, S.; Lim, C.-Y.; Elli, M. Isolation and Characterization of New Probiotic Strains from Chinese Babies. J. Clin. Gastroenterol. 2018, 52, S27–S34. [Google Scholar] [CrossRef] [PubMed]
- Thompson, C.C.; Chimetto, L.; Edwards, R.A.; Swings, J.; Stackebrandt, E.; Thompson, F.L. Microbial Genomic Taxonomy. BMC Genom. 2013, 14, 913. [Google Scholar] [CrossRef] [PubMed]
- Badr, O.A.M.; EL-Shawaf, I.I.S.; El-Garhy, H.A.S.; Moustafa, M.M.A. Isolation and Molecular Identification of Two Novel Cyanobacterial Isolates Obtained from a Stressed Aquatic System. Gene Rep. 2018, 13, 110–114. [Google Scholar] [CrossRef]
- Evivie, S.E.; Abdelazez, A.; Li, B.; Lu, S.; Liu, F.; Huo, G. Lactobacillus Delbrueckii Subsp. Bulgaricus KLDS 1.0207 Exerts Antimicrobial and Cytotoxic Effects in Vitro and Improves Blood Biochemical Parameters in Vivo against Notable Foodborne Pathogens. Front. Microbiol. 2020, 11, 583070. [Google Scholar] [CrossRef]
- Palkovicsné Pézsa, N.; Kovács, D.; Gálfi, P.; Rácz, B.; Farkas, O. Effect of Enterococcus Faecium NCIMB 10415 on Gut Barrier Function, Internal Redox State, Proinflammatory Response and Pathogen Inhibition Properties in Porcine Intestinal Epithelial Cells. Nutrients 2022, 14, 1486. [Google Scholar] [CrossRef]
- Lee, D.; Goh, T.W.; Kang, M.G.; Choi, H.J.; Yeo, S.Y.; Yang, J.; Huh, C.S.; Kim, Y.Y.; Kim, Y. Perspectives and Advances in Probiotics and the Gut Microbiome in Companion Animals. J. Anim. Sci. Technol. 2022, 64, 197. [Google Scholar] [CrossRef]
- Habib, B.; Vaid, S.; Bangotra, R.; Sharma, S.; Bajaj, B.K. Bioprospecting of Probiotic Lactic Acid Bacteria for Cholesterol Lowering and Exopolysaccharide Producing Potential. Biologia 2022, 77, 1931–1951. [Google Scholar] [CrossRef]
- Wajda, Ł.; Ostrowski, A.; Błasiak, E.; Godowska, P. Enterococcus Faecium Isolates Present in Human Breast Milk Might Be Carriers of Multi-Antibiotic Resistance Genes. Bacteria 2022, 1, 66–87. [Google Scholar] [CrossRef]
- Grech, A.; Collins, C.E.; Holmes, A.; Lal, R.; Duncanson, K.; Taylor, R.; Gordon, A. Maternal Exposures and the Infant Gut Microbiome: A Systematic Review with Meta-Analysis. Gut Microbes 2021, 13, 1897210. [Google Scholar] [CrossRef]
- Salaris, C.; Scarpa, M.; Elli, M.; Bertolini, A.; Guglielmetti, S.; Pregliasco, F.; Brun, P.; Castagliuolo, I. Lacticaseibacillus Paracasei DG Enhances the Lactoferrin Anti-SARS-CoV-2 Response in Caco-2 Cells. Gut Microbes 2021, 13, 1961970. [Google Scholar] [CrossRef] [PubMed]
- Otaka, M.; Kikuchi-Hayakawa, H.; Ogura, J.; Ishikawa, H.; Yomogida, Y.; Ota, M.; Hidese, S.; Ishida, I.; Aida, M.; Matsuda, K. Effect of Lacticaseibacillus Paracasei Strain Shirota on Improvement in Depressive Symptoms, and Its Association with Abundance of Actinobacteria in Gut Microbiota. Microorganisms 2021, 9, 1026. [Google Scholar] [CrossRef]
- Guerra, A.F.; Lemos Junior, W.J.F.; dos Santos, G.O.; Andrighetto, C.; Gianomini, A.; Corich, V.; Luchese, R.H. Lactobacillus Paracasei Probiotic Properties and Survivability under Stress-Induced by Processing and Storage of Ice Cream Bar or Ice-Lolly. Ciência Rural. 2018, 48. [Google Scholar] [CrossRef]
- Hill, D.; Sugrue, I.; Tobin, C.; Hill, C.; Stanton, C.; Ross, R.P. The Lactobacillus Casei Group: History and Health Related Applications. Front. Microbiol. 2018, 9, 2107. [Google Scholar] [CrossRef] [PubMed]
- Garcia-Gonzalez, N.; Bottacini, F.; Van Sinderen, D.; Gahan, C.G.M.; Corsetti, A. Comparative Genomics of Lactiplantibacillus Plantarum: Insights into Probiotic Markers in Strains Isolated from the Human Gastrointestinal Tract and Fermented Foods. Front. Microbiol. 2022, 13, 1353. [Google Scholar] [CrossRef]
- Dunne, C.; O’Mahony, L.; Murphy, L.; Thornton, G.; Morrissey, D.; O’Halloran, S.; Feeney, M.; Flynn, S.; Fitzgerald, G.; Daly, C. In Vitro Selection Criteria for Probiotic Bacteria of Human Origin: Correlation with in Vivo Findings. Am. J. Clin. Nutr. 2001, 73, 386s–392s. [Google Scholar] [CrossRef] [PubMed]
- Reuben, R.C.; Roy, P.C.; Sarkar, S.L.; Alam, R.-U.; Jahid, I.K. Isolation, Characterization, and Assessment of Lactic Acid Bacteria toward Their Selection as Poultry Probiotics. BMC Microbiol. 2019, 19, 253. [Google Scholar] [CrossRef]
- Pinto, M.G.V.; Franz, C.M.A.P.; Schillinger, U.; Holzapfel, W.H. Lactobacillus Spp. with in Vitro Probiotic Properties from Human Faeces and Traditional Fermented Products. Int. J. Food Microbiol. 2006, 109, 205–214. [Google Scholar] [CrossRef]
- Blajman, J.; Gaziano, C.; Zbrun, M.V.; Soto, L.; Astesana, D.; Berisvil, A.; Scharpen, A.R.; Signorini, M.; Frizzo, L. In Vitro and in Vivo Screening of Native Lactic Acid Bacteria toward Their Selection as a Probiotic in Broiler Chickens. Res. Vet. Sci. 2015, 101, 50–56. [Google Scholar] [CrossRef]
- García-Hernández, Y.; Pérez-Sánchez, T.; Boucourt, R.; Balcázar, J.L.; Nicoli, J.R.; Moreira-Silva, J.; Rodríguez, Z.; Fuertes, H.; Nuñez, O.; Albelo, N. Isolation, Characterization and Evaluation of Probiotic Lactic Acid Bacteria for Potential Use in Animal Production. Res. Vet. Sci. 2016, 108, 125–132. [Google Scholar] [CrossRef]
- Talib, N.; Mohamad, N.E.; Yeap, S.K.; Hussin, Y.; Aziz, M.N.M.; Masarudin, M.J.; Sharifuddin, S.A.; Hui, Y.W.; Ho, C.L.; Alitheen, N.B. Isolation and Characterization of Lactobacillus Spp. from Kefir Samples in Malaysia. Molecules 2019, 24, 2606. [Google Scholar] [CrossRef] [PubMed]
- Ruas-Madiedo, P.; Gueimonde, M.; Arigoni, F.; de los Reyes-Gavilán, C.G.; Margolles, A. Bile Affects the Synthesis of Exopolysaccharides by Bifidobacterium Animalis. Appl. Environ. Microbiol. 2009, 75, 1204–1207. [Google Scholar] [CrossRef] [PubMed]
- Ruiz, L.; Sánchez, B.; Ruas-Madiedo, P.; De Los Reyes-Gavilán, C.G.; Margolles, A. Cell Envelope Changes in Bifidobacterium Animalis Ssp. Lactis as a Response to Bile. FEMS Microbiol. Lett. 2007, 274, 316–322. [Google Scholar] [CrossRef]
- Shokryazdan, P.; Kalavathy, R.; Sieo, C.C.; Alitheen, N.B.; Liang, J.B.; Jahromi, M.F.; Ho, Y.W. Isolation and Characterization of Lactobacillus Strains as Potential Probiotics for Chickens. Pertanika J. Trop. Agric. Sci. 2014, 37, 141–157. [Google Scholar]
- Gueimonde, M.; Sánchez, B.; G. de los Reyes-Gavilán, C.; Margolles, A. Antibiotic Resistance in Probiotic Bacteria. Front. Microbiol. 2013, 4, 202. [Google Scholar] [CrossRef]
- Sharma, P.; Tomar, S.K.; Goswami, P.; Sangwan, V.; Singh, R. Antibiotic Resistance among Commercially Available Probiotics. Food Res. Int. 2014, 57, 176–195. [Google Scholar] [CrossRef]
- Bazireh, H.; Shariati, P.; Azimzadeh Jamalkandi, S.; Ahmadi, A.; Boroumand, M.A. Isolation of Novel Probiotic Lactobacillus and Enterococcus Strains from Human Salivary and Fecal Sources. Front. Microbiol. 2020, 11, 597946. [Google Scholar] [CrossRef] [PubMed]
- Gueimonde, M.; Margolles, A.; Clara, G.; Salminen, S. Competitive Exclusion of Enteropathogens from Human Intestinal Mucus by Bifidobacterium Strains with Acquired Resistance to Bile—A Preliminary Study. Int. J. Food Microbiol. 2007, 113, 228–232. [Google Scholar] [CrossRef]
- Argyri, A.A.; Zoumpopoulou, G.; Karatzas, K.-A.G.; Tsakalidou, E.; Nychas, G.-J.E.; Panagou, E.Z.; Tassou, C.C. Selection of Potential Probiotic Lactic Acid Bacteria from Fermented Olives by in Vitro Tests. Food Microbiol. 2013, 33, 282–291. [Google Scholar] [CrossRef]
- Temmerman, R.; Pot, B.; Huys, G.; Swings, J. Identification and Antibiotic Susceptibility of Bacterial Isolates from Probiotic Products. Int. J. Food Microbiol. 2003, 81, 1–10. [Google Scholar] [CrossRef]
- Klayraung, S.; Viernstein, H.; Sirithunyalug, J.; Okonogi, S. Probiotic Properties of Lactobacilli Isolated from Thai Traditional Food. Sci. Pharm. 2008, 76, 485–504. [Google Scholar] [CrossRef]






| No | Isolate Code | Isolation Source | Cell Morphology | Gram Stain | Endospore Stain | Catalase Production | Facultatively Anaerobic or Microaerophilic |
|---|---|---|---|---|---|---|---|
| 1 | ASO57 | Milk | Rods | Positive | Non-endospore | Negative | Positive |
| 2 | ASO70 | Milk | Rods | Positive | Non-endospore | Negative | Positive |
| 3 | ASO62 | feces | Cocci | Positive | Non-endospore | Negative | Positive |
| 4 | ASO55 | Milk | Rods | Positive | Non-endospore | Negative | Positive |
| 5 | ASO551 | Milk | Rods | Positive | Non-endospore | Negative | Positive |
| 6 | ASO53 | Milk | Rods | Positive | Non-endospore | Negative | Positive |
| 7 | ASO50 | Milk | Rods | Positive | Non-endospore | Negative | Positive |
| 8 | ASO5 | Milk | Rods | Positive | Non-endospore | Negative | Positive |
| 9 | ASO46 | Milk | Rods | Positive | Non-endospore | Negative | Positive |
| 10 | ASO45 | Milk | Rods | Positive | Non-endospore | Negative | Positive |
| 11 | ASO41 | Milk | Cocci | Positive | Non-endospore | Negative | Positive |
| 12 | ASO39 | Milk | Rods | Positive | Non-endospore | Negative | Positive |
| 13 | ASO35 | Milk | Rods | Positive | Non-endospore | Negative | Positive |
| 14 | ASO290 | Milk | Cocci | Positive | Non-endospore | Negative | Positive |
| 15 | ASO24 | Milk | Rods | Positive | Non-endospore | Negative | Positive |
| 16 | ASO23 | Milk | Rods | Positive | Non-endospore | Negative | Positive |
| 17 | ASO22 | Milk | Rods | Positive | Non-endospore | Negative | Positive |
| 18 | ASO13 | Milk | Rods | Positive | Non-endospore | Negative | Positive |
| 19 | ASO102 | Milk | Rods | Positive | Non-endospore | Negative | Positive |
| 20 | ASO101 | Milk | Rods | Positive | Non-endospore | Negative | Positive |
| 21 | ASO100 | Milk | Rods | Positive | Non-endospore | Negative | Positive |
| 22 | ASO103 | feces | Cocci | Positive | Non-endospore | Negative | Positive |
| 23 | ASO9 | Milk | Rods | Positive | Non-endospore | Negative | Positive |
| 24 | ASO66 | feces | Cocci | Positive | Non-endospore | Negative | Positive |
| 25 | ASO65 | feces | Cocci | Positive | Non-endospore | Negative | Positive |
| 26 | ASO49 | Milk | Rods | Positive | Non-endospore | Negative | Positive |
| 27 | ASO44 | feces | Cocci | Positive | Non-endospore | Negative | Positive |
| 28 | ASO421 | feces | Cocci | Positive | Non-endospore | Negative | Positive |
| 29 | ASO420 | feces | Cocci | Positive | Non-endospore | Negative | Positive |
| 30 | ASO33 | Milk | Rods | Positive | Non-endospore | Negative | Positive |
| 31 | ASO32 | Milk | Rods | Positive | Non-endospore | Negative | Positive |
| 32 | ASO321 | Milk | Rods | Positive | Non-endospore | Negative | Positive |
| 33 | ASO31 | Milk | Rods | Positive | Non-endospore | Negative | Positive |
| 34 | ASO292 | feces | Cocci | Positive | Non-endospore | Negative | Positive |
| 35 | ASO28 | feces | Cocci | Positive | Non-endospore | Negative | Positive |
| 36 | ASO27 | Milk | Rods | Positive | Non-endospore | Negative | Positive |
| 37 | ASO26 | Milk | Cocci | Positive | Non-endospore | Negative | Positive |
| 38 | ASO25 | Milk | Rods | Positive | Non-endospore | Negative | Positive |
| 39 | ASO20 | Milk | Rods | Positive | Non-endospore | Negative | Positive |
| 40 | ASO291 | feces | Cocci | Positive | Non-endospore | Negative | Positive |
| 41 | ASO422 | feces | Cocci | Positive | Non-endospore | Negative | Positive |
| Isolate No. | ASO62 | ASO41 | ASO103 | ASO66 | ASO65 | ASO44 | ASO421 | ASO420 | ASO292 | ASO28 | ASO26 | ASO291 | ASO422 | ASO290 | |
|---|---|---|---|---|---|---|---|---|---|---|---|---|---|---|---|
| Performed Tests | |||||||||||||||
| Growth at 40 °C | + | + | + | + | + | + | + | + | + | + | + | + | + | + | |
| Growth with 4 % NaCl | + | + | + | + | + | + | + | + | + | + | + | + | + | + | |
| Arginine hydrolysis | + | + | + | + | + | + | + | + | + | + | + | + | + | + | |
| Growth at 10 °C | + | + | + | + | + | + | + | + | + | + | + | + | + | + | |
| Growth at 45 °C | − | − | − | − | − | − | − | − | − | − | − | − | − | − | |
| Growth at pH (9.6) | − | − | − | − | − | − | − | − | − | − | − | − | − | − | |
| Growth at pH (6.8) | + | + | + | + | + | + | + | + | + | + | + | + | + | + | |
| Growth at 6.5% NaCl | + | + | + | + | + | + | + | + | + | + | − | + | + | − | |
| Growth at 4.0% Bile salt | + | + | + | + | + | + | + | + | + | + | + | + | + | + | |
| Acid production from glucose | + | + | + | + | + | + | + | + | + | + | + | + | + | + | |
| Gas production | − | − | − | − | − | − | − | − | − | − | − | − | − | − | |
| Coagulation of milk | + | + | + | + | + | + | + | + | + | + | + | + | + | + | |
| Acid production from | Lactose | + | + | + | + | + | + | + | + | + | + | + | + | + | + |
| Mannitol | − | − | − | − | − | − | − | − | − | − | − | − | − | − | |
| Raffinose | + | + | + | + | + | + | + | + | + | + | + | + | + | + | |
| Salicin | + | + | + | + | + | + | + | + | + | + | + | + | + | + | |
| Ribose | − | − | − | − | − | − | − | − | − | − | − | − | − | − | |
| Trehalose | − | − | − | − | − | − | − | − | − | − | − | − | − | − | |
| Fructose | + | + | + | + | + | + | + | + | + | + | + | + | + | + | |
| Sorbitol | − | − | − | − | − | − | − | − | − | − | − | − | − | − | |
| Glucose | + | + | + | + | + | + | + | + | + | + | + | + | + | + | |
| Mannose | + | + | + | + | + | + | + | + | + | + | + | + | + | + | |
| Xylose | − | − | − | − | − | − | − | − | − | − | − | − | − | − | |
| Isolates No. | ASO 57 | ASO 70 | ASO 55 | ASO 53 | ASO 50 | ASO 5 | ASO 45 | ASO 46 | ASO 39 | ASO 35 | ASO 22 | ASO 23 | ASO 24 | ASO 13 | ASO9 | ASO 49 | ASO 31 | ASO 32 | ASO 33 | ASO 20 | ASO 25 | ASO 27 | ASO 101 | ASO 102 | ASO100 | |
|---|---|---|---|---|---|---|---|---|---|---|---|---|---|---|---|---|---|---|---|---|---|---|---|---|---|---|
| Performed Tests | ||||||||||||||||||||||||||
| Growth at 15 °C | − | − | − | − | − | − | − | − | − | − | − | − | − | − | − | − | − | − | − | − | − | − | − | − | − | |
| Growth at 45 °C | + | + | + | + | + | + | + | + | + | + | + | + | + | + | + | + | + | + | + | + | + | + | + | + | + | |
| Arginine hydrolysis | + | + | + | + | + | + | + | + | + | + | + | + | + | + | + | + | + | + | + | + | + | + | + | + | + | |
| Gassy production | − | − | − | − | − | − | − | − | − | − | − | − | − | − | − | − | − | − | − | − | − | − | − | − | − | |
| Growth at pH (6.8) | + | + | + | + | + | + | + | + | + | + | + | + | + | + | + | + | + | + | + | + | + | + | + | + | + | |
| Growth at pH (9.6) | + | + | + | + | + | + | + | + | + | + | + | + | + | + | + | + | + | + | + | + | + | + | + | + | + | |
| Growth at 6.5% NaCl | + | + | + | + | + | + | + | + | + | + | + | + | + | + | + | + | + | + | + | + | + | + | + | + | + | |
| Growth with 4.0% bile salt | + | + | + | + | + | + | + | + | + | + | + | + | + | + | + | + | + | + | + | + | + | + | + | + | + | |
| Coagulation of milk | + | + | + | + | + | + | + | + | + | + | + | + | + | + | + | + | + | + | + | + | + | + | + | + | + | |
| Acid production from: | Xylose | − | + | − | + | + | − | + | + | + | + | + | + | + | + | + | + | + | + | + | + | + | + | + | + | − |
| Lactose | + | + | + | + | + | + | + | + | + | + | + | + | + | + | + | + | + | + | + | + | + | + | + | + | + | |
| Galactose | + | + | + | + | + | + | + | + | + | + | + | + | + | + | + | + | + | + | + | + | + | + | + | + | + | |
| Glucose | + | + | + | + | + | + | + | + | + | + | + | + | + | + | + | + | + | + | + | + | + | + | + | + | + | |
| Fructose | + | + | + | + | + | + | + | + | + | + | + | + | + | + | + | + | + | + | + | + | + | + | + | + | + | |
| Maltose | + | + | + | + | + | + | + | + | + | + | + | + | + | + | + | + | + | + | + | + | + | + | + | + | + | |
| Sucrose | + | + | + | + | + | + | + | + | + | + | + | + | + | + | + | + | + | + | + | + | + | + | + | + | + | |
| Ribose | − | − | − | − | − | − | − | − | − | − | − | − | − | − | − | − | − | − | − | − | − | − | − | − | − | |
| Mannitol | − | − | − | − | − | − | − | − | − | − | − | − | − | − | − | − | − | − | − | − | − | − | − | − | − | |
| Mannose | + | + | + | + | + | + | + | + | + | + | + | + | + | + | + | + | + | + | + | + | + | + | + | + | + | |
| Raffinose | − | + | − | + | + | + | − | + | + | + | + | + | + | + | + | + | + | + | + | + | + | + | + | + | − | |
| Rhamnose | + | + | + | + | + | + | + | + | + | + | + | + | + | + | + | + | + | + | + | + | + | + | + | + | + | |
| Arabinose | + | + | + | + | + | + | + | + | + | + | + | + | + | + | + | + | + | + | + | + | + | + | + | + | + | |
| Melibiose | + | + | + | + | + | + | + | + | + | + | + | + | + | + | + | + | + | + | + | + | + | + | + | + | + | |
| Salicin | − | − | − | − | − | − | − | − | − | − | − | − | − | − | − | − | − | − | − | − | − | − | − | − | − | |
| Sorbitol | − | − | − | − | − | − | − | − | − | − | − | − | − | − | − | − | − | − | − | − | − | − | − | − | − | |
| Trehalose | − | + | − | + | + | − | + | + | + | + | + | + | + | + | + | + | + | + | + | + | + | + | + | + | − | |
| No | Bacterial Isolate | Accession No. | Identity Ratio | Nearest Accession No. |
|---|---|---|---|---|
| 1 | Lactobacillus paracasei, ASO 27 Benha | OK033928 | 98.20% | NR_113823.1 |
| 2 | Lactobacillus paracasei, ASO 31 Benha | OK033924 | 97.17% | NR_113823.1 |
| 3 | Lacticaseibacillus paracasei, ASO 32 Benha | MZ930465 | 95.45% | NR_113823.1 |
| 4 | Lactobacillus paracasei, ASO 35 Benha | OK033872 | 98.94% | NR_113823.1 |
| 5 | Lactobacillus paracasei, ASO 39 Benha | OK033867 | 97.28% | NR_113823.1 |
| 6 | Lactobacillus paracasei, ASO 45 Benha | OK033489 | 97.12% | NR_113823.1 |
| 7 | Lactobacillus paracasei, ASO 46 Benha | OK033159 | 98.81% | NR_113823.1 |
| 8 | Lactobacillus paracasei, ASO 49 Benha | OK033156 | 97.20% | NR_113823.1 |
| 9 | Lactobacillus paracasei, ASO 53 Benha | OK032621 | 98.74% | NR_113823.1 |
| 10 | Lactobacillus paracasei, ASO 70 Benha | OK031085 | 97.85% | NR_113823.1 |
| 11 | Lactobacillus paracasei, ASO 9 Benha | OK035716 | 96.38% | NR_113823.1 |
| 12 | Lactobacillus plantarum, ASO 33 Benha | OK033922 | 98.84% | NR_117813.1 |
| 13 | Lactobacillus gasseri, ASO 25 Benha | OK035226 | 97.14% | NR_075051.2 |
| 14 | Lactobacillus plantarum, ASO 50 Benha | OK033105 | 96.81% | NR_104573.1 |
| 15 | Lactobacillus delbrueckii, ASO 551 Benha | OK032588 | 96.64% | NR_113387.1 |
| 16 | Lactobacillus delbrueckii, ASO 57 Benha | OK032511 | 93.82% | NR_029106.1 |
| 17 | Lactobacillus delbrueckii, ASO 100 Benha | MZ930471 | 81.39% | NR_029106.1 |
| 18 | Lactobacillus delbrueckii, ASO 55 Benha | MZ930470 | 96.57% | NR_029106.1 |
| 19 | Lactobacillus casei, ASO 102 Benha | MZ930468 | 98.66% | NR_113823.1 |
| 20 | Lactobacillus paracasei, ASO 13 Benha | OK020265 | 97.70% | NR_113823.1 |
| 21 | Lactobacillus gasseri, ASO 22 Benha | OK021660 | 97.90% | NR_075051.2 |
| 22 | Lactobacillus paracasei ASO 23 Benha | OK021661 | 97.76% | NR_113823.1 |
| 23 | Lactobacillus delbrueckii ASO 5 Benha | MZ930464 | 97.66% | NR_029106.1 |
| 24 | Lactobacillus paracasei, ASO 351 Benha | MZ930466 | 98.62% | NR_113823.1 |
| 25 | Lactobacillus paracasei, ASO 461 Benha | MZ930467 | 98.57% | NR_113823.1 |
| 26 | Lacticaseibacillus paracasei, ASO 24 Benha | OK035229 | 97.79% | NR_113823.1 |
| 27 | Lacticaseibacillus rhamnosus, ASO 20 Benha | OK035718 | 95.70% | NR_113332.1 |
| 28 | Lacticaseibacillus paracasei, ASO 321 Benha | OK033923 | 95.33% | NR_113823.1 |
| 29 | Enterococcus faecium, ASO 62 Benha | OK032391 | 97.36% | NR_113904.1 |
| 30 | Enterococcus faecium, ASO 66 Benha | OK032119 | 94.63% | NR_113904.1 |
| 31 | Enterococcus faecium, ASO 103 Benha | OK030713 | 95.93% | NR_113904.1 |
| 32 | Enterococcus faecium, ASO 291 Benha | OK030630 | 95.46% | NR_113904.1 |
| 33 | Enterococcus faecium, ASO 292 Benha | OK030542 | 93.24% | NR_113904.1 |
| 34 | Enterococcus faecium, ASO 420 Benha | OK021546 | 96.27% | NR_114742.1 |
| 35 | Enterococcus faecium, ASO 421 Benha | OK021544 | 93.66% | NR_114742.1 |
| 36 | Enterococcus faecalis, ASO 28 Benha | OK033929 | 98.14% | NR_113902.1 |
| 37 | Enterococcus faecalis, ASO 44 Benha | OK033573 | 93.61% | NR_113902.1 |
| 38 | Enterococcus faecalis, ASO 65 Benha | OK032121 | 95.42% | NR_113902.1 |
| 39 | Enterococcus lactis, ASO 422 Benha | OK020404 | 98.95% | MT597585.1 |
| 40 | Lactococcus lactis, ASO 26 Benha | OK035225 | 97.03% | NR_113958.1 |
| 41 | Lactococcus lactis, ASO 290 Benha | OK030692 | 97.61% | NR_040955.1 |
| Isolates | Inhibition Zone (mm) | ||||
|---|---|---|---|---|---|
| Streptomycin (10 μg) | Neomycin (30 μg) | Vancomycin (30 μg) | Tetracycline (30 μg) | Kanamycin (30 μg) | |
| E. faecalis ASO44 | R * | R | R | R | MS * |
| E. faecium ASO292 | R | R | R | R | MS |
| L. lactis ASO26 | R | R | R | R | R |
| L. delbrueckii ASO100 | MS | R | R | S* | S |
| L. casei ASO53 | R | S | R | S | S |
| L. plantarum ASO50 | R | S | R | R | R |
| L. rhamnosus ASO20 | R | R | MS | R | R |
| L. paracasei ASO32 | R | R | R | S | S |
| L. gasseri ASO25 | R | R | R | S | R |
| Isolates | Inhibition Zone (mm) | ||
|---|---|---|---|
| B. subtilis | E. coli | Staph. aureus | |
| E. faecalis ASO44 | 8.40 d | 7.50 d | 10.00 c |
| E. faecium ASO292 | 8.30 d | 7.60 d | 10.20 c |
| L. lactis ASO26 | ND | ND | ND |
| L. delbrueckii ASO100 | 12.20 a | 17.40 a | 15.20 a |
| L. casei ASO53 | 9.70 c | 8.00 d | 8.50 d |
| L. plantarum ASO50 | 7.80 d | 8.80 c | 6.20 e |
| L. rhamnosus ASO20 | 10.80 b | 16.40 b | 12.00 b |
| L. paracasei ASO32 | 7.00 e | 5.10 e | 11.00 bc |
| L. gasseri ASO25 | 10.10 c | 7.80 d | 10.00 c |
| SEM | 1.10 | 0.98 | 1.21 |
Publisher’s Note: MDPI stays neutral with regard to jurisdictional claims in published maps and institutional affiliations. |
© 2022 by the authors. Licensee MDPI, Basel, Switzerland. This article is an open access article distributed under the terms and conditions of the Creative Commons Attribution (CC BY) license (https://creativecommons.org/licenses/by/4.0/).
Share and Cite
Mahmoud, S.Y.M.; Atallah, A.A.; Badr, O.A.; Moustafa, M.M.A.; Esmael, A.; Ebrahim, N.; Aljeldah, M.; Al Shammari, B.; Alsafari, I.A.; Mohamed, S.A. Bioprospecting for Novel Probiotic Strains from Human Milk and Infants: Molecular, Biochemical, and Ultrastructural Evidence. Biology 2022, 11, 1405. https://doi.org/10.3390/biology11101405
Mahmoud SYM, Atallah AA, Badr OA, Moustafa MMA, Esmael A, Ebrahim N, Aljeldah M, Al Shammari B, Alsafari IA, Mohamed SA. Bioprospecting for Novel Probiotic Strains from Human Milk and Infants: Molecular, Biochemical, and Ultrastructural Evidence. Biology. 2022; 11(10):1405. https://doi.org/10.3390/biology11101405
Chicago/Turabian StyleMahmoud, Sabry Y. M., Atallah A. Atallah, Omnia A. Badr, Mahmoud M. A. Moustafa, Ahmed Esmael, Nesrine Ebrahim, Mohammed Aljeldah, Basim Al Shammari, Ibrahim A. Alsafari, and Shereen A. Mohamed. 2022. "Bioprospecting for Novel Probiotic Strains from Human Milk and Infants: Molecular, Biochemical, and Ultrastructural Evidence" Biology 11, no. 10: 1405. https://doi.org/10.3390/biology11101405
APA StyleMahmoud, S. Y. M., Atallah, A. A., Badr, O. A., Moustafa, M. M. A., Esmael, A., Ebrahim, N., Aljeldah, M., Al Shammari, B., Alsafari, I. A., & Mohamed, S. A. (2022). Bioprospecting for Novel Probiotic Strains from Human Milk and Infants: Molecular, Biochemical, and Ultrastructural Evidence. Biology, 11(10), 1405. https://doi.org/10.3390/biology11101405

