Abstract
In the construction industry, the use of natural fabrics as a reinforcement for cement-based composites has shown great potential. The use of these sustainable composites to provide strengthening or repair old masonry structures that exhibit structural problems mainly due to a poor tensile strength of the mortar/brick joints is revealed to be a promising area of research. One of the most significant load conditions affecting the mechanical response of masonry structures occurs when axial bending loads are applied on the resistant cross-section. In this study, three different types of masonry elements were built using clay bricks and a lime-based mortar. After 28 days, the samples were subjected to concentric and eccentric compressive loads. In order to produce significant bending effects, the compressive loads were applied with large eccentricity, and a sudden failure characterized the behavior of the unreinforced masonry (URM) elements. The tested masonry specimens were repaired using fabric-reinforced cementitious matrix (FRCM) composites produced using bi-directional flax and polyparaphenylene benzobisoxazole (PBO) fabrics. The mechanical behavior of the URM and repaired samples was compared in terms of load-displacement and moment-curvature responses. Furthermore, the results achieved using flax-FRCM composites were compared with those of using PBO-FRCM composites.
1. Introduction
Composites reinforced with natural fibers have attracted the interest of scientists over the past several decades [1,2,3,4,5]. If all of the positive aspects associated with the use of natural fibers are evaluated in combination with the advantages of using an inorganic matrix in the production of sustainable cementitious composites, then the use of these new materials in the construction industry is revealed to be a promising area of research [6].
Fabric-reinforced cementitious matrix (FRCM) composites have recently emerged as a new material for repairing and strengthening of masonry elements [7,8,9,10]. From an environmental point of view, the use of natural fabrics to produce FRCM composites could significantly help in solving several problems of sustainability in the construction industry. For this reason, researchers have directed their attention toward the study of new materials based on natural fibers and renewable resources.
Old masonry structures exhibit excellent compression strength. However, their response to tensile or out-of-plane loads is very limited, or even could be neglected [11,12,13,14]. To improve the mechanical behavior of these structures, strengthening techniques such as externally bonded fiber-reinforced polymer (FRP) composites, steel plates, and reinforced concrete (RC) have been very popular among designers and engineers, but some drawbacks appear when the structures are subjected to special environmental conditions [15]. By using a composite produced with a cementitious matrix instead of an organic matrix, the compatibility with masonry substrates is improved [16]. These strengthening systems exhibit good performance at elevated temperatures, in addition to partial fire resistance; furthermore, FRCM composites could be applied in a wet environment when the substrate has a saturated surface-dry condition immediately prior to the FRCM installation [16,17,18,19]. Mortar-based composites reinforced with basalt fabrics and steel textiles have attracted the interest of scientists in recent years [20,21,22]. In these studies, the results demonstrate the promising mechanical properties of the systems. Furthermore, several studies have been conducted to demonstrate the efficacy of FRCM composites to strengthen concrete and masonry structures, in which fabrics of traditional or synthetic fibers such as glass, carbon, polyparaphenylene benzobisoxazole (PBO), and aramid have been used [23,24,25].
In this study, flax fabrics were used as reinforcing material in FRCM composites. This strengthening system was developed in previous studies conducted by the authors [26,27]. According to these studies, by using a natural hydraulic lime (NHL) matrix, the durability of natural fibers is improved. Additionally, the authors have used flax-FRCM systems to strength masonry elements, achieving good results [28,29,30].
The aim of this study is to evaluate the efficacy of the proposed strengthening system to repair masonry elements that were subjected to critical axial bending loads. Therefore, three different types of unreinforced masonry (URM) elements were built using clay bricks and a lime-based mortar as a binder. The URM samples were subjected to eccentric loads until failure. These specimens were repaired using flax- and PBO-FRCM composites and then tested under the same test conditions used for testing the URM specimens. Furthermore, the results achieved using flax-FRCM composites were compared with those using PBO-FRCM composites, highlighting the advantages of using sustainable composite materials instead of synthetic composite materials.
2. Materials and Methods
2.1. Materials
A cement lime-based mortar (mortar NHL) was used as a binding material to prepare masonry elements. This type of binder has been widely used in old masonry structures, which are characterized by poor mechanical behavior. Moreover, the matrix used to manufacture FRCM composite systems was a natural hydraulic lime-based material with additions of carbonate filler and pure natural pozzolans. In this study, this matrix was denoted by the term “NLG matrix”. Solid clay bricks (120 mm × 250 mm × 55 mm) produced in Calabria (Italy) were used to build all masonry samples. The mechanical properties of brick samples were evaluated by testing 10 individual specimens according to BS EN 772-1 and BS EN 772-13 standards (see Figure 1a), the results of which are provided in Table 1.
Figure 1.
(a) Compression test on clay bricks; (b) Compression test on mortar specimens; (c) Three-point bending tests on prismatic mortar samples.
Figure 1.
(a) Compression test on clay bricks; (b) Compression test on mortar specimens; (c) Three-point bending tests on prismatic mortar samples.

Table 1.
Mechanical properties of the bricks and mortars.
| Properties (Mean Values) | Materials | |||||
|---|---|---|---|---|---|---|
| Clay Bricks | Mortar NHL | NLG Matrix | ||||
| Compressive strength (MPa) | 42 | (4%) | 18 | (8%) | 16 | (10.2%) |
| Compressive elastic modulus (MPa) | 2778 | (12%) | 4704 | (8%) | 3010 | (27.5%) |
| Compressive strain to failure (%) | 1.5 | (10%) | 0.4 | (5%) | 0.6 | (15.8%) |
| Flexural strength (MPa) | – | – | 5.7 | (13%) | 5 | (21.1%) |
| Flexural elastic modulus (MPa) | – | – | 803 | (15%) | 773 | (19.2%) |
| Flexural strain to failure (%) | – | – | 0.7 | (7%) | 0.7 | (13.2%) |
Note: The coefficients of variation (CoV%) are reported in brackets.
Additionally, Table 1 summarizes the mechanical properties of the cementitious materials used in this study. According to its compressive strength, the NLG matrix can be considered as a mortar M15 [31]. The NHL mortar and the NLG matrix were mixed with 25% and 30% water, respectively. To obtain the mechanical properties of mortar samples, compression tests and three-point bending tests (see Figure 1b,c) were carried out on cubic specimens (40 mm × 40 mm × 40 mm) and on prismatic molds (40 mm × 40 mm × 160 mm), respectively, in accordance with the British Standard European Norm (BS EN 1015-11) [32].
To produce the composite materials, two different fabrics were used: one produced with natural flax fibers (Figure 2a) and the other with synthetic PBO fibers (Figure 2b). Both fabrics were produced in Italy and their technical characteristics are summarized in Table 2. The tensile properties of the fabrics investigated in this study were analyzed in accordance with BS EN ISO 13934-1 [33]. However, some of the physical properties of the PBO fabric such as fiber density, mass per unit area, and design thickness were extracted from the product data sheet.
Figure 2.
Reinforcing fabrics: (a) Flax fabric; (b) Strip of PBO fabric.
Figure 2.
Reinforcing fabrics: (a) Flax fabric; (b) Strip of PBO fabric.

Table 2.
Properties of the reinforcing fabrics.
| Fabric Properties (Warp Direction) | Flax | PBO | ||
|---|---|---|---|---|
| Fiber density (g/cm3) | 1.44 | (3.0%) | 1.56 | – |
| Design thickness (mm) | 0.1080 | – | 0.0455 | – |
| Mass per unit area (g/m2) | 375 | (1.4%) | 88 | – |
| Young's Modulus (GPa) | 4 | (2.8%) | 155 | (15%) |
| Strain to failure (%) | 11 | (2.4%) | 2 | (12%) |
| Tensile strength (MPa) | 292 | (3.2%) | 3730 | (11%) |
Note: The coefficients of variation (CoV%) are reported in brackets.
2.2. Masonry Elements and Testing Conditions
Three different types of masonry elements were investigated. The geometries of the masonry samples are presented in Figure 3. Considering the geometry of the samples, it was possible to experimentally analyze the mechanical behavior of masonry elements with different strengths and responses. As shown in Figure 3, prismatic specimens (denoted by the letter “P”) were built by piling five bricks on top of each other, prismatic specimens (denoted by the letter “M”) were built from 40 bricks using a Flemish bond (four bricks per row), and pier specimens (denoted by the letter “C”) were built from 34 bricks (two bricks per row). To build all masonry elements, the bricks were soaked in water for at least five minutes until these were in contact with the NHL mortar. The masonry samples were covered with plastic sheets for 28 days to prevent an accelerated loss of humidity produced on the mortar joints, and then the samples were subjected to axial bending loads.
To produce a higher level of stresses on the masonry elements and repairing systems during the experimental tests, it was only considered a case of large eccentricity when the eccentric load was applied. In all cases, the eccentric load was applied outside the 70% of the section width. For specimens “P” the eccentricity considered was 42 mm, whereas for specimens “M” and “C” the eccentricity considered was 87.5 mm. As shown in Figure 4a, the eccentric load was applied using a double-hinge system (one hinge in the top plate and another hinge in the bottom plate). Using this test set-up, the eccentric load was applied uniformly throughout the height of the element [34]. The load was uniformly distributed in the upper and lower faces of the specimens by using 40-mm-thick steel plates, which can be assumed rigid with respect to the stiffness of the masonry elements. The test set-up used in this investigation is completely described in a previous study conducted by Cevallos et al. [30].
Figure 3.
Types of masonry elements.
Figure 3.
Types of masonry elements.

Figure 4.
(a) Eccentric load test set-up; (b,c) Repairing the tested URM elements.
Figure 4.
(a) Eccentric load test set-up; (b,c) Repairing the tested URM elements.

2.3. Repairing and Strengthening of Masonry Elements
Once the failure of the URM specimens was achieved, all the results were recorded and the specimens were repaired (see Figure 4b,c). The mortar used to repair the tested specimens was the same NHL mortar mix used to build all the masonry elements. In addition, FRCM composites were used to complete the reparation procedure. Flax- and PBO-FRCM systems were applied to the masonry specimens using the hand lay-up technique on the side of the element affected by the bending effects due to the applied eccentric load. In addition to advantages such as the relative simplicity and speed of execution, one of the primary reasons for considering FRCM as a suitable strengthening material stems from the cementitious matrix which shows improved compatibility with masonry substrate, as discussed in previous sections. Moreover, the reinforcement strategy considered in this study (i.e., applying the reinforcement only on the face of the element under flexion) meets the objective of studying the effectiveness of the system to repair or strengthen large walls or piers of an old masonry structure in which confinement may not be feasible (e.g., when the structures are next to each other, when interventions involving cuts to create openings in walls are not allowed or are restricted, etc.). Another reason why this reinforcement strategy was considered is that the axial load is applied with large eccentricity to produce significant deformation during the tests, so that the bond behavior of the composite can be analyzed considering the fabric-matrix and substrate interaction. In the case of the flax fabric composites three reinforcing layers were applied, whereas with the PBO fabric composites two reinforcing layers were applied, as shown in Figure 5. The strengthened masonry elements were covered with plastic sheets for 28 days to provide curing conditions and ensure an appropriate level of maturity in the cementitious materials. The behavior of the FRCM composites was also monitored with two-strain gauges.
Figure 5.
Application of the FRCM composites: (a) specimen “P”; (b) specimen “M”.
Figure 5.
Application of the FRCM composites: (a) specimen “P”; (b) specimen “M”.

A total of 18 URM specimens and nine repaired masonry specimens were used to conduct three separate tests:
- (a)
- Concentric loading of URM samples (three specimens “P”, three specimens “M”, and three specimens “C” were tested).
- (b)
- Eccentric loading of URM samples (three specimens “P”, three specimens “M”, and three specimens “C” were tested).
- (c)
- Eccentric loading of samples repaired with flax-FRCM and PBO-FRCM composites (three specimens “P”, three specimens “M”, and three specimens “C” were tested).
3. Results and Discussion
The URM elements were subjected to eccentric loads until failure, which was produced by a mortar/brick debonding in the mortar joints. Due to the large eccentricities used, crushing of the bricks in the side subjected to compressive effects was not observed in the URM elements. As a result, the failure of these specimens was characterized by the formation of finer detachment fractures on the compressed surface of the bricks, with a sudden increment in displacements and collapse of the entire element. This resulted in a single mortar joint opening in the tensile side (see Figure 6).
As shown in Figure 4 and Figure 5, the URM specimens subjected to axial bending loads were repaired and strengthened with the FRCM composites. Considering these specimens, the FRCM composites prevented the failure when openings in the mortar joints were manifested by the tensile stresses during the tests (see Figure 7). This suggests that the FRCM systems were able to distribute the load and increase the load-bearing capacity. The latter was more evident when the specimens were strengthened with flax-FRCM composites. The use of flax fibers, which exhibit more ductile behavior and lower stiffness than PBO fibers (see Figure 8), improves the deflection capacity of the repaired elements and allows for an enhanced stress distribution by the formation of matrix cracks along the composites, as presented in Figure 7c.
Figure 6.
Failure mechanism of the URM specimens: (a,b) specimens “P”; (c,d) specimens “M”.
Figure 6.
Failure mechanism of the URM specimens: (a,b) specimens “P”; (c,d) specimens “M”.

These results are in accordance with previous studies [29,30], where non-repaired masonry elements were strengthened with the FRCM systems. Furthermore, the limited capacity of the PBO-FRCM composites to release energy by the formation of matrix cracks was the main reason for the occurrence of the debonding phenomena in most of the specimens (see Figure 7d).
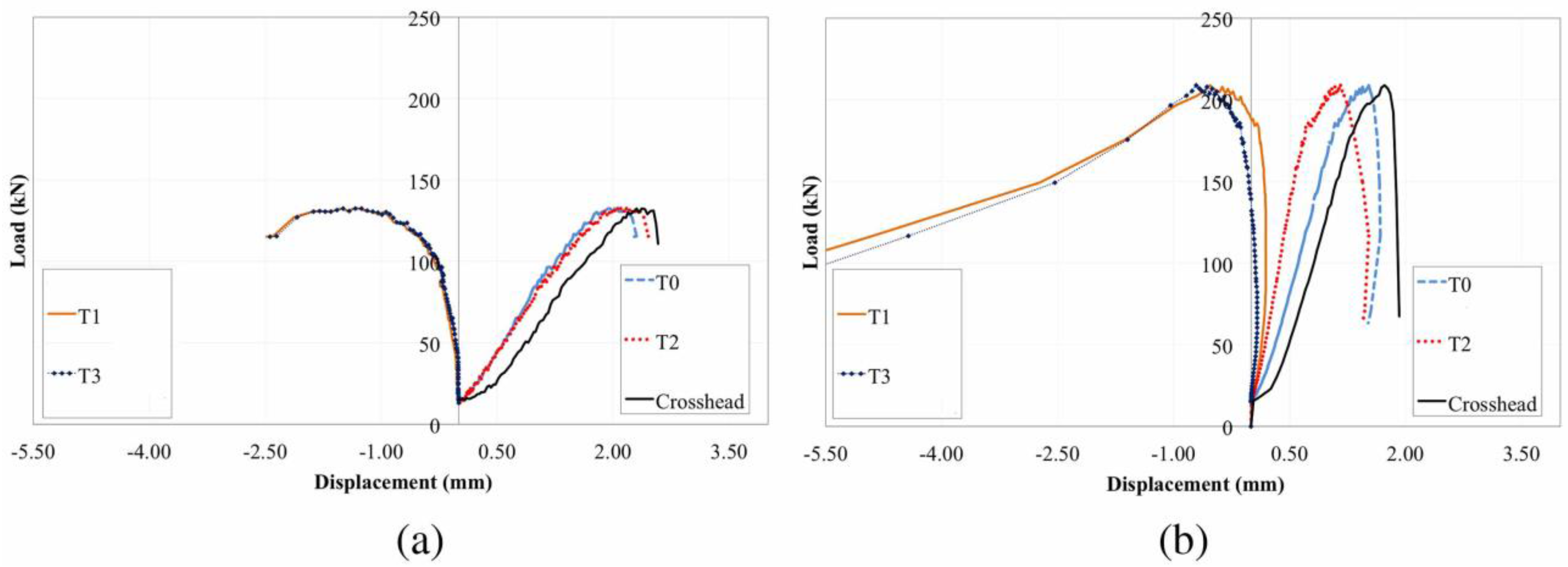
In Figure 9, the results in terms of load-displacement curves of representative specimens subjected to the eccentric load test are shown. These curves are typical of an eccentric load test, as the rotation of the plates produces a positive strain in the side subjected to compression, while a negative strain is induced in the opposite side. The longitudinal deformation during axial loading was recorded by four LVDTs (Linear Variable Differential Transducers, T0, T1, T2, and T3) distributed at each corner of the specimen (see Figure 6 and Figure 7). The strain values recorded on each side were averaged for the purposes of analysis. The results shown in Figure 9a,b are from the same specimen. As expected, the maximum eccentric loads of URM specimens (see Figure 9a) were much lower than those observed in specimens repaired with FRCM composites (see Figure 9b), and the mechanical response of the repaired specimens was characterized by a gradual loss of strength once a peak load was reached. Furthermore, the strengthened material was able to withstand much higher deformation through an increase in the extent of softening prior to collapse. Considering the specimens "P", the maximum eccentric load achieved by the URM specimens was 129.7 kN (CoV 6%). On the other hand, the samples repaired with flax-FRCM composites exhibited a considerable improvement in their mechanical behavior.
Figure 7.
Repaired specimens subjected to axial bending loads: (a) specimen strengthened with flax-FRCM composite; (b) failure mechanism of the repaired specimen; (c) formation of matrix cracks in flax-FRCM composites; (d) debonding phenomena observed in specimens strengthened with PBO-FRCM.
Figure 7.
Repaired specimens subjected to axial bending loads: (a) specimen strengthened with flax-FRCM composite; (b) failure mechanism of the repaired specimen; (c) formation of matrix cracks in flax-FRCM composites; (d) debonding phenomena observed in specimens strengthened with PBO-FRCM.

Figure 8.
Stress-strain curves of representative fabric specimens: (a) flax fabric; (b) PBO fabric.
Figure 8.
Stress-strain curves of representative fabric specimens: (a) flax fabric; (b) PBO fabric.

Figure 9.
Load-displacement curves: (a) representative URM specimen; (b) representative specimen repaired with flax-FRCM composites.
Figure 9.
Load-displacement curves: (a) representative URM specimen; (b) representative specimen repaired with flax-FRCM composites.

In Table 3, the results of using the studied FRCM composite systems to repair masonry elements are reported in terms of load capacity and deformability. By knowing the longitudinal deformation caused by the rotation of the end sections (steel plates) in the sides subjected to compression (Def1) and tension (Def2), as well as the values of the width (t) and effective height (Hef) of the specimens, it was possible to calculate the curvatures as follows:
where Hef is calculated considering the height of the specimen and the thickness of the steel plates used to apply the eccentric loads, Def1 is the average value of the maximum deformations recorded by T0 and T2 transducers, and Def2 is the average value of the maximum deformations recorded by T1 and T3 transducers.
Finally, in Table 4, the increase in load capacity due to the application of flax- and PBO-FRCM systems to repair the masonry elements and the ultimate composite strain are presented. The variables listed in this table include the ratio PRep/PURM, which indicates the percentage of load achieved by repaired specimens in relation to the maximum eccentric load of the URM specimens, and εu, which indicates the composite strains (recorded by two-strain gauges applied in direct contact with the reinforcing fibers) up until the point of failure. On the basis of the ultimate composite strains (εu), it can be said that PBO-FRCM composites achieve lower strains than flax-FRCM composites. Not only does the lower strain capacity and higher stiffness of PBO fibers affect the ductility of the composite systems and limit the composite's ability to release stored energy, but it also causes an accumulation of stress in the deformed surface of the elements and between the composite and substrate that leads to debonding of the strengthening systems.
Table 3.
Results of eccentric load test conducted on URM and repaired masonry elements.
| Specimen | P max | Def1 | Def2 | Max Moment | Max Curvature | |||||
|---|---|---|---|---|---|---|---|---|---|---|
| (kN) | (mm) | (mm) | (kN × mm) | (mm−1 × 10−5) | ||||||
| URM “P” | 129.70 | (6%) | 2.12 | (8%) | 2.29 | (6%) | 5447.50 | (6%) | 8.90 | (4%) |
| URM “M” | 335.15 | (16%) | 1.00 | (14%) | 2.25 | (19%) | 29,325.52 | (16%) | 1.35 | (11%) |
| URM “C” | 226.46 | (10%) | 3.45 | (16%) | 7.45 | (18%) | 19,815.59 | (10%) | 2.43 | (8%) |
| Rep “P”—flax | 224.24 | (21%) | 1.58 | (17%) | 3.33 | (26%) | 8144.30 | (21%) | 10.09 | (23%) |
| Rep “P”—PBO | 205.94 | (5%) | 1.75 | (16%) | 1.42 | (22%) | 8649.46 | (5%) | 3.45 | (7%) |
| Rep “M”—flax | 579.36 | (12%) | 0.79 | (20%) | 2.35 | (16%) | 50,693.91 | (12%) | 1.64 | (26%) |
| Rep “M”—PBO | 530.20 | (6%) | 0.84 | (14%) | 4.55 | (7%) | 46,392.28 | (6%) | 2.97 | (15%) |
| Rep “C”—flax | 260.10 | (18%) | 2.66 | (15%) | 4.99 | (33%) | 22,758.95 | (18%) | 2.11 | (36%) |
| Rep “C”—PBO | 303.95 | (10%) | 4.47 | (4%) | 8.13 | (12%) | 26,595.89 | (10%) | 3.49 | (17%) |
Note: The coefficients of variation (CoV%) are reported in brackets.
Table 4.
Increase in load capacity and ultimate composite strains.
| Specimen | PRep/PURM | εu | |
|---|---|---|---|
| (%) | (mm/mm × 10−3) | ||
| URM “P” | – | – | – |
| URM “M” | – | – | – |
| URM “C” | – | – | – |
| Rep “P”—flax | 72.89 | 1.75 | (32%) |
| Rep “P”—PBO | 58.78 | 0.61 | (15%) |
| Rep “M”—flax | 72.87 | 4.87 | (19%) |
| Rep “M”—PBO | 58.20 | 1.24 | (21%) |
| Rep “C”—flax | 14.85 | 7.34 | (9%) |
| Rep “C”—PBO | 34.22 | 1.83 | (16%) |
Note: The coefficients of variation (CoV%) are reported in brackets.
4. Conclusions
The mechanical response in terms of load capacity and deformability of URM elements subjected to eccentric loads was compared against results obtained with masonry samples repaired using either flax- or PBO-FRCM composites.
Considering the results achieved in this study, both FRCM composites were effective for repairing masonry elements subjected to axial bending loads. However, due to the higher stiffness and lower strain capacity of the PBO fabrics, the debonding of the composites manifested during tests, affecting the mechanical performance of the repaired elements. Only in the case of specimens “C” repaired with PBO-FRCM composites, the eccentric compression loads were greater than those recorded using flax-FRCM as the repair system. However, deformability in the PBO-FRCM composites was lower than that exhibited by the composite systems reinforced with flax fabrics.
The flax-FRCM composites were able to release the energy through the formation of cracks in the matrix, preventing debonding and improving the ductility of the entire system. Composite debonding was not observed in those elements repaired with flax fabric composites.
Despite the encouraging results achieved in this study, which confirm the great potential that natural fibers, in particular flax fabrics, show to provide reinforcement in composite materials, it is necessary to promote and conduct more studies using these sustainable FRCM systems, considering different load conditions and developing models and theories to predict the mechanical behavior of repaired masonry elements.
Acknowledgments
This work was supported by the WP2-cement-based composites (FRCM) DPC-RELUIS 2014–2016 project, “Natural fibre reinforced cementitious matrix (NFRCM) composites applied to masonry elements” under funding of the Italian Civil Protection.
Author Contributions
Oscar A. Cevallos is the first author and contributor of the reported research. He has developed and studied these fabric composite systems during his Ph.D. studies and other research projects; Renato Olivito contributed throughout this investigation, mainly studying the applicability of FRCM composite systems in masonry structures; Rosamaria Codispoti is an important member of the research team, and was involved in the analysis of the results reported in this study.
Conflicts of Interest
The authors declare no conflict of interest.
References
- Yan, L.B.; Chouw, N.; Jayaraman, K. Flax fibre and its composites—A review. Compos. Part B 2014, 56, 296–317. [Google Scholar] [CrossRef]
- Dittenber, D.B.; GangaRao, H.V.S. Critical review of recent publications on use of natural composites in infrastructure. Compos. Part A 2012, 43, 1419–1429. [Google Scholar] [CrossRef]
- Murali Mohan Rao, K.; Mohana Rao, K.; Ratna Prasad, A.V. Fabrication and testing of natural fibre composites: Vakka, sisal, bamboo and banana. Mater. Des. 2010, 31, 508–513. [Google Scholar] [CrossRef]
- Pickering, K.L. Properties and Performance of Natural-Fibre Composites, 1st ed.; Woodhead Publishing Limited: Cambridge, UK, 2008. [Google Scholar]
- Codispoti, R.; Oliveira, D.V.; Olivito, R.S.; Lourenço, B.P.; Fangueiro, R. Mechanical performance of natural fiber-reinforced composites for the strengthening of masonry. Compos. Part B Eng. 2015, 77, 74–83. [Google Scholar] [CrossRef]
- Cevallos, O. Sustainable Fabric-Reinforced Cementitious Composites for the Strengthening of Masonry Elements. Ph.D. Thesis, University of Calabria, Cosenza, Italy, 2015. [Google Scholar] [CrossRef]
- Shrive, N. The use of fibre reinforced polymers to improve seismic resistance of masonry. Constr. Build. Mater. 2006, 20, 269–277. [Google Scholar] [CrossRef]
- Papanicolaou, C.; Triantafillou, T.; Lekka, M. Externally bonded grids as strengthening and seismic retrofitting materials of masonry panels. Constr. Build. Mater. 2011, 25, 504–514. [Google Scholar] [CrossRef]
- Papanicolaou, C.; Triantafillou, T.; Papathanasiou, M.; Karlos, K. Textile reinforced mortar (TRM) versus FRP as strengthening material of URM walls: Out-of- plane cyclic loading. Mater. Struct. 2007, 41, 143–157. [Google Scholar] [CrossRef]
- O’Brien, T.K. Towards a Damage Tolerance Philosophy for Composite Materials and Structures. In Composite Materials: Testing and Design 9th Volume; Garbo, S.P., Ed.; American Society for Testing Materials: Philadelphia, PA, USA, 1990. [Google Scholar]
- Angelillo, M. (Ed.) Mechanics of Masonry Structures; International Centre for Mechanical Sciences (CISM): Udine, Italy, 2014.
- Como, M. Statics of Historic Masonry Constructions; Springer: Berlin, Germany, 2013. [Google Scholar]
- Marcari, G.; Manfredi, G.; Prota, A.; Pecce, M. In-plane shear performance of masonry panels strengthened with FRP. Compos. Part B 2007, 38, 887–901. [Google Scholar] [CrossRef]
- Park, J.; Towashirapornb, P.; Craigc, J.I.; Goodnod, B.J. Seismic fragility analysis of low-rise unreinforced masonry structures. Eng. Struct. 2009, 31, 125–137. [Google Scholar] [CrossRef]
- Ghiassi, B.; Marcari, G.; Oliveira, D.; Lourenco, P. Water degrading effects on the bond behavior in FRP-strengthened masonry. Compos. Part B 2013, 54, 11–19. [Google Scholar] [CrossRef]
- American Concrete Institute (ACI). 549.4R-13. Guide to Design and Construction of Externally Bonded Fabric-Reinforced Cementitious Matrix (FRCM) Systems for Repair and Strengthening Concrete and Masonry Structures; ACI: Farmington Hills, MI, USA, 2013. [Google Scholar]
- Fallís, G.J. Innovation for Renovation: Cementitious Matrix is Used to Bond High-strength Polymeric Mesh to Concrete and Masonry. Concr. Int. 2009, 31–34, 62–64. [Google Scholar]
- Peled, A. Confinement of Damaged and Non-Damaged Structural Concrete with FRP and TRC Sleeves. J. Compos. Constr. 2007, 11–15, 514–523. [Google Scholar] [CrossRef]
- International Union of Laboratories and Experts in Construction Materials, Systems and Structures (RILEM). Technical Committee (TC) 201. Textile Reinforced Concrete; State-of-the-Art Report; Brameshuber, W., Ed.; RILEM: Aachen, Germany, 2006. [Google Scholar]
- De Santis, S.; de Felice, G. Tensile behaviour of mortar-based composites for externally bonded reinforcement systems. Compos. Part B 2015, 68, 401–413. [Google Scholar] [CrossRef]
- De Santis, S.; de Felice, G. Steel reinforced grout systems for the strengthening of masonry structures. Compos. Struct. 2015, 134, 533–548. [Google Scholar] [CrossRef]
- Fiorea, V.; Scalicia, T.; Di Bellab, G.; Valenzaa, A. A review on basalt fibre and its composites. Compos. Part B 2015, 74, 74–94. [Google Scholar] [CrossRef]
- Wu, Z.S.; Iwashita, K.; Hayashi, K.; Higuchi, T.; Murakami, S.; Koseki, Y. Strengthening PC Structures with Externally Prestressed PBO Fiber Sheets. In Proceedings of the International Conference on FRP Composites in Civil Engineering; Teng, J., Ed.; Elsevier Science: Honk Hong, China, 2001; pp. 1085–1092. [Google Scholar]
- D’Ambrisi, A.; Feo, L.; Focacci, F. Experimental and analytical investigation on bond between carbon-FRCM materials and masonry. Compos. Part B 2013, 46, 15–20. [Google Scholar] [CrossRef]
- Ombres, L. Flexural analysis of reinforced concrete beams strengthened with a cement based high strength composite material. Compos. Struct. 2011, 94, 143–155. [Google Scholar] [CrossRef]
- Olivito, R.; Cevallos, O.; Carrozzini, A. Development of durable cementitious composites using sisal and flax fabrics for reinforcement of masonry structures. Mater. Des. 2014, 57, 258–268. [Google Scholar] [CrossRef]
- Cevallos, O.; Olivito, R. Effects of fabric parameters on the tensile behaviour of sustainable cementitious composites. Compos. Part B 2015, 69, 256–266. [Google Scholar] [CrossRef]
- Olivito, R.; Cevallos, O.; Codispoti, R. Study of Tensile Behaviour of Masonry Elements Strengthened with Sustainable Composite Materials. In Problemi Attuali e Prospettive Nell’ingegneria Delle Strutture; Pellegrini Editore: Maratea, Italy, 2013; pp. 77–87. [Google Scholar]
- Olivito, R.; Cevallos, O.; Codispoti, R. Experimental Analysis of Masonry Elements Strengthened with NFRC Composites Subjected to Eccentric Loading. In Proceedings of the International Conference on Composites/Nano Engineering, ICCE-22, St. Julians, Malta, 14 October 2014.
- Cevallos, O.; Olivito, R.; Codispoti, R.; Ombres, L. Flax and polyparaphenylene benzobisoxazole cementitious composites for the strengthening of masonry elements subjected to eccentric loading. Compos. Part B 2015, 71, 82–95. [Google Scholar] [CrossRef]
- Specification for Mortar for Masonry. Masonry Mortar; BS EN 998/2; British Standards Institution (BSI): London, UK, 2010.
- Methods of Test for Mortar for Masonry: Determination of Flexural and Compressive Strength of Hardened Mortar; BS EN 1015–11; British Standards Institution (BSI): London, UK, 1999.
- Textiles. Tensile Properties of Fabrics. Determination of Maximum Force and Elongation at Maximum Force Using the Strip Method; BS EN ISO 13934–1; British Standards Institution (BSI): London, UK, 2013.
- Sandoval, C.; Roca, P. Study of the influence of different parameters on the buckling behaviour of masonry walls. Constr. Built. Mater. 2012, 35, 888–899. [Google Scholar] [CrossRef]
© 2015 by the authors; licensee MDPI, Basel, Switzerland. This article is an open access article distributed under the terms and conditions of the Creative Commons Attribution license (http://creativecommons.org/licenses/by/4.0/).