Highlights
What are the main findings?
- The addition of nanosilica (NS) and basalt fibers (BFs) significantly improved the mechanical strength and crack resistance of SAP-modified concrete.
- NS filled SAP-induced pores and enhanced their microstructure, while BFs bridged cracks and delayed failure, as observed through SEM analysis.
- Digital image correlation (DIC) revealed controlled crack propagation in NSBF-ICC specimens.
What are the implications of the main findings?
- The optimal mix of 0.9% NS and 1.2% BF, identified using RSM-CCD, effectively mitigated the strength reduction caused by SAP, offering a durable solution for concrete pavements.
- The hybrid use of NS and BFs provides a sustainable approach to improving the mechanical performance and durability of internally cured concrete, making it suitable for high-performance applications.
- The findings demonstrate the potential for advanced materials like NS and BFs to enhance concrete’s properties while addressing challenges related to shrinkage and cracking.
Abstract
This study explores the combined effects of nanosilica (NS) and basalt fibers (BF) on the mechanical and microstructural properties of superabsorbent polymer (SAP)-modified concrete. NS (0–1.5% replaced by cement weight) and BF (0–1.2% by volume fraction) were incorporated to optimize compressive, flexural, and split-tensile strengths using response surface methodology. Digital Image Correlation (DIC) was employed to analyze failure mechanisms. Results show that while SAP alone reduced strength, the addition of NS and BF mitigated this loss through synergistic microstructure enhancement and crack-bridging reinforcement. The optimal mix (0.9% NS and 1.2% BF) increased compressive, flexural, and split-tensile strengths by 15.3%, 10.0%, and 14.0%, respectively. SEM analysis revealed that NS filled SAP-induced pores, while BF limited crack propagation, contributing to improved mechanical strength of SAP-modified concrete. This hybrid approach offers a promising solution for durable and sustainable concrete pavements.
1. Introduction
Concrete is the most widely used construction material globally, with an estimated annual consumption of around 30 billion tons [1]. Its popularity stems from its low cost, ease of construction, and high performance. However, concrete structures are susceptible to cracking due to autogenous shrinkage, freeze–thaw cycles, and transient loads. These cracks allow the ingress of harmful substances, such as chlorides and sulfates, which accelerate reinforcement corrosion, significantly reducing the durability and service life of structures [2]. Autogenous shrinkage, caused by rapid moisture loss in the cement matrix, is a primary contributor to early-age cracking [3].
Various methods have been explored to mitigate early-age shrinkage, including the use of expanding agents [4,5], heat curing [6,7], and shrinkage-reducing agents [8]. However, these methods often result in long-term strength loss and unstable expansion [9,10]. Internal curing (IC) has emerged as a promising solution to address these challenges. IC involves the incorporation of water-retaining materials, such as SAPs, into the concrete matrix to maintain optimal internal humidity and enhance cement hydration [11,12].
SAPs are highly absorbent polymers capable of retaining large amounts of water relative to their mass. When incorporated into concrete, SAPs release water during the hydration process, reducing autogenous shrinkage and minimizing microcracking [13,14]. However, the use of SAPs introduces residual pores as the absorbed water is released, potentially increasing porosity and reducing mechanical strength [15]. This presents a research gap, as the beneficial effects of SAPs on hydration must be balanced with preserving the structural integrity of concrete.
To address this issue, researchers have explored the incorporation of supplementary cementitious materials (SCMs) such as silica fume and pozzolans to enhance the mechanical properties of SAP-modified concrete [16]. Silica fume has been shown to improve workability and compressive strength in high-performance concrete [17]. Additionally, nanotechnology advancements have introduced NS as a promising additive to significantly enhance the performance characteristics of cementitious materials [18]. Studies demonstrate that NS improves mechanical properties and durability by refining the microstructure and reducing total porosity [19,20]. The combination of SAPs and NS offers a potential solution to compensate for strength loss while improving shrinkage resistance. Few studies have investigated the integration of NS with SAPs for this purpose. For instance, Lefever et al. [21] reported that the combination of SAPs and NS in cementitious mortars enhances durability while maintaining mechanical properties. Similarly, another study by Lefever et al. [22] found that SAPs enhanced crack closure, while NS improved mechanical properties and densified the cement matrix, making this combination promising for self-healing applications.Sujitha V.S. et al. [23] demonstrated that NA/SAP composites improve hydration, strength, and chemical resistance, while Bose et al. [24] demonstrated that silica and low crosslink density improve the absorption capacity and void-filling ability of polyacrylamide composite hydrogel particles, leading to enhanced hydration, reduced porosity, and long-term performance, while nanosilica further refines the microstructure and boosts mechanical and durability properties through pozzolanic reactions.
Another major challenge is crack propagation under mechanical loading, which compromises structural integrity over time. Fibers enhance tensile strength and crack resistance by bridging micro- and macro-cracks, preventing their growth [25]. Various fiber types, including steel, glass, and polypropylene, have been studied for their effectiveness in shrinkage control and mechanical performance improvement [26,27,28,29,30]. Kim et al. [31] demonstrated that the SAP dosage in fiber-reinforced slabs influences cracking patterns and overall strength. Gupta et al. [32] reported that polypropylene fibers combined with SAP enhance the compressive strength of cement mortar, while Wang et al. [33] demonstrated that increasing steel fiber content improves both compressive and tensile strength. However, steel fibers are prone to corrosion, and polypropylene fibers have a low modulus of elasticity, limiting their effectiveness in crack control [34,35]. BFs have emerged as a superior alternative due to their excellent mechanical properties, high corrosion resistance, and strong interaction with the cement matrix. BFs contribute to enhanced crack resistance not only through their intrinsic tensile properties but also through strong interfacial bonding with the cementitious matrix, which mitigates crack propagation under tensile stress [36]. The pull-out resistance of BF plays a crucial role in distributing stresses within the composite system, as evidenced in recent investigations on fiber-reinforced cementitious composites. Recent studies highlight the effectiveness of combining SAPs, synthetic fibers, and NS to mitigate plastic shrinkage cracking and enhance mechanical performance [37,38]. Additionally, research by Lyu et al. [39] demonstrated that integrating BF and SAPs in pavement concrete increased compressive strength by 4.6%, elastic modulus by 5.66%, and reduced autogenous shrinkage by 50.5%.
In light of these findings, incorporating SAP, NS, and BF into cementitious composites presents a promising approach to counteract SAP-induced strength loss while enhancing crack resistance and durability. While prior studies have investigated SAPs with either NS or fibers, this research uniquely focuses on their combined effect to optimize mechanical properties. This study aims to determine the optimal proportions of NS and BFs to enhance or compensate for the mechanical strength of internally cured concrete, addressing key challenges in shrinkage control and crack resistance.
Given the increasing emphasis on sustainability, researchers are exploring eco-friendly technologies to reduce concrete’s environmental impact while extending its lifespan. As highlighted in [40], integrating green materials such as SAPs and NS enhances performance while minimizing resource consumption and waste. These materials align with sustainable construction practices, reducing maintenance requirements and promoting durable, eco-conscious infrastructure solutions.
Based on these insights and addressing gaps in prior research, this study integrates SAP, NS, and BF to develop a novel cementitious mixture that minimizes shrinkage cracking while improving mechanical performance. Leveraging the synergy between NS and BF, the proposed concrete aims to optimize compressive, tensile, and flexural strengths beyond SAP-only and control mixtures. Using Response Surface Methodology (RSM) and Central Composite Design (CCD), eleven different mix designs were evaluated, with failure patterns and crack propagation analyzed and quantified through Digital Image Correlation (DIC). This research contributes to advancing nano-engineered concrete, balancing structural integrity, sustainability, and durability for modern infrastructure.
2. Materials and Methods
2.1. Materials
2.1.1. Cement and Aggregates
Ordinary Portland Cement (OPC) of grade P.O.42.5, manufactured by Tianjin Jinyu Revitalization Environmental Protection Technology Co., Ltd., Tianjin, China, was used in this study. The cement conformed to the specifications specified in the Chinese cement standard GB 175-2007 [41]. The initial and final setting times were measured as 182 and 235 min, respectively. The density and specific surface area of the cement were determined to be 3100 kg/m3 and 381 cm2/g, respectively. Fine aggregates consisted of natural river sand with a maximum particle size of 5 mm, a fineness modulus of 2.82, and an apparent density of 2626 kg/m3.
Coarse aggregates were composed of crushed limestone with an apparent density of 2600 kg/m3 and particle sizes ranging from 5 to 16 mm. The particle size distribution of the aggregates is illustrated in Figure 1.
Figure 1.
Particle size distribution of fine and coarse aggregates.
2.1.2. SAP, NS, and BF
A commercially available SAP (SAP-a) was used in this study. The SAP morphology in dry and swollen states is shown in Figure 2a and Figure 2b, respectively. SAP is a cross-linked polyacrylate acid with an irregular shape and a particle size range of 280–600 µm. The physical properties of SAP are summarized in Table 1. The NS used in this study was a colloidal silica, provided by Shanghai Zhong Ye New Materials Co., Ltd., Shanghai, China, with a grain size of 20 nm and a purity of 99.9%. The density of NS was 0.12 g/cm3, with a specific surface area ranging between 180 and 220 m2/g. Chopped BF (Figure 3a), manufactured by Haining Anjie Composite Materials Co., Ltd., Jiaxing, China, was used to enhance the crack resistance and tensile strength capacity of the concrete with SAP. The main physical characteristics performance index of BF as provided by the manufacturer is presented in Table 2. NS powder (Figure 3b) was used in this study to counteract the adverse effects of SAP on concrete strength properties. To quantitatively ascertain the optimal dosage of NS and BF for compensating strength, the chosen SAP dosage was 0.3 wt.% by cement weight, deemed appropriate for internal curing applications [42,43].
Figure 2.
BFs used (SAP-a) in (a) dry and (b) swollen state.
Table 1.
SAP water absorption and physical properties.
Figure 3.
NS powder and short chopped BF used in this study: (a) BF and (b) NS.
Table 2.
Physical properties of BF.
2.1.3. Sample Preparation and Mix Proportion
To systematically evaluate the synergistic effects of BF (BF) and NS (NS), eleven distinct concrete mixtures were prepared: one control mixture (S0-A0.0) without additives, one mixture with SAP only (S0-A0.3), and nine SAP-modified mixtures incorporating varying dosages of BF and NS. The compositions of these mixtures are summarized in Table 3. The water-to-cement ratio was maintained at 0.55 for all mixes. NS was incorporated at 0.5%, 1.0%, and 1.5% by cement weight, while BFs were added at 0.4%, 0.8%, and 1.2% by volume fraction. These dosages were selected based on prior research, which demonstrated that NS enhances mechanical properties without inducing excessive brittleness [19,20], and BF proportions beyond 1.2% can compromise workability due to fiber clumping [37,38,39]. The chosen ranges balance performance improvements in strength, durability, and shrinkage resistance with cost-effectiveness and ease of mixing.
Table 3.
Mix proportions of NSBF-ICC mixtures (kg/m3).
The reference mixture (S0-A0.0) contained no SAP, while S0-A0.3 included 0.3% SAP by cement weight. For example, the NS1.5B0.4 mix contained 1.5% NS and 0.4% BF. The mixing procedure involved blending coarse and fine aggregates for 60 s, followed by the addition of cement, NS, and SAP, which were manually pre-mixed for 30 s before being added to the mixture... BFs were then added, and mixing resumed for an additional 30 s to ensure uniform fiber distribution. Water was gradually introduced, and mixing continued for 120 s. The fresh concrete was vibrated for 60 s, covered to prevent evaporation, and cured at room temperature for 24 h before being transferred to a standard curing room (20 ± 2 °C, 98 ± 2% relative humidity). Figure 4 illustrates the mixing procedure for NSBF-ICC mixtures.
Figure 4.
Schematic illustration of the mixing process of NSBF-ICC.
2.2. Methods
2.2.1. Compressive Strength Test
The compressive strength of the concrete mixtures was tested in accordance with the Chinese standard GB/T 50081-2019 [44]. Cube specimens of 100 mm × 100 mm × 100 mm were cast and cured for 7 and 28 days. A universal compression testing machine was used to apply a constant loading rate of 0.5 MPa/s. Three specimens per mix were tested at each curing age, and the average compressive strength was calculated.
2.2.2. Split-Tensile Strength Test
The split-tensile strength was tested using cylindrical specimens of 100 mm × 200 mm, following the Chinese standard GB/T 50081-2019 [44]. A total of three cylindrical specimens of 100 mm × 200 mm size were prepared for each NSBF-ICC mixture and then cured for 7-d and 28-d in the curing room. The loading rate was maintained at 0.05 MPa/s. The specimen was placed on a steel frame protected from both sides by two steel bars to prevent movement and maintain alignment during loading, as shown in Figure 5. A plywood stick of 2.0 mm × 12 mm × 200 mm size was mounted on top and bottom along the length of the specimen to center crack propagation alongside the center axis of the specimen. The average load value from three specimens was used to calculate the split-tensile strength using the formula given in Equation (1):
where is the split-tensile strength (MPa); F is the load at failure (N); D is the diameter of the concrete specimen on the split surface (mm); L designates the specimen’s height (mm).
Figure 5.
Splitting tensile test equipment illustration.
2.2.3. Flexural Strength Test
The flexural strength was tested using beam specimens measuring 100 mm × 100 mm × 400 mm, following the Chinese standard GB/T 50081-2019 [44]. The loading rate was constantly kept at 0.05 MPa/s during the entire test. Concrete beams of mm size for each concrete mix were measured. The span between the two supports was 300 mm. The flexural strength measurements and the Digital Image Correlation (DIC) analysis were performed using the 3-point bending test setup to simultaneously monitor crack propagation and strain distribution. Three beams’ average flexural values were taken out and simultaneously used to monitor cracks through DIC, as shown in Figure 6. This unified approach ensured consistency between the strength evaluation and failure behavior observed during the DIC analysis. The flexural strength of the measured specimens was calculated by using Equation (2):
where is the average flexural strength (MPa); P represents the peak load (N); L represents the span length between two supports (mm); b refers to the width of the specimen (mm); and h refers to the height of the specimen (mm).
Figure 6.
Experimental setup of flexural strength test with DIC equipment of concrete specimens under (a) compression and (b) 3-point bending test.
2.2.4. Digital Image Correlation
Figure 6 illustrates the framework of the Digital Image Correlation (DIC) technique, comprising a digital camera, a light source, and a computer, used to analyze the failure mechanisms of NSBF-ICC specimens. The 3-point bending test setup, consistent with flexural strength measurements, was employed for DIC analysis to ensure alignment between strength evaluation and failure behavior. This approach enabled simultaneous monitoring of crack propagation and strain distribution during loading. A speckle pattern was created using a black spray to produce randomized dots (0.5–1 mm in size) on the specimen surface. A 48-megapixel digital camera (8064 × 6048 pixels) with a 24 mm focal length, ƒ/1.78 aperture, 7-element lens, and optical image stabilization was mounted on a tripod to capture the target area. A fixed white LED light was positioned adjacent to the camera to maintain consistent illumination and minimize background light interference. Image processing was performed using a high-performance computer (16 GB Quadro 4.2 GHz memory, 64-bit Intel processor). Strain (ε1) was calculated by tracking localized elongation, while displacement (d) was determined by monitoring the relative movement of selected points along the crack path. The resulting strain-time and displacement-time curves provided insights into crack initiation, propagation, and the role of BF in stress redistribution and failure delay.
2.2.5. Microstructure Test
The microstructure of the NSBF-ICC sample was examined and analyzed qualitatively using a scanning electron microscope (SEM) technique. A TESCAN MIRA4 scanning electron microscope (TESCAN, Brno, Czech Republic)was employed to observe the microstructural characteristics of the specimens under an accelerating voltage of 15 kV. For this study, specimens were randomly selected from the central portion of the failed samples that were 28 days old from the compression test. Block samples with an edge length of about 5 mm were immersed in isopropanol for 24 h to halt the hydration of the cement. Two samples were analyzed through SEM to ensure consistency in pore structure and fiber-matrix interactions. Subsequently, these samples were dried in an oven set at 60 °C for another 24 h. Before undergoing SEM testing, the samples were coated with gold to enhance their conductivity.
2.2.6. RSM-CCD
Response Surface Methodology (RSM) is a collection of mathematical and statistical techniques used to design and analyze problems where multiple independent variables influence a dependent response. It is particularly effective for process optimization, enabling the identification of variable combinations that maximize or minimize the response. RSM is widely applied in engineering, product development, and manufacturing due to its efficiency in experimental design and its ability to capture interaction effects between variables [45].
A central component of RSM is the Central Composite Design (CCD), which facilitates the fitting of a second-order model to the response variable without requiring exhaustive testing of all variable combinations. CCD consists of three types of experimental runs: factorial (or fractional factorial) runs, axial runs (positioned along the axes of independent variables at a specified distance from the center), and center runs (replicated at the center point of the experimental region). This design is advantageous for efficiently estimating quadratic regression model coefficients and accurately capturing response curvature, making it ideal for identifying optimal conditions [45]. In this study, CCD was employed to optimize the combined dosages of NS and BF to mitigate the adverse effects of SAP on the mechanical properties of concrete. Eleven mixtures were prepared using two independent variables (NS and BF) at three levels each. The experimental design, with coded variable levels summarized in Table 4, utilized an axial distance (α) of 1. Figure 7 illustrates the CCD configuration, featuring four factorial points (±1) and four axial points (±α), along with central points. The relationships between independent variables and responses are expressed through linear Equation (3) and polynomial Equation (4) regression models [45].
The second-order polynomial function, as delineated in Equation (4), serves as a suitable analytical tool for modeling non-linear interactions present within the dataset.
where r denotes the response variable, is the intercept term, , are the coefficients of the independent variables X1 and X2, respectively, represents noise term, i and j are the linear and quadratic coefficients, and k is the variables’ number [45].
Table 4.
Experimental design variable coded levels.
Table 4.
Experimental design variable coded levels.
| Variables | Code | Variable Levels | ||
|---|---|---|---|---|
| −1 | 0 | 1 | ||
| NS | A | 0.5 | 1.0 | 1.5 |
| BF | B | 0.4 | 0.8 | 1.2 |
Figure 7.
Central Composite Design structure.
Figure 7.
Central Composite Design structure.

3. Results and Discussion
3.1. Compressive Strength
Figure 8 depicts the compressive strength curve of NSBF-ICC mixtures from 7 to 28 days after curing. The control mix, which contained no SAP, had compressive strengths, respectively, of 32.3 MPa and 41.3 MPa after 7 and 28 days. As expected, adding SAP only resulted in a considerable loss in compressive strength. SAP inclusion resulted in a strength reduction of roughly 12 percent and 9.5 percent at 7 and 28 days, respectively, compared to the reference combination without SAP. This reduction can be attributed to the macropores left behind as SAP releases absorbed water during hydration, increasing overall porosity and reducing matrix density. Jensen and Hansen [42,43] demonstrated that while SAPs enhance internal curing and hydration by providing additional water, the voids formed upon water release negatively impact strength.
Figure 8.
Compressive strength variation of NSBF-ICC at 7 and 28 days. The dotted lines represent the maximum compressive strength values at 7 and 28 days for S0-A0.0 (blue) and S0-A0.3 (red).
However, upon NS and BF addition, the compressive strength significantly improved over curing time. The addition of 0.5% NS and 0.4% BF is nearly equal to the S0-A0.0 reference specimen and higher by 13.7% than the S0-A0.3 specimens with 0.3% SAP. As the amounts of NS and BF increase, the strength improvements are noticeable, particularly with the NS1.5B1.2 mix. The specimens contained 1.5% NS and a 1.2% volume fraction of BF compared to the reference mixtures with and without SAP (S0-A0.0 and S0-A0.3 mixes). At 7 days, the NS1.5B1.2 mixture had a strength of 35.3 MPa, which is 9.28% and 24% higher than the reference specimen without SAP (S0-A0.0) and with SAP (S0-A0.3), respectively. Table 5 summarizes the compressive strength results, which show a general trend of increasing strength over time with increasing dosages of NS and BF. This result suggests that the introduction of nanomaterials and fibers at conservative dosages does not detrimentally affect the early strength properties, substantiating the positive implications of nano-additives on concrete.
Table 5.
Mechanical performance of NSBF-ICC.
At 28 days, compressive strength was also significantly increased across all modified mixes. The maximum strength was achieved with the NS1.5B1.2 mix reaching its highest level of compressive strength of 47.6 MPa—15.3% and 26.3% higher than the reference specimen without SAP (S0-A0.0) and SAP-modified mixture only (S0-A0.3), respectively.
Figure 9 compares the failure behavior of the NS1.5B1.2 mix to the control (S0-A0.0) at 28 days. The NS1.5B1.2 mix exhibited enhanced failure behavior, characterized by improved crack distribution, delayed crack propagation, and increased energy dissipation. This behavior is attributed to the synergistic effects of NS, which enhances interfacial bonding, and BF, which provides tensile reinforcement [21,39].
Figure 9.
Failure behavior of NSBF-ICC specimens under compression loading at 28 days.
Furthermore, NS contributes to the microstructure through its high pozzolanic reactivity, chemically interacting with calcium hydroxide in the cementitious matrix to produce additional C-S-H, thereby enhancing mechanical strength and durability [46,47,48,49]. The effect of NS incorporation on the compressive strength of SAP-modified concrete agrees with [38,46,47,48,49]. The combination uses of SAPs and NS results in reduced shrinkage and preserved mechanical properties, offering a balanced approach for durable concrete without compromising strength [21].
The normalized data clearly demonstrates the synergistic impact of SAP, NS, and BF on the mechanical properties of concrete, as shown in Table 6. NS enhances the hydration process, producing additional C-S-H that strengthens the matrix, while BFs bridge macro- and micro-cracks and improve energy absorption, as shown in Table 6. This behavior aligns with the studies cited, such as those by Olivier et al. [37], Fan et al. [38], and Lyu et al. [39], confirming the effectiveness of the combined use of NS and BF. The addition of NS and BF compensates for the strength loss caused by SAP by improving the matrix structure and limiting crack propagation. Moreover, the comparative table shows that the strength improvements observed in this study are consistent with trends reported in previous research, particularly for compressive strengths, as shown in Table 6.
Table 6.
Summary of normalized data of NSBF-ICC mixture.
3.2. Split-Tensile Strength
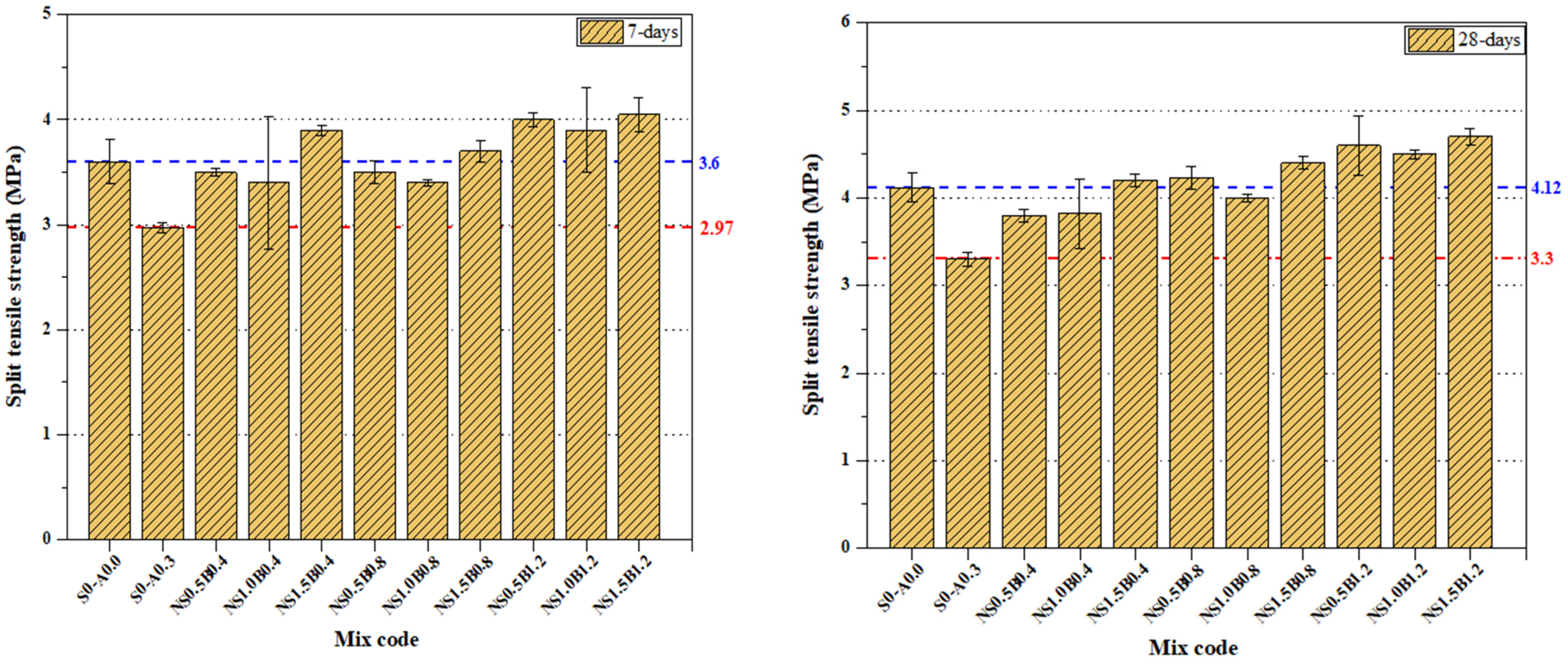
Figure 10 illustrates the split-tensile strength of various concrete mixtures incorporating SAP and differing concentrations of NS and BF. A clear trend of increasing tensile strength from 7 to 28 days is observed across all mixes, illustrating the time-dependent maturation of concrete’s mechanical properties. The control mixture (S0-A0.0) exhibited substantial tensile strengths of 3.6 MPa and 4.11 MPa at 7 and 28 days, respectively, establishing a baseline for comparing the performance of SAP, NS, and BF-enhanced mixes.
Figure 10.
Split-tensile strength graph of NSBF-ICC specimens after 7 and 28 days. The dotted lines represent the maximum compressive strength values at 7 and 28 days for S0-A0.0 (blue) and S0-A0.3 (red).
It was noticed that the split-tensile strength dropped by 17.8% and 19.7% at 7 and 28 days after SAP (S0-A0.3) was added, which could indicate the SAP’s initial impact on the mix’s internal structure and bonding. However, adding NS and BF at varying levels led to significant improvements in tensile strength over time, as shown in Table 5, The NS1.5B1.2 mixture achieved the highest tensile strength of 4.7 MPa at 28 days, marking an increase of 14.0% and 42.0% compared to the control mix (S0-A0.0) and the SAP-only mix (S0-A0.3), respectively. This suggests a synergistic effect where the combination of NS and BF, particularly at higher concentrations, contributes positively to the tensile integrity of the concrete. The NS0.5B1.2 and NS1.5B1.2 mixes, with their significant tensile strength values, underscore the potential of optimizing NS and BF content to maximize mechanical performance. The failure morphology of the reference concrete with and NSBF-ICC specimen containing 1.5% of NS and 1.2% volume fraction of BF is shown in Figure 11a and Figure 11b, respectively. As can be seen from these figures, the failure pattern is mainly characterized by crashing at the uppermost fiber of the concrete cylinders and a compressive-tensile cracking is observed along the center of the section. This finding is consistent with the predicted stress distribution of a cylinder under splitting load using FEM analysis in [50,51]. Moreover, the BF addition played an important role in crack resistance and development across the specimen cross-section than the ordinary concrete, as demonstrated in Figure 11. The increase in split-tensile strength is attributed to BFs’ outstanding tensile strength and bridging effect across cracks, reducing micro-cracks and limiting macro-crack propagation [52,53].
Figure 11.
Fractural behavior of (a) ordinary concrete specimen (S0-A0.0) and (b) NSBF-ICC (NS1.5B1.2) specimen under splitting-tensile test.
Furthermore, another explanation reported in [54] for the increased bridging effect of BF is its ability to form an intricate three-dimensional reinforcement structure due to its scattered distribution within the matrix. As illustrated in Figure 11, the presence of fibers in the mortar helps to distribute tensile forces across nearly every surface of micro-cracks, thereby preventing stress concentration at the crack tips. This mechanism enhances crack resistance, delays crack formation and propagation, and improves the splitting-tensile and flexural strengths [54]. Overall, while SAP alone may slightly hinder early tensile strength, the combined inclusion of NS and BF can effectively compensate for this effect, enhancing long-term strength. The findings of this study are useful for the strategic formulation of concrete mixes to attain desired strength outputs, and they contribute to the field of building materials by providing data-driven insights into the intricate interactions of composite concrete additives. Furthermore, Table 7 shows a stable tensile strength at 28 days compared to other similar studies, and the combination of SAP, NS, and BF used in this research contribute to a more comprehensive improvement across multiple properties, demonstrating the synergistic benefits of these additives.
Table 7.
Summary of existing literature on the use of SAP, NS, and BF in concrete mixtures.
3.3. Flexural Strength
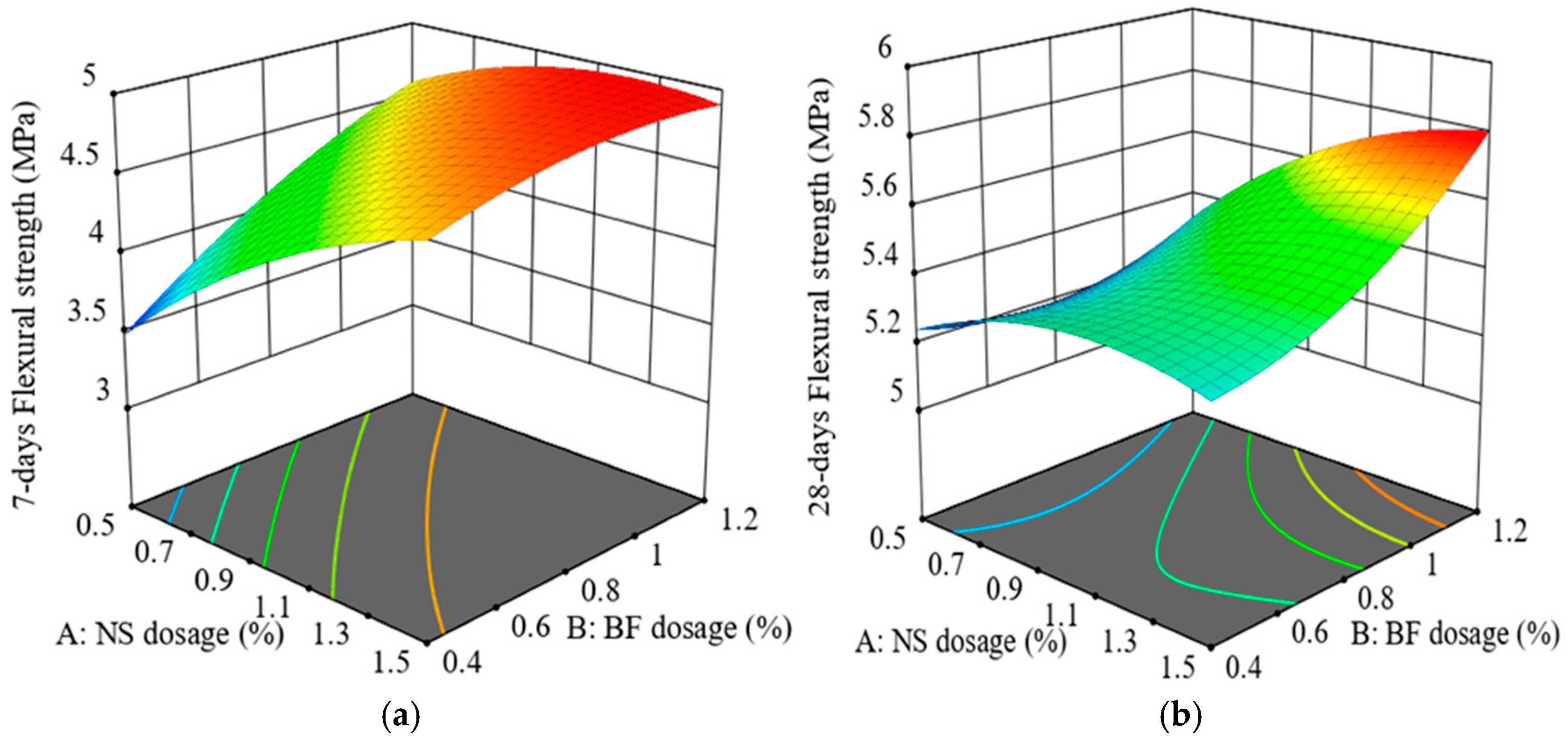
The influence of the combined use of NS and BF on the flexural strength of SAP-modified concrete is shown in Figure 12. The observed flexural strength in the control specimen without any additives was 4.62 MPa and 5.25 MPa at 7 and 28 days, respectively. Adding SAP (S0-A0.3) to the concrete decreased its flexural strength by 20% after 7 and 28 days, compared to the control specimen that did not have SAP. This may be because SAP immediately affects the microstructure and the distribution of internal stresses within the concrete matrix, as seen in other studies. The reduction in flexural strength may be attributable to the increased presence of air spaces and macropores within the cross-sectional region of the tensile zone, as indicated in [57,58]. As can be noted from Figure 12, adding both NS and BF together in different amounts led to a general trend of higher flexural strength from 7 to 28 days. Table 5 provides a comprehensive summary of flexural strength results across different mixtures, confirming the improvement observed over time with increased dosages of NS and BF. The NS1.5B1.2 mix exhibited the most substantial increase to 4.97 MPa and 5.78 MPa at 7 and 28 days, which were 7.6% and 10% higher compared to the reference specimen without any additives (S0-A0.0) and 34.3% and 38.0% higher compared with the SAP-modified concrete (S0-A0.3), suggesting an optimal synergy between NS and BF that favors flexural strength development. Similar strength improvement as in the compressive strength (see Section 3.1) is noticeable in the specimen with a high dosage of NS. This is generally attributed to the pozzolanic and filling effect of NS. In addition, Rong, Z. [59] reported that the porosity and overall pore diameter reduced with the increase of the duration of curing and the quantity of nano-SiO2.
Figure 12.
Synergetic influence of NS and BF on the flexural strength properties of internal curing concrete after 7 and 28 days. The dotted lines represent the maximum compressive strength values at 7 and 28 days for S0-A0.0 (blue) and S0-A0.3 (red).
Furthermore, the presence of BF provides additional tensile strength by bridging macro- and micro-cracks, leading to a more durable concrete mixture. This is supported by the consistent growth in strength observed in mixes with higher NS and BF content, such as NS1.0B1.2 and NS1.5B0.8, aligning with previous findings on the benefits of nano-materials and BF in cement-based materials [60,61,62,63,64]. Similar to compressive strength, the improvements in flexural strength observed in this study align with previous research, as shown in Table 7. The standard deviation values at both 7 and 28 days provide a quantitative measure of the variability and reliability of the mix performance, and BF, particularly in higher quantities, contributes significantly to the enhancement of the concrete’s flexural strength over time. The relatively low standard deviations, especially at 28 days, suggest a consistent and predictable behavior of the concrete, underscoring the robustness of the mix design.
Figure 13 compares the flexural failure behavior of the NSBF-ICC specimen (1.5% NS and 1.2% BF) with plain concrete (S0-A0.0). The NS1.5B1.2 specimen exhibited improved flexural performance, characterized by a single mid-span crack and enhanced energy absorption before failure. The BFs effectively bridged the crack, allowing for higher deflection and more controlled failure compared to the abrupt failure observed in plain concrete. These findings are consistent with [56], where fiber-reinforced concrete incorporating NS and BFs demonstrated gradual and controlled failure behavior relative to unreinforced concrete.
Figure 13.
Failure behavior of NSBF-ICC under flexure loading at 28 days.
3.4. Fracture Analysis Through DIC Technique
The DIC method, which originated in the 1980s, is a cost-effective and straightforward technique used to evaluate solid material deformations [65]. Computational technology was utilized to develop the optical metrology mechanism [66]. The primary idea behind the DIC approach involves monitoring the movement of surface points amidst varying conditions. Images of the specimen are captured at regular intervals during the testing procedure. The first image is typically recognized as the reference point for control (undeformed). The DIC method examined the progression of cracks in concrete samples subjected to compression and flexural tests on selected specimens from a certain group. The crack propagation of a reference specimen (S0-A0.0) and concrete modified with NS and BF with SAP (NS1.5B1.2) was analyzed using DIC during compression and flexural testing, as depicted in Figure 14, Figure 15, Figure 16 and Figure 17 where the method’s efficacy in identifying cracks is showcased. Figure 14 and Figure 15 depict the failure morphology of the control specimen (S0-A0.0) and NS1.5B1.2 mixtures during compression tests, respectively. A speckle pattern was created on the clean and polished surface of the cube specimens. The surface selected for damage observation in the Digital Image Correlation (DIC) procedure is the front edge of a cube measuring 100 mm on each side. Figure 14 illustrates the failure behavior of the reference concrete during compression testing. The failure of the reference concrete is represented by a brittle fracture and a sudden decrease in load-carrying capacity, as illustrated in Figure 14. With the increase in applied load, micro-cracks lead to crack propagation from 101 to 147 s, culminating in a critical crack at 151 s and resulting in the sudden collapse of the specimen. The specimen NS1.5B1.2, with a significant amount of NS, BF, and SAP, exhibited distinct behavior in comparison to the reference specimen. Figure 15 illustrates the failure diagram obtained through the Digital Image Correlation (DIC) technique for the NS1.5B1.2 mixtures. As the applied load increases, the NS1.5B1 specimen exhibited a controlled crack propagation, limiting the formation of major cracks. This behavior is attributed to BFs that hinder crack formation and propagation by controlling micro-cracks and enhancing the tensile strength of the concrete matrix. Moreover, SAP’s inclusion may also contribute to the reduction of shrinkage cracks as it absorbs and releases water throughout the hydration process. Furthermore, the filler effect in the cement matrix of NS, which decreases porosity and improves the concrete’s strength and cohesion, may result in delayed crack initiation and more intricate crack patterns.
Figure 14.
Compressive failure mode of the reference concrete (S0-A0.0) specimen with no additives.
Figure 15.
Compressive failure mode of the NS- and BF-modified internal curing concrete (NS1.5B1.2) specimen.
Figure 16.
Typical failure mode of the reference concrete beam (S0-A0.0) under three-point bending test.
Figure 17.
Failure mode of NSBF-ICC beam (NS1.5B1.2) under three-point bending test.
Figure 16 depicts the failure process of the reference concrete mixture (S0-A0.0), while Figure 17 shows the failure process of the NSBF-ICC specimen (NS1.5B1.2) during the flexural test. Figure 16 and Figure 17 show a single substantial upward rupture at a relatively mid-span position of the beams. The DIC technique precisely shows the first crack, which appears in the crack formation operation. The fracture initiation and propagation patterns observed in the NSBF-ICC specimens (NS1.5B1.2) under flexural loading demonstrate a ductile failure mode, characterized by distributed microcracking and controlled crack progression. As depicted in Figure 16 and Figure 17, the fracture initiates at the bottom of the beam and propagates toward the upper surface. In contrast to the reference concrete specimen (S0-A0.0), which exhibited brittle failure with a single dominant crack, the NSBF-ICC specimen displayed a narrower crack opening and enhanced energy absorption due to the crack-bridging effect of BF.
This behavior is consistent with findings from prior studies, where the DIC and CT imaging techniques have demonstrated that well-distributed fibers mitigate localized damage and improve crack resistance in fiber-reinforced composites [67,68,69,70]. The crack propagation and strain distribution patterns observed in this study further corroborate these findings, as summarized in Table 8.
Table 8.
Crack width and propagation of NSBF-ICC specimen through DIC analysis.
Furthermore, the DIC strain analysis (Figure 14, Figure 15, Figure 16 and Figure 17) revealed that the fiber-reinforced specimen (NS1.5BF1.2) exhibited gradual strain increases and delayed crack propagation, while the non-fiber specimen (S0-A0.0) failed abruptly with minimal energy absorption. The maximum displacement in the fiber-reinforced mix was 0.137 mm, significantly lower than the 0.620 mm recorded for the non-fiber mix, confirming the effectiveness of BF in restricting crack opening and improving crack control. These results are consistent with the findings of [69,70], who demonstrated that fiber reinforcement enhances energy dissipation, reduces brittle failure risks, and improves the overall durability of cementitious materials.
The gradual crack progression observed in the NSBF-ICC specimens highlights the role of BF in bridging microcracks and redistributing stress, thereby delaying failure. In contrast, the non-fiber specimen exhibited rapid crack propagation and minimal resistance to fracture, which is characteristic of brittle failure. These findings underscore the importance of fiber reinforcement in enhancing the mechanical performance and crack resistance of internally cured concrete.
3.5. Microstructure Characteristics Through SEM
This study demonstrates that the incorporation of NS and BF enhances the mechanical properties of SAP-modified concrete. To investigate the underlying mechanisms, a mixture containing 1.5% NS and 1.2% BF (NSBF-ICC) was selected for microscopic analysis. Figure 18 presents scanning electron microscopy (SEM) images of the microstructure.
Figure 18.
SEM observation of NSBF-ICC mixture at 28 days (NS1.5B1.2 mix). (a) SAP pore formation after water release; (b) hydrates inside SAP pore; (c–f) additional C–S–H formation and ettringite due to NS addition; (g) fiber interface with hydrates; (h) crack propagation and BF bridging effect.
Figure 18a shows SAP pores surrounded by hydration products, likely due to the filling effect of NS, which contributes to microstructural densification. Figure 18b highlights the role of NS in forming additional calcium silicate hydrate (C-S-H) phases, enhancing the compactness of the cement matrix. This aligns with previous studies [21,39,49], which attribute NS’s effectiveness to its nucleation site effect, filling effect, and pozzolanic reaction. Figure 13 and Figure 18c illustrates how NS improves the microstructure by acting as nucleation sites for C-S-H precipitation and accelerating hydration reactions [49]. Additionally, Figure 18d demonstrates the pozzolanic effect of NS, which reacts with calcium hydroxide (CH) to produce additional C-S-H, thereby improving durability and mechanical properties. This observation is consistent with [48], which links NS’s performance enhancement to its ability to react with CH and reduce porosity.
The addition of BF greatly enhances the performance of SAP-modified concrete. The role of BF in bridging microcracks and achieving a strong bond at the fiber-hydrates interfacial zone, which reinforces the matrix and arrests crack propagation, is shown in Figure 18g. The crack-bridging mechanism of the BF is illustrated in Figure 18h, showing their impact on improving the tensile and flexural strength of the concrete. The findings are consistent with previous studies showing that BFs improve the mechanical properties of concrete [55,62]. The results support earlier research regarding the synergistic effects of NS and BF. Multiple studies [47,48,55,62] have shown that NS enhances hydration, occupies voids, and decreases porosity via its nucleation, filling, and pozzolanic properties. At the same time, BFs improve tensile and flexural properties by bridging cracks and strengthening the matrix. Together, NS and BFs promote a denser and more durable microstructure that enhances the mechanical performance of SAP-modified concrete. The concepts presented in Figure 18 elaborate on how NS and BFs influence hydration and mechanical behavior. The hybridization of NS and BFs densifies the concrete matrix, strengthens interfacial bonding, and reduces crack propagation while enhancing SAP-modified concrete’s durability and mechanical properties.
3.6. RSM-CCD Analysis
Response Surface Methodology (RSM) was employed to optimize the proportions of NS and BF in the concrete mixtures. The RSM analysis was conducted using a Central Composite Design (CCD), with NS and BF as independent variables and compressive, tensile, and flexural strengths as response variables. Table 9 shows the produced RSM analysis using the response parameters (fc, ff, and ft, indicating model combination) and independent parameters (NS and BF).
Table 9.
Systematic distribution of coded variables for RSM-CCD analysis.
As illustrated in Table 10, a statistical analysis tool (ANOVA) is thus utilized to determine the constructed model’s reliability and volatility.
Table 10.
ANOVA data for the output variables.
3.6.1. ANOVA
Table 10 presents ANOVA data for the quadratic models derived from the RSM-CCD analysis. The ANOVA results indicate a strong model fit, as evidenced by high R2 values, for predicting the compressive strength (fc), flexural strength (ff), and tensile strength (ft) of the concrete mixtures.
At 7 days, the model for compressive strength (fc) showed a high degree of fit with an R2 of 0.9821, which further increased to 0.9958 at 28 days, indicating an excellent prediction capability of the model over time. The flexural strength (ff) and tensile strength (ft) models also exhibited high R2 values at both 7 and 28 days, confirming the model’s robustness in predicting these properties. The addition of SAP initially resulted in a reduction in early strength, but the incorporation of NS and BF significantly enhanced the strength parameters over time, particularly at 28 days, as seen in the highest compressive strength achieved by the NS1.5B1.2 mix. The mathematical model for the measured data including all outputs is specified in Equations (5)–(10).
where fc(7d) and fc(28d) are the predicted compressive strength at 7 days and 28 days, respectively, in MPa. ft(7d) and ft(28d) are the predicted flexural strength at 7 days and 28 days, respectively, in MPa. ff(7d) and ff(28d) are the predicted split-tensile strength at 7 days and 28 days, respectively, in MPa. NS is the dosage of NS as a percentage of the cementitious materials by weight; BF is the dosage of BF as a percentage of the cementitious materials by weight.
The statistical indicators, including adjusted R2 and predicted R2, further validate the model’s accuracy and reliability, as shown in Table 11. The mean values for compressive, flexural, and tensile strengths increased from 7 to 28 days, demonstrating the concrete’s strength development. The standard deviation (SD) and coefficient of variation (COV) values were relatively low, especially at 28 days, indicating consistent and reliable performance of the concrete mixes. The Adequacy Precision (AP) ratios were well above the desirable threshold of 4, suggesting adequate signal strength.
Table 11.
Model validation and statistical indicators.
Figure 19, Figure 20, Figure 21, Figure 22, Figure 23 and Figure 24 give illustrations of the effects of various amounts of BF and NS on the mechanical properties of internally-cured concrete (NSBF-ICC) at 7 and 28 days, as shown in the 2D and 3D plots. The strength characteristics are shown visually in the form of a topographical plot, and the 3D plots show how the interactions between NS and BF affect the concrete’s compressive, flexural, and split-tensile strengths. At 7 days, the compressive and split-tensile strengths clearly get stronger as the doses of NS go up. However, the flexural strength has a more complicated relationship, reaching its highest when NS and BF are both in the middle dosage. Over 28 days, the strength in all parameters significantly improves, indicating that the long-term benefits of NS and BF in concrete are more pronounced. Along with the 3D visualization, the 2D contour plots highlight areas where the best additive combinations can be found. The gradation of colors shows how the strength changes as the amounts of NS and BF change.
Figure 19.
Three-dimensional surface plots of the combined effect of NS and BF on the compressive strength of ICC at (a) 7 days, and (b) 28 days. The color scale represents the variation in compressive strength, with red indicating higher strength values and blue indicating lower strength values.
Figure 20.
Two-dimensional contour plots of synergetic influence of NS and BF on compressive strength of ICC: (a) 7 days, and (b) 28 days. The color scale represents the variation in compressive strength, with red indicating higher strength values and blue indicating lower strength values.
Figure 21.
Three-dimensional surface plots of the combined effect of NS and BF on the flexural strength of NSBF-ICC with NS at (a) 7 days, and (b) 28 days. The color scale represents the variation in flexural strength, with red indicating higher strength values and blue indicating lower strength values.
Figure 22.
Two-dimensional contour plots of synergetic influence of NS AND BF on flexural strength of NSBF-ICC: (a) 7 days, and (b) 28 days. The color scale represents the variation in flexural strength, with red indicating higher strength values and blue indicating lower strength values.
Figure 23.
Three-dimensional surface plots of the combined effect of NS and BF on the split-tensile strength of NSBF-ICC with NS at (a) 7 days, and (b) 28 days. The color scale represents the variation in split-tensile strength, with red indicating higher strength values and blue indicating lower strength values.
Figure 24.
Two-dimensional contour plots of synergetic influence of NS and BF on split-tensile strength of NSBF-ICC: (a) 7 days, and (b) 28 days. The color scale represents the variation in split-tensile strength, with red indicating higher strength values and blue indicating lower strength values.
Figure 25 illustrates the interaction plots between NS and BF obtained from RSM. The analysis clearly demonstrates that the combined use of NS and BF provides enhanced mechanical performance across compressive, flexural, and splitting-tensile strength. The synergistic effect becomes more evident at higher dosages, where the benefits of matrix densification by NS and crack bridging by BF complement each other. This interaction ensures superior durability and strength, making the optimized NS–BF concrete mixture suitable for applications requiring high mechanical resilience.
Figure 25.
Interaction plots of NSBF-ICC mixture from RSM analysis. The red and black curves represent the interaction effects between NS and BF dosages on the mechanical strength, with dashed lines indicating confidence intervals. The color-coded items (red, green, black) correspond to different levels or conditions of the variables analyzed.
3.6.2. Optimization of NSBF-ICC
The optimization method tries to find the best amounts of two separate factors—NS and BF—so that the final NSBF-ICC mix meets the toughest requirements while also being the most cost-effective. The methodology adopts a goal-oriented approach, setting specific ranges for NS and BF to maximize compressive, flexural, and split-tensile strengths at both 7 and 28 days. Table 12 establishes the evaluation criteria for optimization, delineating the desired increase in mechanical strengths as the primary objective. Table 13 presents the outcome of this optimization process, identifying a mix with 0.90% NS and 1.2% BF as optimal. A mix of 0.90% NS and 1.2% BF was found to be the best. It had a compressive strength of 33.53 MPa after 7 days and 44.62 MPa after 28 days, a flexural strength of 4.88 MPa after 7 days and 5.61 MPa after 28 days, and a split-tensile strength of 3.85 MPa after 7 days and 4.46 MPa after 28 days, which indicates a desirable percentage of 70.4%. This particular mixture achieves not only cost efficiency but also superior strength, with a desirable percentage of 70.4%, reflecting the successful integration of materials to enhance the concrete’s performance. Such an approach ensures that the resulting NSBF-ICC mix is not only economically viable but also excels in mechanical robustness, a necessary consideration for practical applications in the construction industry.
Table 12.
Evaluation criterion for the process of optimization.
Table 13.
Optimum NSBF-ICC mix.
4. Conclusions
This study investigated the synergistic effects of NS and BF on the mechanical properties of internally cured concrete (ICC) modified with SAP. Eleven distinct mixtures with varying dosages of NS and BF were prepared and evaluated under compression, flexural, and split-tensile strength tests. Response Surface Methodology (RSM) with the Central Composite Design (CCD) and Digital Image Correlation (DIC) techniques were employed to optimize the parameters and analyze the failure mechanisms of SAP-modified concrete containing NS and BF. The key findings are summarized as follows:
- The inclusion of SAP alone reduced compressive strength due to altered hydration dynamics and the formation of macropores. However, the addition of NS and BF significantly improved strength over time. The NS1.5B1.2 mix achieved a compressive strength of 35.3 MPa at 7 days and 47.6 MPa at 28 days, demonstrating that conservative dosages of nanomaterials and fibers do not negatively impact early strength properties.
- Flexural strength: SAP-modified concrete without NS and BF exhibited a 20% reduction in flexural strength, attributed to its immediate effect on the microstructure. The reference specimen (S0-A0.0) had flexural strengths of 4.62 MPa and 5.25 MPa at 7 and 28 days, respectively. The incorporation of NS and BF compensated for this reduction, with the NS1.5B1.2 mix achieving flexural strengths of 4.97 MPa and 5.78 MPa at 7 and 28 days, respectively.
- The combination of NS and BF significantly enhanced tensile strength, particularly at higher concentrations. The NS1.5B1.2 mix exhibited the highest tensile strength at 28 days, demonstrating a synergistic effect between NS and BF. BF effectively bridged cracks, restricting crack propagation and improving tensile performance.
- DIC-based strain and displacement analysis revealed that BF bridged microcracks and delayed crack propagation, aligning with the observed improvements in flexural and tensile strength. While non-destructive evaluation (NDE) techniques such as CT imaging and acoustic emission (AE) monitoring were not employed, future research should integrate these methods to provide deeper insights into internal damage mechanisms, fiber-matrix interactions, and long-term durability
- SEM observations indicated that SAP created macropores upon water release, but the addition of NS enhanced the microstructure through nucleation, filling, and pozzolanic effects. The combined use of NS and BF promoted the C-S-H formation, densified the matrix, and bridged microcracks, leading to improved mechanical strength.
- RSM/CCD models were developed to predict the mechanical strength parameters of NSBF-ICC, with NS and BF as independent variables. ANOVA results confirmed the reliability of the models, with R2 values demonstrating excellent predictive capability for compressive, flexural, and tensile strength. The optimal NSBF-ICC mix was identified as 0.90% NS and 1.2% BF.
In conclusion, the integration of NS and BF effectively mitigates the strength reduction caused by SAP, enhancing the mechanical properties and durability of internally cured concrete. The findings provide valuable insights for optimizing the design of SAP-modified concrete systems and highlight the potential for further research using advanced NDE techniques.
Author Contributions
S.M.B.: conceptualization, methodology, investigation, data curation, writing—original draft, writing—review and editing. H.Z., Y.E.I. and S.I.H.: conceptualization, investigation, supervision, resources, funding acquisition, formal analysis. Z.B.: methodology, investigation, data curation, writing—original draft, writing—review and editing. All authors have read and agreed to the published version of the manuscript.
Funding
The authors greatly acknowledge the financial support of this research by the Natural Science Foundation of China (No. 52178222) and the Structures and Materials Laboratory (S&M Lab) of the College of Engineering, Prince Sultan University, Riyadh, Saudi Arabia, for funding the article process fees.
Data Availability Statement
The authors of this manuscript produced all the data, and they are available from the corresponding author upon reasonable request.
Acknowledgments
The authors express sincere gratitude to the Natural Science Foundation of China (No. 52178222) for providing the necessary financial resources to conduct this research and the support of Structure and Materials Lab of Prince Sultan University.
Conflicts of Interest
The authors declare no conflicts of interest.
References
- Monteiro, P.J.M.; Miller, S.A.; Horvath, A. Towards sustainable concrete. Nat. Mater. 2017, 16, 698–699. [Google Scholar] [CrossRef] [PubMed]
- Díaz, B.; Guitián, B.; Nóvoa, X.R.; Pérez, M.C. The effect of long-term atmospheric aging and temperature on the electrochemical behaviour of steel rebars in mortar. Corros. Sci. 2018, 50, 140–143. [Google Scholar] [CrossRef]
- Liu, J.; Shi, C.; Ma, X.; Khayat, K.H.; Zhang, J.; Wang, D. An overview on the effect of internal curing on shrinkage of high-performance cement-based materials. Constr. Build. Mater. 2017, 12, 146–702. [Google Scholar] [CrossRef]
- Sun, W.; Chen, H.; Luo, X.; Qian, H. The effect of hybrid fibers and expansive agent on the shrinkage and permeability of high-performance concrete. Cem. Concr. Res. 2001, 31, 595–601. [Google Scholar] [CrossRef]
- Gao, P.; Lu, X.; Tang, M. Shrinkage and expansive strain of concrete with fly ash and expansive agent. J. Wuhan Univ. Technol.-Mater Sci. Ed. 2009, 24, 150. [Google Scholar] [CrossRef]
- Chopin, D.; Francy, O.; Lebourgeois, S.; Rougeau, P. Creep and shrinkage of heat-cured self-compacting concrete (SCC). In Proceedings of the 3rd International Symposium on Self-Compacting Concrete, Reykjavik, Iceland, 17–20 August 2003; pp. 672–683. [Google Scholar]
- Wallah, S.E. Drying Shrinkage of Heat-Cured Fly Ash-Based Geopolymer Concrete. Mod. Appl. Sci. 2009, 3, 14–21. [Google Scholar] [CrossRef]
- Collepardi, M.; Borsoi, A.; Collepardi, S.; Ogoumah Olagot, J.J.; Troli, R. Effects of shrinkage reducing admixture in shrinkage compensating concrete under non-wet curing conditions. Cem. Concr. Compos. 2005, 24, 704–708. [Google Scholar] [CrossRef]
- Zunino, F.; Castro, J.; Lopez, M. Thermo-mechanical assessment of concrete microcracking damage due to early-age temperature rise. Constr. Build. Mater. 2015, 53, 81–140. [Google Scholar] [CrossRef]
- Yazıcı, H.; Yardımcı, M.Y.; Aydın, S.; Karabulut, A.Ş. Mechanical properties of reactive powder concrete containing mineral admixtures under different curing regimes. Constr. Build. Mater. 2009, 31, 23–1223. [Google Scholar] [CrossRef]
- Kovler, K.; Jensen, O.M. Internal Curing of Concrete, State-of-the-Art Report of RILEM Technical Committee 196-ICC; Report 41; RILEM: Champs-sur-Marne, France, 2007. [Google Scholar]
- Wong, H.S. Concrete with superabsorbent polymers. In Eco-Efficient Repair and Rehabilitation of Concrete Infrastructures; Woodhead Publishing: Sawston, UK, 2018; pp. 467–499. [Google Scholar] [CrossRef]
- Justs, J.; Wyrzykowski, M.; Bajare, D.; Lura, P. Internal curing by superabsorbent polymers in ultra-high-performance concrete. Cem. Concr. Res. 2015, 76, 82–90. [Google Scholar] [CrossRef]
- Boshoff, W.; Mechtcherine, V.; Snoeck, D.; Schröfl, C.; De Belie, N.; Ribeiro, A.B. The effect of superabsorbent polymers on the mitigation of plastic shrinkage cracking of conventional concrete, results of an inter-laboratory test by RILEM TC 260-RSC. Mater. Struct. 2020, 53, 79. [Google Scholar] [CrossRef]
- Craeye, B.; Geirnaert, M.; Schutter, G.D. Super absorbing polymers as an internal curing agent for mitigation of early-age cracking of high-performance concrete bridge decks. Constr. Build. Mater. 2011, 25, 1–13. [Google Scholar] [CrossRef]
- Shannag, M.J. High strength concrete containing natural pozzolan and silica fume. Cem. Concr. Compos. 2000, 22, 399–406. [Google Scholar] [CrossRef]
- Duval, R.; Kadri, E.H. Influence of Silica Fume on the Workability and the Compressive Strength of High-Performance Concretes. Cem. Concr. Res. 1998, 28, 533–547. [Google Scholar] [CrossRef]
- Pacheco-Torgal, F.; Jalali, S. Nanotechnology: Advantages and drawbacks in the field of construction and building materials. Constr. Build. Mater. 2011, 90, 25–582. [Google Scholar] [CrossRef]
- Du, H.; Du, S.; Liu, X. Durability performances of concrete with nano-silica. Constr. Build. Mater. 2014, 12, 73–705. [Google Scholar] [CrossRef]
- Said, A.M.; Zeidan, M.S.; Bassuoni, M.T.; Tian, Y. Properties of concrete incorporating nano-silica. Constr. Build. Mater. 2012, 36, 838–844. [Google Scholar] [CrossRef]
- Lefever, G.; Tsangouri, E.; Snoeck, D.; Aggelis, D.G.; De Belie, N.; Van Vlierberghe, S. Combined use of superabsorbent polymers and nanosilica for reduction of restrained shrinkage and strength compensation in cementitious mortars. Constr. Build. Mater. 2020, 251, 118966. [Google Scholar] [CrossRef]
- Lefever, G.; Snoeck, D.; Aggelis, D.G.; De Belie, N.; Van Vlierberghe, S.; Van Hemelrijck, D. Evaluation of the Self-Healing Ability of Mortar Mixtures Containing Superabsorbent Polymers and Nanosilica. Materials 2020, 13, 380. [Google Scholar] [CrossRef]
- Sujitha, V.S.; Ramesh, B.; Xavier, J.R. Influence of nano alumina reinforced superabsorbent polymer on mechanical, durability, microstructural and rheological properties of cementitious materials. J. Build. Eng. 2023, 79, 107780. [Google Scholar] [CrossRef]
- Bose, B.; Davis, C.R.; Erk, K.A. Microstructural refinement of cement paste internally cured by polyacrylamide composite hydrogel particles containing silica fume and nanosilica. Cem. Concr. Res. 2021, 143, 106400. [Google Scholar] [CrossRef]
- Hannawi, K.; Bian, H.; Prince-Agbodjan, W.; Raghavan, B. Effect of different types of fibers on the microstructure and the mechanical behavior of Ultra-High-Performance Fiber-Reinforced Concretes. Compos. Part B Eng. 2016, 86, 214–220. [Google Scholar] [CrossRef]
- Kua, H.W.; Gupta, S.; Aday, A.N.; Srubar, W.V. Biochar-immobilized bacteria and superabsorbent polymers enable self-healing of fiber-reinforced concrete after multiple damage cycles. Cem. Concr. Compos. 2019, 100, 35–52. [Google Scholar] [CrossRef]
- Al-Atroush, M.E.; Shabbir, O.; Almeshari, B.; Waly, M.; Sebaey, T.A. A Novel Application of the Hydrophobic Polyurethane Foam: Expansive Soil Stabilization. Polymers 2021, 13, 1335. [Google Scholar] [CrossRef]
- Junaedi, H.; Khan, T.; Sebaey, T.A. Characteristics of Carbon-Fiber-Reinforced Polymer Face Sheet and Glass-Fiber-Reinforced Rigid Polyurethane Foam Sandwich Structures under Flexural and Compression Tests. Materials 2023, 16, 5101. [Google Scholar] [CrossRef]
- Wu, K.; Zhu, H.; Ibrahim, Y.E.; Jiang, W.; Haruna, S.I.; Shao, J.; Adamu, M. Performance evaluation of bond strength and fiber type on the mechanical properties of polyurethane-based polymer mortar. Case Stud. Constr. Mater. 2023, 18, e02114. [Google Scholar] [CrossRef]
- Snoeck, D.; De Schryver, T.; De Belie, N. Enhanced impact energy absorption in self-healing strain-hardening cementitious materials with superabsorbent polymers. Constr. Build. Mater. 2018, 191, 13–22. [Google Scholar] [CrossRef]
- Kim, Y.J.; Gao, J. Internally Cured High-Performance Concrete Slabs Reinforced with Glass Fiber-Reinforced Polymer. ACI Struct. J. 2019, 116, 43–54. [Google Scholar] [CrossRef]
- Gupta, S.; Kua, H.W.; Pang, S.D. Combination of polypropylene fibre and superabsorbent polymer to improve physical properties of cement mortar. Mag. Concr. Res. 2018, 70, 350–364. [Google Scholar] [CrossRef]
- Wang, X.; Zhang, S.; Wang, C.; Cao, K.; Wei, P.; Wang, J. Effect of steel fibers on the compressive and splitting-tensile behaviors of cellular concrete with millimeter-size pores. Constr. Build. Mater. 2019, 221, 60–73. [Google Scholar] [CrossRef]
- Fan, L.; Bao, Y.; Meng, W.; Chen, G. In-situ monitoring of corrosion-induced expansion and mass loss of steel bar in steel fiber reinforced concrete using a distributed fiber optic sensor. Compos. Part B Eng. 2019, 165, 679–689. [Google Scholar] [CrossRef]
- Abdulhadi, M. A comparative Study of Basalt and Polypropylene Fibers Reinforced Concrete on Compressive and Tensile Behavior. Int. J. Eng. Trends Technol. 2014, 9, 295–300. [Google Scholar] [CrossRef]
- Li, M.; Gong, F.; Wu, Z. Study on mechanical properties of alkali-resistant basalt fiber reinforced concrete. Constr. Build. Mater. 2020, 245, 118424. [Google Scholar] [CrossRef]
- Olivier, G.; Combrinck, R.; Kayondo, M.; Boshoff, W.P. Combined effect of nano-silica, super absorbent polymers, and synthetic fibres on plastic shrinkage cracking in concrete. Constr. Build. Mater. 2018, 192, 85–98. [Google Scholar] [CrossRef]
- Fan, J.; Shen, A.; Guo, Y.; Zhao, M.; Yang, X.; Wang, X. Evaluation of the shrinkage and fracture properties of hybrid Fiber-Reinforced SAP modified concrete. Constr. Build. Mater. 2020, 256, 119491. [Google Scholar] [CrossRef]
- Lyu, Z.; Shen, A.; Meng, W. Properties, mechanism, and optimization of superabsorbent polymers and basalt fibers modified cementitious composite. Constr. Build. Mater. 2021, 276, 122212. [Google Scholar] [CrossRef]
- Liu, Y.; Wang, B.; Qian, Z.; Yu, J.; Shi, T.; Fan, Y.; Zhou, Y.; Ning, Y.; Zhou, X. State-of-the-art on preparation, performance, and ecological applications of planting concrete. Case Stud. Constr. Mater. 2024, 20, e03131. [Google Scholar] [CrossRef]
- GB 175-2007; Common Portland Cement. China Building Material Federation: Beijing, China, 2007.
- Jensen, O.M.; Hansen, P.F. Water-entrained cement-based materials: I. Principles and theoretical background. Cem. Concr. Res. 2001, 31, 647–654. [Google Scholar] [CrossRef]
- Jensen, O.M.; Hansen, P.F. Water-Entrained Cement-Based Materials: II. Experimental observations. Cem. Concr. Res. 2002, 8, 932–973. [Google Scholar] [CrossRef]
- GB/T 50081-2019; Standard for Test Methods of Concrete Physical and Mechanical Properties. China Construction Industry Press: Beijing, China, 2019. (In Chinese)
- Montgomery, D.C. Design and Analysis of Experiments; John Wiley & Sons: Hoboken, NJ, USA, 2017. [Google Scholar]
- Razzaghian Ghadikolaee, M.; Habibnejad Korayem, A.; Sharif, A.; Ming Liu, Y. The halloysite nanotube effects on workability, mechanical properties, permeability and microstructure of cementitious mortar. Constr. Build. Mater. 2021, 267, 120873. [Google Scholar] [CrossRef]
- Gu, Y.; Ran, Q.; She, W.; Liu, J. Modifying Cement Hydration with NS@PCE Core-Shell Nanoparticles. Adv. Mater. Sci. Eng. 2017, 2017, 3823621. [Google Scholar] [CrossRef]
- Zhang, M.H.; Islam, J.; Peethamparan, S. Use of nano-silica to increase early strength and reduce setting time of concretes with high volumes of slag. Cem. Concr. Compos. 2012, 34, 650–662. [Google Scholar] [CrossRef]
- Zhuang, C.; Chen, Y. The effect of nano-SiO2 on concrete properties: A review. Nanotechnol. Rev. 2019, 8, 562–572. [Google Scholar] [CrossRef]
- Indriyantho, B.R.; Nuroji. Finite Element Modeling of Concrete Fracture in Tension with the Brazilian Splitting Test on the Case of Plane-stress and Plane-strain. Procedia Eng. 2014, 9, 95–252. [Google Scholar] [CrossRef]
- ASTM C496; Test Method for Splitting Tensile Strength of Cylindrical Concrete Specimens. ASTM Book of Standards: West Conshohocken, PA, USA, 1996.
- Ahmad, M.R.; Chen, B. Effect of silica fume and basalt fiber on the mechanical properties and microstructure of magnesium phosphate cement (MPC) mortar. Constr. Build. Mater. 2018, 190, 466–478. [Google Scholar] [CrossRef]
- Guo, Y.; Hu, X.; Lv, J. Experimental study on the resistance of basalt fibre-reinforced concrete to chloride penetration. Constr. Build. Mater. 2019, 223, 142–155. [Google Scholar] [CrossRef]
- Niu, D.; Huang, D.; Zheng, H.; Su, L.; Fu, Q.; Luo, D. Experimental Study on Mechanical Properties and Fractal Dimension of Pore Structure of Basalt–Polypropylene Fiber-Reinforced Concrete. Appl. Sci. 2019, 9, 1602. [Google Scholar] [CrossRef]
- Zheng, Y.; Zhuo, J.; Zhang, Y.; Zhang, P. Mechanical properties and microstructure of nano-SiO2 and basalt-fiber-reinforced recycled aggregate concrete. Nanotechnol. Rev. 2022, 11, 2169–2189. [Google Scholar] [CrossRef]
- Ghadikolaee, F.M.; Mahdikhani, M.; Hosseini, S.A. Evaluating the impact of nano-silica and basalt fibers on the durability and mechanical properties of concrete. Mater. Today Proc. 2021, 47, 3287–3294. [Google Scholar]
- Snoeck, D.; Schaubroeck, D.; Dubruel, P.; De Belie, N. Effect of high amounts of superabsorbent polymers and additional water on the workability, microstructure and strength of mortars with a water-to-cement ratio of 0.50. Constr. Build. Mater. 2014, 72, 148–157. [Google Scholar] [CrossRef]
- Jensen, O.M.; Lura, P. Techniques and materials for internal water curing of concrete. Mater. Struct. 2006, 39, 817–825. [Google Scholar] [CrossRef]
- Rong, Z.; Sun, W.; Xiao, H.; Jiang, G. Effects of nano-SiO2 particles on the mechanical and microstructural properties of ultra-high performance cementitious composites. Cem. Concr. Compos. 2015, 56, 25–31. [Google Scholar] [CrossRef]
- Abna, A.; Mazloom, M. Flexural properties of fiber reinforced concrete containing silica fume and nano-silica. Mater. Lett. 2022, 316, 132003. [Google Scholar] [CrossRef]
- Dong, J.Q. Mechanical Properties of Basalt FiberReinforced Concrete at Low Cycle Impact. Appl. Mech. Mater. 2012, 174-177, 1524–1527. [Google Scholar] [CrossRef]
- Jalasutram, S.; Sahoo, D.R.; Matsagar, V. Experimental investigation of the mechanical properties of basalt fiber -reinforced concrete. Struct. Concr. 2017, 18, 292–302. [Google Scholar] [CrossRef]
- Wang, Y.; Cheng, J.; Wang, J. Flexural performance of recycled concrete beam reinforced with modified basalt fiber and nano-silica. Case Stud. Constr. Mater. 2023, 18, e02022. [Google Scholar] [CrossRef]
- Aghlara, R.; Tahir, M.M. Measurement of strain on concrete using an ordinary digital camera. Measurement 2018, 126, 398–404. [Google Scholar] [CrossRef]
- Peters, W.H.; Ranson, W.F. Digital Imaging Techniques in Experimental Stress Analysis. Opt. Eng. 1982, 21, 213427. [Google Scholar] [CrossRef]
- Zhang, Y.; Sang, T.; Kang, A.; Wang, B.; Wu, X.; Zhao, Y. Investigation of fiber length distribution on crack resistance mechanism of basalt fiber asphalt mixture based on digital image processing technology. Constr. Build. Mater. 2023, 401, 132753. [Google Scholar] [CrossRef]
- Chen, B.; Liu, K.; Wang, H.; Li, H. Crack propagation analysis and mechanical properties of basalt fiber-reinforced cement composites with changing fiber surface characteristics. Constr. Build. Mater. 2023, 384, 131273. [Google Scholar] [CrossRef]
- Mpalaskas, A.C.; Kytinou, V.K.; Zapris, A.G.; Matikas, T.E. Optimizing Building Rehabilitation through Nondestructive Evaluation of Fire-Damaged Steel-Fiber-Reinforced Concrete. Sensors 2024, 24, 5668. [Google Scholar] [CrossRef] [PubMed]
- Vicente, M.A.; Álvarez, J.I.; Matías, A.; Ferrer, B. CT-Scan study of crack patterns of fiber-reinforced concrete loaded monotonically and under low-cycle fatigue. Mater. Des. 2018, 140, 129–140. [Google Scholar] [CrossRef]
- Xue, Z.; Qi, P.; Yan, Z.; Pei, Q.; Zhong, J.; Zhan, Q. Mechanical Properties and Crack Resistance of Basalt Fiber Self-Compacting High Strength Concrete: An Experimental Study. Materials 2023, 16, 4374. [Google Scholar] [CrossRef] [PubMed]
Disclaimer/Publisher’s Note: The statements, opinions and data contained in all publications are solely those of the individual author(s) and contributor(s) and not of MDPI and/or the editor(s). MDPI and/or the editor(s) disclaim responsibility for any injury to people or property resulting from any ideas, methods, instructions or products referred to in the content. |
© 2025 by the authors. Licensee MDPI, Basel, Switzerland. This article is an open access article distributed under the terms and conditions of the Creative Commons Attribution (CC BY) license (https://creativecommons.org/licenses/by/4.0/).























