Chopped Basalt Fibers Reinforced Mortar for Strengthening the Architectural Heritage
Abstract
1. Introduction
2. Materials and Methods
2.1. Mix Design
2.2. Sample Preparation and Designation
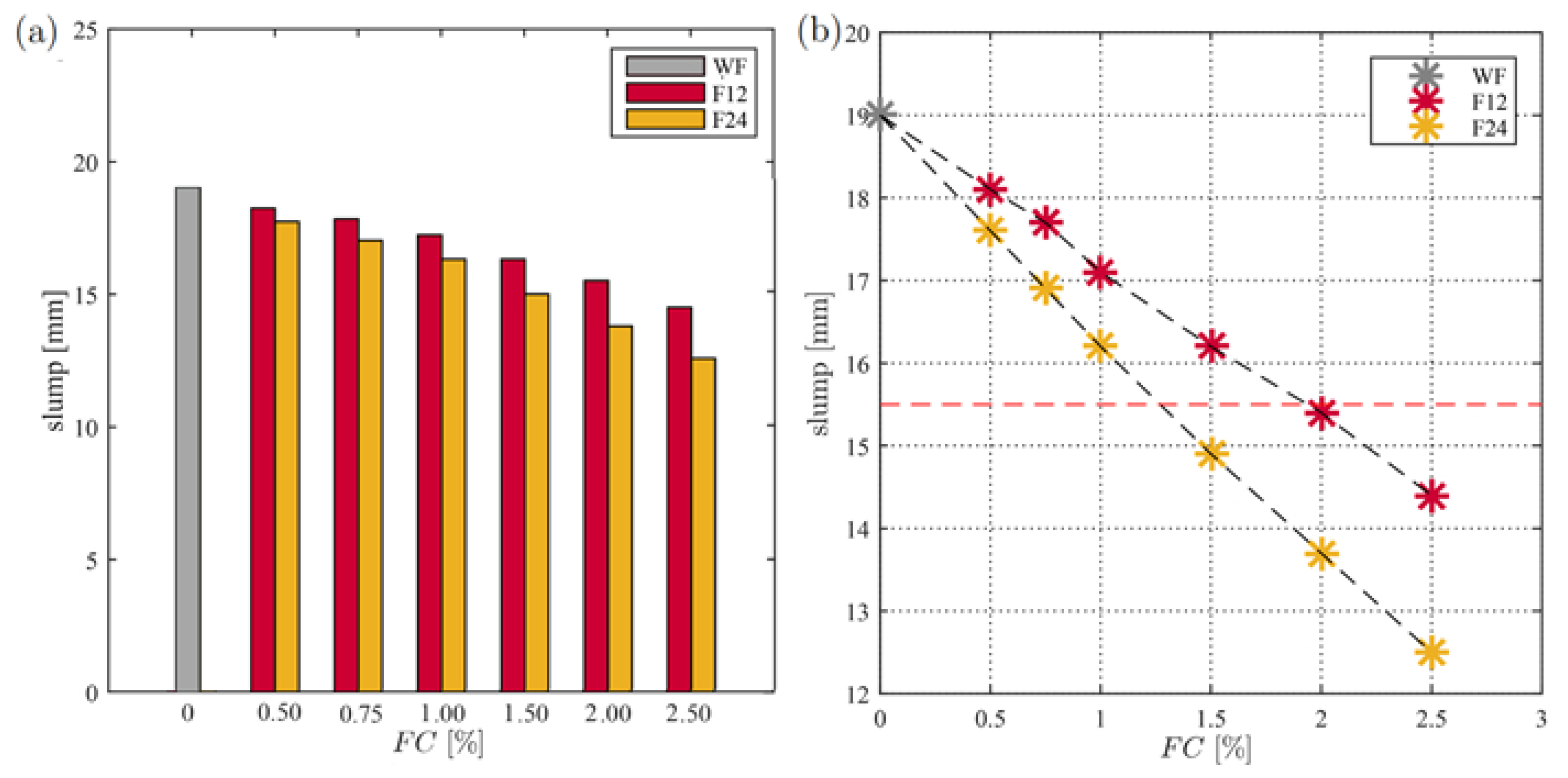
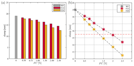
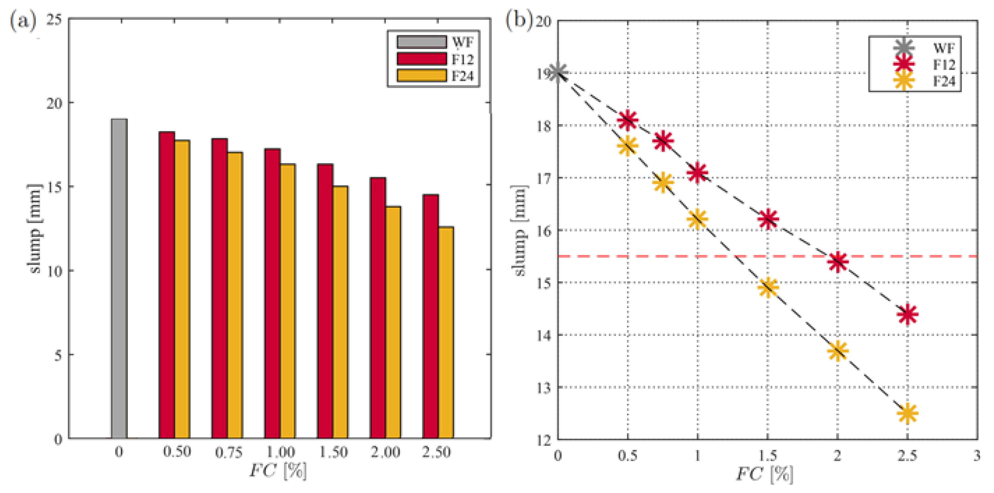
2.3. Workability
2.4. Mechanical Characterization
2.4.1. Bending Behavior and Post-Peak Capacity
2.4.2. Tensile Behavior
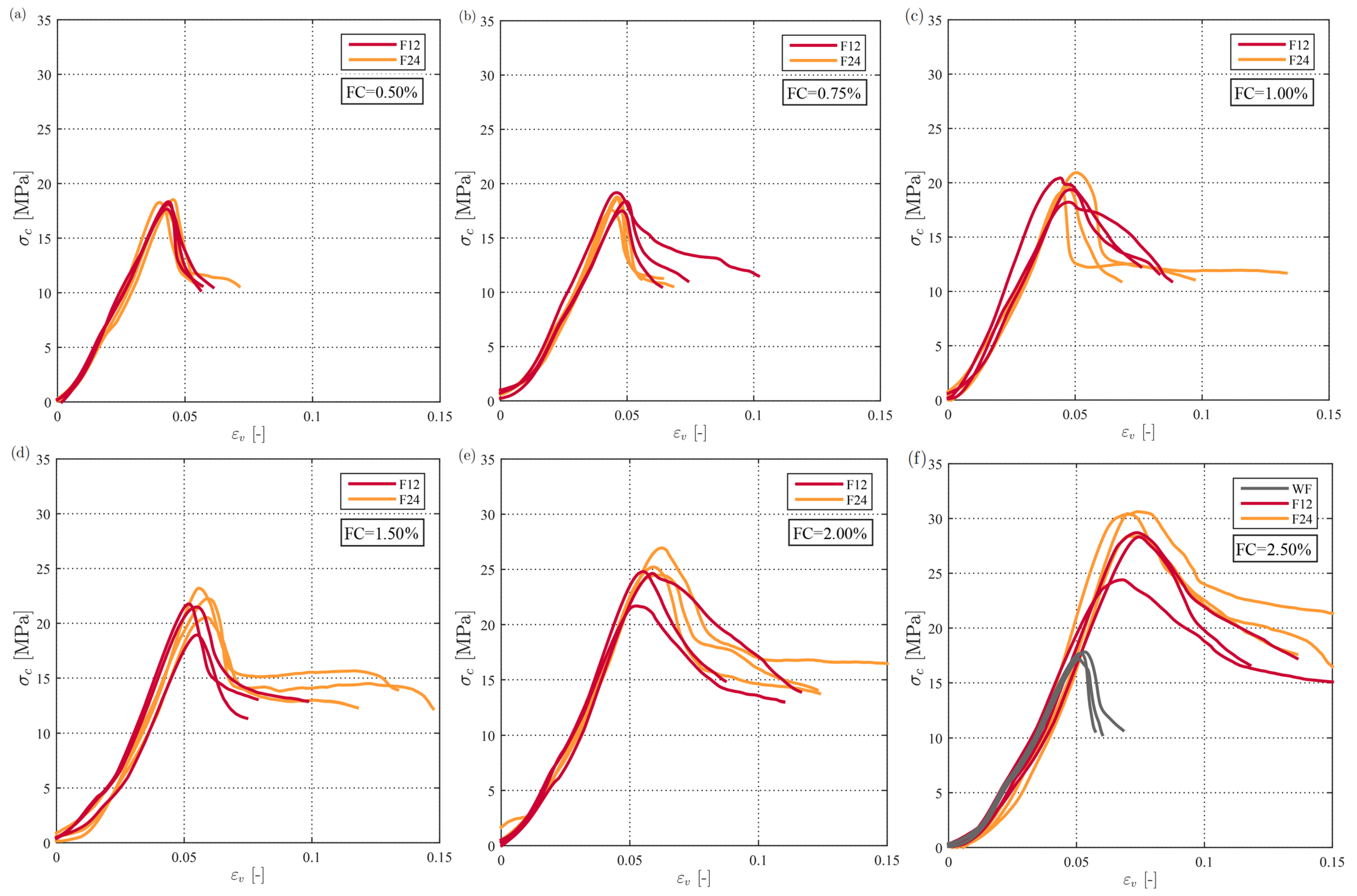
2.4.3. Compressive Behavior
3. Experimental Results
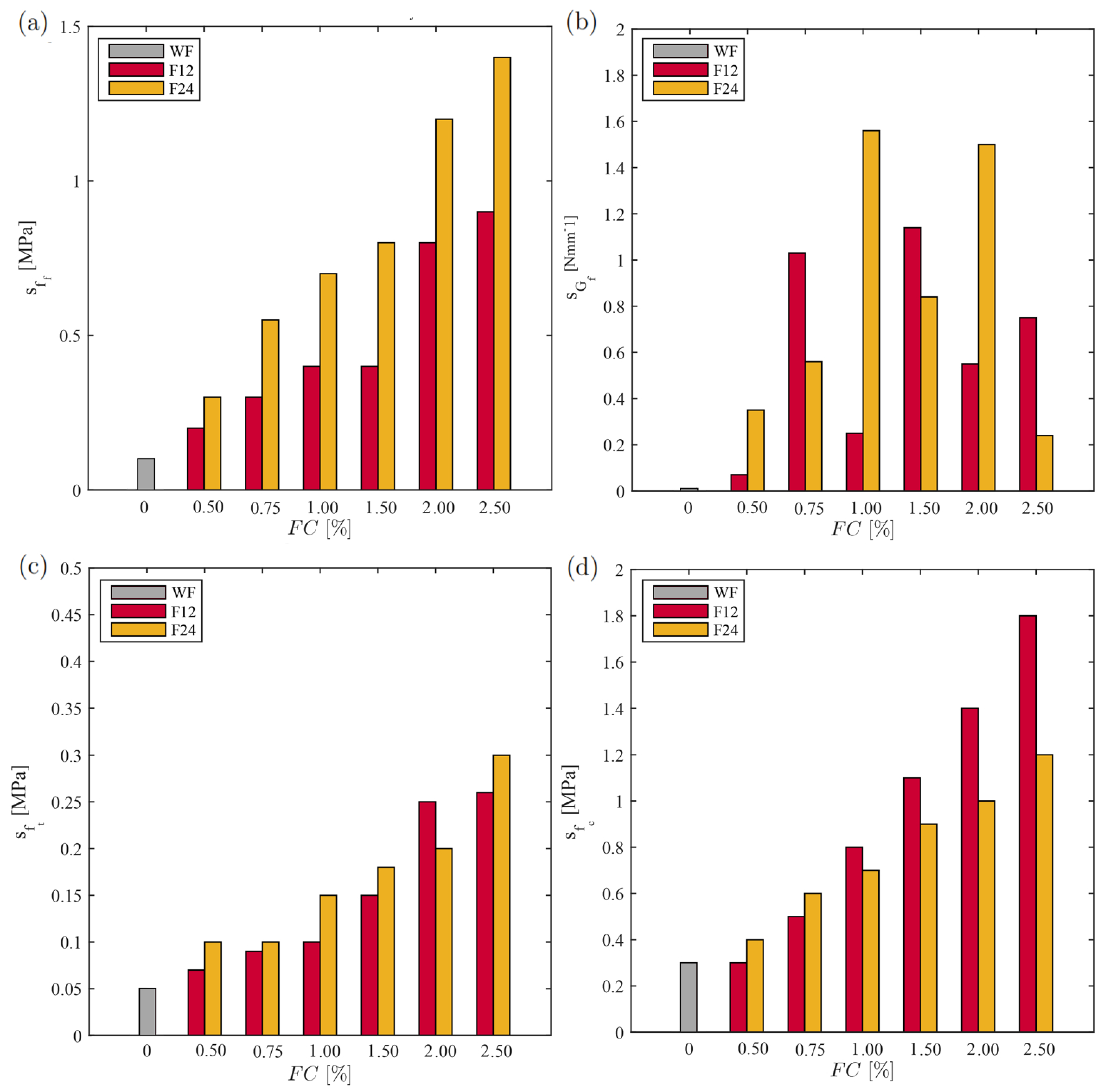
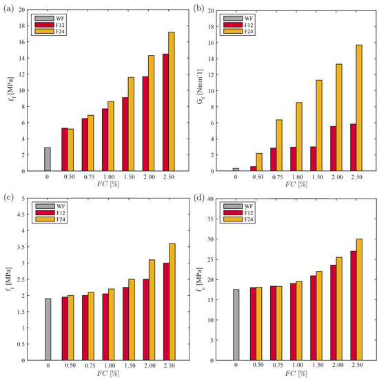
3.1. Flexural Strength and Post-Peak Capacity
3.2. Behavior in Tension
3.3. Behavior in Compression
3.4. Discussion
3.5. Optimization of the Basalt Reinforced Mortar Based on Its Fresh State Properties
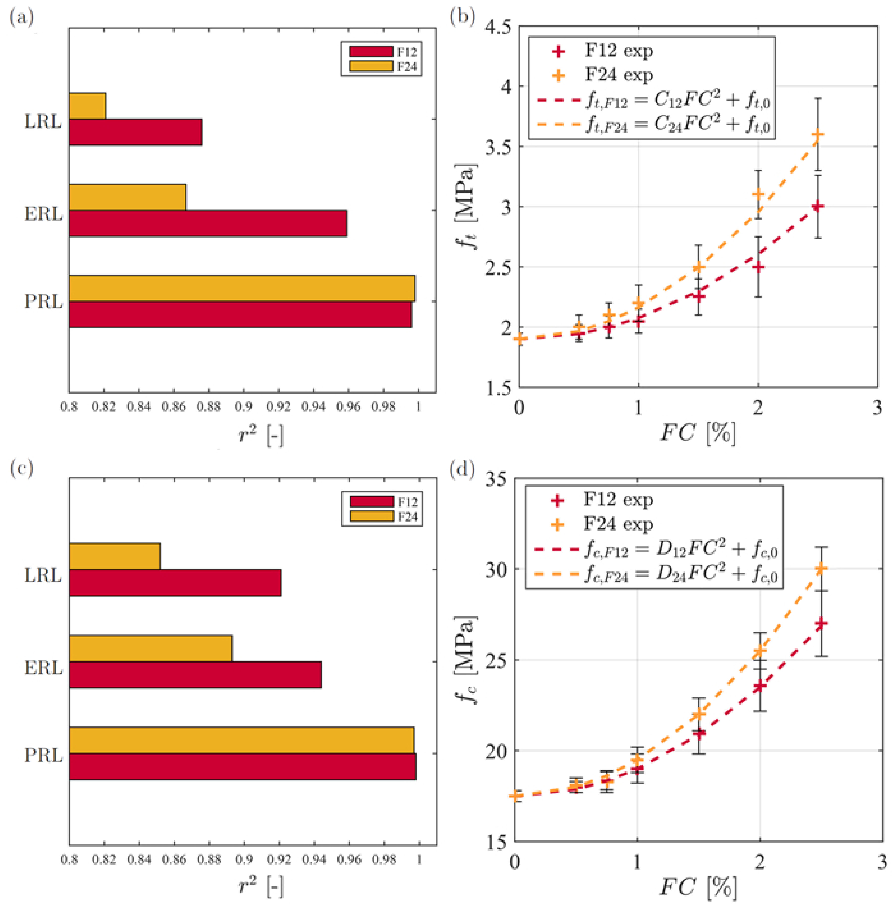
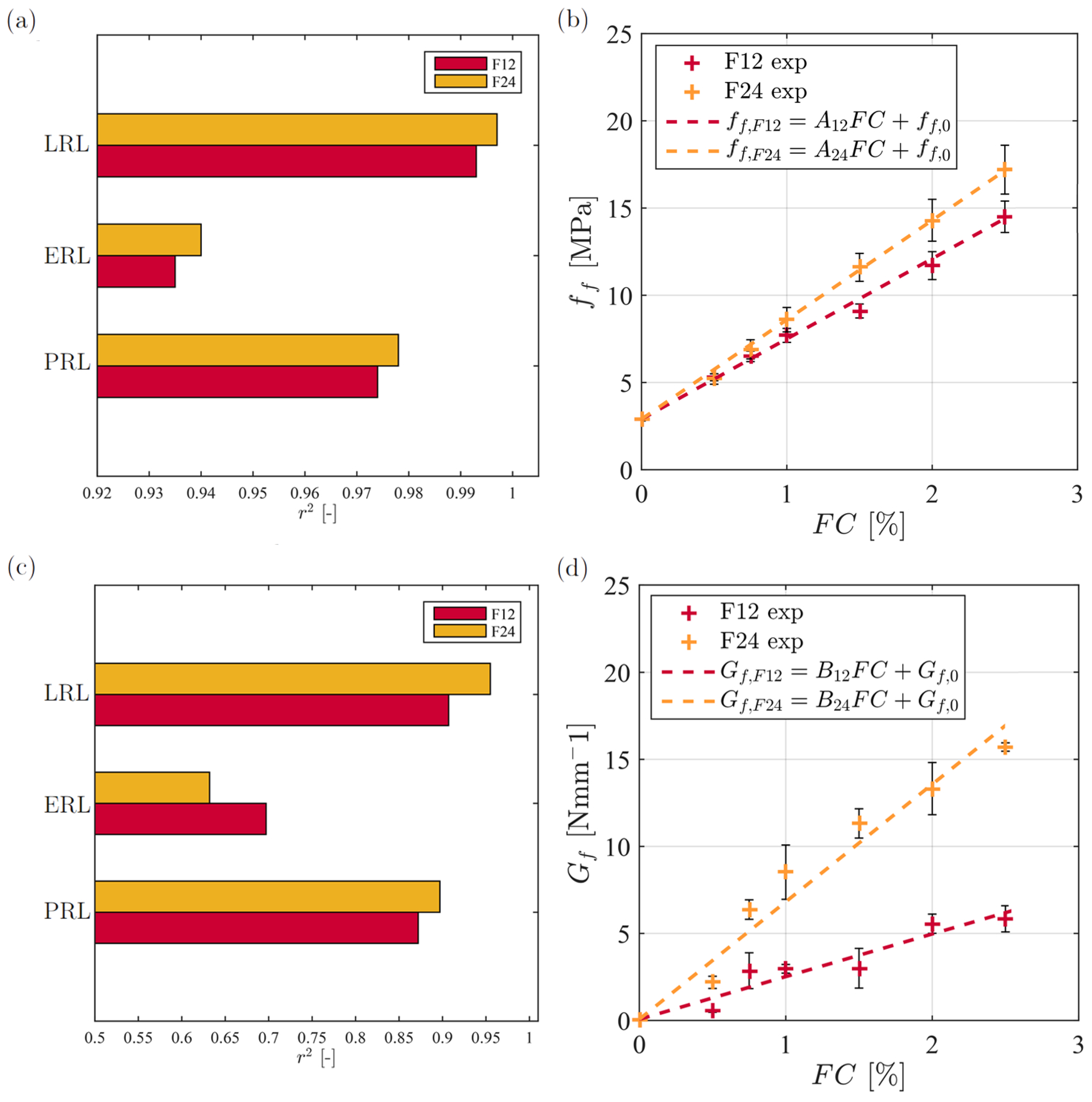
4. Regression Analysis
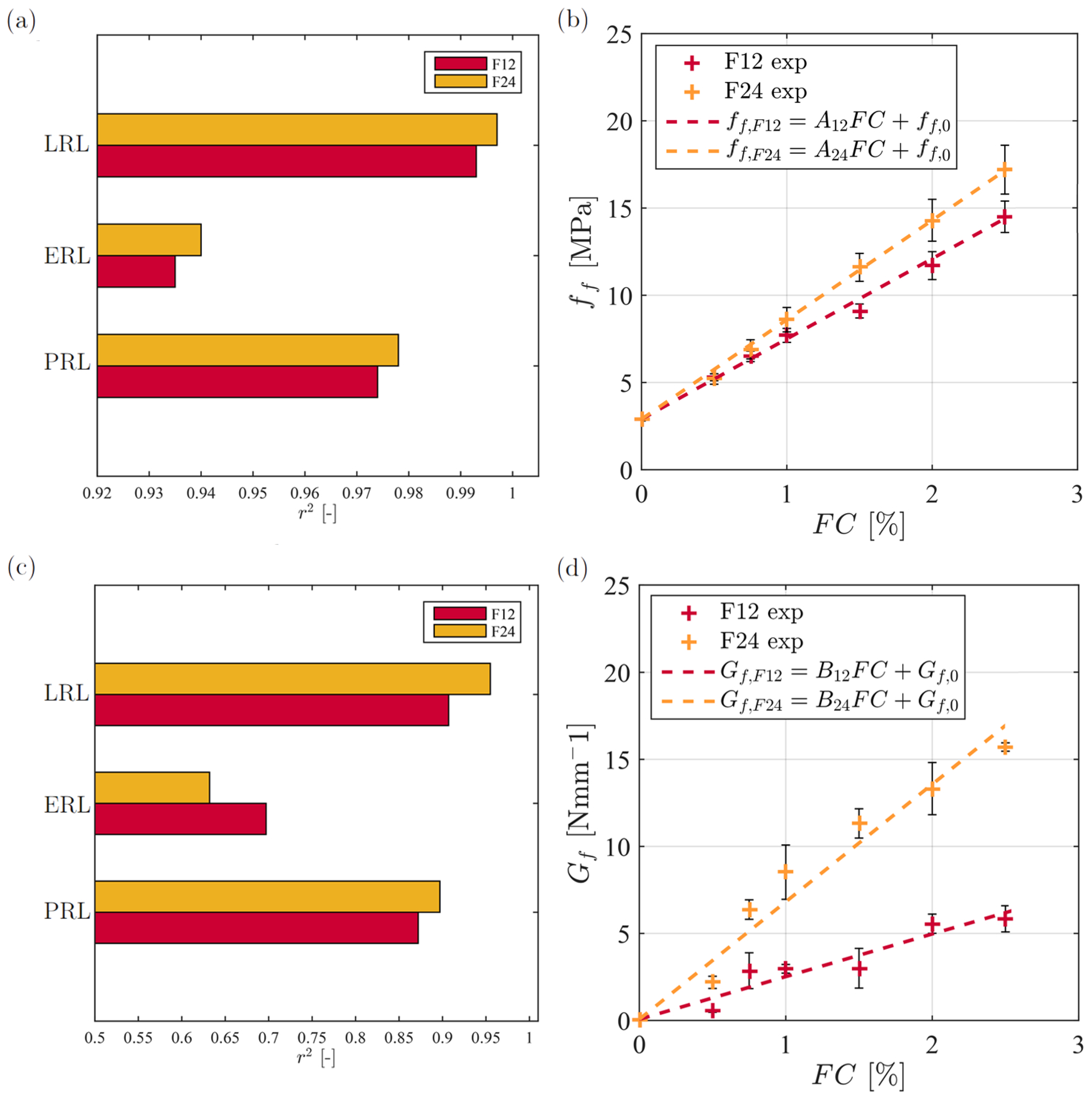
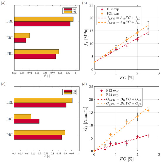
4.1. Bending and Post-Peak Behaviors
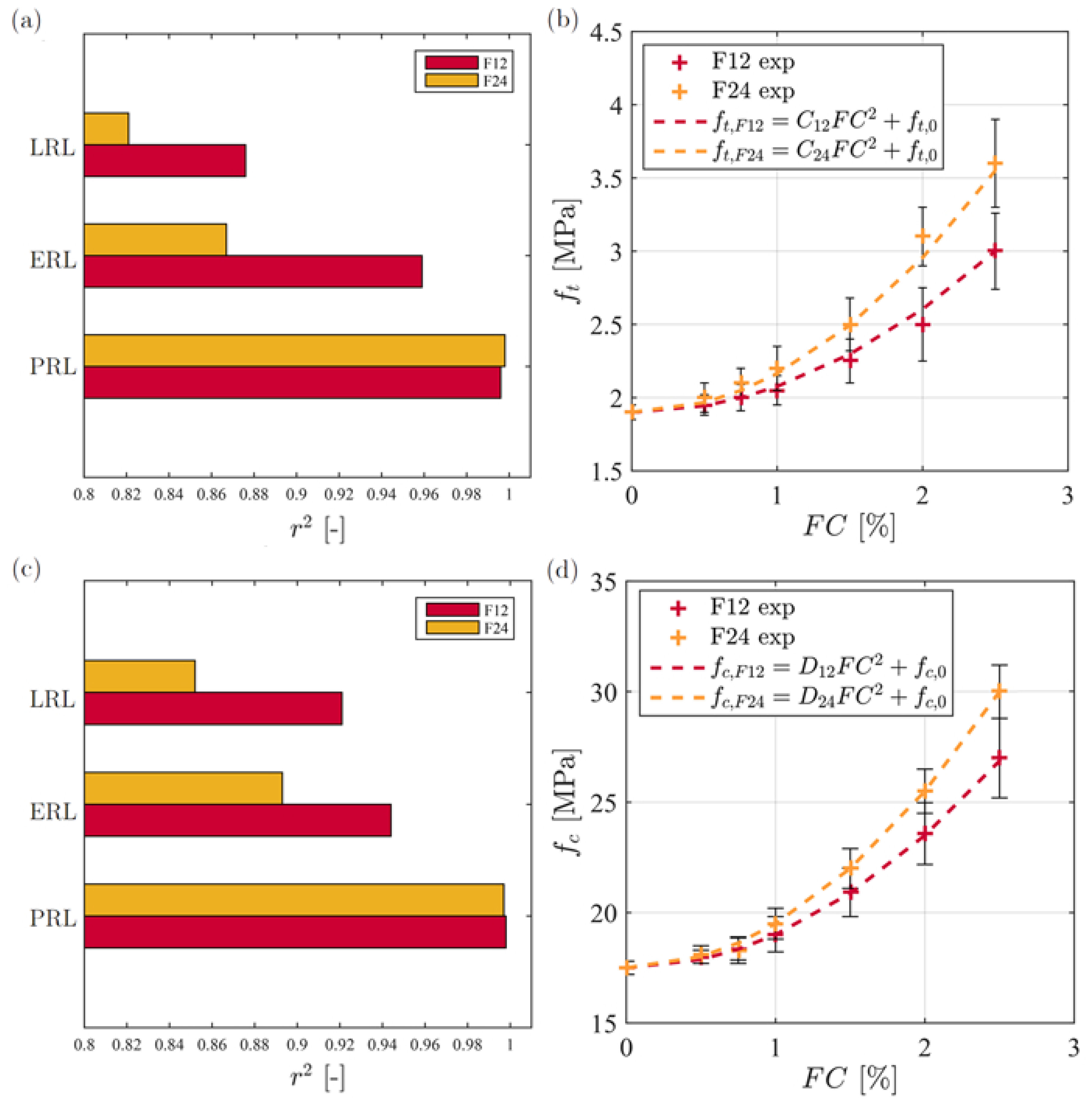
4.2. Tensile Behavior
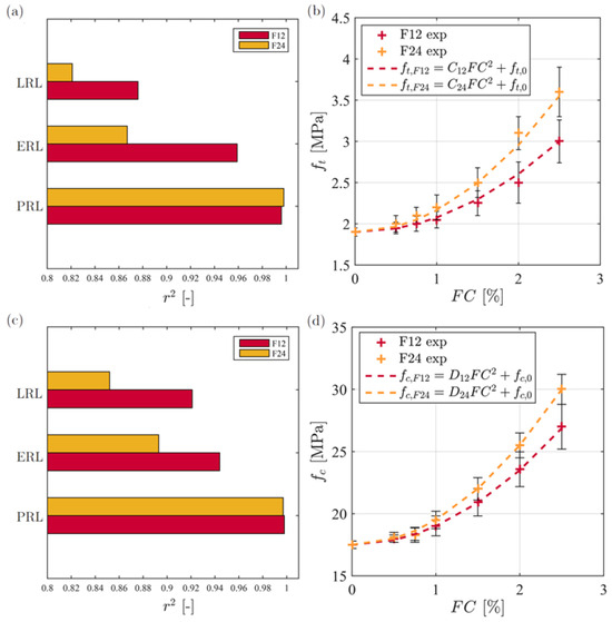
4.3. Compressive Behavior
5. Conclusions
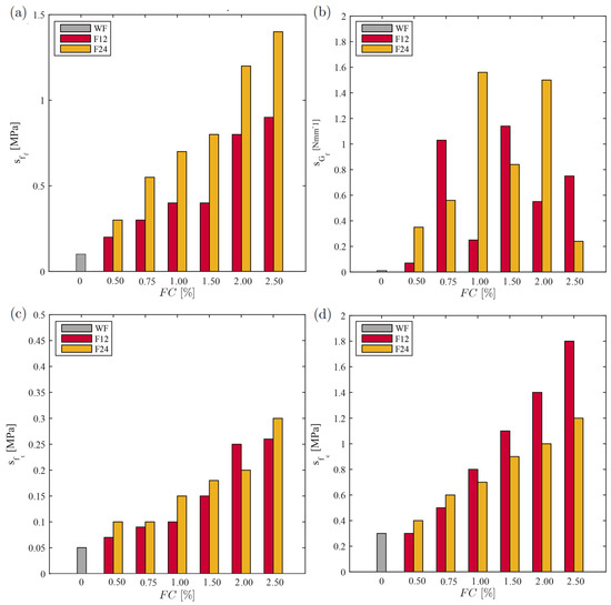
- The basalt fiber reinforced mortar shows a linear increase in its flexural strength while augmenting the content of fibers; this result is valid for both short length (SFL) and long length (LFL) basalt fibers. The flexural strength reaches an increase of 500% for SFL and 590% for LFL when compared to unreinforced prisms.
- The fracture energy linearly increases with increases in fiber content for both short and long fibers. If the fiber content is the maximum, the fracture energy enhances 600% for short fiber mortar and 1590% for long fiber mortar compared with unreinforced prisms.
- The tensile strength of the basalt prisms parabolically enhances while the content of fiber augments, and this increase is larger for high-length fibers than for low-length ones. In correspondence with the largest value of the content of fibers, the tensile strength grows 160% for SFL and 190% for LFL when compared with the unreinforced prisms.
- The basalt fiber reinforced mortar is characterized by a quadratic increase in its compressive strength while the content of fiber increases for both lengths of fiber. In correspondence with the largest value of the content of fibers, the compressive strength reaches an increase of 150% for SFL and 170% for LFL when compared with unreinforced prisms.
- The workability of the basalt-reinforced mortar is affected by both fiber length and fiber content; it always diminishes, as the content and length of fibers increases. As a consequence, considering a specific fiber content, the workability of the basalt conglomerate is always smaller for LFL prisms when compared with SFL ones.
Author Contributions
Funding
Data Availability Statement
Acknowledgments
Conflicts of Interest
References
- Asteris, P.G.; Chronopoulos, M.; Chrysostomou, C.; Varum, H.; Plevris, V.; Kyriakides, N.; Silva, V. Seismic vulnerability assessment of historical masonry structural systems. Eng. Struct. 2014, 62, 118–134. [Google Scholar] [CrossRef]
- Ferreira, T.M.; Costa, A.A.; Costa, A. Analysis of the out-of-plane seismic behavior of unreinforced masonry: A literature review. Int. J. Archit. Herit. 2015, 9, 949–972. [Google Scholar] [CrossRef]
- Chieffo, N.; Clementi, F.; Formisano, A.; Lenci, S. Comparative fragility methods for seismic assessment of masonry buildings located in Muccia (Italy). J. Build. Eng. 2019, 25, 100813. [Google Scholar] [CrossRef]
- D’altri, A.M.; Sarhosis, V.; Milani, G.; Rots, J.; Cattari, S.; Lagomarsino, S.; Sacco, E.; Tralli, A.; Castellazzi, G.; De Miranda, S. Modeling strategies for the computational analysis of unreinforced masonry structures: Review and classification. Arch. Comput. Methods Eng. 2020, 27, 1153–1185. [Google Scholar] [CrossRef]
- Lagomarsino, S.; Cattari, S.; Ottonelli, D. The heuristic vulnerability model: Fragility curves for masonry buildings. Bull. Earthq. Eng. 2021, 19, 3129–3163. [Google Scholar] [CrossRef]
- Gregori, A.; Mercuri, M.; Angiolilli, M.; Pathirage, M. Simulating defects in brick masonry panels subjected to compressive loads. Eng. Struct. 2022, 263, 114333. [Google Scholar] [CrossRef]
- Mercuri, M.; Pathirage, M.; Gregori, A.; Cusatis, G. Fracturing and collapse behavior of masonry vaulted structures: A lattice-discrete approach. Procedia Struct. Integr. 2023, 44, 1276–1283. [Google Scholar] [CrossRef]
- Mercuri, M.; Pathirage, M.; Gregori, A.; Cusatis, G. Influence of self-weight on size effect of quasi-brittle materials: Generalized analytical formulation and application to the failure of irregular masonry arches. Int. J. Fract. 2024, 246, 117–144. [Google Scholar] [CrossRef]
- Feilden, B.M.; Jokilehto, J. Management guidelines for world cultural heritage sites 1998. Hist. Cities Issues Urban Conserv. 2019, 8, 425. [Google Scholar]
- ICOMOS. Recommendations for the Analysis, Conservation and Structural Restoration of Architectural Heritage. Icomos International Scientific Committee for Analysis and Restoration of Structures of Architectural Heritage 22/5/2003. Available online: https://ancientgeorgia.wordpress.com/wp-content/uploads/2012/04/recommendations_icomos-principles-and-guidelines.pdf (accessed on 3 January 2025).
- ISO 13822; Bases for Design of Structures-Assessment of Existing Structures. CEN: Bruxelles, Brussels, 2005.
- Brandi, C. Teoria del Restauro; Edizioni di Storia e Letteratura: Rome, Italy, 1963; Available online: https://www.amazon.it/Teoria-del-restauro-Cesare-Brandi/dp/8806155652 (accessed on 9 January 2025).
- Maramotti, A.L. La Materia del Restauro; F. Angelli: Rome, Italy, 1990; Available online: https://www.francoangeli.it/Libro/La-materia-del-restauro?Id=1064 (accessed on 9 January 2025).
- D’Ayala, D. Conservation principles and performance based strengthening of heritage buildings in post-event reconstruction. In Perspectives on European Earthquake Engineering and Seismology; Springer: Cham, Switzerland, 2014; pp. 489–514. [Google Scholar]
- Vailati, M.; Gregori, A.; Mercuri, M.; Monti, G. A non-intrusive seismic retrofitting technique for masonry infills based on bed-joint sliding. J. Build. Eng. 2023, 69, 106208. [Google Scholar] [CrossRef]
- Vailati, M.; Mercuri, M.; Gregori, A. Out-of-plane non-intrusive seismic retrofitting of in-plane damaged masonry infill through 3D printed recycled plastic devices. Constr. Build. Mater. 2024, 438, 137256. [Google Scholar] [CrossRef]
- Gregori, A.; Castoro, C.; Mercuri, M.; Di Natale, A.; Di Giampaolo, E. Innovative Use of UHF-RFID Wireless Sensors for Monitoring Cultural Heritage Structures. Buildings 2024, 14, 1155. [Google Scholar] [CrossRef]
- dei Ministri, P.D.C. Valutazione e Riduzione del Rischio Sismico del Patrimonio Culturale con Riferimento alle Norme Tecniche per le Costruzioni di cui al decreto del Ministero delle Infrastrutture e dei Trasporti del 14 Gennaio 2008; Direttiva PCM: Rome, Italy, 2011; Volume 9. [Google Scholar]
- Gazzetta Ufficiale. Supplementary document: Official Supplementary Document No. 8. Available online: https://www.gazzettaufficiale.it/ (accessed on 9 January 2025).
- Italian Ministry of Infrastructure and Transport (Ministero delle Infrastrutture e dei Trasporti). Available online: https://www.gazzettaufficiale.it/ (accessed on 9 January 2025).
- Triantafillou, T.C. Strengthening of masonry structures using epoxy-bonded FRP laminates. J. Compos. Constr. 1998, 2, 96–104. [Google Scholar] [CrossRef]
- Valluzzi, M.R.; Tinazzi, D.; Modena, C. Shear behavior of masonry panels strengthened by FRP laminates. Constr. Build. Mater. 2002, 16, 409–416. [Google Scholar] [CrossRef]
- Tumialan, J.G.; Micelli, F.; Nanni, A. Strengthening of masonry structures with FRP composites. In Structures 2001: A Structural Engineering Odyssey; American Society of Civil Engineers: Reston, VA, USA, 2001; pp. 1–8. [Google Scholar]
- Carloni, C.; Subramaniam, K.V. FRP-masonry debonding: Numerical and experimental study of the role of mortar joints. J. Compos. Constr. 2012, 16, 581–589. [Google Scholar] [CrossRef]
- Foraboschi, P. Effectiveness of novel methods to increase the FRP-masonry bond capacity. Compos. Part B Eng. 2016, 107, 214–232. [Google Scholar] [CrossRef]
- Grande, E.; Milani, G.; Sacco, E. Modelling and analysis of FRP-strengthened masonry panels. Eng. Struct. 2008, 30, 1842–1860. [Google Scholar] [CrossRef]
- Marcari, G.; Manfredi, G.; Prota, A.; Pecce, M. In-plane shear performance of masonry panels strengthened with FRP. Compos. Part B Eng. 2007, 38, 887–901. [Google Scholar] [CrossRef]
- Kišiček, T.; Stepinac, M.; Renić, T.; Hafner, I.; Lulić, L. Strengthening of masonry walls with FRP or TRM. Građevinar 2020, 72, 937–953. [Google Scholar]
- D’Ambrisi, A.; Feo, L.; Focacci, F. Experimental and analytical investigation on bond between Carbon-FRCM materials and masonry. Compos. Part B Eng. 2013, 46, 15–20. [Google Scholar] [CrossRef]
- Carozzi, F.G.; Milani, G.; Poggi, C. Mechanical properties and numerical modeling of Fabric Reinforced Cementitious Matrix (FRCM) systems for strengthening of masonry structures. Compos. Struct. 2014, 107, 711–725. [Google Scholar] [CrossRef]
- Maddaloni, G.; Cascardi, A.; Balsamo, A.; Di Ludovico, M.; Micelli, F.; Aiello, M.A.; Prota, A. Confinement of full-scale masonry columns with FRCM systems. Key Eng. Mater. 2017, 747, 374–381. [Google Scholar] [CrossRef]
- Bellini, A.; Incerti, A.; Bovo, M.; Mazzotti, C. Effectiveness of FRCM reinforcement applied to masonry walls subject to axial force and out-of-plane loads evaluated by experimental and numerical studies. Int. J. Archit. Herit. 2018, 12, 376–394. [Google Scholar] [CrossRef]
- D’Ambra, C.; Lignola, G.P.; Prota, A. Simple method to evaluate FRCM strengthening effects on in-plane shear capacity of masonry walls. Constr. Build. Mater. 2021, 268, 121125. [Google Scholar] [CrossRef]
- Ferretti, F.; Mazzotti, C. FRCM/SRG strengthened masonry in diagonal compression: Experimental results and analytical approach proposal. Constr. Build. Mater. 2021, 283, 122766. [Google Scholar] [CrossRef]
- Castori, G.; Corradi, M.; Sperazini, E. Full size testing and detailed micro-modeling of the in-plane behavior of FRCM–reinforced masonry. Constr. Build. Mater. 2021, 299, 124276. [Google Scholar] [CrossRef]
- Cucuzza, R.; Domaneschi, M.; Camata, G.; Marano, G.C.; Formisano, A.; Brigante, D. FRCM retrofitting techniques for masonry walls: A literature review and some laboratory tests. Procedia Struct. Integr. 2023, 44, 2190–2197. [Google Scholar] [CrossRef]
- Rotunno, T.; Fagone, M.; Grande, E.; Milani, G. FRCM-to-masonry bonding behaviour in the case of curved surfaces: Experimental investigation. Compos. Struct. 2023, 313, 116913. [Google Scholar] [CrossRef]
- Castellano, A.; Fraddosio, A.; Oliveira, D.V.; Piccioni, M.D.; Ricci, E.; Sacco, E. An effective numerical modelling strategy for FRCM strengthened curved masonry structures. Eng. Struct. 2023, 274, 115116. [Google Scholar] [CrossRef]
- Napoli, A.; Realfonzo, R. Confinement of masonry with FRCM composites: Strength predictive models. Compos. Struct. 2024, 331, 117864. [Google Scholar] [CrossRef]
- Ascione, L.; Feo, L.; Fraternali, F. Load carrying capacity of 2D FRP/strengthened masonry structures. Compos. Part B Eng. 2005, 36, 619–626. [Google Scholar] [CrossRef]
- Valluzzi, M.R.; Valdemarca, M.; Modena, C. Behavior of brick masonry vaults strengthened by FRP laminates. J. Compos. Constr. 2001, 5, 163–169. [Google Scholar] [CrossRef]
- Banijamali, S.M.; Esfahani, M.R.; Nosratollahi, S.; Sohrabi, M.R.; Mousavi, S.R. Reviewing the FRP strengthening systems. Am. J. Civ. Eng. 2015, 3, 38–43. [Google Scholar] [CrossRef]
- Yun, Y.; Wu, Y.F.; Tang, W.C. Performance of FRP bonding systems under fatigue loading. Eng. Struct. 2008, 30, 3129–3140. [Google Scholar] [CrossRef]
- Incerti, A.; Santandrea, M.; Carloni, C.; Mazzotti, C. Destructive in situ tests on masonry arches strengthened with FRCM composite materials. Key Eng. Mater. 2017, 747, 567–573. [Google Scholar] [CrossRef]
- Padalu, P.; Singh, Y.; Das, S. Efficacy of basalt fibre reinforced cement mortar composite for out-of-plane strengthening of unreinforced masonry. Constr. Build. Mater. 2018, 191, 1172–1190. [Google Scholar] [CrossRef]
- Faella, C.; Martinelli, E.; Nigro, E.; Paciello, S. Shear capacity of masonry walls externally strengthened by a cement-based composite material: An experimental campaign. Constr. Build. Mater. 2010, 24, 84–93. [Google Scholar] [CrossRef]
- Alecci, V.; De Stefano, M.; Luciano, R.; Rovero, L.; Stipo, G. Experimental investigation on bond behavior of cement-matrix–based composites for strengthening of masonry structures. J. Compos. Constr. 2016, 20, 04015041. [Google Scholar] [CrossRef]
- Deng, M.; Yang, S. Cyclic testing of unreinforced masonry walls retrofitted with engineered cementitious composites. Constr. Build. Mater. 2018, 177, 395–408. [Google Scholar] [CrossRef]
- Briccoli Bati, S.; Rovero, L.; Tonietti, U. Strengthening masonry arches with composite materials. J. Compos. Constr. 2007, 11, 33–41. [Google Scholar] [CrossRef]
- Chellapandian, M.; Prakash, S.S. Applications of Fabric Reinforced Cementitious Mortar (FRCM) in Structural Strengthening. In Emerging Trends of Advanced Composite Materials in Structural Applications; Springer: Berlin/Heidelberg, Germany, 2021; pp. 201–233. [Google Scholar]
- Kal, K.W.; Lee, D.H.; Bang, Y.S.; Cho, H.C.; Kang, J.O.; Kim, K.S. The effectiveness of steel fibers as shear reinforcement. In Proceedings of the Korea Concrete Institute Conference; Korea Concrete Institute: Seoul, Republic of Korea, 2009; pp. 59–60. [Google Scholar]
- Maage, M. Interaction between steel fibers and cement based matrixes. Matériaux Constr. 1977, 10, 297–301. [Google Scholar] [CrossRef]
- Morgan, P. Carbon Fibers and Their Composites; CRC Press: Boca Raton, FL, USA, 2005. [Google Scholar]
- Faleschini, F.; Zanini, M.A.; Hofer, L.; Pellegrino, C. Experimental behavior of reinforced concrete columns confined with carbon-FRCM composites. Constr. Build. Mater. 2020, 243, 118296. [Google Scholar] [CrossRef]
- D’Antino, T.; Poggi, C. Stress redistribution in glass fibers of G-FRCM composites. Key Eng. Mater. 2019, 817, 520–527. [Google Scholar] [CrossRef]
- Žmindák, M.; Dudinskỳ, M. Computational modelling of composite materials reinforced by glass fibers. Procedia Eng. 2012, 48, 701–710. [Google Scholar] [CrossRef]
- Ochirbud, M.; Choi, D.; Naidanjav, U.; Ha, S.; Lee, C. Mechanical characterization of a FRCM system with aramid fiber fabric embedded in green high-strength cementitious matrix. J. Asian Concr. Fed. 2020, 6, 1–13. [Google Scholar] [CrossRef]
- Caggegi, C.; Carozzi, F.G.; De Santis, S.; Fabbrocino, F.; Focacci, F.; Hojdys, Ł.; Lanoye, E.; Zuccarino, L. Experimental analysis on tensile and bond properties of PBO and aramid fabric reinforced cementitious matrix for strengthening masonry structures. Compos. Part B Eng. 2017, 127, 175–195. [Google Scholar] [CrossRef]
- Mercuri, M.; Vailati, M.; Gregori, A. Lime-based mortar reinforced with randomly oriented polyvinyl-alcohol (PVA) fibers for strengthening historical masonry structures. Dev. Built Environ. 2023, 14, 100152. [Google Scholar] [CrossRef]
- de Carvalho Bello, C.B.; Boem, I.; Cecchi, A.; Gattesco, N.; Oliveira, D.V. Experimental tests for the characterization of sisal fiber reinforced cementitious matrix for strengthening masonry structures. Constr. Build. Mater. 2019, 219, 44–55. [Google Scholar] [CrossRef]
- Cristaldi, G.; Latteri, A.; Recca, G.; Cicala, G. Composites based on natural fibre fabrics. Woven Fabr. Eng. 2010, 17, 317–342. [Google Scholar]
- Ticoalu, A.; Aravinthan, T.; Cardona, F. A review of current development in natural fiber composites for structural and infrastructure applications. In Proceedings of the Southern Region Engineering Conference (SREC 2010), Toowoomba, Australia, 10–12 November 2010; pp. 113–117. [Google Scholar]
- Vailati, M.; Mercuri, M.; Angiolilli, M.; Gregori, A. Natural-fibrous lime-based mortar for the rapid retrofitting of heritage masonry buildings. Fibers 2021, 9, 68. [Google Scholar] [CrossRef]
- Kouris, L.A.S.; Triantafillou, T.C. State-of-the-art on strengthening of masonry structures with textile reinforced mortar (TRM). Constr. Build. Mater. 2018, 188, 1221–1233. [Google Scholar] [CrossRef]
- Rossi-Doria, P.R. Mortars for restoration: Basic requirements and quality control. Mater. Constr. 1986, 19, 445–448. [Google Scholar] [CrossRef]
- Moropoulou, A.; Bakolas, A.; Bisbikou, K. Investigation of the technology of historic mortars. J. Cult. Herit. 2000, 1, 45–58. [Google Scholar] [CrossRef]
- Moropoulou, A.; Cakmak, A.; Biscontin, G.; Bakolas, A.; Zendri, E. Advanced Byzantine cement based composites resisting earthquake stresses: The crushed brick/lime mortars of Justinian’s Hagia Sophia. Constr. Build. Mater. 2002, 16, 543–552. [Google Scholar] [CrossRef]
- Lanas, J.; Alvarez-Galindo, J.I. Masonry repair lime-based mortars: Factors affecting the mechanical behavior. Cem. Concr. Res. 2003, 33, 1867–1876. [Google Scholar] [CrossRef]
- Lanas, J.; Bernal, J.P.; Bello, M.; Galindo, J.A. Mechanical properties of natural hydraulic lime-based mortars. Cem. Concr. Res. 2004, 34, 2191–2201. [Google Scholar] [CrossRef]
- Eurocode 6: Design of Masonry Structures—Part 1-1: General Rules for Reinforced and Unreinforced Masonry Structures. Comité Européen de Normalisation: Brussels, Belgium, 2005.
- Monaldo, E.; Nerilli, F.; Vairo, G. Basalt-based fiber-reinforced materials and structural applications in civil engineering. Compos. Struct. 2019, 214, 246–263. [Google Scholar] [CrossRef]
- Dhand, V.; Mittal, G.; Rhee, K.Y.; Park, S.J.; Hui, D. A short review on basalt fiber reinforced polymer composites. Compos. Part B Eng. 2015, 73, 166–180. [Google Scholar] [CrossRef]
- Khandelwal, S.; Rhee, K.Y. Recent advances in basalt-fiber-reinforced composites: Tailoring the fiber-matrix interface. Compos. Part B Eng. 2020, 192, 108011. [Google Scholar] [CrossRef]
- Afroz, M.; Patnaikuni, I.; Venkatesan, S. Chemical durability and performance of modified basalt fiber in concrete medium. Constr. Build. Mater. 2017, 154, 191–203. [Google Scholar] [CrossRef]
- Qin, J.; Qian, J.; Li, Z.; You, C.; Dai, X.; Yue, Y.; Fan, Y. Mechanical properties of basalt fiber reinforced magnesium phosphate cement composites. Constr. Build. Mater. 2018, 188, 946–955. [Google Scholar] [CrossRef]
- Pehlivan, A.O. Investigation of fracture parameters of concrete incorporating basalt fibers. Rev. Română De Mater. J. Mater. 2021, 51, 247–255. [Google Scholar]
- Wang, Y.; Kang, A.H.; Wu, Z.G.; Xiao, P.; Gong, Y.F.; Sun, H.F. Investigation of the basalt fiber type and content on performances of cement mortar and concrete. Constr. Build. Mater. 2023, 408, 133720. [Google Scholar] [CrossRef]
- Li, Z.; Guo, T.; Chen, Y.; Fang, C.; Chang, Y.; Nie, J. Influence of basalt fiber and polypropylene fiber on the mechanical and durability properties of cement-based composite materials. J. Build. Eng. 2024, 90, 109335. [Google Scholar] [CrossRef]
- Jiang, C.; Fan, K.; Wu, F.; Chen, D. Experimental study on the mechanical properties and microstructure of chopped basalt fibre reinforced concrete. Mater. Des. 2014, 58, 187–193. [Google Scholar] [CrossRef]
- Wang, X.; He, J.; Mosallam, A.S.; Li, C.; Xin, H. The effects of fiber length and volume on material properties and crack resistance of basalt fiber reinforced concrete (BFRC). Adv. Mater. Sci. Eng. 2019, 2019, 7520549. [Google Scholar] [CrossRef]
- High, C.; Seliem, H.M.; El-Safty, A.; Rizkalla, S.H. Use of basalt fibers for concrete structures. Constr. Build. Mater. 2015, 96, 37–46. [Google Scholar] [CrossRef]
- Elshafie, S.; Whittleston, G. A review of the effect of basalt fibre lengths and proportions on the mechanical properties of concrete. Int. J. Res. Eng. Technol. 2015, 4, 458–465. [Google Scholar]
- Ralegaonkar, R.; Gavali, H.; Aswath, P.; Abolmaali, S. Application of chopped basalt fibers in reinforced mortar: A review. Constr. Build. Mater. 2018, 164, 589–602. [Google Scholar] [CrossRef]
- Jiang, C.H.; McCarthy, T.J.; Chen, D.; Dong, Q. Influence of basalt fiber on performance of cement mortar. Key Eng. Mater. 2010, 426, 93–96. [Google Scholar] [CrossRef]
- Chen, H.; Xie, C.; Fu, C.; Liu, J.; Wei, X.; Wu, D. Orthogonal Analysis on Mechanical Properties of Basalt–Polypropylene Fiber Mortar. Materials 2020, 13, 2937. [Google Scholar] [CrossRef] [PubMed]
- Arandigoyen, M.; Alvarez, J. Pore structure and mechanical properties of cement–lime mortars. Cem. Concr. Res. 2007, 37, 767–775. [Google Scholar] [CrossRef]
- UNI EN 1015-11: 2019; Methods of Test for Mortar for Masonry—Part 11: Determination of Flexural and Compressive Strength of Hardened Mortar. UNI—Ente Italiano di Normazione: Milano, Italy, 2019.
- ASTM C1437-07; Standard Test Method for Flow of Hydraulic Cement Mortar. Annual Book of ASTM Standards. ASTM: West Conshohocken, PA, USA, 2007.
- RILEM Technical Committee. Determination of the fracture energy of mortar and concrete by means of three-point bend tests on notched beams. Mater. Struct. 1985, 18, 285–290. [Google Scholar] [CrossRef]
- Shah, S.P. Size-effect method for determining fracture energy and process zone size of concrete. Mater. Struct. 1990, 23, 461–465. [Google Scholar] [CrossRef]
- Bažant, Z.P. Fracture and Size Effect in Concrete and Other Quasibrittle materials; Routledge: London, UK, 2019. [Google Scholar]
- Griffith, A.A., VI. The phenomena of rupture and flow in solids. Philos. Trans. R. Soc. Lond. Ser. A Contain. Pap. A Math. Phys. Character 1921, 221, 163–198. [Google Scholar]
- Bakeer, T. Collapse Analysis of Masonry Structures Under Earthquake Actions; Lehrstuhl Tragwerksplanung: Dresden, Germany, 2009; Volume 8, Available online: https://www.academia.edu/47724637/Collapse_Analysis_of_Masonry_Structures_under_Earthquake_Actions (accessed on 9 January 2025).
- Vailati, M.; Mercuri, M.; Gregori, A. One-head masonry panels reinforced with industrial-waste fiber reinforced mortar: Investigating the effect of bed joints and coating reinforcement in the diagonal compressive behavior. Structures 2024, 63, 106474. [Google Scholar] [CrossRef]
- Mercuri, M.; Vailati, M.; Gregori, A. Two-heads brick masonry walls strengthened by basalt and glass chopped fiber mortar: Effect of bed joints and coating reinforcements. Structures 2024, 64, 106530. [Google Scholar] [CrossRef]
- Mercuri, M.; Pathirage, M.; Gregori, A.; Cusatis, G. Computational modeling of the out-of-plane behavior of unreinforced irregular masonry. Eng. Struct. 2020, 223, 111181. [Google Scholar] [CrossRef]
- Mercuri, M.; Pathirage, M.; Gregori, A.; Cusatis, G. On the collapse of the masonry Medici tower: An integrated discrete-analytical approach. Eng. Struct. 2021, 246, 113046. [Google Scholar] [CrossRef]
- Mercuri, M.; Pathirage, M.; Gregori, A.; Cusatis, G. Masonry vaulted structures under spreading supports: Analyses of fracturing behavior and size effect. J. Build. Eng. 2022, 45, 103396. [Google Scholar] [CrossRef]
- Fox, J. Applied Regression Analysis and Generalized Linear Models; Sage Publications: Thousand Oaks, CA, USA, 2015. [Google Scholar]
- Duchesne, P.; Rémillard, B. Statistical Modeling and Analysis for Complex Data Problems; Springer Science & Business Media: Berlin, Germany, 2005; Volume 1. [Google Scholar]












| Nomenclature | [mm] | [mm] | [mm] | [kg/m3] | [MPa] | [MPa] | [%] |
|---|---|---|---|---|---|---|---|
| F12 | 12 | 0.014 | 0.030 | 2700 | 78,000 | 1800 | 4.2 |
| F24 | 24 | 0.014 | 0.030 | 2700 | 78,000 | 1800 | 4.2 |
| Category | Component | % [-] |
|---|---|---|
| Binders 1 | Lime | 70 |
| Portland Cement | 30 | |
| Aggregates 2 | Sand | 65 |
| Additives 2 | Fluidizer | 0.2 |
| Resin | 0.1 | |
| - | Water | 80 1, 20 2 |
Disclaimer/Publisher’s Note: The statements, opinions and data contained in all publications are solely those of the individual author(s) and contributor(s) and not of MDPI and/or the editor(s). MDPI and/or the editor(s) disclaim responsibility for any injury to people or property resulting from any ideas, methods, instructions or products referred to in the content. |
© 2025 by the authors. Licensee MDPI, Basel, Switzerland. This article is an open access article distributed under the terms and conditions of the Creative Commons Attribution (CC BY) license (https://creativecommons.org/licenses/by/4.0/).
Share and Cite
Mercuri, M.; Vailati, M.; Gregori, A. Chopped Basalt Fibers Reinforced Mortar for Strengthening the Architectural Heritage. Fibers 2025, 13, 20. https://doi.org/10.3390/fib13020020
Mercuri M, Vailati M, Gregori A. Chopped Basalt Fibers Reinforced Mortar for Strengthening the Architectural Heritage. Fibers. 2025; 13(2):20. https://doi.org/10.3390/fib13020020
Chicago/Turabian StyleMercuri, Micaela, Marco Vailati, and Amedeo Gregori. 2025. "Chopped Basalt Fibers Reinforced Mortar for Strengthening the Architectural Heritage" Fibers 13, no. 2: 20. https://doi.org/10.3390/fib13020020
APA StyleMercuri, M., Vailati, M., & Gregori, A. (2025). Chopped Basalt Fibers Reinforced Mortar for Strengthening the Architectural Heritage. Fibers, 13(2), 20. https://doi.org/10.3390/fib13020020

