Fatty Acid-Derived Ionic Liquid Lubricant. Protic Ionic Liquid Crystals as Protic Ionic Liquid Additives
Abstract
1. Introduction
2. Materials and Methods
3. Results and Discussion
4. Conclusions
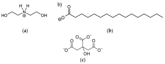
- A lubricant film formed by an ammonium citrate protic ionic liquid modified by the addition of 1 weight percent of protic ammonium palmitate ionic liquid crystal has been successfully deposited on stainless steel surface. Pure ionic liquids cannot form spin coated lubricant films due to the low viscosity of the citrate species and the high melting point of the palmitate one.
- The lubricating performance of the new mixed lubricating film is superior to that previously described for the ammonium citrate lubricant film obtained on stainless steel by water evaporation, and to that obtained when the same proportion of the palmitate protic ionic liquid crystal is used as additive in water.
- The lower friction coefficient and wear rate obtained for the new combination of ionic liquids are achieved in the absence of tribocorrosion or formation of reactive tribolayers. The proposed lubrication mechanism consists in the adsorption of the carboxylate anions, the stabilisation of the ordered layer by stronger hydrogen bonds than those present in the neat ionic liquids and the separation of the sliding surface by the long alkyl chains present in the palmitate moiety. This could be attributed to the ability of DPA molecules to form micellar and bilayer ordered structures, which would also interact with DCi molecules.
Author Contributions
Funding
Conflicts of Interest
References
- Tadokoro, C.; Araya, S.; Okubo, H.; Nakano, K.; Sasaki, S. Polarization observation of adsorption behaviour of fatty acids using optical anisotropy of liquid crystal. Tribol. Lett. 2016, 64, 30. [Google Scholar] [CrossRef]
- Gusain, R.; Khatri, O.P. Fatty acid ionic liquids as environmentally friendly lubricants for low friction and wear. RSC Adv. 2016, 6, 3462–3469. [Google Scholar] [CrossRef]
- Lu, R.; Mori, S.; Tani, H.; Tagawa, N.; Koganezawa, S. Low friction properties of associated carboxylic acids induced by molecular orientation. Tribol. Int. 2017, 113, 36–42. [Google Scholar] [CrossRef]
- Okubo, H.; Sasaki, S. Frequency-modulation atomic force microscopic observation for ultralow frictional solid-liquid interface of diamond-like carbon in an environmentally friendly oil. Tribol. Lett. 2019, 67, 3. [Google Scholar] [CrossRef]
- Kuwahara, T.; Romero, P.A.; Makowski, S.; Weihnacht, V.; Moras, G.; Moseler, M. Mechano-chemical decomposition of organic friction modifiers with multiple reactive centres induces superlubricity of ta-C. Nat. Commun. 2019, 10, 151. [Google Scholar] [CrossRef]
- Simic, R.; Kalin, M.; Kovac, J.; Jaksa, G. Adsorption of alcohols and fatty acids onto hydrogenated (a-C:H) DLC coatings. Appl. Surf. Sci. 2016, 363, 466–476. [Google Scholar] [CrossRef]
- Zhao, H.J.; Cao, L.; Wan, Y.; Yang, S.Y.; Gao, J.G.; Pu, J.B. Enhanced lubricity of zinc phosphate coating by stearic acid. Lubr. Sci. 2018, 30, 331–337. [Google Scholar] [CrossRef]
- Zhao, H.J.; Cao, L.; Wan, Y.; Yang, S.Y.; Gao, J.G.; Pu, J.B. Improving wear resistance of aluminum by hydrophobic sol-gel-derived TiO2 film. Ind. Lubr. Tribol. 2018, 70, 1408–1413. [Google Scholar] [CrossRef]
- Hill, D.; Holliman, P.J.; McGettrick, J.; Searle, J.R.; Appelman, M.; Chatterjee, P.; Watson, T.M.; Worsley, D.R. Studies of inherent lubricity coatings for low surface roughness galvanised steel for automotive applications. Lubr. Sci. 2017, 5, 317–333. [Google Scholar] [CrossRef]
- Hirayama, T.; Kawamura, R.; Fujino, K.; Matsuoka, T.; Komiya, H.; Onishi, H. Cross-sectional imaging of boundary lubrication layer formed by fatty acid by means of frequency-modulation atomic force microscopy. Langmuir 2017, 33, 10492–10500. [Google Scholar] [CrossRef]
- Fan, M.J.; Ma, L.; Zhang, C.Y.; Wang, Z.J.; Ruan, J.C.; Han, M.; Ren, Y.Y.; Zhang, C.; Yang, D.S.; Zhou, F.; et al. Biobased green lubricants: Physicochemical, tribological and toxicological properties of fatty acid ionic liquids. Tribol. Trans. 2018, 61, 195–206. [Google Scholar] [CrossRef]
- Blanco, D.; Rivera, N.; Oulego, P.; Díaz, M.; González, R.; Hernández-Battez, A. Novel fatty acid anion-based ionic liquids: Contact angle, surface tension, polarity fraction and spreading parameter. J. Mol. Liq. 2019, 288, 110995. [Google Scholar] [CrossRef]
- Hernández Battez, A.; Rivera, N.; Blanco, D.; Oulego, P.; Viesca, J.L.; González, R. Physicochemical, traction and tribofilm formation properties of three octanoate-, laurate- and palmitate-anion based ionic liquids. J. Mol. Liq. 2019, 284, 639–646. [Google Scholar] [CrossRef]
- Khatri, P.K.; Aathira, M.S.; Thakre, G.D.; Jain, S.L. Synthesis and tribological behavior of fatty acid constituted tetra methyl guanidinium (TMG) ionic liquids for a steel/steel contact. Mater. Sci. Eng. C 2018, 91, 208–217. [Google Scholar] [CrossRef]
- Li, H.; Cooper, P.; Somers, A.; Rutland, M.; Howlett, P.; Atkin, R. Titania Lubrication Using Oil-Ionic Liquid Mixtures. In Proceedings of the 255th National Meeting and Exposition of the ACS, New Orleans, LA, USA, 18–22 March 2018; Volume 255, p. 425. [Google Scholar]
- Morales, W.; Street, K.W.; Koch, V.R.; Richard, R.M. Evaluation of Vapour Pressure and Ultra-High Vacuum Tribological Properties of Ionic Liquids (2) Mixtures and Additives. In Proceedings of the STLE/ASME 2008 International Joint Tribology Conference, Miami, FL, USA, 20–22 October 2008; pp. 201–203. [Google Scholar]
- Zheng, D.; Zhao, Q.; Ju, Q.; Wang, X. The interaction of two anticorrosive ionic liquid additives on the friction properties of water lubricants. Tribol. Int. 2020, 141, 105948. [Google Scholar] [CrossRef]
- Otero, I.; Lepre, L.F.; Dequidt, A.; Husson, P.; Gomes, M.F.C. How Does the addition of a third ion affect the molecular interactions and the thermodynamic properties of acetate-based ionic liquids? J. Phys. Chem. B 2017, 121, 9725–9736. [Google Scholar] [CrossRef]
- Smith, J.A.; Webber, G.B.; Warr, G.G.; Atkin, R. Rheology of protic ionic liquids and their mixtures. J. Phys. Chem. B 2013, 117, 13930–13935. [Google Scholar] [CrossRef]
- Toledo, A.A.C.; Maximo, G.J.; Cunha, R.L.; Fonseca, H.S.; Cardoso, L.P.; Pereira, J.F.B.; Costa, M.C.; Batista, E.A.C.; Meirelles, A.J.A. Phase equilibrium and physical properties of biobased ionic liquid mixtures. Phys. Chem. Chem. Phys. 2018, 20, 6469–6479. [Google Scholar] [CrossRef]
- Ye, C.F.; Liu, W.M.; Chen, Y.X.; Yu, L.G. Room-temperature ionic liquids: A novel versatile lubricant. Chem. Commun. 2001, 2244–2245. [Google Scholar] [CrossRef]
- Jordan, A.; Gathergood, N. Biodegradation of ionic liquids—A critical review. Chem. Soc. Rev. 2015, 44, 8200–8237. [Google Scholar] [CrossRef]
- Avilés, M.D.; Sánchez, C.; Pamies, R.; Sanes, J.; Bermúdez, M.D. Ionic liquid crystals in tribology. Lubricants 2019, 7, 72. [Google Scholar] [CrossRef]
- Toledo Hijo, A.A.C.; Maximo, G.J.; Costa, M.C.; Cunha, R.L.; Pereira, J.F.B.; Kurnia, K.A.; Batista, E.A.C.; Meirelles, A.J.A. Phase behaviour and physical properties of new biobased ionic liquid crystals. J. Phys. Chem. B 2017, 121, 3177–3189. [Google Scholar] [CrossRef] [PubMed]
- Santos, D.; Costa, F.; Franceschi, E.; Santos, A.; Dariva, C.; Mattedi, S. Synthesis and physico-chemical properties of two protic ionic liquids based on stearate anion. Fluid Phase Equilibria 2014, 376, 132–140. [Google Scholar] [CrossRef]
- Álvarez, S.; Mattedi, M.; Martín-Pastor, M.; Aznar, M.; Iglesias, M. Synthesis and thermophysical properties of two new protic long-chain ionic liquids with the oleate anion. Fluid Phase Equilibria 2010, 299, 354–366. [Google Scholar] [CrossRef]
- Shi, Y.; Larsson, R. Non-corrosive and biomaterials protic ionic liquids with high lubricating performance. Tribol. Lett. 2016, 63, 1. [Google Scholar] [CrossRef]
- Avilés, M.D.; Carrión, F.J.; Sanes, J.; Bermúdez, M.D. Effects of protic ionic liquid crystal additives on the water lubricated sliding wear and friction of sapphire against stainless steel. Wear 2018, 408, 56–64. [Google Scholar] [CrossRef]
- Carrión, F.J.; Avilés, M.D.; Nakano, K.; Tadokoro, C.; Nagamine, T.; Bermúdez, M.D. Diprotic ammonium palmitate ionic liquid crystal and nanodiamonds in aqueous lubrication. Film thickness and influence of sliding speed. Wear 2019, 418, 241–252. [Google Scholar] [CrossRef]
- Tadokoro, C.; Araya, S.; Watanabe, M.; Okubo, H.; Nakano, K.; Sasaki, S. Synergy of two fatty acids as additives on lubricity of a nematic liquid crystal 5CB. Lubr. Sci. 2018, 30, 83–90. [Google Scholar] [CrossRef]
- Saurín, N.; Avilés, M.D.; Espinosa, T.; Sanes, J.; Carrión, F.J.; Bermúdez, M.D.; Iglesias, P. Carbon nanophases in ordered nanofluid lubricants. Wear 2017, 376, 747–755. [Google Scholar] [CrossRef]
- Avilés, M.D.; Saurín, N.; Espinosa, T.; Sanes, J.; Arias-Pardilla, J.; Carrion, F.J.; Bermúdez, M.D. Self-lubricating, wear resistant protic ionic liquid-epoxy resin. Express Polym. Lett. 2017, 11, 219–229. [Google Scholar] [CrossRef]
- Andrade, R.S.; Torres, D.; Ribeiro, F.R.; Chiari-Andreo, B.G.; Oshiro, J.A., Jr.; Iglesias, M. Sustainable cotton-dying in non-aqueous medium applying protic ionic liquids. ACS Sustain. Chem. Eng. 2017, 5, 8756–8765. [Google Scholar] [CrossRef]








© 2019 by the authors. Licensee MDPI, Basel, Switzerland. This article is an open access article distributed under the terms and conditions of the Creative Commons Attribution (CC BY) license (http://creativecommons.org/licenses/by/4.0/).
Share and Cite
Avilés, M.-D.; Pamies, R.; Sanes, J.; Carrión, F.-J.; Bermúdez, M.-D. Fatty Acid-Derived Ionic Liquid Lubricant. Protic Ionic Liquid Crystals as Protic Ionic Liquid Additives. Coatings 2019, 9, 710. https://doi.org/10.3390/coatings9110710
Avilés M-D, Pamies R, Sanes J, Carrión F-J, Bermúdez M-D. Fatty Acid-Derived Ionic Liquid Lubricant. Protic Ionic Liquid Crystals as Protic Ionic Liquid Additives. Coatings. 2019; 9(11):710. https://doi.org/10.3390/coatings9110710
Chicago/Turabian StyleAvilés, María-Dolores, Ramón Pamies, José Sanes, Francisco-José Carrión, and María-Dolores Bermúdez. 2019. "Fatty Acid-Derived Ionic Liquid Lubricant. Protic Ionic Liquid Crystals as Protic Ionic Liquid Additives" Coatings 9, no. 11: 710. https://doi.org/10.3390/coatings9110710
APA StyleAvilés, M.-D., Pamies, R., Sanes, J., Carrión, F.-J., & Bermúdez, M.-D. (2019). Fatty Acid-Derived Ionic Liquid Lubricant. Protic Ionic Liquid Crystals as Protic Ionic Liquid Additives. Coatings, 9(11), 710. https://doi.org/10.3390/coatings9110710

