Corrosion Resistance of Anodic Layers Grown on 304L Stainless Steel at Different Anodizing Times and Stirring Speeds
Abstract
1. Introduction
2. Materials and Methods
3. Results and Discussion
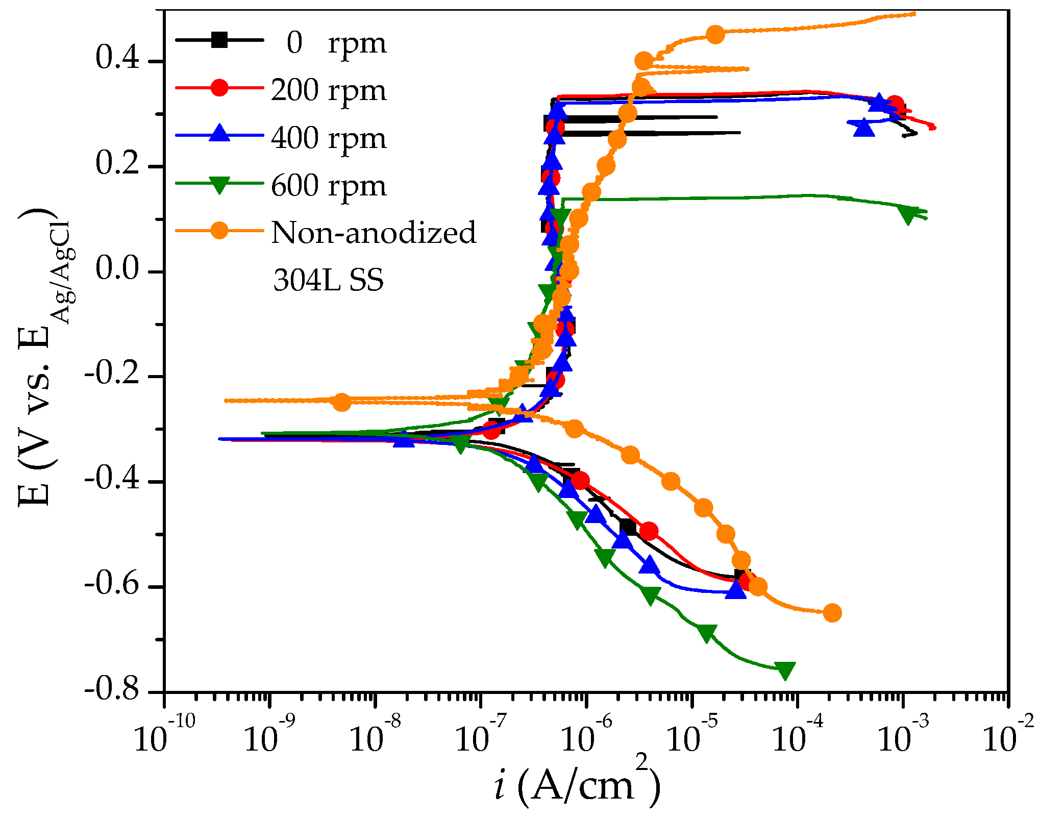
3.1. Influence of Stirring Speed on the Growth of Anodic Layers
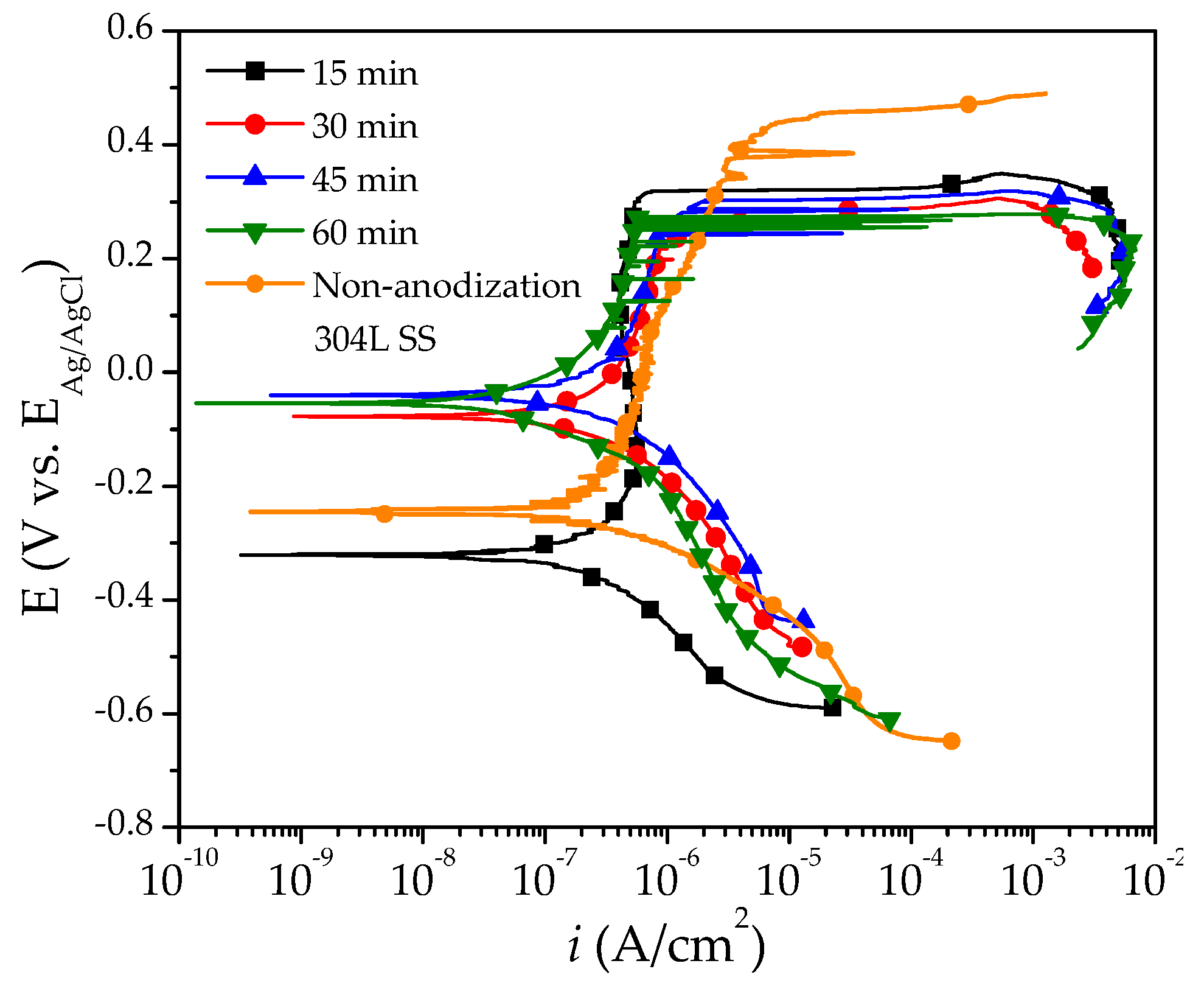
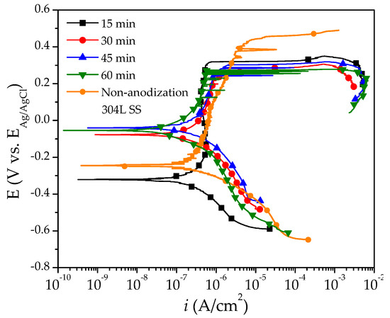
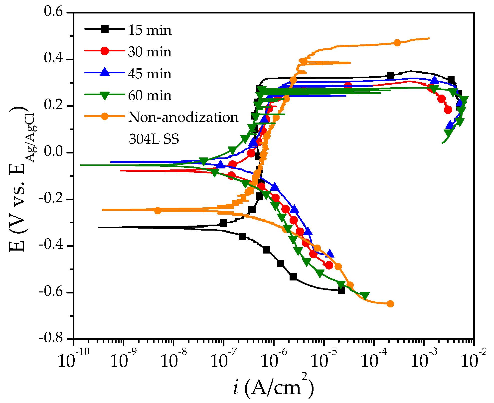
3.2. Influence of Anodizing Time on the Growth of Anodic Layers
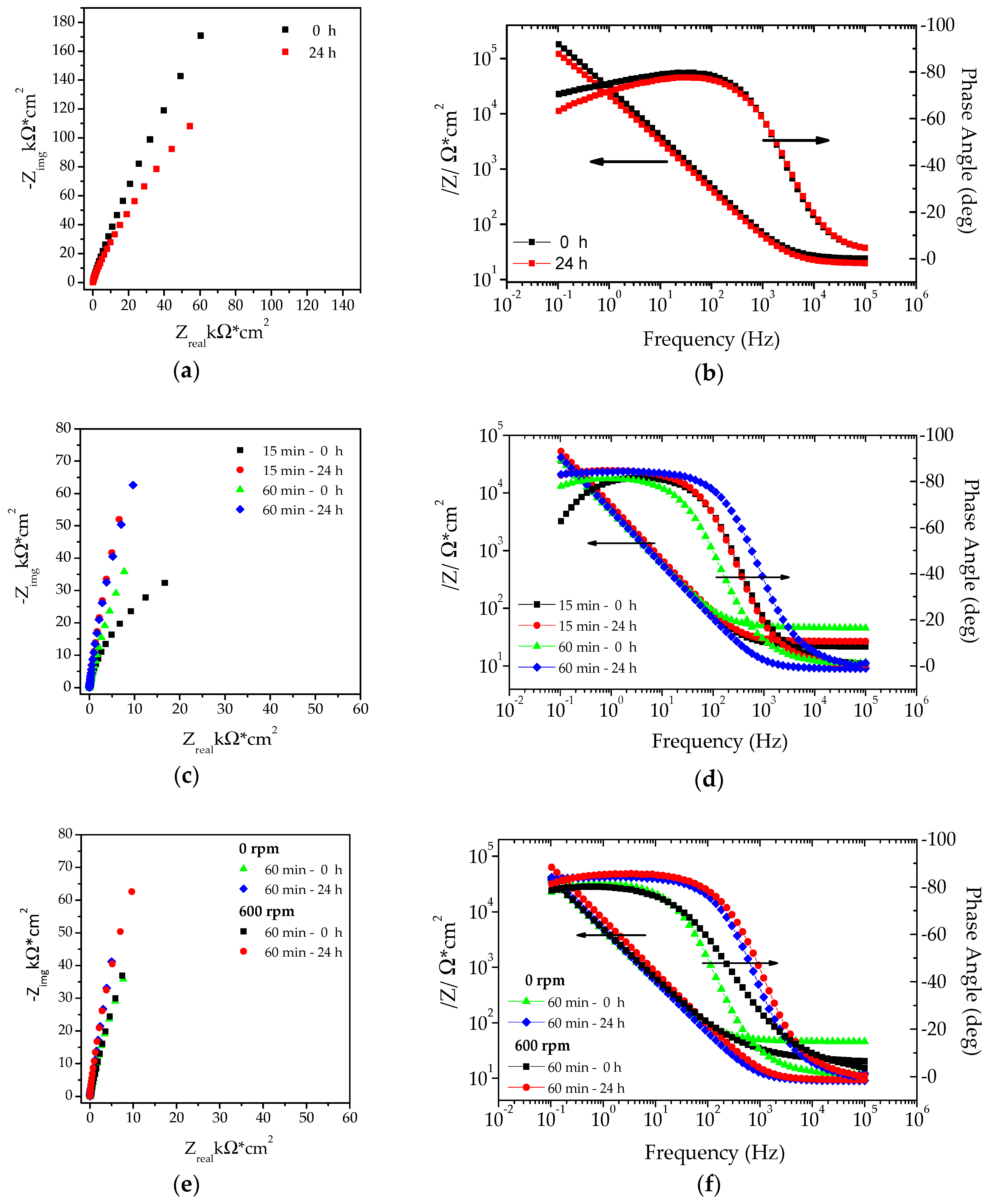
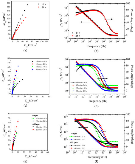
3.3. Electrochemical Spectroscopy Impedance
4. Conclusions
Author Contributions
Funding
Conflicts of Interest
References
- Jiang, L.; Syed, J.A.; Gao, Y.; Lu, H.; Meng, X. Electrodeposition of Ni (OH)2 reinforced polyaniline coating for corrosion protection of 304 stainless steel. Appl. Surf. Sci. 2018, 440, 1011–1021. [Google Scholar] [CrossRef]
- Cano, E.; Martínez, L.; Simancas, J.; Pérez-Trujillo, F.J.; Gómez, C.; Bastidas, J.M. Influence of N, Ar and Si ion implantation on the passive layer and corrosion behaviour of AISI 304 and 430 stainless steels. Surf. Coat. Technol. 2006, 200, 5123–5131. [Google Scholar] [CrossRef]
- Dadfar, M.; Salehi, M.; Golozar, M.A.; Trasatti, S.; Casaletto, M.P. Surface and corrosion properties of modified passive layer on 304 stainless steel as bipolar plates for PEMFCs. Int. J. Hydrog. Energy 2017, 42, 25869–25876. [Google Scholar] [CrossRef]
- García-Rodríguez, S.; López, A.J.; Torres, B.; Rams, J. 316L stainless steel coatings on ZE41 magnesium alloy using HVOF thermal spray for corrosion protection. Surf. Coat. Technol. 2016, 287, 9–19. [Google Scholar] [CrossRef]
- Habibi, M.; Javadi, S.; Ghoranneviss, M. Investigation on the structural properties and corrosion inhibition of W coatings on stainless steel AISI 304 using PF device. Surf. Coat. Technol. 2014, 254, 112–120. [Google Scholar] [CrossRef]
- Awad, A.M.; Ghazy, E.A.; Abo El-Enin, S.A.; Mahmoud, M.G. Electropolishing of AISI-304 stainless steel for protection against SRB biofilm. Surf. Coat. Technol. 2012, 206, 3165–3172. [Google Scholar] [CrossRef]
- Keller, F.; Hunter, M.S.; Robinson, D.L. Structural features of oxide coatings on aluminum. J. Electrochem. Soc. 1953, 100, 411–419. [Google Scholar] [CrossRef]
- Lee, W.; Park, S.J. Porous anodic aluminum oxide: Anodization and templated synthesis of functional nanostructures. Chem. Rev. 2014, 114, 7487–7556. [Google Scholar] [CrossRef]
- Blawert, C.; Dietzel, W.; Ghali, E.; Song, G. Anodizing treatments for magnesium alloys and their effect on corrosion resistance in various environments. Adv. Eng. Mater. 2006, 8, 511–533. [Google Scholar] [CrossRef]
- Pandey, B.; Thapa, P.S.; Higgins, D.A.; Ito, T. Formation of self-organized nanoporous anodic oxide from metallic gallium. Langmuir 2012, 28, 13705–13711. [Google Scholar] [CrossRef]
- Lee, C.Y.; Lee, K.; Schmuki, P. Anodic formation of self-organized cobalt oxide nanoporous layers. Angew. Chem. 2013, 52, 2077–2081. [Google Scholar] [CrossRef] [PubMed]
- Tsuchiya, H.; Macak, J.M.; Sieber, I.; Taveira, L.; Ghicov, A.; Sirotna, K.; Schmuki, P. Self-organized porous WO3 formed in NaF electrolytes. Electrochem. Commun. 2005, 7, 295–298. [Google Scholar] [CrossRef]
- Sieber, I.; Hildebrand, H.; Friedrich, A.; Schmuki, P. Formation of self-organized niobium porous oxide on niobium. Electrochem. Commun. 2005, 7, 97–100. [Google Scholar] [CrossRef]
- Zhang, L.; Shao, J.; Han, Y. Enhanced anodization growth of self-organized ZrO2 nanotubes on nanostructured zirconium. Surf. Coat. Technol. 2011, 205, 2876–2881. [Google Scholar] [CrossRef]
- Zaraska, L.; Gawlak, K.; Gilek, D.; Sulka, G.D. Electrochemical growth of multisegment nanoporous tin oxide layers by applying periodically changed anodizing potential. Appl. Surf. Sci. 2018, 455, 1005–1009. [Google Scholar] [CrossRef]
- Zhou, X.; Nguyen, N.T.; Özkan, S.; Schmuki, P. Anodic TiO2 nanotube layers: Why does self-organized growth occur—A mini review. Electrochem. Commun. 2014, 46, 157–162. [Google Scholar] [CrossRef]
- Regonini, D.; Satka, A.; Jaroenworaluck, A.; Allsopp, D.W.E.; Bowen, C.R.; Stevens, R. Factors influencing surface morphology of anodized TiO2 nanotubes. Electrochim. Acta 2012, 74, 244–253. [Google Scholar] [CrossRef]
- Xie, K.; Guo, M.; Huang, H.; Liu, Y. Fabrication of iron oxide nanotube arrays by electrochemical anodization. Corros. Sci. 2014, 88, 66–75. [Google Scholar] [CrossRef]
- Zhang, Z.; Hossain, M.F.; Takahashi, T. Fabrication of shape-controlled α-Fe2O3 nanostructures by sonoelectrochemical anodization for visible light photocatalytic application. Mater. Lett. 2010, 64, 435–438. [Google Scholar] [CrossRef]
- Zhang, Z.; Hossain, M.F.; Takahashi, T. Self-assembled hematite (α-Fe2O3) nanotube arrays for photoelectrocatalytic degradation of azo dye under simulated solar light irradiation. Appl. Catal. B Environ. 2010, 95, 423–429. [Google Scholar] [CrossRef]
- Xie, K.; Li, J.; Lai, Y.; Lu, W.; Zhang, Z.; Liu, Y.; Zhou, L.; Huang, H. Highly ordered iron oxide nanotube arrays as electrodes for electrochemical energy storage. Electrochem. Commun. 2011, 13, 657–660. [Google Scholar] [CrossRef]
- Jang, J.W.; Park, J.W. Iron oxide nanotube layer fabricated with electrostatic anodization for heterogeneous Fenton like reaction. J. Hazard. Mater. 2014, 273, 1–6. [Google Scholar] [CrossRef] [PubMed]
- Lee, C.Y.; Wang, L.; Kado, Y.; Killian, M.S.; Schmuki, P. Anodic nanotubular/porous hematite photoanode for solar water splitting: Substantial effect of iron substrate purity. ChemSusChem 2014, 7, 934–940. [Google Scholar] [CrossRef] [PubMed]
- Mohapatra, S.K.; John, S.E.; Banerjee, S.; Misra, M. Water photooxidation by smooth and ultrathin α-Fe2O3 nanotube arrays. Chem. Mater. 2009, 21, 3048–3055. [Google Scholar] [CrossRef]
- Rangaraju, R.R.; Panday, A.; Raja, K.S.; Misra, M. Nanostructured anodic iron oxide film as photoanode for water oxidation. J. Phys. D Appl. Phys. 2009, 42, 135303. [Google Scholar] [CrossRef]
- Rangaraju, R.R.; Raja, K.S.; Panday, A.; Misra, M. An investigation on room temperature synthesis of vertically oriented arrays of iron oxide nanotubes by anodization of iron. Electrochim. Acta 2010, 55, 785–793. [Google Scholar] [CrossRef]
- Lucas-Granados, B.; Sánchez-Tovar, R.; Fernández-Domene, R.M.; García-Antón, J. Controlled hydrodynamic conditions on the formation of iron oxide nanostructures synthesized by electrochemical anodization: Effect of the electrode rotation speed. Appl. Surf. Sci. 2017, 392, 503–513. [Google Scholar] [CrossRef]
- Deng, H.; Huang, M.-C.; Weng, W.-H.; Lin, J.-C. Photocathodic protection of iron oxide nanotube arrays fabricated on carbon steel. Surf. Coat. Technol. 2015, 266, 183–187. [Google Scholar] [CrossRef]
- Asoh, H.; Nakatani, M.; Ono, S. Fabrication of thick nanoporous oxide films on stainless steel via DC anodization and subsequent biofunctionalization. Surf. Coat. Technol. 2016, 307, 441–451. [Google Scholar] [CrossRef]
- Yang, Y.; Zhou, J.; Detsch, R.; Taccardi, N.; Heise, S.; Virtanen, S.; Boccaccini, A.R. Biodegradable nanostructures: Degradation process and biocompatibility of iron oxide nanostructured arrays. Mat. Sci. Eng. C Mater. 2018, 85, 203–213. [Google Scholar] [CrossRef]
- Prakasam, H.E.; Varghese, O.K.; Paulose, M.; Mor, G.K.; Grimes, C.A. Synthesis and photoelectrochemical properties of nanoporous iron (III) oxide by potentiostatic anodization. Nanotechnology 2006, 17, 4285–4291. [Google Scholar] [CrossRef]
- Zhong, Z.; Qin, J.; Ma, J. Cellulose acetate/hydroxyapatite/chitosan coatings for improved corrosion resistance and bioactivity. Mat. Sci. Eng. C Mater. 2015, 49, 251–255. [Google Scholar] [CrossRef] [PubMed]
- Shayan, M.; Moradi, M.; Plakseychuk, A.Y.; Shankar, R.; Chun, Y. Osteoblast cell response to oxide films formed on nanograin 316L stainless steel obtained by two-dimensional linear plane-strain machining. Mater. Lett. 2016, 177, 94–98. [Google Scholar] [CrossRef]
- Pawlik, A.; Hnida, K.; Socha, R.P.; Wiercigroch, E.; Małek, K.; Sulka, G.D. Effects of anodizing conditions and annealing temperature on the morphology and crystalline structure of anodic oxide layers grown on iron. Appl. Surf. Sci. 2017, 426, 1084–1093. [Google Scholar] [CrossRef]
- Klimas, V.; Pakštas, V.; Vrublevsky, I.; Chernyakova, K.; Jagminas, A. Fabrication and characterization of anodic films onto the type-304 stainless steel in glycerol electrolyte. J. Phys. Chem. C 2013, 117, 20730–20737. [Google Scholar] [CrossRef]
- Albu, S.P.; Ghicov, A.; Schmuki, P. High aspect ratio, self-ordered iron oxide nanopores formed by anodization of Fe in ethylene glycol/NH4F electrolytes. Phys. Status Solid 2009, 3, 64–66. [Google Scholar] [CrossRef]
- Tsuchiya, H.; Suzumura, T.; Terada, Y.; Fujimoto, S. Formation of self-organized pores on type 316 stainless steel in organic solvents. Electrochim. Acta 2012, 82, 333–338. [Google Scholar] [CrossRef]
- Doff, J.; Archibong, P.E.; Jones, G.; Koroleva, E.V.; Skeldon, P.; Thompson, G.E. Formation and composition of nanoporous films on 316L stainless steel by pulsed polarization. Electrochim. Acta 2011, 56, 3225–3237. [Google Scholar] [CrossRef]
- Kure, K.; Konno, Y.; Tsuji, E.; Skeldon, P.; Thompson, G.E.; Habazaki, H. Formation of self-organized nanoporous anodic films on type 304 stainless steel. Electrochem. Commun. 2012, 21, 1–4. [Google Scholar] [CrossRef]
- Habazaki, H.; Shahzad, K.; Hiraga, T.; Tsuji, E.; Aoki, T. Formation of self-organized porous anodic films on iron and stainless steels. ECS Trans. 2015, 69, 211–223. [Google Scholar] [CrossRef]
- Jagminas, A.; Klimas, V.; Mažeika, K.; Bernotas, N.; Selskis, A.; Niaura, G. Fabrication of thick gel-like films by anodizing iron in a novel electrolyte based on dimethyl sulfoxide and H2SiF6. Electrochim. Acta 2011, 56, 5452–5458. [Google Scholar] [CrossRef]
- Shahzad, K.; Tsuji, E.; Aoki, Y.; Nagata, S.; Habazaki, H. Formation and field-assisted dissolution of anodic films on iron in fluoride-containing organic electrolyte. Electrochim. Acta 2015, 151, 363–369. [Google Scholar] [CrossRef]
- Roy, P.; Berger, S.; Schmuki, P. TiO2 nanotubes: Synthesis and applications. Angew. Chem. 2011, 50, 2904–2939. [Google Scholar] [CrossRef] [PubMed]
- Md Jani, A.M.; Losic, D.; Voelcker, N.H. Nanoporous anodic aluminium oxide: Advances in surface engineering and emerging applications. Prog. Mater. Sci. 2013, 58, 636–704. [Google Scholar] [CrossRef]
- Ghicov, A.; Schmuki, P. Self-ordering electrochemistry: A review on growth and functionality of TiO2 nanotubes and other self-aligned MO(x) structures. Chem. Commun. 2009, 2791–2808. [Google Scholar] [CrossRef]
- Ono, S.; Saito, M.; Asoh, H. Self-ordering of anodic porous alumina formed in organic acid electrolytes. Electrochim. Acta 2005, 51, 827–833. [Google Scholar] [CrossRef]
- Syrek, K.; Kapusta-Kołodziej, J.; Jarosz, M.; Sulka, G.D. Effect of electrolyte agitation on anodic titanium dioxide (ATO) growth and its photoelectrochemical properties. Electrochim. Acta 2015, 180, 801–810. [Google Scholar] [CrossRef]
- Grimes, C.A.; Mor, G.K. TiO2 Nanotube Arrays: Synthesis, Properties, and Applications; Springer: Berlin, Germany, 2009. [Google Scholar]
- Habazaki, H.; Konno, Y.; Aoki, Y.; Skeldon, P.; Thompson, G.E. Galvanostatic growth of nanoporous anodic films on iron in ammonium fluoride-ethylene glycol electrolytes with different water contents. J. Phys. Chem. C 2010, 114, 18853–18859. [Google Scholar] [CrossRef]
- Hernández-López, J.M.; Němcová, A.; Zhong, X.L.; Liu, H.; Arenas, M.A.; Haigh, S.J.; Burke, M.G.; Skeldon, P.; Thompson, G.E. Formation of barrier-type anodic films on ZE41 magnesium alloy in a fluoride/glycerol electrolyte. Electrochim. Acta 2014, 138, 124–131. [Google Scholar] [CrossRef]
- Matykina, E.; Hernandez-López, J.M.; Conde, A.; Domingo, C.; de Damborenea, J.J.; Arenas, M.A. Morphologies of nanostructured TiO2 doped with F on Ti–6Al–4V alloy. Electrochim. Acta 2011, 56, 2221–2229. [Google Scholar] [CrossRef]
- Benoit, M.; Bataillon, C.; Gwinner, B.; Miserque, F.; Orazem, M.E.; Sánchez-Sánchez, C.M.; Tribollet, B.; Vivier, V. Comparison of different methods for measuring the passive film thickness on metals. Electrochim. Acta 2016, 201, 340–347. [Google Scholar] [CrossRef]
- Kondo, M.; Suzuki, N.; Nakajima, Y.; Tanaka, T.; Muroga, T. Electrochemical impedance spectroscopy on in-situ analysis of oxide layer formation in liquid metal. Fusion Eng. Des. 2014, 89, 1201–1208. [Google Scholar] [CrossRef]
- Hernández-López, J.M.; Conde, A.; de Damborenea, J.J.; Arenas, M.A. Correlation of the nanostructure of the anodic layers fabricated on Ti13Nb13Zr with the electrochemical impedance response. Corros. Sci. 2015, 94, 61–69. [Google Scholar] [CrossRef]
- Pan, J.; Thierry, D.; Leygraf, C. Electrochemical impedance spectroscopy study of the passive oxide film on titanium for implant application. Electrochim. Acta 1996, 41, 1143–1153. [Google Scholar] [CrossRef]
- Lv, J.; Luo, H. Comparison of corrosion behavior between coarse grained and nano/ultrafine grained 304 stainless steel by EWF, XPS and EIS. J. Nucl. Mater. 2014, 452, 469–473. [Google Scholar] [CrossRef]
- Lucas-Granados, B.; Sánchez-Tovar, R.; Fernández-Domene, R.M.; García-Antón, J. Iron oxide nanostructures for photoelectrochemical applications: Effect of applied potential during Fe anodization. J. Ind. Eng. Chem. 2019, 70, 234–242. [Google Scholar] [CrossRef]







| Element, at. % | C | O | F | Cr | Mn | Fe | Ni | |
|---|---|---|---|---|---|---|---|---|
| Anodization time (min) | 15 | 5.15 ± 0.86 | 5.95± 0.79 | 35.61 ± 3.42 | 11.53 ± 0.80 | 0.51 ± 0.20 | 37.17 ± 3.04 | 4.08 ± 0.63 |
| 30 | 4.88 ± 0.97 | 9.33 ± 1.85 | 41.42 ± 7.60 | 9.92 ± 1.61 | 0.56 ± 0.23 | 30.80 ± 6.37 | 3.08 ± 0.72 | |
| 45 Zone 1 | 4.18 ± 1.81 | 11.66 ± 1.13 | 44.50 ± 10.31 | 9.82 ± 1.85 | 0.40 ± 0.22 | 27.20 ± 7.89 | 2.25 ± 0.85 | |
| 45 Zone 2 | 5.50 ± 1.26 | 5.64 ± 0.69 | 16.41 ± 1.05 | 15.59 ± 0.56 | 0.72 ± 0.22 | 50.72 ± 1.24 | 5.42 ± 0.35 | |
| 60 Zone 1 | 3.18 ± 0.34 | 22.74 ± 2.97 | 59.06 ± 11.56 | 5.69 ± 0.98 | 0.34 ± 0.26 | 8.67 ± 1.20 | 0.32 ± 0.19 | |
| 60 Zone 2 | 8.70 ± 2.57 | 5.21 ±1.03 | 16.54 ± 1.81 | 14.39 ± 0.83 | 1.34 ± 1.48 | 47.77 ± 2.42 | 6.05 ± 0.97 | |
| Circuit Parameter | ![]() | |
|---|---|---|
| Immersion time (h) | 0 | 24 |
| Re ( Ω cm2) | 28.06 | 31.73 |
| CPEdl (μSsα/cm2) | 30.76 | 28.91 |
| α | 0.91 | 0.92 |
| Rct (MΩ cm2) | 0.25 | 0.61 |
| Chi-sqr (10−3) | 1.71 | 1.37 |
| Circuit Parameter | ![]() | ![]() I Means Anodic Film | ||||
|---|---|---|---|---|---|---|
| rpm | 0 | 600 | ||||
| Immersion time (h) | 0 | 24 | 0 | 24 | ||
| Anodized time (min) | 15 | 60 | 15 | 60 | 60 | 60 |
| Re (Ω cm2) | 22.29 | 46.55 | 27.02 | 9.13 | 21.44 | 9.45 |
| CPEfilm (μSsα/cm2) | – | – | – | – | 16.83 | 22.45 |
| α | – | – | – | – | 0.89 | 0.95 |
| Ranodic layer (Ω cm2) | – | – | – | – | 40.21 | 240.16 |
| CPEdl (μSsα/cm2) | 35.96 | 40.79 | 28.96 | 36.23 | 23.01 | 1.37 |
| α | 0.92 | 0.91 | 0.94 | 0.94 | 0.89 | 1.00 |
| Rct (MΩ cm2) | 0.11 | 0.68 | 2.10 | 2.14 | 1.09 | 0.93 |
| Chi-sqr (10−3) | 1.52 | 2.10 | 0.15 | 0.65 | 2.63 | 0.38 |
© 2019 by the authors. Licensee MDPI, Basel, Switzerland. This article is an open access article distributed under the terms and conditions of the Creative Commons Attribution (CC BY) license (http://creativecommons.org/licenses/by/4.0/).
Share and Cite
Domínguez-Jaimes, L.P.; Arenas Vara, M.Á.; Cedillo-González, E.I.; Ruiz Valdés, J.J.; De Damborenea, J.J.; Conde Del Campo, A.; Rodríguez-Varela, F.J.; Alonso-Lemus, I.L.; Hernández-López, J.M. Corrosion Resistance of Anodic Layers Grown on 304L Stainless Steel at Different Anodizing Times and Stirring Speeds. Coatings 2019, 9, 706. https://doi.org/10.3390/coatings9110706
Domínguez-Jaimes LP, Arenas Vara MÁ, Cedillo-González EI, Ruiz Valdés JJ, De Damborenea JJ, Conde Del Campo A, Rodríguez-Varela FJ, Alonso-Lemus IL, Hernández-López JM. Corrosion Resistance of Anodic Layers Grown on 304L Stainless Steel at Different Anodizing Times and Stirring Speeds. Coatings. 2019; 9(11):706. https://doi.org/10.3390/coatings9110706
Chicago/Turabian StyleDomínguez-Jaimes, Laura Patricia, María Ángeles Arenas Vara, Erika Iveth Cedillo-González, Juan Jacobo Ruiz Valdés, Juan José De Damborenea, Ana Conde Del Campo, Francisco Javier Rodríguez-Varela, Ivonne Liliana Alonso-Lemus, and Juan Manuel Hernández-López. 2019. "Corrosion Resistance of Anodic Layers Grown on 304L Stainless Steel at Different Anodizing Times and Stirring Speeds" Coatings 9, no. 11: 706. https://doi.org/10.3390/coatings9110706
APA StyleDomínguez-Jaimes, L. P., Arenas Vara, M. Á., Cedillo-González, E. I., Ruiz Valdés, J. J., De Damborenea, J. J., Conde Del Campo, A., Rodríguez-Varela, F. J., Alonso-Lemus, I. L., & Hernández-López, J. M. (2019). Corrosion Resistance of Anodic Layers Grown on 304L Stainless Steel at Different Anodizing Times and Stirring Speeds. Coatings, 9(11), 706. https://doi.org/10.3390/coatings9110706




