Magnetic Properties and Microstructure of FePt(BN, Ag, C) Films
Abstract
:1. Introduction
2. Materials and Methods
3. Results and Discussion
3.1. Structure for FePt(BN, Ag, C)/MoC/MgTiON/CrRu/Glass Films
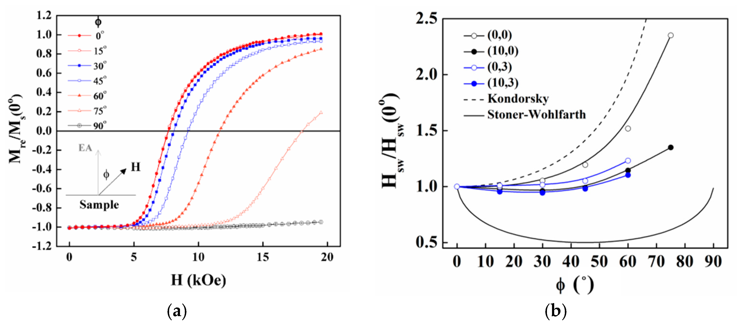
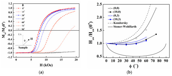
3.2. Magnetic Properties of FePt/MoC/MgTiON/CrRu/Glass Films
3.3. Microstructure of FePt/MoC/MgTiON/CrRu/Glass Films
4. Conclusions
Author Contributions
Funding
Acknowledgments
Conflicts of Interest
References
- Hono, K.; Takahashi, Y.K. L10-FePt granular films for heat-assisted magnetic recording media. In Ultrahigh Density Magnetic Recording; Varvaro, G., Casoli, F., Eds.; Pan Stanford Publishing: Singapore, 2016; pp. 246–277. [Google Scholar]
- Weller, D.; Parker, G.; Mosendz, O.; Lyberatos, A.; Mitin, D.; Safonova, N.Y.; Albrecht, M. Review Article: FePt heat assisted magnetic recording media. J. Vac. Sci. Technol. B 2016, 34, 060801. [Google Scholar] [CrossRef] [Green Version]
- Weller, D.; Mosendz, O.; Parker, G.; Pisana, S.; Santos, T.S. L10 FePtX–Y media for heat-assisted magnetic recording. Phys. Status Solidi A 2013, 210, 1245–1260. [Google Scholar] [CrossRef]
- Ju, G.P.; Peng, Y.G.; Chang, E.K.C.; Ding, Y.; Wu, A.Q.; Zhu, X.; Kubota, Y.; Klemmer, T.J.; Amini, H.; Gao, L.; et al. High density heat-assisted magnetic recording media and advanced characterization—Progress and challenges. IEEE Trans. Magn. 2015, 51, 3201709. [Google Scholar] [CrossRef]
- Zhang, L.; Takahashi, Y.K.; Perumal, A.; Hono, K. L10-orderedhighcoercivity (FePt)Ag–C granular thin films for perpendicular recording. J. Magn. Magn. Mater. 2010, 322, 2658–2664. [Google Scholar] [CrossRef]
- Varaprasad, B.S.D.C.S.; Wang, J.; Shiroyama, T.; Takahashi, Y.K.; Hono, K. Columnar structure in FePt–C granular media for heat-assisted magnetic recording. IEEE Trans. Magn. 2015, 51, 3200904. [Google Scholar] [CrossRef]
- Shiroyama, T.; Varaprasad, B.S.D.C.S.; Takahashi, Y.K.; Hono, K. Microstructure and magnetic properties of FePt–Cr2O3 films. IEEE Trans. Magn. 2014, 50, 3202404. [Google Scholar] [CrossRef]
- Deng, J.Y.; Dong, K.F.; Peng, Y.G.; Ju, G.P.; Hu, J.F.; Chow, G.M.; Chen, J.S. Effect of TiON-MgO intermediate layer on microstructure and magnetic properties of L10 FePt-C-SiO2 films. J. Magn. Magn. Mater. 2016, 417, 203–207. [Google Scholar] [CrossRef]
- Li, H.H.; Dong, K.F.; Peng, Y.G.; Ju, G.P.; Chow, G.M.; Chen, J.S. Microstructures and magnetic properties of FePt thin films on TiON intermediate layer. IEEE Trans. Magn. 2014, 50, 3201007. [Google Scholar] [CrossRef]
- Yang, E.; Ho, H.; Laughlin, D.E.; Zhu, J.G. Columnar grain growth of FePt(L10) thin films. J. Appl. Phys. 2012, 111, 07B720. [Google Scholar] [CrossRef]
- Hellwig, O.; Mosendz, O.; Weller, D. Layered Segregant Heat Assisted (52) Magnetic Recording (Hamr) Media. U.S. Patent 20160099017, 7 April 2016. [Google Scholar]
- Dong, K.F.; Li, H.H.; Peng, Y.G.; Ju, G.P.; Chow, G.M.; Chen, J.S. Nanocomposite L10 FePt–SiNx and FePt–SiNx–C films with large coercivity and small grain size on a TiN intermediate layer. J. Magn. Magn. Mater. 2012, 324, 2637–2644. [Google Scholar] [CrossRef]
- Tsai, J.L.; Tseng, Y.T.; Li, C.R.; Fu, S.C. Magnetization reversal process in Fe/FePt films. Appl. Phys. Lett. 2010, 96, 062512. [Google Scholar] [CrossRef]
- Tsai, J.L.; Tzeng, J.L.; Hu, K.C.; Li, H.K.; Pan, Z.Y.; Chang, Y.S.; Liao, C.C. Microstructure and magnetic properties of FePt film with combined MoC/(Mg–X)O (X=Cu, Ni, Co) intermediate layers. J. Magn. Magn. Mater. 2017, 422, 262–270. [Google Scholar] [CrossRef]
- Yang, E.; Laughlin, D.E.; Zhu, J.G. Correction of order parameter calculations for FePt perpendicular thin films. IEEE Trans. Magn. 2012, 48, 7–12. [Google Scholar] [CrossRef]
- Granz, S.D.; Kryder, M.H. Granular L10 FePt (001) thin films for heat assisted magnetic recording. J. Magn. Magn. Mater. 2012, 324, 287–294. [Google Scholar] [CrossRef]
- Kaidatzis, A.; Psycharis, V.; Giannopoulos, G.; Garcia-Martin, J.M.; Niarchos, D. Magnetic anisotropy axis reorientation at ultrathin FePt films. Phys. Status Solidi RRL 2016, 11, 1600386. [Google Scholar] [CrossRef]
- Tsai, J.L.; Li, H.K.; Pan, Z.Y.; Chang, Y.S.; Chen, Y.R.; Pi, C.; Wu, Y.T.; Chang, C.W. Magnetic properties and microstructure of FePt films with MgTiON intermediate layer. IEEE Trans. Magn. 2017, 53, 8108404. [Google Scholar] [CrossRef]
- Kondorsky, E. On hysteresis in ferromagnetics. J. Phys. USSR 1940, 2, 161–181. [Google Scholar]
- Stoner, E.C.; Wohlfarth, E.P. A mechanism of magnetic hysteresis in heterogeneous alloys. IEEE Trans. Magn. 1991, 27, 3475–3518. [Google Scholar] [CrossRef]
- Varvaro, G.; Testa, A.M.; Agostinelli, E.; Fiorani, D.; Laureti, S.; Springer, F.; Brombacher, C.; Albrecht, M.; Del Bianco, L.; Barucca, G.; et al. Study of microstructure and magnetization reversal mechanism in granular CoCrPt:SiO2 films of variable thickness. Mater. Chem. Phys. 2013, 141, 790e796. [Google Scholar] [CrossRef]







© 2018 by the authors. Licensee MDPI, Basel, Switzerland. This article is an open access article distributed under the terms and conditions of the Creative Commons Attribution (CC BY) license (http://creativecommons.org/licenses/by/4.0/).
Share and Cite
Tsai, J.-L.; Chen, Y.-R.; Chen, J.-Y.; Hsu, T.-W.; Dai, C.; Hsu, C.-J. Magnetic Properties and Microstructure of FePt(BN, Ag, C) Films. Coatings 2018, 8, 358. https://doi.org/10.3390/coatings8100358
Tsai J-L, Chen Y-R, Chen J-Y, Hsu T-W, Dai C, Hsu C-J. Magnetic Properties and Microstructure of FePt(BN, Ag, C) Films. Coatings. 2018; 8(10):358. https://doi.org/10.3390/coatings8100358
Chicago/Turabian StyleTsai, Jai-Lin, Yu-Ren Chen, Jyun-You Chen, Ting-Wei Hsu, Cheng Dai, and Chia-Jen Hsu. 2018. "Magnetic Properties and Microstructure of FePt(BN, Ag, C) Films" Coatings 8, no. 10: 358. https://doi.org/10.3390/coatings8100358
APA StyleTsai, J.-L., Chen, Y.-R., Chen, J.-Y., Hsu, T.-W., Dai, C., & Hsu, C.-J. (2018). Magnetic Properties and Microstructure of FePt(BN, Ag, C) Films. Coatings, 8(10), 358. https://doi.org/10.3390/coatings8100358
