Brazed–Resin Composite Grinding Wheel with CBN Segments: Fabrication, Brazing Mechanism, and Rail Grinding Performance
Abstract
1. Introduction
2. Materials and Methods
2.1. Preparation of Brazed CBN Segments
2.2. Fabrication of the Composite Grinding Wheel
2.3. Grinding Test Platform
3. Results and Discussion
3.1. Wetting Characteristics of the Cu–Sn–Ti + WC Filler Alloy on CBN
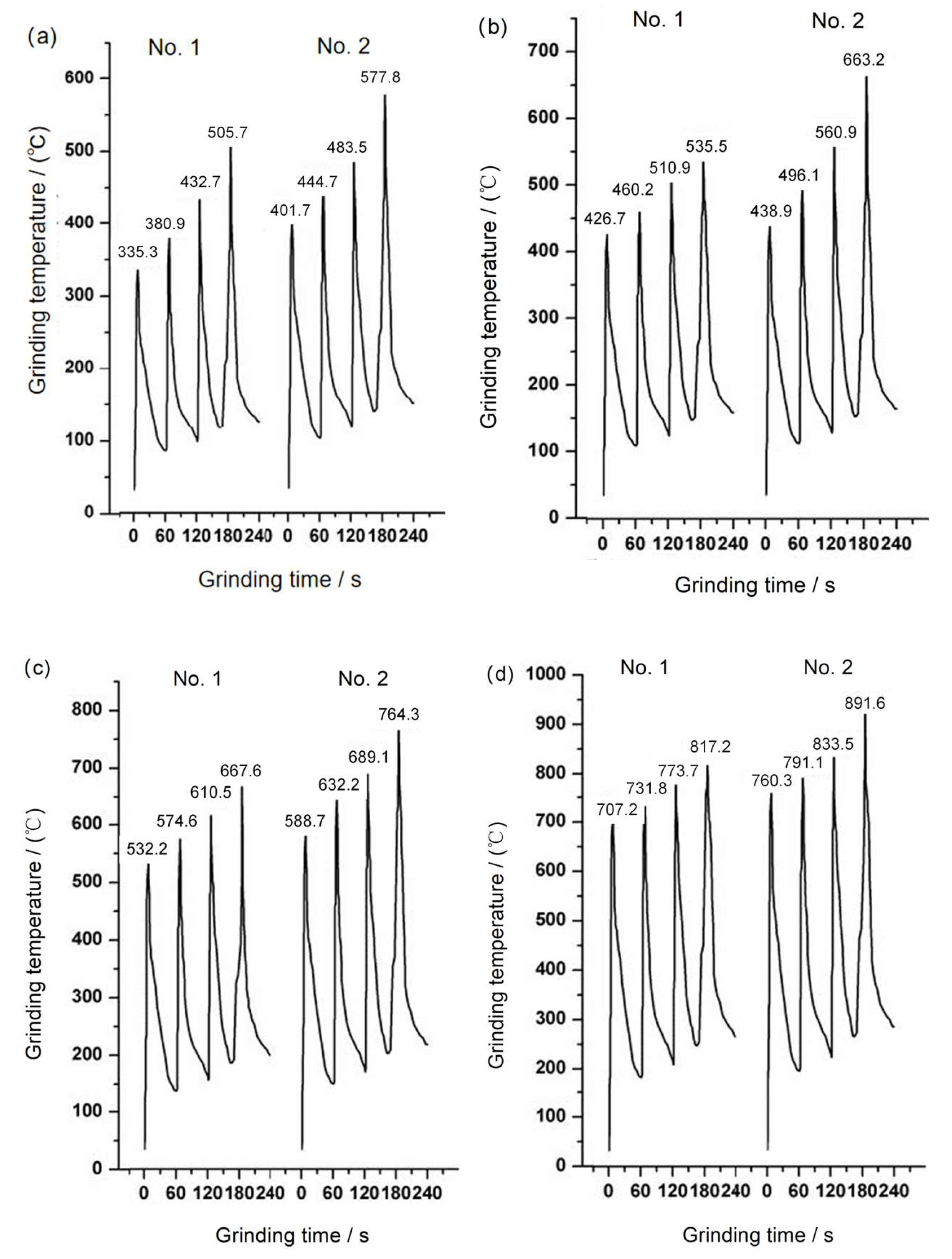
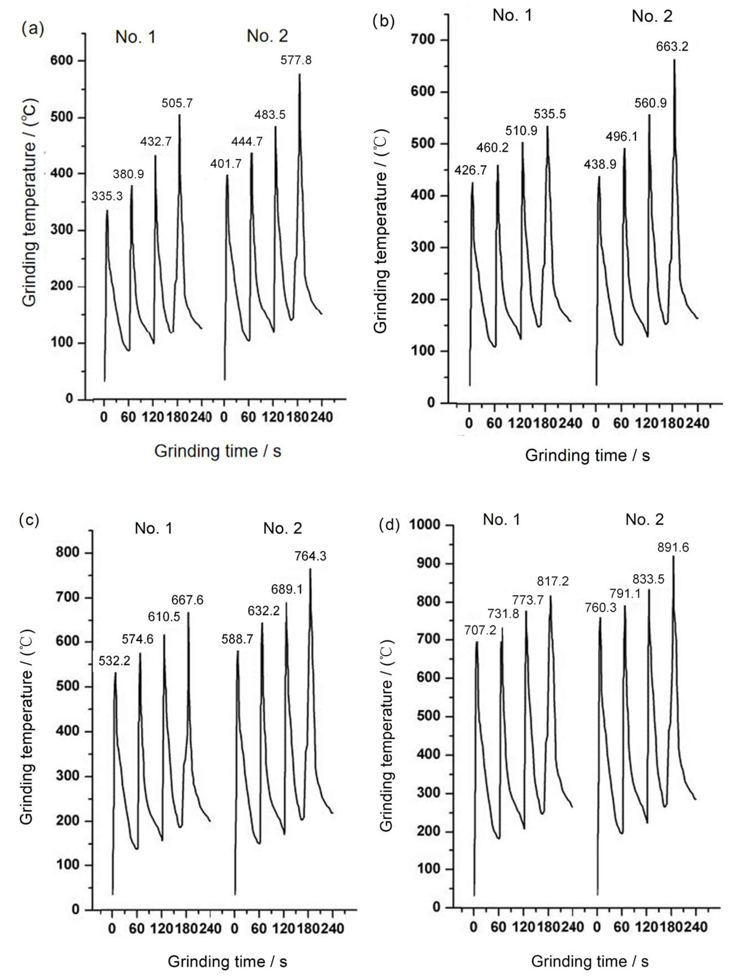
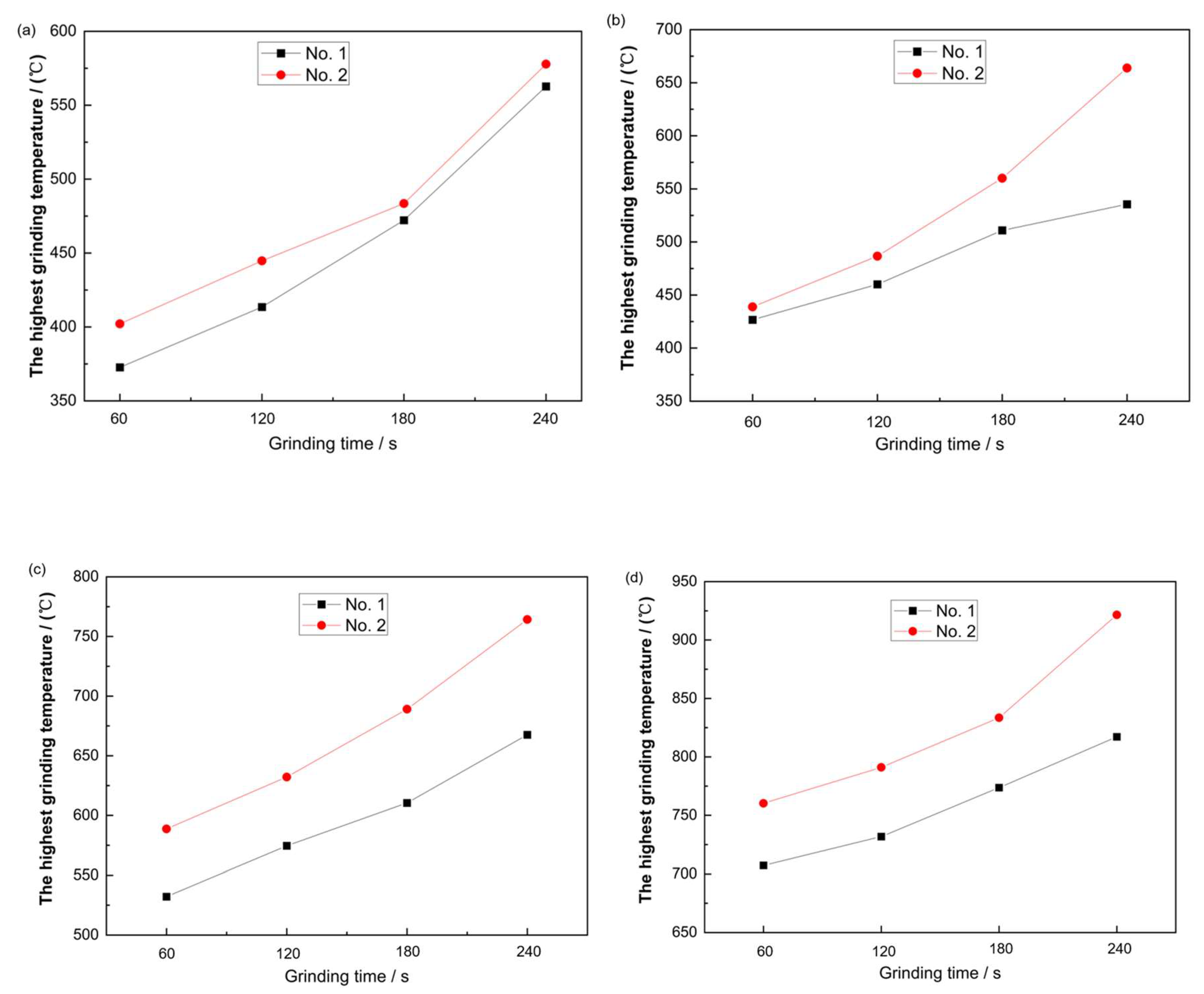
3.2. Grinding Temperature
3.3. Morphologies of Grinding Chips
3.4. Processing Efficiency and Service Life
3.5. The Appearance Condition of the Rail
4. Conclusions
- (1)
- To exploit the advantages of CBN superabrasives in machining rail materials, brazed CBN segments were embedded into the resin working layer to fabricate a composite grinding wheel. And the brazed CBN segments were produced using a Cu–Sn–Ti + WC composite filler alloy. Microstructural and phase analyses of the brazed CBN revealed that chemical metallurgical bonding was achieved between the Cu–Sn–Ti + WC composite filler and the CBN, with the formation of Ti–B and Ti–N phases. The introduction of WC reduced the excessive wetting aggressiveness of the filler alloy on CBN, enabling precise shape retention of the brazed CBN segments.
- (2)
- Under all tested pressures, the grinding temperature of the novel composite wheel was lower than that of the resin-bonded wheel. Grinding with the composite wheel predominantly produced strip-shaped chips, with fewer spherical chips, and the oxygen content in the chips was relatively low. In contrast, grinding with the resin-bonded wheel generated a larger proportion of spherical chips with higher oxygen content. The elevated oxygen levels result from the reaction of Fe with O at high temperatures to form iron oxides, further confirming that the grinding temperature of the novel composite wheel is lower than that of the imported resin-bonded wheel.
- (3)
- Field grinding tests demonstrated that the grinding efficiency of the novel composite wheel is comparable to that of the resin-bonded wheel, while its service life is approximately 28.8% longer. Rails ground with the composite wheel exhibited lower surface roughness than those ground with the resin-bonded wheel, and no burn-induced blue marks were observed on the rail surface.
Author Contributions
Funding
Institutional Review Board Statement
Informed Consent Statement
Data Availability Statement
Conflicts of Interest
References
- Zhang, Y.; Dang, D.; Wang, Y.; Ni, Y. Damage identification for railway tracks using ultrasound guided wave and hybrid probabilistic deep learning. Constr. Build. Mater. 2024, 418, 135466. [Google Scholar] [CrossRef]
- Luo, Y.; Yang, J.; Xie, Y.; Fu, J.; Zhang, C. Investigation on evolution mechanism and treatment of invert damage in operating railway tunnels under heavy rainfall. Bull. Eng. Geol. Environ. 2024, 83, 160. [Google Scholar] [CrossRef]
- Wang, K.; Zhu, H.; Xu, J.-M.; Bai, T.-S.; Tian, C.-X.; Qian, Y.; Gao, Y.; Chen, R.; Wang, P.; Liu, Y.-N. Study on the damage mechanism of high-speed turnout switch rails on large ramps. J. Central South Univ. 2025, 32, 288–303. [Google Scholar] [CrossRef]
- Biazon, L.; Mesaritis, M.; Santa, J.; Molina, L.; Palacio, M.; Toro, A.; Dyball, S.; Lewis, R. Surface integrity assessment in rail grinding for different rail grades and generated facets. Procedia CIRP 2024, 123, 149–154. [Google Scholar] [CrossRef]
- Ding, H.; Yang, J.; Wang, W.; Guo, J.; Liu, Q. Characterization and formation mechanisms of rail chips from facing grinding by abrasive wheel. J. Manuf. Process. 2022, 73, 544–554. [Google Scholar] [CrossRef]
- You, J.; Zhang, W.; Cheng, Y.; Guo, M.; Zhan, S.; Duan, H.; Jia, D. Probing the self-adaptive grinding behaviours of high-speed rail grinding under the sliding-rolling composite motions. Tribol. Int. 2024, 205, 110473. [Google Scholar] [CrossRef]
- Wu, Z.; Fan, W.; Li, J.; Liu, Z.; Yang, J. Multi-Objective Optimization Approach for Achieving Target Profile in Rail Grinding of Worn Rails. Chin. J. Mech. Eng. 2025, 38, 60. [Google Scholar] [CrossRef]
- Cui, X.; Tang, C.; Lv, D.; Li, T.; Xu, J.; Zhong, J. Grinding limit and profile optimization in the high-incidence section of rail corrugation in mountainous city metro. Wear 2023, 522, 204850. [Google Scholar] [CrossRef]
- Schotsman, B.; Huisman, J.; Santofimia, M.; Petrov, R.; Sietsma, J. Microstructure evolution and damage development in the rails of a single-track railway line after preventive grinding. Wear 2025, 576–577, 206101. [Google Scholar] [CrossRef]
- Yuan, Y.; Zhang, W.; Zhang, P.; Fan, X.; Zhu, M. Porous grinding wheels toward alleviating the pre-fatigue and increasing the material removal efficiency for rail grinding. Tribol. Int. 2021, 154, 106692. [Google Scholar] [CrossRef]
- Ding, H.; Yang, J.; Wang, W.; Liu, Q.; Guo, J.; Zhou, Z. Wear mechanisms of abrasive wheel for rail facing grinding. Wear 2022, 504–505, 204421. [Google Scholar] [CrossRef]
- Zhang, W.; Liu, C.; Yuan, Y.; Zhang, P.; Fan, X.; Zhu, M. Probing the effect of abrasive wear on the grinding performance of rail grinding stones. J. Manuf. Process. 2021, 64, 493–507. [Google Scholar] [CrossRef]
- Schoech, W. New rail maintenance trends in Europe: Anti-headcheck-profiles and preventative cyclic grinding. In Proceedings of the AusRAIL PLUS 2009, Doing More with Less, Adelaide, Australia, 17–19 November 2009. [Google Scholar]
- Liu, P.; Quan, Y.; Wan, J.; Yu, L. Experimental Investigation on the Wear and Damage Behaviors of Machined Wheel-Rail Materials under Dry Sliding Conditions. Materials 2021, 14, 540. [Google Scholar] [CrossRef] [PubMed]
- Liu, P.; Yuan, T.; Peng, J.; Zou, W.; Xiao, F. Study on the Preparation and Performance of Silicone-Modified Phenolic Resin Binder for Rail Grinding Wheels. Molecules 2023, 28, 3400. [Google Scholar] [CrossRef]
- Liu, P.; Yao, Y.; Zou, W.; Peng, J.; Song, X.; Xiao, F. Design of a CBN composite abrasive to improve the performance of HSG rail maintenance grinding wheel. Constr. Build. Mater. 2022, 319, 126073. [Google Scholar] [CrossRef]
- Xiao, H.; Wang, S.; Xiao, B. Microstructural characteristics and mechanical properties of diamond grinding wheel brazed with modified Ni–Cr–W alloy using continuous tunnel furnace. Ceram. Int. 2022, 48, 9258–9268. [Google Scholar] [CrossRef]
- Buhl, S.; Leinenbach, C.; Spolenak, R.; Wegener, K. Influence of the brazing parameters on microstructure, residual stresses and shear strength of diamond–metal joints. J. Mater. Sci. 2010, 45, 4358–4368. [Google Scholar] [CrossRef]
- Duan, D.Z.; Xiao, B.; Wang, W.; Zhang, Z.Y.; Wang, B.; Han, P.; Ding, X.-Y. Interface characteristics and performance of pre-brazed diamond grains with Ni–Cr composite alloy. J. Alloys Compd. 2015, 644, 626–631. [Google Scholar] [CrossRef]
- Long, F.; He, P.; Sekulic, D.P. Research and Development of Powder Brazing Filler Metals for Diamond Tools: A Review. Metals 2018, 8, 315. [Google Scholar] [CrossRef]
- Zhao, J.; Zhao, B.; Ding, W.; Wu, B.; Han, M.; Xu, J.; Liu, G. Grinding Characteristics of MoS2-Coated Brazed CBN Grinding Wheels in Dry Grinding of Titanium Alloy. Chin. J. Mech. Eng. 2023, 36, 109. [Google Scholar]
- Xiao, H.; Xiao, B.; Wu, H.; Xiao, B.; Yan, X.; Liu, S. Microstructure and mechanical properties of vacuum brazed CBN abrasive segments with tungsten carbide reinforced Cu–Sn–Ti alloys. Ceram. Int. 2019, 45, 12469–12475. [Google Scholar] [CrossRef]
- Wu, H.; Xiao, B.; Xiao, H.; Zhang, Y.; Dou, L. Study on wear characteristics of brazed diamond sheet for rail’s composite grinding wheel under different pressures. Wear 2019, 424–425, 183–192. [Google Scholar] [CrossRef]
- Xu, Y.; Zeng, S. Overview of the Acceptance Standards for Rail Grinding of Passenger Dedicated Lines. Railway Eng. 2006, 6, 62–65. [Google Scholar]


















| Project | Parameters Title 3 |
|---|---|
| Test grinding wheels | No. 1, No. 2 |
| Rotational speed of grinding wheels (r/min) | 3600 |
| Grinding pressures (N) | 280, 440, 600, 760 |
| Grinding time (s) | 6 |
| Grinding cycle (s) | 60 |
| Types of the Grinding Wheels | Material Removal Amount/mm |
|---|---|
| No. 1 | 0.314 |
| No. 2 | 0.317 |
| Types of the Grinding Wheels | Thickness Before Grinding (mm) | Thickness After Grinding (mm) | The Consumption of Grinding Wheels (mm) | The Distance of Grinding (km) | The Service Life (km/mm) |
|---|---|---|---|---|---|
| No. 1 | 90 | 79.3 | 10.7 | 38 | 3.54 |
| No. 2 | 90 | 75.67 | 14.33 | 38 | 2.74 |
Disclaimer/Publisher’s Note: The statements, opinions and data contained in all publications are solely those of the individual author(s) and contributor(s) and not of MDPI and/or the editor(s). MDPI and/or the editor(s) disclaim responsibility for any injury to people or property resulting from any ideas, methods, instructions or products referred to in the content. |
© 2025 by the authors. Licensee MDPI, Basel, Switzerland. This article is an open access article distributed under the terms and conditions of the Creative Commons Attribution (CC BY) license (https://creativecommons.org/licenses/by/4.0/).
Share and Cite
Xiao, H.; Wang, S.; Xiao, B.; Huang, Z.; Zhu, J. Brazed–Resin Composite Grinding Wheel with CBN Segments: Fabrication, Brazing Mechanism, and Rail Grinding Performance. Coatings 2025, 15, 1083. https://doi.org/10.3390/coatings15091083
Xiao H, Wang S, Xiao B, Huang Z, Zhu J. Brazed–Resin Composite Grinding Wheel with CBN Segments: Fabrication, Brazing Mechanism, and Rail Grinding Performance. Coatings. 2025; 15(9):1083. https://doi.org/10.3390/coatings15091083
Chicago/Turabian StyleXiao, Haozhong, Shuyi Wang, Bing Xiao, Zhenwei Huang, and Jingyan Zhu. 2025. "Brazed–Resin Composite Grinding Wheel with CBN Segments: Fabrication, Brazing Mechanism, and Rail Grinding Performance" Coatings 15, no. 9: 1083. https://doi.org/10.3390/coatings15091083
APA StyleXiao, H., Wang, S., Xiao, B., Huang, Z., & Zhu, J. (2025). Brazed–Resin Composite Grinding Wheel with CBN Segments: Fabrication, Brazing Mechanism, and Rail Grinding Performance. Coatings, 15(9), 1083. https://doi.org/10.3390/coatings15091083
