The Influence of Long-Term Service on the Mechanical Properties and Energy Dissipation Capacity of Flexible Anti-Collision Rings
Abstract
1. Introduction
2. Engineering Background
3. Materials and Methods
3.1. The Flexible Anti-Collision Ring
3.2. Full-Field Strain Measurement
3.3. Testing Program
4. Results and Discussion
4.1. Compression and Tensile Mechanical Properties
4.2. Theoretical Model Analysis
4.3. DIC-Based Deformation Field Analysis
4.4. Service Position Effects on Mechanical Properties
5. Conclusions
- (1)
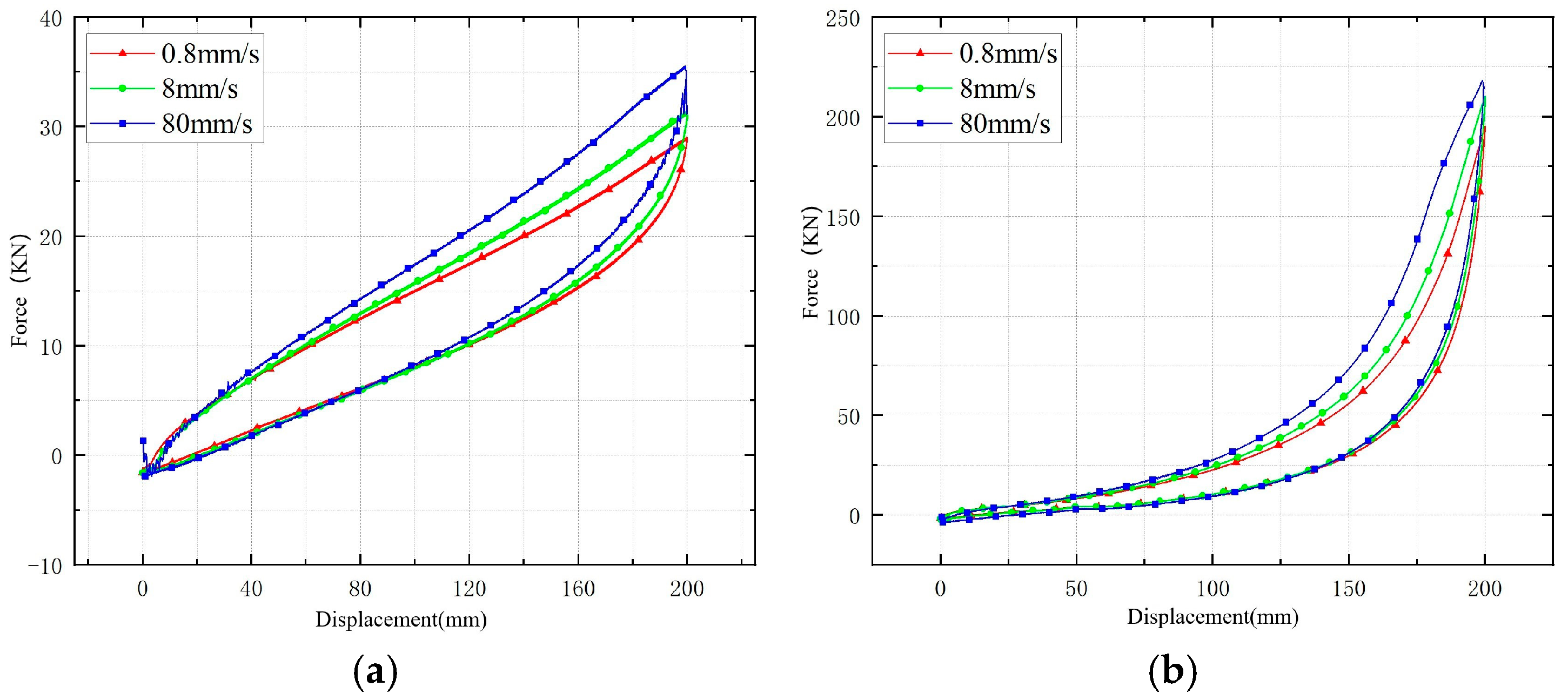
- The anti-collision ring exhibits approximately linear mechanical behavior during the initial loading stage. However, as it enters the large deformation stage, its nonlinearity becomes prominent, with the curve slope steeply increasing. The tensile peak force is approximately 6.8 times that of compression, and the tensile-compressive asymmetry becomes more pronounced with increasing displacement. As the loading speed increases, the bearing capacity also increases.
- (2)
- Based on the explicit constitutive equation constructed by the improved Johnson–Cook model, high-precision prediction of the force–displacement curve was achieved within the strain rate range of 0.001–0.1 s−1, with a maximum error of 9.6%, verifying the engineering applicability of the model.
- (3)
- DIC full-field strain analysis shows that strain peaks are concentrated in the inner loop region and gradually decay outward. The fixture constraint significantly affects the tensile deformation pattern, resulting in strain concentration at the clamping end, while the constraint effect is weaker under compression conditions.
- (4)
- In long-term marine environments, the degree of corrosion on the surface of the flexible anti-collision ring varies by location, but its compressive and tensile mechanical properties are basically the same, indicating that the outer rubber effectively protects the internal structure and has excellent mechanical durability.
Author Contributions
Funding
Institutional Review Board Statement
Informed Consent Statement
Data Availability Statement
Conflicts of Interest
References
- Barratt, M.J. IABSE Colloquium, Copenhagen 1983 Ship Collision with Bridges and Offshore Structures Introductory and Preliminary Reports. Appl. Ocean Res. 1983, 5, 239. [Google Scholar] [CrossRef]
- Wang, J.; Geng, B. Risk Assessment and Measures for Bridge Ship Collision Probability; China Communications Press: Beijing, China, 2010. (In Chinese) [Google Scholar]
- Chen, G.; Wang, L. Ship Collision with Bridge and Its Defense; China Railway Publishing House: Beijing, China, 2006; p. A3. (In Chinese) [Google Scholar]
- Zhang, Z.; Shao, Y.; Li, H.; Chen, W.; Ren, Y.; Liu, S. The incident was caused by the crew’s mishandling of the ship. Nanfang Daily, 23 February 2024; p. 8. (In Chinese) [Google Scholar]
- Zhou, W. Baltimore Bridge Accident reflects US infrastructure Problems. Economic Information Daily, 2 April 2024. (In Chinese) [Google Scholar]
- General Office of the Ministry of Transportation, General Department of the State Railway Administration, General Office of the State Railway Group. Notice on the Issuance of the Implementation Plan of the Three-Year Action Plan for the Management of Hidden Dangers of Ship Collision with Bridge; General Office of the Ministry of Transportation, General Department of the State Railway Administration, General Office of the State Railway Group: Beijing, China, 2020. (In Chinese) [Google Scholar]
- Fan, W.; Guo, W.; Sun, Y.; Chen, B.; Shao, X. Experimental and Numerical Investigations of a Novel Steel-UHPFRC Composite Fender for Bridge Protection in Vessel Collisions. Ocean Eng. 2018, 165, 1–21. [Google Scholar] [CrossRef]
- Zhang, Y.; Fan, W.; Zhai, Y.; Yuan, W. Experimental and Numerical Investigations on Seismic Behavior of Prefabricated Bridge Columns with UHPFRC Bottom Segments. J. Bridge Eng. 2019, 24, 04019076. [Google Scholar] [CrossRef]
- Fan, W.; Xu, X.; Zhang, Z.; Shao, X. Performance and Sensitivity Analysis of UHPFRC-Strengthened Bridge Columns Subjected to Vehicle Collisions. Eng. Struct. 2018, 173, 251–268. [Google Scholar] [CrossRef]
- Fang, H.; Yao, P.; Shen, K.; Jia, E.; Dai, Z. Impact Tests of Multistage Energy Dissipation and Collision Protection Device of Combined Floating Steel Box and Soft Object. Bridge Constr. 2022, 52, 38–44. (In Chinese) [Google Scholar]
- Liu, T.; Zhang, B.; Xu, M.; Pan, J. Experimental Study on the Impact of Sandwich Structure Against Vessel Collision. J. Wuhan Univ. Technol. (Transp. Sci. Eng.) 2019, 43, 447–451. (In Chinese) [Google Scholar]
- Xu, M.; Cai, K.; Wang, H.; Pan, J. Study on Crashworthiness of Y-shape Sandwich Structure for Protecting Bridge Piers Against Vessel Collision. J. Wuhan Univ. Technol. (Transp. Sci. Eng.) 2017, 41, 910–913. (In Chinese) [Google Scholar]
- Bao, L.; Liu, S.; Xiao, C.; Xu, M. Study of Collision Resistance of Energy Absorbing Structure with Corrugated Steel Sandwich Panels Used for Ship Collison Protection of Bridges. Bridge Constr. 2019, 49, 57–62. (In Chinese) [Google Scholar]
- Yang, L.; Lv, Z.; Zhou, F.; Xu, A.; Dong, X.; Chen, T.; Liu, J.; Liu, C. Bridge Pier Flexible Anti-Ship Collision Device. China Patent CN201110353957A, 13 January 2016. (In Chinese). [Google Scholar]
- Chen, G.; Wang, L.; Yang, L. Theory of Bridge Collision Avoidance and Design of Collision Avoidance Devices; People’s Transportation Press: Beijing, China, 2013. (In Chinese) [Google Scholar]
- Lv, Z.; Yang, L.; Wang, L. Flexible protection technology of Xiangshan harbor highway bridge abutment against ship collision and real ship impact test. In Proceedings of the International Symposium on Ship-Bridge Collision and Its Protection, Ningbo, China, 28–30 March 2014; pp. 174–182. (In Chinese). [Google Scholar]
- Wang, L.; Yang, L.; Huang, D.; Zhang, Z.; Chen, G. An Impact Dynamics Analysis on a New Crashworthy Device against Ship–Bridge Collision. Int. J. Impact Eng. 2008, 35, 895–904. [Google Scholar] [CrossRef]
- Johnson, G.R.; Holmquist, T.J. Response of Boron Carbide Subjected to Large Strains, High Strain Rates, and High Pressures. J. Appl. Phys. 1999, 85, 8060–8073. [Google Scholar] [CrossRef]

















| Test Number | Anti-Collision Ring Position | Loading Condition | Loading Mode | Displacement Increment (mm) | Loading Speed (mm/s) | Final Dis-Placement (mm) |
|---|---|---|---|---|---|---|
| 1 # | Upper layer | Compression | Displacement controls step-by-step loading and unloading | 20 | 0.8 | 200 |
| 2 # | Upper layer | Stretch | ||||
| 3 # | Middle layer | Compression | ||||
| 4 # | Middle layer | Stretch | ||||
| 5 # | Lower floor | Compression | ||||
| 6 # | lower level | Stretch |
Disclaimer/Publisher’s Note: The statements, opinions and data contained in all publications are solely those of the individual author(s) and contributor(s) and not of MDPI and/or the editor(s). MDPI and/or the editor(s) disclaim responsibility for any injury to people or property resulting from any ideas, methods, instructions or products referred to in the content. |
© 2025 by the authors. Licensee MDPI, Basel, Switzerland. This article is an open access article distributed under the terms and conditions of the Creative Commons Attribution (CC BY) license (https://creativecommons.org/licenses/by/4.0/).
Share and Cite
Zhou, J.; Lu, J.; Jiang, W.; Li, A.; Shao, H.; Huang, Z.; Wang, F.; Yang, Q. The Influence of Long-Term Service on the Mechanical Properties and Energy Dissipation Capacity of Flexible Anti-Collision Rings. Coatings 2025, 15, 880. https://doi.org/10.3390/coatings15080880
Zhou J, Lu J, Jiang W, Li A, Shao H, Huang Z, Wang F, Yang Q. The Influence of Long-Term Service on the Mechanical Properties and Energy Dissipation Capacity of Flexible Anti-Collision Rings. Coatings. 2025; 15(8):880. https://doi.org/10.3390/coatings15080880
Chicago/Turabian StyleZhou, Junhong, Jia Lu, Wei Jiang, Ang Li, Hancong Shao, Zixiao Huang, Fei Wang, and Qiuwei Yang. 2025. "The Influence of Long-Term Service on the Mechanical Properties and Energy Dissipation Capacity of Flexible Anti-Collision Rings" Coatings 15, no. 8: 880. https://doi.org/10.3390/coatings15080880
APA StyleZhou, J., Lu, J., Jiang, W., Li, A., Shao, H., Huang, Z., Wang, F., & Yang, Q. (2025). The Influence of Long-Term Service on the Mechanical Properties and Energy Dissipation Capacity of Flexible Anti-Collision Rings. Coatings, 15(8), 880. https://doi.org/10.3390/coatings15080880

