Low-Temperature Performance and Thermal Control of Asphalt Modified with Microencapsulated Phase-Change Materials
Abstract
1. Introduction
2. Materials and Experimental Methods
2.1. Raw Materials
2.2. Preparation of MPCM-Modified Asphalt
2.3. Experimental Methods
2.3.1. Performance Test of MPCM
2.3.2. Performance Tests of MPCM-Modified Asphalt
2.3.3. Temperature Regulation Test of MPCM-Modified Asphalt
3. Results and Discussion
3.1. Properties of MPCM
3.2. Physical Properties of MPCM-Modified Asphalt
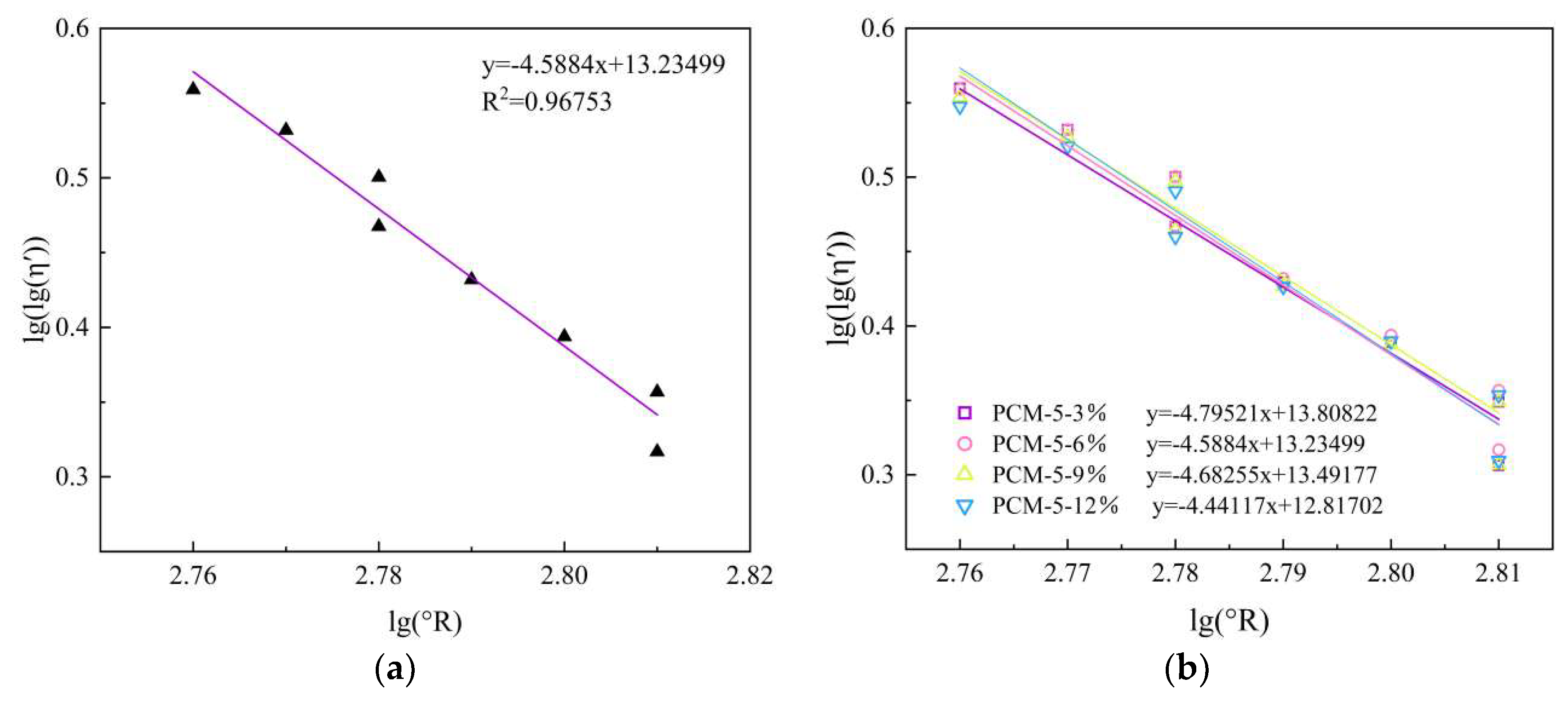
3.3. G*/(Sinδ) and VTS of MPCM-Modified Asphalt
3.4. Creep Properties of MPCM-Modified Asphalt
3.5. Temperature Regulating Properties of MPCM-Modified Asphalt
4. Conclusions
- PCM-5 outperformed the PCM-G-5 and TH-ME-5 in both thermal stability and resistance to leakage. It withstood high temperatures typical of asphalt production, showing only 13.47% mass loss and a permeability of 6.5% at 170 °C, demonstrating strong structural integrity and effective latent heat containment.
- As PCM-5 dosage increased, penetration and ductility of the modified asphalt improved significantly, while the softening point showed only a slight decrease. These results suggest that PCM-5 enhances low-temperature flexibility without compromising high-temperature performance. Viscosity measurements further indicated improved workability and flow characteristics with microcapsule addition.
- Rheological tests showed that PCM-5 reduced the complex shear modulus and rutting factor, indicating diminished stiffness at high temperatures. However, the decreasing absolute value of the VTS with increasing PCM content suggests a more stable thermal response across temperature fluctuations.
- BBR testing confirmed notable improvements in low-temperature performance. PCM-5 significantly lowered creep stiffness and increased the m-value, particularly at •24 °C, where it demonstrated strong stress relaxation capability.
- Temperature control experiments demosnstrated that the latent heat stored in PCM-5 effectively slowed the cooling rate of the asphalt and delayed the onset of minimum temperatures. This thermal-buffering effect contributes to greater temperature stability in cold climates, extending the operational reliability of asphalt pavements.
Author Contributions
Funding
Institutional Review Board Statement
Informed Consent Statement
Data Availability Statement
Conflicts of Interest
References
- Guo, Y.; Yao, C.; Shen, A.; Chen, Q.; Wei, Z.; Yang, X. Feasibility of rapid-regeneration utilization in situ for waste cement-stabilized macadam. J. Clean. Prod. 2020, 263, 121452. [Google Scholar] [CrossRef]
- Pei, Y.; Guo, Y.; Shen, A.; Mao, S. Uniformity evaluation of asphalt pavements in hot and humid areas based on ground-penetrating radar. Constr. Build. Mater. 2023, 384, 131432. [Google Scholar] [CrossRef]
- Wang, X.; Ma, B.; Li, S.; Si, W.; Wei, K.; Zhang, H.; Zhou, X.; Fang, Y.; Kang, X.; Shi, W. Review on application of phase change materials in asphalt pavement. J. Traffic Transp. Eng. (Engl. Ed.) 2023, 10, 185–229. [Google Scholar] [CrossRef]
- Ismail, K.A.R.; Lino, F.A.M.; Machado, P.L.O.; Teggar, M.; Arıcı, M.; Alves, T.A.; Teles, M.P.R. New potential applications of phase change materials: A review. J. Energy Storage 2022, 53, 105202. [Google Scholar] [CrossRef]
- Maung, H.M.M.; Zhang, X.; Li, X.; Liu, F.; Tun, S.H. Enhancing the performance of polymer-modified asphalt binders using warm mix technology and additives. Constr. Build. Mater. 2025, 490, 142491. [Google Scholar] [CrossRef]
- Jin, X.; Ren, D.; Wu, H.; Kong, H.; Yang, Q.; Zhou, T.; Zhao, Z.; Li, J. Enhancing compatibility of waste tire rubber powder in asphalt: A comparative study of acid surface activation and molecular dynamics insights. Constr. Build. Mater. 2025, 478, 141417. [Google Scholar] [CrossRef]
- Afshin, A.; Behnood, A. Nanomaterials in asphalt pavements: A state-of-the-art review. Clean. Waste Syst. 2025, 10, 100214. [Google Scholar] [CrossRef]
- Hamedi, G.H.; Zarrinfam, J.; Asadi, A.H. Effect of surface free energy and mix design parameters on low-temperature cracking of hot mix asphalt. J. Traffic Transp. Eng. (Engl. Ed.) 2025, 12, 477–496. [Google Scholar] [CrossRef]
- Issa, M.A.; Goli, A.; Revelli, V.; Ali, A.; Mehta, Y. Influence of softening agents on low and intermediate temperature cracking properties of highly polymer modified asphalt binders. Constr. Build. Mater. 2025, 490, 142404. [Google Scholar] [CrossRef]
- Khan, D.; Khan, R.; Khan, M.T.; Alam, M.; Hassan, T. Performance of hot-mix asphalt using polymer-modified bitumen and marble dust as a filler. J. Traffic Transp. Eng. (Engl. Ed.) 2023, 10, 385–398. [Google Scholar] [CrossRef]
- Demchuk, Y.; Gunka, V.; Sidun, I.; Korchak, B.; Donchenko, M.; Drapak, I.; Poliuzhyn, I.; Pyshyev, S. Study of Road Bitumen Operational Properties Modified with Phenol–Cresol–Formaldehyde Resin. Resources 2025, 14, 91. [Google Scholar] [CrossRef]
- Salvo-Ulloa, D.; Indacoechea-Vega, I.; Ossio, F.; Castro-Fresno, D. Critical factors for the selection of phase change materials for asphalt mixtures: A systematic review. Clean. Eng. Technol. 2025, 26, 100936. [Google Scholar] [CrossRef]
- Zhang, D.; Bu, W.; Wang, Q.; Liu, P.; Shao, Z.; Liu, X.; Li, G.; Zhou, Y. A review of recent developments and challenges of using phase change materials for thermoregulation in asphalt pavements. Constr. Build. Mater. 2023, 400, 132669. [Google Scholar] [CrossRef]
- Hou, Y.; Ma, F.; Fu, Z.; Li, C.; An, Q.; Zhu, C.; Dai, J. Encapsulation of stearic-palmitic acid in alkali-activated coconut shell and corn cob biochar to optimize energy storage. J. Energy Storage 2023, 66, 107418. [Google Scholar] [CrossRef]
- Dai, J.; Ma, F.; Fu, Z.; Li, C.; Wu, D.; Shi, K.; Dong, W.; Wen, Y.; Jia, M. Assessing the direct interaction of asphalt binder with stearic acid/palmitic acid binary eutectic phase change material. Constr. Build. Mater. 2022, 320, 126251. [Google Scholar] [CrossRef]
- Jia, M.; Sha, A.; Jiang, W.; Wang, W.; Yuan, D. Adhesion, rheology and temperature-adjusting performance of polyurethane-based solid–solid phase change asphalt mastics subjected to laboratory aging. Mater. Struct. 2023, 56, 57. [Google Scholar] [CrossRef]
- Ma, F.; Hou, Y.; Fu, Z.; Qin, W.; Tang, Y.; Dai, J.; Wang, Y.; Peng, C. Microencapsulated binary eutectic phase change materials with high energy storage capabilities for asphalt binders. Constr. Build. Mater. 2023, 392, 131814. [Google Scholar] [CrossRef]
- Çaktı, K.; Erden, İ.; Gündüz, S.; Hassanpour-Kasanagh, S.; Büyük, B.; Alkan, C. Investigation of the effectiveness of microencapsulated phase change materials for bitumen rheology. Int. J. Energy Res. 2022, 46, 23879–23892. [Google Scholar] [CrossRef]
- Dai, J.; Ma, F.; Fu, Z.; Li, C.; Jia, M.; Shi, K.; Wen, Y.; Wang, W. Applicability assessment of stearic acid/palmitic acid binary eutectic phase change material in cooling pavement. Renew. Energy 2021, 175, 748–759. [Google Scholar] [CrossRef]
- Hou, Y.; Ma, F.; Fu, Z.; Dai, J.; Tang, Y.; Qiang, A.; Jiang, X.; Wang, Z. Low-temperature aliphatic eutectic phase change materials for asphalt: Design and characterization. Constr. Build. Mater. 2024, 414, 134852. [Google Scholar] [CrossRef]
- Wang, X.; Huan, X.; Qi, C.; Li, G.; Yao, Y.; Chen, H.; Kuang, D. Unveiling the influence of asphalt on the thermal storage behavior of microencapsulated phase change materials through non-isothermal crystallization kinetics. Fuel 2025, 394, 135101. [Google Scholar] [CrossRef]
- Ma, B.; Chen, S.-s.; Ren, Y.-z.; Zhou, X.-y. The thermoregulation effect of microencapsulated phase-change materials in an asphalt mixture. Constr. Build. Mater. 2020, 231, 117186. [Google Scholar] [CrossRef]
- Du, X.; Xin, C.; Zhao, Y.; Qiao, H.; Chen, J.; Xu, R. Improvement of phase change modified asphalt thermal conductivity by phase change micro-capsule wall material. Constr. Build. Mater. 2025, 487, 142121. [Google Scholar] [CrossRef]
- Cunha, S.; Santos, L.; Aguiar, J. Recovery paraffin wax waste as phase change material for application in cement mortars for exterior coatings of buildings. J. Energy Storage 2025, 129, 117343. [Google Scholar] [CrossRef]
- Sathishkumar, A.; Sundaram, P.; Prabakaran, R.; Kim, S.C. Graphene based fatty acid phase change material as an alternative to water: An experimental investigation on thermal energy storage characteristics. Colloids Surf. A Physicochem. Eng. Asp. 2025, 715, 136589. [Google Scholar] [CrossRef]
- Wang, X.; Ma, B.; Wei, K.; Zhang, W. Thermal stability and mechanical properties of epoxy resin/microcapsule composite phase change materials. Constr. Build. Mater. 2021, 312, 125392. [Google Scholar] [CrossRef]
- Wang, X.; Ma, B.; Wei, K.; Si, W.; Kang, X.; Fang, Y.; Zhang, H.; Shi, J.; Zhou, X. Thermal storage properties of polyurethane solid-solid phase-change material with low phase-change temperature and its effects on performance of asphalt binders. J. Energy Storage 2022, 55, 105686. [Google Scholar] [CrossRef]
- Lu, J.; Xu, S.; Li, C.; Fu, C.; Gao, M.; Wang, Z.; Yang, F.; Zhou, G.; Li, R.; Ling, T. The latest research progress of polyurethane modified asphalt binder: Synthesis, characterization, and applications. Int. J. Adhes. Adhes. 2025, 140, 104035. [Google Scholar] [CrossRef]
- Hou, Y.; Ma, F.; Fu, Z.; Dai, J.; Tang, Y.; Wang, T.; Dong, W.; Wen, Y.; Shi, K. Diffusion behavior of phase change materials at the interface of aged asphalt binder based on molecular dynamics simulation and experimental analysis. J. Mol. Liq. 2025, 419, 126758. [Google Scholar] [CrossRef]
- Wang, S.; Wei, K.; Shi, W.; Cheng, P.; Shi, J.; Ma, B. Study on the rheological properties and phase-change temperature regulation of asphalt modified by high/low-temperature phase change material particles. J. Energy Storage 2022, 56, 105970. [Google Scholar] [CrossRef]
- Fu, Z.; Hou, Y.; Ma, F.; Fu, Z.; Cui, J.; Liu, Z.; Liu, J. Investigation of rheological properties of asphalt modified with low-temperature microencapsulated eutectic phase change materials. Case Stud. Constr. Mater. 2024, 20, e03201. [Google Scholar] [CrossRef]
- Ren, Y.; Hao, P. Modification mechanism and enhanced low-temperature performance of asphalt mixtures with graphene-modified phase-change microcapsules. Constr. Build. Mater. 2022, 320, 126301. [Google Scholar] [CrossRef]
- JTG F40-2004; Technical Specifications for Construction of Highway Asphalt Pavements. China Communications Press: Beijing, China, 2004.
- JTG E20-2011; Standard Test Methods of Bitumen and Bituminous Mixtures for Highway Engineering. China Communications Press: Beijing, China, 2011.
- Ma, F.; Dai, J.; Zou, Y.; Fu, Z.; Liu, J.; Yang, P.; Hou, Y.; Jiang, X.; Li, S. Preparation of low-temperature microencapsulated phase change materials and evaluation of their effect on the properties of asphalt binders. Constr. Build. Mater. 2025, 458, 139719. [Google Scholar] [CrossRef]
- Betancourt-Jimenez, D.; Montoya, M.; Haddock, J.; Youngblood, J.P.; Martinez, C.J. Regulating asphalt pavement temperature using microencapsulated phase change materials (PCMs). Constr. Build. Mater. 2022, 350, 128924. [Google Scholar] [CrossRef]
- Wang, X.; Qi, C.; Han, S.; Fan, L.; Huan, X.; Chen, H.; Kuang, D. Thermal storage kinetics of phase-change modified asphalt: The role of shell design and asphalt influence. Energy 2025, 322, 135660. [Google Scholar] [CrossRef]
- Jiang, X.; Ma, F.; Fu, Z.; Dai, J.; Yang, P.; Hou, Y.; Hao, Y.; Wen, Y.; Dong, W.; Shi, K. Multi-scale optimization of high-enthalpy encapsulated ternary eutectic phase change materials: Towards sustainable asphalt pavements with enhanced thermal management. Chem. Eng. J. 2025, 518, 164720. [Google Scholar] [CrossRef]







| Types | Phase Transition Temperature/°C | Purity/% | Melting Point/°C | Enthalpy/(J/g) |
|---|---|---|---|---|
| TH-ME-5 | 5 | ≥90 | 30 | 112.7 |
| PCM-G-5 | 5 | ≥85 | 25 | 178.9 |
| PCM-5 | 5 | ≥88 | 55 | 162.9 |
| Items | Specification | Results | Standard |
|---|---|---|---|
| Penetration (25 °C, 100 g, 5 s) (0.1 mm) | 60–80 | 61.8 | T0604-2011 |
| Softening point (°C) | ≥55 | 63.8 | T0606-2011 |
| Ductility (5 cm/min, 10 °C) (cm) | ≥30 cm | 41.1 | T0605-2011 |
| Kinematic viscosity (135 °C) (Pa·S) | ≤3 | 1.42 | T0620-2000 |
| Flash point (°C) | ≥230 | 260 | T0611-2011 |
| Samples | Brookfield Viscosity/Pa·S | |
| 135 °C | 175 °C | |
| SBS | 1.51 | 0.36 |
| PCM-5-3% | 1.34 | 0.35 |
| PCM-5-6% | 1.18 | 0.34 |
| PCM-5-9% | 1.08 | 0.33 |
| PCM-5-12% | 1.04 | 0.32 |
| Temperature/°C | /Pa | Phase Angle/° | /Pa | lg(lg()) | |
|---|---|---|---|---|---|
| 46 | 574.47 | 18290 | 57.45 | 4198.50 | 0.5591 |
| 52 | 585.27 | 11033 | 57.47 | 2529.90 | 0.5319 |
| 58 | 596.07 | 6542.7 | 57.9 | 1466.03 | 0.5005 |
| 64 | 606.87 | 3981.5 | 58.61 | 859.49 | 0.4675 |
| 70 | 617.67 | 2469.7 | 59.65 | 505.73 | 0.4320 |
| 76 | 628.47 | 1550.9 | 60.87 | 299.34 | 0.3938 |
| 82 | 639.27 | 1014.1 | 61.74 | 187.98 | 0.3568 |
| 88 | 650.07 | 675.08 | 62.92 | 118.74 | 0.3169 |
| Dosage of PCM-5 | 3% | 6% | 9% | 12% |
|---|---|---|---|---|
| Viscosity temperature index | −4.79521 | −4.5884 | −4.62285 | −4.44117 |
Disclaimer/Publisher’s Note: The statements, opinions and data contained in all publications are solely those of the individual author(s) and contributor(s) and not of MDPI and/or the editor(s). MDPI and/or the editor(s) disclaim responsibility for any injury to people or property resulting from any ideas, methods, instructions or products referred to in the content. |
© 2025 by the authors. Licensee MDPI, Basel, Switzerland. This article is an open access article distributed under the terms and conditions of the Creative Commons Attribution (CC BY) license (https://creativecommons.org/licenses/by/4.0/).
Share and Cite
Zhang, L.; Wang, J.; Wu, J.; Zhang, R.; Guo, Y.; Shen, H.; Liu, X.; Li, K. Low-Temperature Performance and Thermal Control of Asphalt Modified with Microencapsulated Phase-Change Materials. Coatings 2025, 15, 879. https://doi.org/10.3390/coatings15080879
Zhang L, Wang J, Wu J, Zhang R, Guo Y, Shen H, Liu X, Li K. Low-Temperature Performance and Thermal Control of Asphalt Modified with Microencapsulated Phase-Change Materials. Coatings. 2025; 15(8):879. https://doi.org/10.3390/coatings15080879
Chicago/Turabian StyleZhang, Liming, Junmao Wang, Jinhua Wu, Ran Zhang, Yinchuan Guo, Hongbo Shen, Xinghua Liu, and Kuncan Li. 2025. "Low-Temperature Performance and Thermal Control of Asphalt Modified with Microencapsulated Phase-Change Materials" Coatings 15, no. 8: 879. https://doi.org/10.3390/coatings15080879
APA StyleZhang, L., Wang, J., Wu, J., Zhang, R., Guo, Y., Shen, H., Liu, X., & Li, K. (2025). Low-Temperature Performance and Thermal Control of Asphalt Modified with Microencapsulated Phase-Change Materials. Coatings, 15(8), 879. https://doi.org/10.3390/coatings15080879

