Next Article in Journal
Thermal Analysis Kinetics and Luminescence Properties of Y2O3-Coated MgO: Ce+3 Particles
Previous Article in Journal
Microstructure and Mechanical Properties of TixNbMoTaW Refractory High-Entropy Alloy for Bolt Coating Applications
Previous Article in Special Issue
Developments in Dental Implant Surface Modification
 
 
Font Type:
Arial Georgia Verdana
Font Size:
Aa Aa Aa
Line Spacing:
Column Width:
Background:
Article

The Effect of Ti(C,N)-Based Coating Composition on Ni-Cr Alloys on the Initial Adhesion of E. coli Bacteria and C. albicans Fungi

1
Restorative Dentistry, Department of General Dentistry, Medical University of Lodz, 251 Pomorska Street, 92-213 Lodz, Poland
2
Conservative Dentistry and Endodontics, Department of Endodontics, Medical University of Lodz, 251 Pomorska Street, 92-213 Lodz, Poland
3
Institute of Materials Science and Engineering, Lodz University of Technology, 1/15 Stefanowskiego Street, 90-934 Lodz, Poland
4
Department of Dental Technology, Medical University of Lodz, 251 Pomorska Street, 92-213 Lodz, Poland
*
Author to whom correspondence should be addressed.
Coatings 2025, 15(2), 121; https://doi.org/10.3390/coatings15020121
Submission received: 23 December 2024 / Revised: 16 January 2025 / Accepted: 18 January 2025 / Published: 21 January 2025
(This article belongs to the Special Issue Ceramic and Metallic Biomaterials. Application in Medical Sciences)

Abstract

Under natural physiological conditions, the oral cavity is colonized by a diverse range of microorganisms, which inhabit its anatomical structures as well as prosthetic restorations and the supragingival surfaces of implants. The metabolic activity of these microorganisms can contribute to microbiological corrosion, leading to the degradation of metal prosthetic materials. No material used for prosthetic elements is entirely resistant to bacterial adhesion. However, the application of protective coatings, such as Ti(C,N) coatings, on prosthetic surfaces can significantly reduce microorganism adherence. This study aimed to evaluate the influence of carbon and nitrogen content in Ti(C,N) coatings on reducing microorganism adhesion. Tests were conducted on five groups of Ni-Cr alloy specimens, each coated with Ti(C,N) layers containing varying amounts of carbon and nitrogen. The adhesion of E. coli bacteria and C. albicans fungi was assessed under both stationary and dynamic flow conditions. Results demonstrated that all tested coatings significantly reduced microorganism adhesion compared to uncoated Ni-Cr alloy samples.

1. Introduction

The oral cavity, under natural physiological conditions, hosts diverse microbiota, integral to the functioning of the human organism. Bacteria and fungi are the most abundant, though protozoa and viruses have also been identified. These microorganisms colonize all anatomical regions of the oral cavity, with a particular affinity for adhering to hard surfaces such as teeth, prosthetic restorations, and implant components [1,2,3,4]. In the oral cavity, microorganisms classified as physiological flora can promote plaque accumulation in areas with increased bacterial retention, such as regions difficult to access during hygiene procedures. This process facilitates the permanent adhesion of microbial cells to surfaces, ultimately leading to the formation of biofilms, including multi-species biofilms. These biofilms may harbor bacteria associated with the onset and progression of marginal periodontal diseases [5,6]. Biofilm formation occurs on various surfaces within the oral cavity, including teeth (as dental plaque), gums, and dentures. The process of microbiological colonization begins with the adsorption of proteins onto the surface, followed by the adhesion of individual microbial cells. Subsequent stages involve microbial proliferation and the production of an exopolysaccharide matrix, which binds the cells together and facilitates the development of three-dimensional biofilm structures [7,8,9,10,11]. The composition of dental plaque and the extent of colonization are influenced by its specific location within the oral cavity, the composition of saliva, dietary habits, natural cleansing mechanisms, and compliance to oral hygiene practices.
Microorganisms present in the oral cavity can contribute to the corrosive degradation of metal prosthetic materials through microbiologically influenced corrosion (MIC) [12,13,14,15,16,17,18,19]. The accumulation of bacterial plaque on prosthetic surfaces is particularly conducive to promoting these corrosive processes. Even alloys regarded as corrosion-resistant are susceptible to colonization by bacteria or fungi capable of initiating corrosion [18,19,20,21,22,23]. The metabolic activity of microorganisms contributes to the initiation and/or intensification of electrochemical and chemical processes, ultimately leading to the corrosive degradation of materials [24]. Studies by Laurent et al. [25], involving Actinomyces viscosus, have demonstrated the impact of pathogenic bacteria on the corrosion resistance of dental alloys. Potentiodynamic measurements revealed a reduction in the corrosion resistance of alloys colonized by bacteria. Furthermore, microbial metabolic activity can alter the surrounding environment, promoting the development of physicochemical processes that drive material degradation [20,21,22]. Biocorrosion processes on metal surfaces in the oral cavity are driven by the metabolic activity of bacteria, as well as by enzymes, acids, and volatile substances such as hydrogen sulfide and ammonia released by microbial cells [26]. Additionally, fluctuations in the pH of the oral cavity during food consumption play a significant role in the progression of biocorrosion. These corrosion processes facilitate the release of metal ions, which can exacerbate oral diseases [27]. Therefore, the selection of alloys for dental applications must carefully consider their interactions with the biotic factors present in the oral environment.
Prosthetic restorations are constructed from a variety of materials, including metallic options such as base metal alloys, noble metals and titanium and its alloys, as well as non-metallic materials like ceramics and plastics. However, no material is entirely immune to bacterial adhesion, including gold, titanium, and their alloys [11]. When analyzing the bacterial colonization of prosthetic surfaces, several parameters of the material’s surface layer must be considered, including surface roughness, wettability, surface free energy (SFE), chemical composition, surface charge, and the presence of proteins [4,19,28,29,30].
Base metal alloys, despite their numerous drawbacks, are likely to remain in use for an extended period, particularly in prosthetics and orthodontics, as a more cost-effective alternative to gold and platinum alloys. Their application in prosthetic restorations is further supported by their favorable mechanical and technological properties. However, the use of base metal alloys is associated with the risk of allergic reactions, including contact allergies, due to the cytotoxicity of certain constituent elements. In the search for innovative solutions for the reconstruction of missing teeth that meet health, strength, and economic criteria, various surface modifications of prosthetic elements can be considered. The toxicity of non-precious metal alloys can be mitigated through the application of protective layers and coatings [8,31,32]. These coatings, typically based on carbides, oxides, or nitrides of various metals [31,32,33,34], serve not only to protect against corrosion but also to enhance wear resistance and prevent the migration of harmful ions from the substrate into the oral cavity. Studies have demonstrated that such coatings can also reduce bacterial adhesion on the coated surfaces [5,7,27,34,35].
Among the various types of coatings, TiC and TiN coatings are relatively widely used. Research has demonstrated that these coatings possess notable mechanical and biological properties [36,37,38]. Their primary application has been as coatings for various types of implants [34,35,39]. However, their favorable properties also suggest potential for use as protective coatings on prosthetic elements made from non-precious alloys. These coatings enhance wear resistance, improve corrosion resistance, and act as a barrier, reducing the release of ions from the substrate into the surrounding environment [36,40,41]. A particularly advantageous feature of these coatings is their substantial reduction of the cytotoxic effects associated with chromium–cobalt and chromium–nickel prosthetic alloys [42,43].
Previous studies have demonstrated that surface modifications can effectively reduce microbial adhesion. Ti(C,N)-type coatings are hypothesized to exhibit similar properties. The objective of this study was to evaluate the potential of Ti(C,N)-type coatings in reducing the adhesion of fungi and bacteria to specimen surfaces and to identify which coating composition offers the greatest efficacy in minimizing microbial adhesion. The null hypothesis is that Ti (C,N) coatings do not influence the adhesion of bacteria and fungi.

2. Materials and Methods

Cylindrical specimens with a diameter of 8 mm and height of 10 mm, made from Ni-Cr alloy, were used as the research material. The initial composition of the alloy, determined by X-ray fluorescence analysis using a SIEMENS XRS300 spectrometer (SIEMENS, Karlsruhe, Germany), is presented in Table 1.
The cylinders were divided into six groups, with 20 samples in each group. The control group (S0) consisted of cylinders without coating, while the remaining five groups were coated with Ti(C,N) layers of varying carbon and nitrogen contents. The deposition process conditions and chemical composition of coatings on Ni-Cr alloy (S0) were detailed in previously published studies [40]. Prior to the application of the coatings, the surfaces of the specimen substrates were polished. Following this treatment, the surface roughness (Ra) values ranged from 0.375 to 0.418 μm.
After coating, the specimens were cleaned with distilled water using an ultrasonic cleaner and subsequently sterilized in steam at 121 °C for 21 min using a Prestige Medical autoclave (Prestige Medical, Blackburn, UK).
Twenty samples from each group were divided into four subgroups, with 5 samples per subgroup. The subgroups were assigned to incubation with bacteria (two subgroups—one in stationary incubation and the other in flow incubation) and to incubation with fungi (two subgroups—one in stationary incubation and the other in flow incubation).
Samples from each group were placed in 100 mL of LB medium (for E. coli) or YPG medium (for C. albicans). A standardized number of cells (E. coli bacteria and C. albicans fungi), derived from cultures in the logarithmic growth phase, were introduced into the medium. A standardized laboratory method was developed to analyze specimens in suspensions of bacteria or fungi during their logarithmic growth phase. In this method, an inoculum containing 2 × 103 E. coli cells or 3.5 × 104 C. albicans cells was introduced into a sterile medium, resulting in a final bacterial or fungal cell density of 2–3 × 108 cells per milliliter. Cultures were incubated for 24 h at 37 °C. After incubation, the specimens were aseptically removed from the bioreactor and rinsed with sterile distilled water to remove non-adherent microorganisms. The sample surfaces were then examined to count adherent bacterial or fungal cells using a fluorescence microscope. Observations were performed with an Olympus GX71 inverted fluorescence microscope equipped with a DP 73 digital camera. Image acquisition was conducted using Stream software (Stream Essential 1.9), while cell counting was performed with the Image J software (version no. 1.54K), utilizing the ‘cell counter’ add-on.
The level of surface colonization was assessed using Live/Dead staining with two fluorescent dyes: bis-benzidine (Sigma-Aldrich, Saint Louis, MO, USA) and propidium iodide (Sigma-Aldrich, Saint Louis, MO, USA). Bis-benzidine penetrates bacterial cells and intercalates with DNA, emitting a white-blue fluorescence under UV light, thereby identifying viable cells. In contrast, propidium iodide binds to DNA but does not penetrate intact cell membranes, resulting in the visualization of dead cells in red. The tests were conducted under two independent conditions: stationary culture and flow culture. For flow culture, stationary samples were placed in a bioreactor, and medium circulation was maintained by the motion of an electromagnetic stirrer at a velocity of approximately 2 cm/s. Five images were captured of each specimen at different locations, resulting in 25 measurements per group.
The Ti-6Al-4V alloy specimen was used as the control group for comparisons.
Five images were captured of each specimen at different locations, resulting in 25 measurements per group.
The results were statistically analyzed using IBM SPSS Statistics, version 29 (IBM Corp., Armonk, NY, USA). The Shapiro–Wilk test for normality (p < 0.05) was applied to assess the normality of the variables. Due to a non-normal distribution, non-parametric Kruskal–Wallis tests followed by multiple comparisons with the Bonferroni correction were used to compare specimen types within the variables. A significance level of 5% (α = 0.05) was adopted.
The analysis aimed to determine whether the chemical composition of Ti(C,N) coatings influences:
  • the number of adhered bacterial and fungal cells;
  • the percentage of viable bacterial and fungal cells.
The results of the statistical analysis for the individual groups are presented in Figure 1, Figure 2, Figure 3, Figure 4, Figure 5, Figure 6, Figure 7 and Figure 8 and Table 2, Table 3, Table 4, Table 5, Table 6, Table 7, Table 8, Table 9, Table 10, Table 11, Table 12 and Table 13. A significance level of α = 0.05 was applied to all analyses.

3. Results

The results of the tests on the total number of adhered bacteria, including viable bacteria, under stationary conditions are presented in Table 2.
Table 2. Adhered bacteria count under stationary conditions.
Table 2. Adhered bacteria count under stationary conditions.
GroupAdhered Bacteria Cell CountViable Bacteria Cell CountViable Bacteria Cell Percentage
MeanSDMeanSDMeanSD
S028114.217118.26113.1
S11524.213513.1896.2
S21005.18311.0835.9
S3984.2799.6815.1
S4584.64415.17610.2
S5637.85415.58510.8
Table 3 shows the corresponding results for bacteria in flow conditions.
Table 3. Adhered bacteria count under flow conditions.
Table 3. Adhered bacteria count under flow conditions.
GroupAdhered Bacteria Cell CountViable Bacteria Cell CountViable Bacteria Cell Percentage
MeanSDMeanSDMeanSD
S02715.81795.4662.8
S1791.76613.9847.9
S2982.27819.28012.2
S3842.56615.1788.4
S41032.47621.37414.3
S5971.97020.17211.4
Table 4 presents similar adhesion results for fungal cells under stationary conditions, while Table 5 provides the results for flow conditions.
Table 4. Adhered fungi count under stationary conditions.
Table 4. Adhered fungi count under stationary conditions.
GroupAdhered Fungi Cell CountViable Fungi Cell CountViable Fungi Cell Percentage
MeanSDMeanSDMeanSD
S02658.61735.7652.8
S11605.11115.6702.6
S2974.7824.5852.3
S3895.5683.9762.1
S4834.2654.3782.2
S5513.2432.3841.8
Table 5. Adhered fungi count under flow conditions.
Table 5. Adhered fungi count under flow conditions.
GroupAdhered Fungi Cell CountViable Fungi Cell CountViable Fungi Cell Percentage
MeanSDMeanSDMeanSD
S01986.71076.3543.1
S11054.9849.4805.1
S2675.24412.6668.5
S3635.1434.5682.1
S4583.63619.16216.4
S5392.3216.2553.5

3.1. Bacteria—Stationary Conditions

The data presented in Figure 1 and Table 6 show that all Ti(C,N)-type coatings resulted in a decrease in the number of adhered bacteria on the surfaces of the coated samples. For all coated groups, the differences in the number of adhered bacteria compared to the uncoated group were statistically significant. However, when comparing the coated groups, statistically significant differences were observed between group S1 and groups S3 and S5, as well as between group S2 and group S5. In all other comparisons, the differences were not statistically significant.
Figure 1. Adhered bacteria count on specimens from each group.
Figure 1. Adhered bacteria count on specimens from each group.
Coatings 15 00121 g001
Table 6. Kruskal–Wallis test p-values for the number of adhered bacteria under stationary conditions.
Table 6. Kruskal–Wallis test p-values for the number of adhered bacteria under stationary conditions.
Tested Groupsp-Value
S0S1S2S3S4S5
S0 0.04750.03460.0117p < 0.0001p < 0.0001
S10.0475 1.00000.56210.0003p < 0.0001
S20.03461.0000 1.00000.19850.0485
S30.01170.56211.0000 0.45720.1276
S4p < 0.00010.00030.19850.4572 1.0000
S5p < 0.0001p < 0.00010.04850.12761.0000
The data presented in Figure 2 and Table 7 show that all Ti(C,N)-type coatings resulted in a percentage increase in the number of viable bacteria adhering to the surfaces of the coated samples. For all coated groups, the differences in the number of adhered bacteria compared to the uncoated group were statistically significant. However, when comparing the coated groups, statistically significant differences were observed between group S1 and groups S4 and S5, as well as between group S2 and group S5. In all other comparisons, the differences were not statistically significant.
Figure 2. Viable bacteria percentage on specimens from each group.
Figure 2. Viable bacteria percentage on specimens from each group.
Coatings 15 00121 g002
Table 7. Kruskal–Wallis test p-values for the percentage of viable bacteria under stationary conditions.
Table 7. Kruskal–Wallis test p-values for the percentage of viable bacteria under stationary conditions.
Tested Groupsp-Value
S0S1S2S3S4S5
S0 p < 0.0001p < 0.00010.01170.03460.0297
S1p < 0.0001 1.00000.56210.0003p < 0.0001
S2p < 0.00011.0000 1.00000.19850.0485
S30.01170.56211.0000 0.45720.1276
S40.03460.00030.19850.4572 1.0000
S50.0297p < 0.00010.04850.12761.0000

3.2. Bacteria—Flow Conditions

The data presented in Figure 3 and Table 8 show that all Ti(C,N)-type coatings resulted in a decrease in the number of adhered bacteria on the surfaces of the coated samples. For all coated groups, the differences in the number of adhered bacteria compared to the uncoated group were statistically significant. However, when comparing the coated groups, statistically significant differences were observed between group S1 and groups S2, S4, and S5, as well as between group S3 and group S4. In all other comparisons, the differences were not statistically significant.
Figure 3. Adhered bacteria count on specimens from each group.
Figure 3. Adhered bacteria count on specimens from each group.
Coatings 15 00121 g003
Table 8. Kruskal–Wallis test p-values for the number of adhered bacteria under flow conditions.
Table 8. Kruskal–Wallis test p-values for the number of adhered bacteria under flow conditions.
Tested Groupsp-Value
S0S1S2S3S4S5
S0 0.00010.00010.00010.00010.0001
S10.0001 0.00040.43400.00010.0059
S20.00010.0004 0.06530.90630.9222
S30.00010.43400.0653 0.00390.4340
S40.00010.00010.90630.0039 0.3508
S50.00010.00590.92220.43400.3508
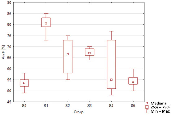
The data presented in Figure 4 and Table 9 show that, compared to the uncoated group, statistically significant differences in the percentage of viable bacteria were observed in groups S1, S2, and S3. No statistically significant differences were found in groups S4 and S5. When comparing the coated groups, statistically significant differences were observed between group S1 and group S4, as well as between group S2 and group S4. In all other comparisons, the differences were not statistically significant.
Figure 4. Viable bacteria percentage on specimens from each group.
Figure 4. Viable bacteria percentage on specimens from each group.
Coatings 15 00121 g004
Table 9. Kruskal–Wallis test p-values for the percentage of viable bacteria under flow conditions.
Table 9. Kruskal–Wallis test p-values for the percentage of viable bacteria under flow conditions.
Tested Groupsp-Value
S0S1S2S3S4S5
S0 p < 0.0001p < 0.00010.01611.00001.0000
S1p < 0.0001 1.00000.06580.00010.0728
S2p < 0.00011.0000 1.00000.02861.0000
S30.01610.06581.0000 1.00001.0000
S41.00000.00010.02861.0000 1.0000
S51.00000.07281.00001.00001.0000

3.3. Fungi—Stationary Conditions

The data presented in Figure 5 and Table 10 show that all Ti(C,N)-type coatings resulted in a decrease in the number of adhered fungal cells on the surfaces of the coated samples. For all coated groups, the differences in the number of adhered fungal cells compared to the uncoated group were statistically significant. However, when comparing the coated groups, no statistically significant differences were found between group S3 and group S4. In all other comparisons, the differences in the number of adhered fungal cells were statistically significant.
Figure 5. Adhered fungal cell count on specimens from each group.
Figure 5. Adhered fungal cell count on specimens from each group.
Coatings 15 00121 g005
Table 10. Kruskal–Wallis test p-values for the number of adhered fungal cells under stationary conditions.
Table 10. Kruskal–Wallis test p-values for the number of adhered fungal cells under stationary conditions.
Tested Groupsp-Value
S0S1S2S3S4S5
S0 0.00010.00010.00010.00010.0001
S10.0001 0.00010.00010.00010.0001
S20.00010.0001 0.03480.00010.0001
S30.00010.00010.0348 0.15130.0001
S40.00010.00010.00010.1513 0.0001
S50.00010.00010.00010.00010.0001
The data presented in Figure 6 and Table 11 indicate that, in comparison with the the uncoated group, statistically significant differences in the percentage of viable fungal cells were observed in groups S2, S4, and S5. No significant differences were found in groups S1 and S3. However, when comparing the coated groups, statistically significant differences were found between group S1 and groups S2 and S5, as well as between group S2 and group S3. In all other comparisons, the differences were not statistically significant.
Figure 6. Viable fungal cell percentage on specimens from each group.
Figure 6. Viable fungal cell percentage on specimens from each group.
Coatings 15 00121 g006
Table 11. Kruskal–Wallis test p-values for the percentage of viable fungal cells under stationary conditions.
Table 11. Kruskal–Wallis test p-values for the percentage of viable fungal cells under stationary conditions.
Tested Groupsp-Value
S0S1S2S3S4S5
S0 1.0000p < 0.00010.04220.0063p < 0.0001
S11.0000 0.00011.00000.35150.0003
S2p < 0.00010.0001 0.04190.41471.0000
S30.04221.00000.0419 1.00000.0713
S40.00630.35150.41471.0000 0.6266
S5p < 0.00010.00031.00000.07130.6266

3.4. Fungi—Flow Conditions

The data presented in Figure 7 and Table 12 indicate that all Ti(C,N)-type coatings resulted in a decrease in the number of adhered fungal cells on the surfaces of the coated samples. For all coated groups, the differences in the number of adhered fungal cells compared to the uncoated group were statistically significant. However, when comparing the coated groups, statistically significant differences were observed between group S1 and groups S4 and S5, as well as between group S2 and group S5. In all other comparisons, the differences were not statistically significant.
Figure 7. Adhered fungal cell count on specimens from each group.
Figure 7. Adhered fungal cell count on specimens from each group.
Coatings 15 00121 g007
Table 12. Kruskal–Wallis test p-values for the number of adhered fungal cells under flow conditions.
Table 12. Kruskal–Wallis test p-values for the number of adhered fungal cells under flow conditions.
Tested Groupsp-Value
S0S1S2S3S4S5
S0 0.04590.02550.0052p < 0.0001p < 0.0001
S10.0459 1.00000.32320.0032p < 0.0001
S20.02551.0000 1.00000.65610.0088
S30.00520.32321.0000 1.00000.0713
S4p < 0.00010.00320.65611.0000 1.0000
S5p < 0.0001p < 0.00010.00880.07131.0000
The data presented in Figure 8 and Table 13 indicate that, compared to the group without coating, statistically significant differences in the percentage of viable fungal cells were observed only between the S1 and S3 groups. No statistically significant differences were found in the S2, S4, and S5 groups. However, among the coated groups, significant differences were observed only between the S1 group and the S4 and S5 groups. In all other comparisons, the differences were not statistically significant
Figure 8. Viable fungal cell percentage on specimens from each group.
Figure 8. Viable fungal cell percentage on specimens from each group.
Coatings 15 00121 g008
Table 13. Kruskal–Wallis test p-values for the percentage of viable fungal cells under flow conditions.
Table 13. Kruskal–Wallis test p-values for the percentage of viable fungal cells under flow conditions.
Tested Groupsp-Value
S0S1S2S3S4S5
S0 p < 0.00010.05370.04281.00001.0000
S1p < 0.0001 0.26780.32320.0015p < 0.0001
S20.05370.2678 1.00001.00000.1538
S30.04280.32321.0000 1.00000.1253
S41.00000.00151.00001.0000 1.0000
S51.0000p < 0.00010.15380.12531.0000

4. Discussion

The microorganism adhesion studies were conducted in two variants: the stationary variant and the constant flow variant. This research design was chosen to reflect the conditions encountered in the oral cavity. During fluid intake, conditions similar to flow are present, as fluids wash over tissues and prosthetic elements. Conversely, during sleep, conditions akin to stationary environments prevail, with only minimal flow occurring due to saliva swallowing.
The presented studies on bacterial and fungal cell adhesion demonstrate that all Ti(C,N)-type coatings significantly reduce the adhesion of these microorganisms to the surfaces of the coated samples, compared to the uncoated Ni-Cr alloy surfaces. In each case, the differences in the number of adhered bacterial and fungal cells between the uncoated group (S0) and the coated groups were statistically significant. In the case of bacterial adhesion under stationary conditions, the number of adhered bacterial cells decreased compared to the uncoated samples (S0 group) by approximately 54% for the S1 group and up to about 22% for the S5 group. Under flow conditions, the number of adhered bacteria decreased from approximately 38% for group S4 to about 29% for group S1. When comparing the groups coated with Ti(C,N) coatings, it is evident that, both in stationary and flow conditions, all groups exhibited similar behavior. The adhesion of fungal cells under stationary conditions decreased, compared to the uncoated samples (group S0), from about 60% for group S1 to approximately 19% for group S5. Under flow conditions, the number of adhered fungal cells decreased from about 53% for group S1 to around 20% for group S5.
The obtained results appear to be highly beneficial in terms of preventing inflammatory complications associated with the introduction of prosthetic restorations into the oral cavity environment. It is important to note that the formation of a microbiological biofilm on prosthetic elements, as well as other surfaces, begins with the adhesion of cells. Therefore, a reduced number of adhered bacteria serves as a key factor in decreasing the likelihood of biofilm development. Upon analyzing the individual coatings, it appears that, from the perspective of bacterial adhesion, the coatings in the S5 group (TiN) are the most favorable, exhibiting the lowest numbers of adhered bacteria. In contrast, the coatings in the S1 group (TiC) were the least favorable, with the highest levels of bacterial adhesion. However, it is important to note that these differences were not statistically significant and should be considered as a trend rather than definitive results. A similar pattern was observed with fungal cell adhesion, where the coatings in the S5 group (TiN) performed the best, while the S1 group (TiC) exhibited the poorest performance. Given that the substrate preparation prior to coating application was consistent (with all samples being polished), the observed differences in adhesion are likely attributable to the composition of the coatings. It can be concluded that a higher carbon content in Ti(C,N) coatings appears to promote the initial adhesion of bacterial cells.
In terms of bacterial and fungal survival, all coatings demonstrated a higher number of viable microorganisms remaining on the surface of the coated samples compared to the uncoated samples. The percentage of viable bacteria increased, compared to the uncoated alloy, by approximately 125% for group S4 and up to 146% for group S1 under stationary conditions. It should be noted that, under stationary conditions, the differences between the groups were minimal and not statistically significant. Therefore, it can be concluded that all coated groups exhibited similar behavior. Under flow conditions, the percentage of viable bacteria increased from approximately 109% for group S5 to around 127% for group S1. However, as previously indicated, these differences were not statistically significant in any of the comparisons. Regarding fungal cell survival under stationary conditions, the percentage of viable cells increased from approximately 108% for group S1 to about 131% for group S2. The differences between the coated sample groups were small, and in several instances, statistically insignificant. In flow conditions, the percentage of viable fungal cells increased from 102% for group S5 to 148% for group S1. Similarly to stationary conditions, the differences in the number of viable cells were statistically significant not in all groups.
Considering the role of microorganisms in the processes occurring in the oral cavity, it seems most reasonable to seek solutions that reduce or eliminate bacterial adhesion to metal surfaces. One of the simplest approaches is the polishing of the metal surface, which, by reducing the available surface area for bacterial attachment, can decrease the number of adhered microorganisms. Such a relationship has been demonstrated in studies on Co-Cr alloys and ceramics, particularly in the context of Streptococcus mutans adhesion [44]. Similar conclusions were drawn by L.C.M. Dantas et al. in a study evaluating the effect of surface roughness on bacterial adhesion to various clinical biomaterials. The study concluded that manual polishing reduces both surface roughness and bacterial adhesion [45].
However, this method does not completely eliminate bacteria from the metal surface, making it necessary to incorporate metal surface coatings into clinical practice. By combining surface polishing of metal prosthetic elements with the application of protective coatings, the effectiveness can be significantly enhanced compared to polishing alone. As demonstrated by the presented research results, Ti(C,N)-type coatings are particularly well suited for this purpose. Similar conclusions were reached by S.E.A. Camargo and colleagues, who investigated the influence of titanium nitride (TiN) and silicon carbide (SiC) coatings on the adhesion of Porphyromonas gingivalis bacteria and the activity of osteoblasts on the surfaces of titanium implants. The results demonstrated that TiN and SiC coatings can reduce bacterial adhesion while promoting osteoblast adhesion, which is advantageous for dental implants [46]. Consistent with our findings, titanium-doped diamond-like carbon (Ti-DLC) coatings have been shown to reduce bacterial adhesion by up to 75% compared to stainless steel surfaces, highlighting their potential for biomedical applications [46].
Another crucial aspect is that surface modification through coating can help mitigate biocorrosion [43,47]. This is highly beneficial, as biocorrosion can lead to metal allergies, inflammation and potentially even cancer. Nickel ions, in particular, are highly allergenic and can cause pain, contact dermatitis and erythema in patients [5]. Eliminating these issues in patients will significantly enhance their comfort with prosthetic restorations. It is also important to note that saliva plays a key role in regulating biofilm growth [48]. With age, patients become more susceptible to various infections, inflammations and ulcerations. Additionally, older adults often experience reduced salivary secretion, with medications further contributing to this reduction [49]. Therefore, efforts to minimize bacterial and fungal biofilm on the surfaces of metal alloys used in prosthetic restorations are well founded.
The findings of this study allow for the identification of the coating type that most effectively reduces microorganism adhesion to surfaces. However, it is important to recognize that adhesion reduction is not the sole factor influencing the suitability of these coatings for prosthetic applications. Key considerations include corrosion resistance, wear resistance, coating adhesion to the substrate, and potential toxicity, as reported in earlier studies [39,40,41,42]. A comprehensive evaluation of all these factors is essential for selecting the optimal coating. Additionally, it should be noted that prosthetic elements are often veneered with ceramics or composite materials. Future research should focus on evaluating whether Ti(C,N) coatings affect the adhesion properties of these veneering materials.

5. Conclusions

The conducted studies have demonstrated that Ti(C,N)-type coatings significantly reduce the adhesion of bacteria and fungi to surfaces compared to uncoated alloy, thereby potentially minimizing biofilm formation on prosthetic elements covered with these coatings. While the exact mechanism of such interaction remains unclear, several factors likely contribute to the observed reduction in microbial adhesion. A key factor is the chemical inertness of Ti(C,N) carbonitrides, which possess low surface energy. This reduces interactions between the coating surface and microbial cells, thereby limiting adhesion [50]. Another critical factor is surface wettability. Reduced wettability correlates with lower microorganism adhesion. Essentially, microbial adhesion is generally less possible on hydrophobic surfaces, as the reduced affinity for water may hinder the initial adhesion of bacteria and fungi. As shown in our previous studies, Ti(C,N) coatings significantly reduce the wettability of the alloy surface with water [51]. For instance, the wetting angle of the uncoated sample surface was approximately 83° (hydrophilic by definition, angle < 90°), whereas coated samples exhibited angles as high as 115° for the TiN coating (hydrophobic by definition, angle > 90°). Additionally, the zeta potential, or the electrical potential at the interface between the adsorption and diffusion phases (the “shear plane”) of a molecule situated close to the surface, may also play a role. In this case, it refers to the interaction between the charge on the specimen surface and the microorganisms. A reduction in zeta potential due to the presence of coatings could decrease electrostatic attraction, thereby further limiting microbial adhesion. Although this parameter was not investigated in the present study, it represents an important direction for future research.

Author Contributions

Conceptualization, K.B., L.K. and Z.K.; methodology, W.J. and L.K.; software, K.B. and W.J.; validation, K.B., K.D. and W.J.; formal analysis, Z.K. and L.K.; investigation, K.B.; resources, K.B.; data curation, K.B., W.J. and L.K.; writing—original draft preparation, K.B., K.D., W.J. and Z.K.; writing—review and editing, K.D., W.J. and Z.K.; visualization, K.B. and L.K.; supervision, W.J. and L.K.; project administration, K.B., Z.K. and L.K. All authors have read and agreed to the published version of the manuscript.

Funding

This research received no external funding.

Institutional Review Board Statement

Not applicable.

Informed Consent Statement

Not applicable.

Data Availability Statement

Data are contained within the article.

Conflicts of Interest

The authors declare that there are no conflicts of interest regarding the publication of this paper.

References

  1. Giofinei-Schreibei, B.; Ghepentrog, M.; Haustein, I.; Miiller, W.D.; Lange, K.P.; Briedigkeit, H.; Gobel, U.B. Plaque formation on surface modified dental implants An in vitro study. Ciln. Oral. Impl. Res. 2001, 12, 543–551. [Google Scholar]
  2. Jansen, V.K.; Conrads, G.; Richter, E.J. Microbial leakage and marginal fit of the implant-abutment interface. Int. J. Oral. Maxillofac. Implants 1997, 12, 527–540. [Google Scholar] [PubMed]
  3. Wolinsky, L.E.; De Camargo, P.M.; Evard, C.; Newman, M.G. A study of in vitro attachment of Streptococcus sanguis and Actinomyces viscosus to saliva-treated titanium. Int. J. Oral. Maxillofac. Implant. 1989, 4, 17–31. [Google Scholar]
  4. Silva, R.C.S.; Agrelli, A.; Andrade, A.N.; Mendes-Marques, C.L.; Arruda, I.R.S.; Santos, L.R.L.; Vasconcelos, N.F.; Machado, G. Titanium Dental Implants: An Overview of Applied Nanobiotechnology to Improve Biocompatibility and Prevent Infections. Materials 2022, 15, 3150. [Google Scholar] [CrossRef] [PubMed]
  5. Mystkowska, J.; Niemirowicz-Laskowska, K.; Łysik, D.; Tokajuk, G.; Dąbrowski, J.R.; Bucki, R. The Role of Oral Cavity Biofilm on Metallic Biomaterial Surface Destruction–Corrosion and Friction Aspects. Int. J. Mol. Sci. 2018, 19, 743. [Google Scholar] [CrossRef] [PubMed]
  6. Adya, N.; Alam, M.; Ravindranath, T.; Mubeen, A.; Saluja, B. Corrosion in titanium dental implants: Literature review. J. Indian. Prosthodont. Soc. 2005, 53, 126–131. [Google Scholar] [CrossRef]
  7. Jakubowski, W.; Bartosz, G.; Niedzielski, P.; Szymanski, W.; Walkowiaka, B. Nanocrystalline diamond surface is resistant to bacterial colonization Diamond & Related. Materials 2004, 13, 1761–1763. [Google Scholar]
  8. Zhang, X.; Liu, L.; Peng, W.; Dong, X.; Gu, Y.; Ma, H.; Gan, D.; Liu, P. Phosphonate/zwitterionic/cationic terpolymers as high-efficiency bactericidal and antifouling coatings for metallic substrates. J. Mater. Chem. B 2021, 30, 4169–4177. [Google Scholar] [CrossRef] [PubMed]
  9. Ha-Young, K.; In-Sung, Y.; Jai-Bong, L.; Sung-Hun, K.; Dae-Joon, K.; Jung-Suk, H. Initial in vitro bacterial adhesion on dental restorative materials. Int. J. Artif. Organs 2012, 35, 773–779. [Google Scholar]
  10. Kohavi, D.; Klinger, A.; Steinberg, D.; Selo, M.N. Adsorption of salivary proteins onto prosthetict itanium components. J. Proslhetic Dent. 1995, 74, 531–534. [Google Scholar] [CrossRef]
  11. Jakubowski, W.; Walkowiak, B. Resistance of Oxidative Stress in Biofilm and Planktonic Cells. Braz. Arch. Biol. Technol. 2015, 58, 300–308. [Google Scholar] [CrossRef]
  12. Asri, R.I.M.; Harun, W.S.W.; Samykano, M.; Lah, N.A.C.; Ghani, S.A.C.; Tarlochan, F.; Raza, M.R. Corrosion and surface modification on biocompatible metals: A review. Mater. Sci. Eng. 2017, 77, 1261–1274. [Google Scholar] [CrossRef]
  13. Jamesh, M.I.; Li, P.; Bilek, M.M.; Boxman, R.L.; McKenzie, D.R.; Chu, P.K. Evaluation of corrosion resistance and cytocompatibility of graded metal carbon film on Ti and NiTi prepared by hybrid cathodic arc/glow discharge plasma-assisted chemical vapor deposition. Corros. Sci. 2015, 97, 126–138. [Google Scholar] [CrossRef]
  14. Lian, K.Y.; Sałek, P.; Jin, M.; Ding, D. Density-functional studies of plasmons in small metal cluster. Chem. Phys. 2009, 130, 174701. [Google Scholar] [CrossRef]
  15. Mercieca, S.; Conti, C.M.; Buhagiar, J.; Camilleri, J. Assessment of corrosion resistance of cast cobalt- and nickel-chromium dental alloys in acidic environments. J. Appl. Biomater. Funct. Mater. 2018, 16, 47–54. [Google Scholar] [CrossRef] [PubMed]
  16. Bodunrin, M.O.; Chown, L.H.; Van Der Merwe, J.W.; Alaneme, K.K.; Oganbule, C.; Klenam, D.E.P.; Mphasha, N.P. Corrosion behavior of titanium alloys in acidic and saline media: Role of alloy design, passivation integrity, and electrolyte modification. Corros. Rev. 2020, 38, 25–47. [Google Scholar] [CrossRef]
  17. Beech, I.B.; Gaylarde, C.C. Recent advances in the study of biocorrosion—An overview. Rev. De Microbiol. 1999, 30, 177–190. [Google Scholar] [CrossRef]
  18. Chern Lin, J.H.; Lo, S.J.; Ju, C.P. Biocorrosion study of titanium-nickel alloys. J. Oral. Rehabil. 1996, 23, 129–134. [Google Scholar] [CrossRef]
  19. Wilson, M.; Patel, H.; Kpendema, H.; Noar, H.J.; Hunt, P.N.; Mordan, N.J. Corrosion of intra-oralmagnets bymulti-species biofilms in the presence and absence of sucrose. Biomaterials 1997, 18, 53–57. [Google Scholar] [CrossRef]
  20. Wylie, C.M.; Sheltonb, R.M.; Fleming, G.J.P.; Davenporta, A.J. Corrosion of nickel-based dental casting alloys. Dent. Mater. 2007, 23, 714–723. [Google Scholar] [CrossRef]
  21. Upadhyaya, D.; Panchal, M.A.; Dubey, R.S.; Srivastava, V.K. Corrosion of alloys used in dentistry: A review. Mater. Sci. Eng. 2006, 432, 1–11. [Google Scholar] [CrossRef]
  22. Manaranchea, C.; Hornbergerb, H. A proposal for the classification of dental alloys according to their resistance to corrosion. Dent. Mater. 2007, 23, 1428–1437. [Google Scholar] [CrossRef] [PubMed]
  23. Viswanathan, S.; Saji, V.S.; Han-Cheol, C. Electrochemical behavior of Co-Cr and Ni-Cr dental cast alloys. Trans. Nonferrous Met. Soc. China 2009, 19, 785–790. [Google Scholar]
  24. Tiller, A.K. Electrochemical Aspects of Microbial Corrosion: An Overview, in Microbial Corrosion; The Metals Society: London, UK, 1983; pp. 54–65. [Google Scholar]
  25. Laurent, F.; Grosgogeat, B.; Reclaru, L.; Dalard, F.; Lissac, M. Comparison of corrosion behaviour in presence of oral bacteria. Biomaterials 2001, 22, 2273–2282. [Google Scholar] [CrossRef] [PubMed]
  26. Suito, H.; Iwawaki, Y.; Goto, T.; Tomotake, Y.; Ichikawa, T. Oral Factors Affecting Titanium Elution and Corrosion: An In Vitro Study Using Simulated Body Fluid. PLoS ONE 2013, 8, e66052. [Google Scholar] [CrossRef]
  27. Banaszek, K.; Szymanski, W.; Pietrzyk, B.; Klimek, L. Adhesion of E. coli Bacteria Cells to Prosthodontic Alloys Surfaces Modified by TiO2 Sol-Gel Coatings. Adv. Mater. Sci. Eng. 2013, 2013, 179241. [Google Scholar] [CrossRef]
  28. Hiltbert, L.R.; Bagge−Ravn, D.; Kold, J.; Gram, L. Infuence of surface roughness of stainless steel on microbial adhesion and corrosion resistance. Int. Biodeter. Biodegr. 2003, 52, 175–185. [Google Scholar] [CrossRef]
  29. Holban, A.M.; Farcasiu, C.; Andrei, O.C.; Grumezescu, A.M.; Farcasiu, A.T. Surface Modification to Modulate Microbial Biofilms-Applications in Dental Medicine. Materials 2021, 14, 6994. [Google Scholar] [CrossRef]
  30. Sharma, P.K.; Rao, K.H. Analysis of different approaches for evaluation of surface energy of microbial cells by contact angle goniometry. Adv. Colloid. Interface Sc. 2002, 98, 341–463. [Google Scholar] [CrossRef] [PubMed]
  31. Gvetadze, R.; Arutyunov, S.; Kryuchkov, S.; Antipov, M.; Bazhin, P.; Mustafaev, M.; Deshev, A.; Tsarev, V.; Andreev, M.; Katkov, I.; et al. Cermet coatings obtained by electric spark alloying to increase service life of dental instruments. Ceram. Int. 2024, 50, 52613–52621. [Google Scholar] [CrossRef]
  32. Cao, Z.; Chen, C.; Li, R.; Shou, M.; Zheng, K.; Luo, R.; Wei, B.; Wang, T.; Wu, L. Mechanical properties and current-carrying tribological behaviors of sliver-titanium nitride composite ceramic coating. Ceram. Int. 2024, 50, 23419–23428. [Google Scholar] [CrossRef]
  33. Batory, D.; Blaszczyk, T.; Clapa, M.; Mitura, S. Investigation of anti-corrosion properties of Ti:C gradient layers manufactured in hybrid deposition system. J. Mater. Sci. 2008, 43, 3385–3391. [Google Scholar] [CrossRef]
  34. Szymanowski, H.; Sobczyk, A.; Gazicki-Lipman, M.; Jakubowski, W.; Klimek, L. Plasma enhanced CVD deposition of titanium oxide for biomedical applications. Surf. Coat. Tech. 2005, 200, 1036–1040. [Google Scholar] [CrossRef]
  35. Sáenz deViteri, V.; Barandika, M.G.; Bayon, R.; Fernandeza, X.; Ciarsolo, I.; Igartua, A.; Tanoira, R.P.; Moreno, J.E.; Peremarch, C.P.-J. Development of Ti–C–N coatings with improved tribological behavior and antibacterial properties. J. Mech. Behav. Biomed. Mat. 2016, 55, 75–86. [Google Scholar] [CrossRef] [PubMed]
  36. Balázsi, K.; Lukács, I.E.; Gurbán, S.; Menyhárd, M.; Bacáková, L.; Vandrovcová, M.; Balázsi, C. Structural, mechanical and biological comparison of TiC and TiCN nanocomposites films. J. Eur. Ceram. Soc. 2013, 33, 2217–2221. [Google Scholar] [CrossRef]
  37. De Viteri, V.S.; Barandika, M.G.; De Gopegui, U.R.; Bayón, R.; Zubizarreta, C.; Fernández, X.; Igartua, A.; Agullo-Rueda, F. Characterization of Ti-C-N coatings deposited on Ti6Al4V for biomedical applications. J. Inorg. Biochem. 2012, 117, 359–366. [Google Scholar] [CrossRef]
  38. Bramaa, M.; Rhodese, N.; Hunte, J.; Riccia, A.; Teghild, R.; Migliacciob, S.; Della Roccac, C.; Leccisottia, S.; Lioia, A.; Scandurraa, M.; et al. Effect of titanium carbide coating on the osseointegration response in vitro and in vivo. Biomaterials 2007, 28, 595–608. [Google Scholar] [CrossRef]
  39. Banaszek, K.; Maślanka, M.; Semenov, M.; Klimek, L. Corrosive Studies of a Prosthetic Ni-Cr Alloy Coated with Ti(C,N) Type Layers. Materials 2022, 15, 2471. [Google Scholar] [CrossRef]
  40. Banaszek, K.; Klimek, L. Ti(C, N) as Barrier Coatings. Coatings 2019, 9, 432. [Google Scholar] [CrossRef]
  41. Banaszek, K.; Wiktorowska-Owczarek, A.; Kowalczyk, E.; Klimek, L. Possibilities of applying Ti (C,N) coatings on prosthetic elements—Research with the use of human endothelial cells. Acta Bioeng. Biomater. 2016, 18, 119–126. [Google Scholar]
  42. Banaszek, K.; Klimek, L.; Zgorzynska, E.; Swarzynska, A.; Walczewska, A. Cytotoxicity of titanium carbonitride coatings for prostodontic alloys with different amounts of carbon and nitro gen. Biomed. Mater. 2018, 13, 045003. [Google Scholar] [CrossRef] [PubMed]
  43. Kozmos, M.; Virant, P.; Rojko, F.; Abram, A.; Rudolf, R.; Raspor, P.; Zore, A.; Bohinc, K. Bacterial Adhesion of Streptococcus mutans to Dental Material Surfaces. Molecules. 2021, 26, 1152. [Google Scholar] [CrossRef] [PubMed]
  44. Dantas, L.C.; Da Silva-Neto, J.P.; Dantas, T.S.; Naves, L.Z.; das Neves, F.D.; da Mota, A.S. Bacterial Adhesion and Surface Roughness for Different Clinical Techniques for Acrylic Polymethyl Methacrylate. Int. J. Dent. 2016, 2016, 8685796. [Google Scholar] [CrossRef] [PubMed]
  45. Camargo, S.E.A.; Roy, T.; Carey IV, P.H.; Fares, C.; Ren, F.; Clark, A.E.; Esquivel-Upshaw, J.F. Novel Coatings to Minimize Bacterial Adhesion and Promote Osteoblast Activity for Titanium Implants. J. Funct. Biomater. 2020, 11, 42. [Google Scholar] [CrossRef]
  46. Zhao, Y.Y.; Zhao, B.; Su, X.; Zhang, S.; Wang, S.; Keatch, R.; Zhao, Q. Reduction of bacterial adhesion on titanium-doped diamond-like carbon coatings. Biofouling 2018, 34, 26–33. [Google Scholar] [CrossRef] [PubMed]
  47. Shokeen, B.; Zamani, L.; Zadmehr, S.; Pouraghaie, S.; Ozawa, R.; Yilmaz, B.; Lilak, S.; Sharma, S.; Ogawa, T.; Moshaverinia, A.; et al. Surface Characterization and Assessment of Biofilm Formation on Two Titanium-Based Implant Coating Materials. Front. Dent. Med. 2021, 2, 695417. [Google Scholar] [CrossRef]
  48. Zhang, R.; Han, B.; Liu, X. Functional Surface Coatings on Orthodontic Appliances: Reviews of Friction Reduction, Antibacterial Properties, and Corrosion Resistance. Int. J. Mol. Sci. 2023, 24, 6919. [Google Scholar] [CrossRef] [PubMed]
  49. Woods, D.L.; Mentes, C.J. Spit: Saliva in nursing research, uses and methodological considerations in older adults. Biol. Res. Nurs. 2011, 13, 320–327. [Google Scholar] [CrossRef] [PubMed]
  50. Yu, J.; Zhou, M.; Zhang, L.; Wei, H. Antibacterial Adhesion Strategy for Dental Titanium Implant Surfaces: From Mechanisms to Application. J. Funkc. Mater. Biomater. 2022, 13, 169. [Google Scholar] [CrossRef]
  51. Banaszek, K.; Klimek, L. Wettability and surface free energy of Ti(C,N) coatings on nickel-based casting prosthetic alloys. Arch. Foundry Eng. 2015, 15, 11–16. [Google Scholar] [CrossRef]
Table 1. Composition of Ni-Cr alloy.
Table 1. Composition of Ni-Cr alloy.
Element Percentage by Weight [wt%]
CrMoSiFeCoMnNi
24.798.891.571.330.170.12residue
Disclaimer/Publisher’s Note: The statements, opinions and data contained in all publications are solely those of the individual author(s) and contributor(s) and not of MDPI and/or the editor(s). MDPI and/or the editor(s) disclaim responsibility for any injury to people or property resulting from any ideas, methods, instructions or products referred to in the content.

Share and Cite

MDPI and ACS Style

Banaszek, K.; Dąbrowska, K.; Jakubowski, W.; Klimek, L.; Kula, Z. The Effect of Ti(C,N)-Based Coating Composition on Ni-Cr Alloys on the Initial Adhesion of E. coli Bacteria and C. albicans Fungi. Coatings 2025, 15, 121. https://doi.org/10.3390/coatings15020121

AMA Style

Banaszek K, Dąbrowska K, Jakubowski W, Klimek L, Kula Z. The Effect of Ti(C,N)-Based Coating Composition on Ni-Cr Alloys on the Initial Adhesion of E. coli Bacteria and C. albicans Fungi. Coatings. 2025; 15(2):121. https://doi.org/10.3390/coatings15020121

Chicago/Turabian Style

Banaszek, Katarzyna, Katarzyna Dąbrowska, Witold Jakubowski, Leszek Klimek, and Zofia Kula. 2025. "The Effect of Ti(C,N)-Based Coating Composition on Ni-Cr Alloys on the Initial Adhesion of E. coli Bacteria and C. albicans Fungi" Coatings 15, no. 2: 121. https://doi.org/10.3390/coatings15020121

APA Style

Banaszek, K., Dąbrowska, K., Jakubowski, W., Klimek, L., & Kula, Z. (2025). The Effect of Ti(C,N)-Based Coating Composition on Ni-Cr Alloys on the Initial Adhesion of E. coli Bacteria and C. albicans Fungi. Coatings, 15(2), 121. https://doi.org/10.3390/coatings15020121

Note that from the first issue of 2016, this journal uses article numbers instead of page numbers. See further details here.

Article Metrics

Back to TopTop