Microstructure and Mechanical Properties of TixNbMoTaW Refractory High-Entropy Alloy for Bolt Coating Applications
Abstract
1. Introduction
2. Computational Theory and Experimental Methods
2.1. Theoretical Methods
2.2. Experimental Details
3. Results and Discussion
3.1. Theoretical Results
3.1.1. Crystal Structure
3.1.2. Elastic Properties
3.1.3. Electronic Structure
3.2. Experimental Results
3.2.1. Microstructure
3.2.2. Room-Temperature Compression
4. Conclusions
- (1)
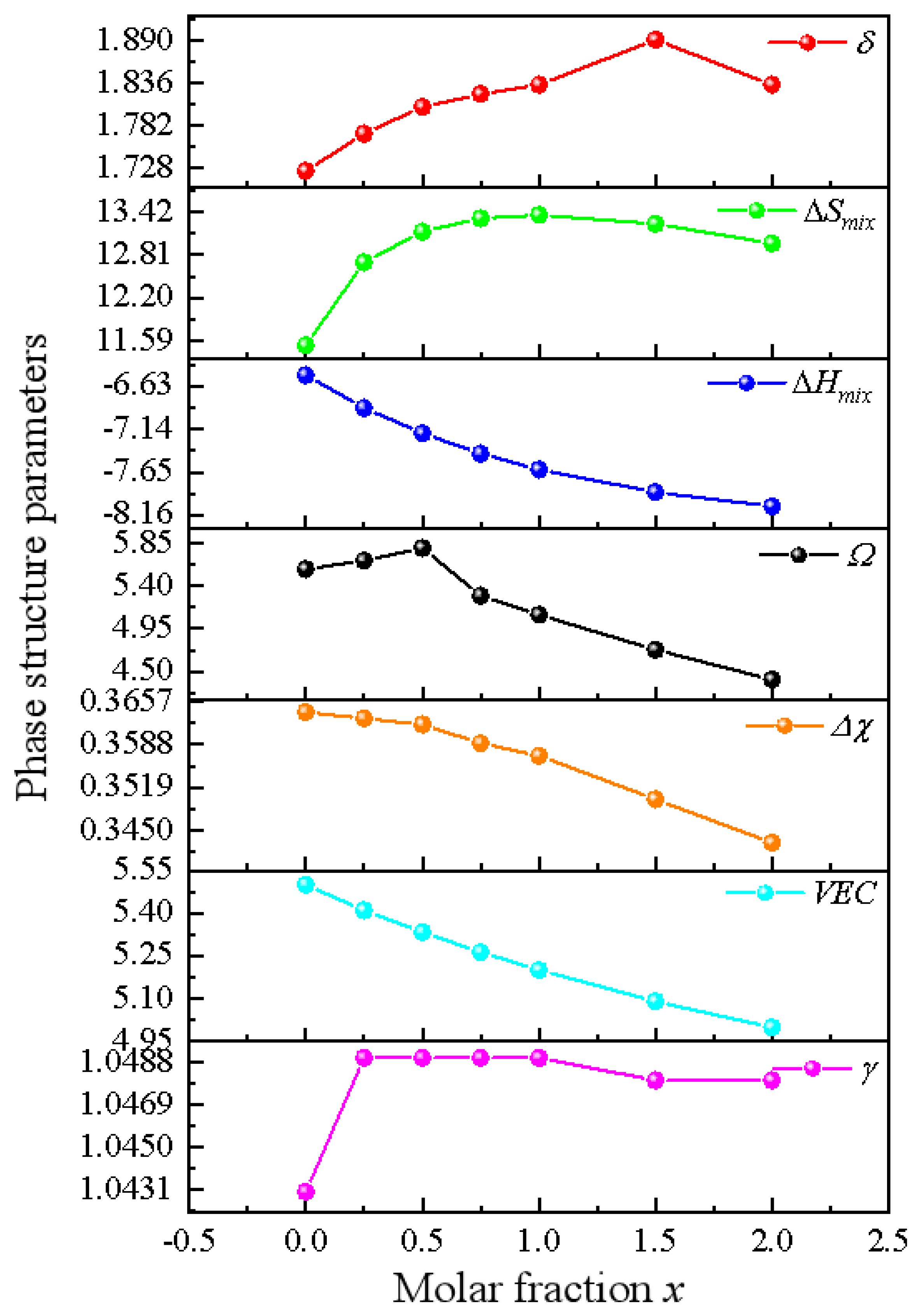
- The first-principles calculations reveal that TixNbMoTaW alloys exhibit a disordered solid solution phase with a BCC structure. Increasing Ti content lowers the VEC values, enhancing the alloy’s toughness and ductility, and favors the formation of the BCC structure.
- (2)
- The bulk modulus (B) increases with Ti content, improving resistance to volumetric deformation. The shear modulus (G) and Young’s modulus (E) initially rise, then decrease, before increasing again. Toughness parameters such as the B/G ratio, Poisson’s ratio (ν), and Cauchy pressure (C12–C44) improve significantly when the Ti content exceeds 0.75, indicating enhanced plasticity. The density of states analysis shows that increased Ti strengthens metallic bonding and weakens covalent bonding, further confirming improved toughness.
- (3)
- X-ray diffraction (XRD) confirms that all alloys exhibit a single BCC phase, with Ti content reducing BCC stability. The backscattered electron (BSE) images show that the dendritic structure becomes denser with increasing Ti, accompanied by elemental segregation, with Ti and W most prominently segregated.
- (4)
- In quasi-static compression tests at room temperature, the NbMoTaW alloy shows high yield strength but poor plasticity (3.8% strain). As the Ti content increases, yield strength slightly decreases, but fracture strength and plasticity significantly improve when Ti exceeds 0.5.
Author Contributions
Funding
Institutional Review Board Statement
Informed Consent Statement
Data Availability Statement
Conflicts of Interest
References
- Shaheen, M.A.; Foster, A.S.J.; Cunningham, L.S.; Afshan, S. Behaviour of Stainless and High Strength Steel Bolt Assemblies at Elevated Temperatures—A Review. Fire Saf. J. 2020, 113, 102975. [Google Scholar] [CrossRef]
- Wallaert, J.J.; Fisher, J.W. Shear Strength of High-Strength Bolts. J. Struct. Div. 1965, 91, 99–124. [Google Scholar] [CrossRef]
- Može, P.; Beg, D. Investigation of High Strength Steel Connections with Several Bolts in Double Shear. J. Constr. Steel Res. 2011, 67, 333–347. [Google Scholar] [CrossRef]
- Senkov, O.N.; Wilks, G.B.; Miracle, D.B.; Chuang, C.P.; Liaw, P.K. Refractory High-Entropy Alloys. Intermetallics 2010, 18, 1758–1765. [Google Scholar] [CrossRef]
- Chen, B.; Li, X.; Tian, L.; Jia, H.; Li, H.; Li, Y. The CrFeNbTiMox Refractory High-Entropy Alloy Coatings Prepared on the 40Cr by Laser Cladding. J. Alloys Compd. 2023, 966, 171630. [Google Scholar] [CrossRef]
- Cantor, B.; Chang, I.T.H.; Knight, P.; Vincent, A.J.B. Microstructural Development in Equiatomic Multicomponent Alloys. Mater. Sci. Eng. A 2004, 375–377, 213–218. [Google Scholar] [CrossRef]
- Zhang, X.; Cui, X.; Jin, G.; Ding, Q.; Zhang, D.; Wen, X.; Jiang, L.; Wan, S.; Tian, H. Microstructure Evolution and Properties of NiTiCrNbTax Refractory High-Entropy Alloy Coatings with Variable Ta Content. J. Alloys Compd. 2022, 891, 161756. [Google Scholar] [CrossRef]
- Sharma, A. High Entropy Alloy Coatings and Technology. Coatings 2021, 11, 372. [Google Scholar] [CrossRef]
- Nam, S.; Song, Y.; Son, M.; Lee, K.-A.; Yoo, G.H.; Park, E.S.; Choi, H.; Lee, C.S. High-Temperature Mechanical and Thermochemical Properties of NbMoTaW Refractory High-Entropy Alloy Coatings Produced via Nano Particle Deposition System (NPDS). Int. J. Refract. Met. Hard Mater. 2021, 99, 105594. [Google Scholar] [CrossRef]
- Ye, Y.F.; Wang, Q.; Zhao, Y.L.; He, Q.F.; Lu, J.; Yang, Y. Elemental Segregation in Solid-Solution High-Entropy Alloys: Experiments and Modeling. J. Alloys Compd. 2016, 681, 167–174. [Google Scholar] [CrossRef]
- Zhou, Y.J.; Zhang, Y.; Wang, Y.L.; Chen, G.L. Solid Solution Alloys of AlCoCrFeNiTix with Excellent Room-Temperature Mechanical Properties. Appl. Phys. Lett. 2007, 90, 181904. [Google Scholar] [CrossRef]
- Zhu, J.M.; Fu, H.M.; Zhang, H.F.; Wang, A.M.; Li, H.; Hu, Z.Q. Microstructures and Compressive Properties of Multicomponent AlCoCrFeNiMox Alloys. Mater. Sci. Eng. A 2010, 527, 6975–6979. [Google Scholar] [CrossRef]
- Liu, S.; Gao, M.C.; Liaw, P.K.; Zhang, Y. Microstructures and Mechanical Properties of AlxCrFeNiTi0.25 Alloys. J. Alloys Compd. 2015, 619, 610–615. [Google Scholar] [CrossRef]
- Zhao, S.F.; Shao, Y.; Liu, X.; Chen, N.; Ding, H.Y.; Yao, K.F. Pseudo-Quinary Ti20Zr20Hf20Be20(Cu20−xNix) High Entropy Bulk Metallic Glasses with Large Glass Forming Ability. Mater. Des. 2015, 87, 625–631. [Google Scholar] [CrossRef]
- Yang, M.L.; Xu, J.L.; Huang, J.; Zhang, L.W.; Luo, J.M. Wear Resistance of N-Doped CoCrFeNiMn High Entropy Alloy Coating on the Ti-6Al-4V Alloy. J. Therm. Spray Technol. 2024, 33, 2408–2418. [Google Scholar] [CrossRef]
- Kumar, P.; Gou, X.; Cook, D.H.; Payne, M.I.; Morrison, N.J.; Wang, W.; Zhang, M.; Asta, M.; Minor, A.M.; Cao, R.; et al. Degradation of the Mechanical Properties of NbMoTaW Refractory High-Entropy Alloy in Tension. Acta Mater. 2024, 279, 120297. [Google Scholar] [CrossRef]
- Xu, C.; Fang, L.; Xu, G.; Yang, L.; Ouyang, Y.; Tao, X. Mechanical Properties and Oxidation Behavior of NbMoTaWx Refractory High Entropy Alloys. J. Alloys Compd. 2024, 990, 174390. [Google Scholar] [CrossRef]
- Senkov, O.N.; Wilks, G.B.; Scott, J.M.; Miracle, D.B. Mechanical Properties of Nb25Mo25Ta25W25 and V20Nb20Mo20Ta20W20 Refractory High Entropy Alloys. Intermetallics 2011, 19, 698–706. [Google Scholar] [CrossRef]
- Yao, H.W.; Qiao, J.W.; Gao, M.C.; Hawk, J.A.; Ma, S.G.; Zhou, H.F.; Zhang, Y. NbTaV-(Ti,W) Refractory High-Entropy Alloys: Experiments and Modeling. Mater. Sci. Eng. A 2016, 674, 203–211. [Google Scholar] [CrossRef]
- Sheikh, S.; Shafeie, S.; Hu, Q.; Ahlström, J.; Persson, C.; Veselý, J.; Zýka, J.; Klement, U.; Guo, S. Alloy Design for Intrinsically Ductile Refractory High-Entropy Alloys. J. Appl. Phys. 2016, 120, 164902. [Google Scholar] [CrossRef]
- Chan, K.S. A Computational Approach to Designing Ductile Nb-Ti-Cr-Al Solid-Solution Alloys. Met. Mater. Trans. A 2001, 32, 2475–2487. [Google Scholar] [CrossRef]
- Bai, M.; Liu, T.; Liu, B.; Li, Y.; Yu, H.; Zhao, Y.; Yang, C.; Song, L.; Liu, W. Preparation and Properties of Polyurethane Cold Galvanizing Coatings with Phosphoric Acid Modified Zinc Powder. Surf. Coat. Technol. 2024, 489, 131128. [Google Scholar] [CrossRef]
- Rong, J.; Yang, K.; Zhao, H.; Liu, C.; Zhuang, Y.; Tao, S. Tribological Performance of Plasma Sprayed Al2O3–Y2O3 Composite Coatings. Surf. Coat. Technol. 2016, 302, 487–494. [Google Scholar] [CrossRef]
- Qiu, Y.; Thomas, S.; Gibson, M.A.; Fraser, H.L.; Birbilis, N. Corrosion of High Entropy Alloys. NPJ Mater. Degrad. 2017, 1, 15. [Google Scholar] [CrossRef]
- Wang, F.; Liu, Y.; Yu, W.; Jiang, F.; Zarinejad, M.; Tong, Y. Effect of Electropulsing Treatment on the Microstructure and Mechanical Properties of Ti6Al4V Alloy Processed by a Hybrid Method of Directed Energy Deposition and Layer-by-Layer Ultrasonic Impact Peening. Mater. Sci. Eng. A 2024, 908, 146774. [Google Scholar] [CrossRef]
- Qi, L.; Chrzan, D.C. Tuning Ideal Tensile Strengths and Intrinsic Ductility of Bcc Refractory Alloys. Phys. Rev. Lett. 2014, 112, 115503. [Google Scholar] [CrossRef]
- First-Principles Simulation: Ideas, Illustrations and the CASTEP Code—IOPscience. Available online: https://iopscience.iop.org/article/10.1088/0953-8984/14/11/301 (accessed on 28 June 2024).
- Long, X.; Li, J.; Shen, Z.; Su, Y. Dimensionless Analysis to Determine Elastoplastic Properties of Thin Films by Indentation. Coatings 2022, 12, 1768. [Google Scholar] [CrossRef]
- Long, X.; Lu, C.; Shen, Z.; Su, Y. Identification of Mechanical Properties of Thin-Film Elastoplastic Materials by Machine Learning. Acta Mech. Solida Sin. 2023, 36, 13–21. [Google Scholar] [CrossRef]
- Long, X.; Li, Y.; Shen, Z.; Su, Y.; Gu, T.; Siow, K.S. Review of uniqueness challenge in inverse analysis of nanoindentation. J. Manuf. Process. 2024, 131, 1897–1916. [Google Scholar] [CrossRef]
- Perdew, J.P. Generalized Gradient Approximation Made Simple. Phys. Rev. Lett. 1996, 77, 3865–3868. [Google Scholar] [CrossRef]
- Payne, M.C. Iterative Minimization Techniques for Ab Initio Total-Energy Calculations: Molecular Dynamics and Conjugate Gradients. Rev. Mod. Phys. 1992, 64, 1045–1097. [Google Scholar] [CrossRef]
- Hu, Y.L.; Bai, L.H.; Tong, Y.G.; Deng, D.Y.; Liang, X.B.; Zhang, J.; Li, Y.J.; Chen, Y.X. First-Principle Calculation Investigation of NbMoTaW Based Refractory High Entropy Alloys. J. Alloys Compd. 2020, 827, 153963. [Google Scholar] [CrossRef]
- Senkov, O.N.; Scott, J.M.; Senkova, S.V.; Miracle, D.B.; Woodward, C.F. Microstructure and Room Temperature Properties of a High-Entropy TaNbHfZrTi Alloy. J. Alloys Compd. 2011, 509, 6043–6048. [Google Scholar] [CrossRef]
- Chen, H.; Kauffmann, A.; Gorr, B.; Schliephake, D.; Seemüller, C.; Wagner, J.N.; Christ, H.-J.; Heilmaier, M. Microstructure and Mechanical Properties at Elevated Temperatures of a New Al-Containing Refractory High-Entropy Alloy Nb-Mo-Cr-Ti-Al. J. Alloys Compd. 2016, 661, 206–215. [Google Scholar] [CrossRef]
- Goumri-Said, S.; Kanoun, M.B. Theoretical investigations of structural, elastic, electronic and thermal properties of Damiaoite PtIn2. Comput. Mater. Sci. 2008, 43, 243–250. [Google Scholar] [CrossRef]
- Beckstein, O.; Klepeis, J.E.; Hart, G.L.W.; Pankratov, O. First-Principles Elastic Constants and Electronic Structure of α-Pt2Si and c. Phys. Rev. B 2001, 63, 134112. [Google Scholar] [CrossRef]
- Noheda, B.; Gonzalo, J.A.; Cross, L.E.; Guo, R.; Park, S.-E.; Cox, D.E.; Shirane, G. Tetragonal-to-Monoclinic Phase Transition in a Ferroelectric Perovskite: The Structure of PbZr0.52Ti0.48O3. Phys. Rev. B 2000, 61, 8687–8695. [Google Scholar] [CrossRef]
- Korozlu, N.; Colakoglu, K.; Deligoz, E.; Aydin, S. The Elastic and Mechanical Properties of MB12 (M = Zr, Hf, Y, Lu) as a Function of Pressure. J. Alloys Compd. 2013, 546, 157–164. [Google Scholar] [CrossRef]
- Pugh, S.F. XCII. Relations between the Elastic Moduli and the Plastic Properties of Polycrystalline Pure Metals. Lond. Edinb. Dublin Philos. Mag. J. Sci. 1954, 45, 823–843. [Google Scholar] [CrossRef]
- Bi, X.; Hu, X.; Li, Q. Effect of Co Addition into Ni Film on Shear Strength of Solder/Ni/Cu System: Experimental and Theoretical Investigations. Mater. Sci. Eng. A 2020, 788, 139589. [Google Scholar] [CrossRef]
- Feng, X.B.; Zhang, J.Y.; Wang, Y.Q.; Hou, Z.Q.; Wu, K.; Liu, G.; Sun, J. Size Effects on the Mechanical Properties of Nanocrystalline NbMoTaW Refractory High Entropy Alloy Thin Films. Int. J. Plast. 2017, 95, 264–277. [Google Scholar] [CrossRef]
- Shao, L.; Yang, M.; Ma, L.; Tang, B.-Y. Effect of Ta and Ti Content on High Temperature Elasticity of HfNbZrTa1−xTix Refractory High-Entropy Alloys. Int. J. Refract. Met. Hard Mater. 2021, 95, 105451. [Google Scholar] [CrossRef]
- Mouhat, F.; Coudert, F.-X. Necessary and Sufficient Elastic Stability Conditions in Various Crystal Systems. Phys. Rev. B 2014, 90, 224104. [Google Scholar] [CrossRef]
- Tian, J.; Zhao, Y.; Wen, Z.; Hou, H.; Han, P. Physical Properties and Debye Temperature of Al7Cu2Fe Alloy under Various Pressures Analyzed by First-Principles. Solid State Commun. 2017, 257, 6–10. [Google Scholar] [CrossRef]
- Carlsson, A.E.; Meschter, P.J. Relative Stability of LI2, DO22, and DO23 Structures in MAl3 Compounds. J. Mater. Res. 1989, 4, 1060–1063. [Google Scholar] [CrossRef]
- Gschneidner, K.A.; Ji, M.; Wang, C.Z.; Ho, K.M.; Russell, A.M.; Mudryk, Y.; Becker, A.T.; Larson, J.L. Influence of the Electronic Structure on the Ductile Behavior of B2 CsCl-Type AB Intermetallics. Acta Mater. 2009, 57, 5876–5881. [Google Scholar] [CrossRef]
- Gao, F.; Qu, J. Elastic Moduli of (Ni,Cu)3Sn4 Ternary Alloys from First-Principles Calculations. J. Electron. Mater. 2010, 39, 2429–2434. [Google Scholar] [CrossRef]
- Yeh, J.-W.; Chang, S.-Y.; Hong, Y.-D.; Chen, S.-K.; Lin, S.-J. Anomalous Decrease in X-Ray Diffraction Intensities of Cu–Ni–Al–Co–Cr–Fe–Si Alloy Systems with Multi-Principal Elements. Mater. Chem. Phys. 2007, 103, 41–46. [Google Scholar] [CrossRef]














| Ti | Nb | Mo | Ta | W | |
|---|---|---|---|---|---|
| NbMoTaW | 0 | 25.00 | 25.00 | 25.00 | 25.00 |
| Ti0.25NbMoTaW | 5.88 | 23.53 | 23.53 | 23.53 | 23.53 |
| Ti0.5NbMoTaW | 11.11 | 22.22 | 22.22 | 22.22 | 22.22 |
| Ti0.75NbMoTaW | 15.79 | 21.05 | 21.05 | 21.05 | 21.05 |
| TiNbMoTaW | 20.00 | 20.00 | 20.00 | 20.00 | 20.00 |
| Ti1.5NbMoTaW | 27.27 | 18.18 | 18.18 | 18.18 | 18.18 |
| Ti2NbMoTaW | 33.33 | 16.66 | 16.66 | 16.66 | 16.66 |
| Phase | Reference | B | G | E | ν | B/G | |||||
|---|---|---|---|---|---|---|---|---|---|---|---|
| NbMoTaW | This work | 371.24 | 133.63 | 63.28 | 212.83 | 81.65 | 244.99 | 0.37 | 70.35 | 2.61 | 0.49 |
| Calculation [33] | 425 | 158 | 86 | 247 | 102 | 270 | 0.32 | 2.42 | |||
| Calculation [33] | 392 | 158 | 79 | 236 | 92 | 245 | 0.33 | 2.56 | |||
| Ti0.25NbMoTW | This work | 381.37 | 143.57 | 69.71 | 222.83 | 86.45 | 259.38 | 0.37 | 73.86 | 2.58 | 0.35 |
| Ti0.5NbMoTaW | This work | 324.15 | 136.78 | 73.46 | 199.24 | 80.97 | 242.93 | 0.36 | 63.32 | 2.46 | 0.10 |
| Ti0.75NbMoTW | This work | 389.17 | 153.57 | 76.87 | 232.10 | 91.26 | 273.78 | 0.38 | 76.7 | 2.54 | 0.22 |
| TiNbMoTaW | This work | 334.43 | 117.57 | 66.87 | 189.85 | 81.23 | 243.71 | 0.35 | 50 | 2.33 | 0.29 |
| Ti1.5NbMoTaW | This work | 378.17 | 153.45 | 71.41 | 228.35 | 85.69 | 257.08 | 0.37 | 82.04 | 2.66 | 0.25 |
| Ti2NbMoTaW | This work | 392.46 | 183.15 | 64.12 | 252.92 | 78.10 | 234.31 | 0.39 | 119 | 3.23 | 0.29 |
| High-Entropy Alloy | Ti | Nb | Mo | Ta | W | |
|---|---|---|---|---|---|---|
| NbMoTaw | Nominal Composition | 0 | 25.00 | 25.00 | 25.00 | 25.00 |
| Actual Composition | 0 | 24.39 | 25.70 | 24.74 | 25.17 | |
| Dendritic Region (DR) | 0 | 46.83 | 19.80 | 25.35 | 8.02 | |
| Interdendritic Region (ID) | 0 | 21.87 | 24.84 | 25.51 | 27.79 | |
| Ti0.25NbMoTaw | Nominal Composition | 5.88 | 23.53 | 23.53 | 23.53 | 23.53 |
| Actual Composition | 4.57 | 22.95 | 23.81 | 23.30 | 25.37 | |
| Dendritic Region (DR) | 10.52 | 32.42 | 26.60 | 18.75 | 11.71 | |
| Interdendritic Region (ID) | 3.31 | 20.33 | 22.82 | 24.38 | 29.16 | |
| Ti0.5NbMoTaw | Nominal Composition | 11.11 | 22.22 | 22.22 | 22.22 | 22.22 |
| Actual Composition | 9.22 | 22.16 | 23.04 | 22.72 | 22.86 | |
| Dendritic Region (DR) | 21.80 | 28.55 | 22.82 | 16.30 | 10.52 | |
| Interdendritic Region (ID) | 6.35 | 20.28 | 22.14 | 24.28 | 26.95 | |
| Ti0.75NbMoTaw | Nominal Composition | 15.79 | 21.05 | 21.05 | 21.05 | 21.05 |
| Actual Composition | 15.10 | 20.63 | 21.67 | 21.20 | 21.40 | |
| Dendritic Region (DR) | 23.81 | 25.04 | 22.20 | 16.83 | 12.12 | |
| Interdendritic Region (ID) | 8.47 | 17.14 | 20.91 | 24.15 | 29.33 | |
| Ti1NbMoTaw | Nominal Composition | 20.00 | 20.00 | 20.00 | 20.00 | 20.00 |
| Actual Composition | 18.37 | 19.87 | 20.32 | 20.43 | 21.01 | |
| Dendritic Region (DR) | 28.84 | 22.66 | 20.65 | 15.72 | 12.13 | |
| Interdendritic Region (ID) | 12.02 | 17.66 | 20.06 | 22.89 | 27.37 | |
| Ti1.5NbMoTaw | Nominal Composition | 27.27 | 18.18 | 18.18 | 18.18 | 18.18 |
| Actual Composition | 26.78 | 18.09 | 18.29 | 18.63 | 18.22 | |
| Dendritic Region (DR) | 33.17 | 19.46 | 18.66 | 15.51 | 13.21 | |
| Interdendritic Region (ID) | 15.59 | 15.59 | 18.14 | 22.71 | 27.97 | |
| Ti2NbMoTaw | Nominal Composition | 33.33 | 16.66 | 16.66 | 16.66 | 16.66 |
| Actual Composition | 31.37 | 16.41 | 16.92 | 17.59 | 17.72 | |
| Dendritic Region (DR) | 48.33 | 17.54 | 15.77 | 10.90 | 7.46 | |
| Interdendritic Region (ID) | 22.18 | 15.65 | 17.91 | 20.97 | 23.30 |
| High-Entropy Alloys | Yield Strength (MPa) | Fracture Strength (MPa) | Plastic Strain |
|---|---|---|---|
| NbMoTaW | 1510 | 1558 | 3.8% |
| Ti0.25NbMoTaW | 1443 | 1605 | 7.5% |
| Ti0.5NbMoTaW | 1430 | 1470 | 4.3% |
| Ti0.75NbMoTaW | 1551 | 1856 | 14.6% |
| TiNbMoTaW | 1467 | 1636 | 9.4% |
| Ti1.5NbMoTaW | 1506 | 1893 | 17.3% |
| Ti2NbMoTaW | 1470 | 1797 | 17.1% |
Disclaimer/Publisher’s Note: The statements, opinions and data contained in all publications are solely those of the individual author(s) and contributor(s) and not of MDPI and/or the editor(s). MDPI and/or the editor(s) disclaim responsibility for any injury to people or property resulting from any ideas, methods, instructions or products referred to in the content. |
© 2025 by the authors. Licensee MDPI, Basel, Switzerland. This article is an open access article distributed under the terms and conditions of the Creative Commons Attribution (CC BY) license (https://creativecommons.org/licenses/by/4.0/).
Share and Cite
Zhao, R.; Cao, Y.; He, J.; Chen, J.; Liu, S.; Yang, Z.; Lin, J.; Chang, C. Microstructure and Mechanical Properties of TixNbMoTaW Refractory High-Entropy Alloy for Bolt Coating Applications. Coatings 2025, 15, 120. https://doi.org/10.3390/coatings15020120
Zhao R, Cao Y, He J, Chen J, Liu S, Yang Z, Lin J, Chang C. Microstructure and Mechanical Properties of TixNbMoTaW Refractory High-Entropy Alloy for Bolt Coating Applications. Coatings. 2025; 15(2):120. https://doi.org/10.3390/coatings15020120
Chicago/Turabian StyleZhao, Ruisheng, Yan Cao, Jinhu He, Jianjun Chen, Shiyuan Liu, Zhiqiang Yang, Jinbao Lin, and Chao Chang. 2025. "Microstructure and Mechanical Properties of TixNbMoTaW Refractory High-Entropy Alloy for Bolt Coating Applications" Coatings 15, no. 2: 120. https://doi.org/10.3390/coatings15020120
APA StyleZhao, R., Cao, Y., He, J., Chen, J., Liu, S., Yang, Z., Lin, J., & Chang, C. (2025). Microstructure and Mechanical Properties of TixNbMoTaW Refractory High-Entropy Alloy for Bolt Coating Applications. Coatings, 15(2), 120. https://doi.org/10.3390/coatings15020120

