Shear Thickening Polishing of Rotary Workpieces with Large Curvature Edges
Abstract
1. Introduction
2. Principle of Shear Thickening Polishing (STP)
3. Experimental Method and Conditions
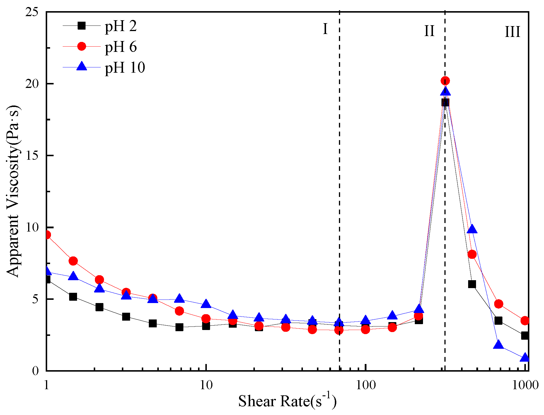
3.1. Preparation of STP Slurry
3.2. Experimental Method and Conditions
3.3. Measurement Method
4. Experimental Results and Analysis
4.1. Effect of Abrasive Particle Type on Surface Quality
4.2. Effect of Abrasive Particle Concentration on Surface Quality
4.3. Effect of Installation Angle on Surface Quality
4.4. Effect of Polishing Speed on Surface Quality
4.5. Selected Conditions
5. Conclusions
- (1)
- Abrasive Selection: High hardness and large-sized abrasives exhibit a higher material removal rate. However, they tend to cause scratches and holes during the polishing process. Silica sol, as a polishing particle, proves to be more suitable for achieving a smoother surface.
- (2)
- Process Parameters:
- Within a certain range, increasing the abrasive particle concentration improves both polishing efficiency and quality, resulting in lower surface roughness values.
- Polishing quality improves with an increase in the installation angle. At an angle of 55°, the inner arc achieves the best polishing effect, with a surface roughness (Ra) of 21.8 nm.
- A polishing speed of 55 r/min yields optimal results for the arc section. Higher speeds, however, can lead to pit formation at the top arc position.
- (3)
- Optimized Polishing Conditions: Polishing tests were performed under preferred parametric conditions: silica sol (80 nm) as the abrasive, an abrasive concentration of 9 wt.%, a polishing speed of 55 r/min, and a workpiece inclination angle of 55°. After 15 min of shear thickening polishing, the surface roughness of the outer arc decreased from (63.9 ± 5.7) nm to (14.3 ± 3.5) nm, the top arc decreased from (83.4 ± 4.3) nm to (23.8 ± 2.8) nm, and the inner arc decreased from (78.0 ± 4.4) nm to (21.8 ± 3.3) nm. The flow field of the polishing slurry under these conditions became more stable and effective, significantly contributing to the improved surface quality of the rotary workpiece.
- (4)
- Comparison with Traditional Methods: In terms of both polishing quality and efficiency, the force rheological polishing method outperforms traditional cashmere ball polishing.
- (5)
- This research validates the effectiveness of the shear thickening polishing method for rotary workpieces with large curvature edges. It provides a solid foundation and valuable insights for future polishing applications in this area.
Author Contributions
Funding
Institutional Review Board Statement
Informed Consent Statement
Data Availability Statement
Conflicts of Interest
References
- Zhou, Z. Current Research and Development Trends of Complex Surface Machining Technology. J. Mech. Eng. 2010, 46, 105–113. [Google Scholar] [CrossRef]
- Tsay, D.M.; Chen, H.C. A Study on Five Flank Machining of Centrifugal Compressor Impellers. J. Eng. Gas Turbines Power 2002, 124, 177–181. [Google Scholar] [CrossRef]
- Song, J.; Yao, Y. Material Removal Model Considering Influence of Curvature Radius in Bonnet Polishing Convex Surface. Chin. J. Mech. Eng. 2015, 28, 1109–1116. [Google Scholar] [CrossRef]
- Khatri, N.; Manoj, J.X.; Mishra, V. Experimental and simulation study of nanometric surface roughness generated during magnetorheological finishing of silicon. Mater. Today Proc. 2018, 5, 6391–6400. [Google Scholar] [CrossRef]
- Bouland, C.; Urlea, V.; Beaubier, K. Abrasive flow machining of laser powder bed-fused parts: Numerical modeling and experimental validation. J. Mater. Process. Technol. 2019, 273, 116262. [Google Scholar] [CrossRef]
- Liu, Z.; Xiao, L.; Liu, X. Abrasive water flow polishing of superalloy microholes drilled by electrical discharge machining. Precis. Eng. 2023, 84, 110–118. [Google Scholar] [CrossRef]
- Ke, X.; Wu, W.; Shi, C. Theoretical and experimental investigation of material removal in semi-rigid bonnet polishing of binderless tungsten carbide. J. Mater. Res. Technol. 2023, 24, 1597–1611. [Google Scholar] [CrossRef]
- Ji, S.M.; Zeng, X.; Jing, M.S. A new method for free surface polishing based on soft-consolidation abrasive Pneumatic Wheel. Adv. Mater. Res. 2012, 497, 190–194. [Google Scholar]
- Wang, Y.; Zhang, Y.; Feng, Z. Analyzing and improving surface texture by dual-rotation magnetorheological finishing. Appl. Surf. Sci. 2016, 360, 224–233. [Google Scholar] [CrossRef]
- Li, J.; Fan, Z.; Gao, J. Multi-pole magnetorheological shear thickening polishing on inner surface of aluminum alloy slender tubes. J. Mater. Res. Technol. 2023, 27, 8258–8270. [Google Scholar] [CrossRef]
- Liu, H.; Cheng, J.; Wang, T. Magnetorheological finishing of an irregular-shaped small-bore complex component using a small ball-end permanent-magnet polishing head. Nanotechnol. Precis. Eng. 2019, 2, 125–129. [Google Scholar] [CrossRef]
- Kumar, M.; Kumar, A.; Bharti, R.K. A review on rheological properties of magnetorheological fluid for engineering components polishing. Mater. Today Proc. 2022, 56, A6–A12. [Google Scholar] [CrossRef]
- Wang, A.C.; Cheng, K.C.; Chen, K.Y. A study on the abrasive gels and the application of abrasive flow machining in complex-hole polishing. Procedia CIRP 2018, 68, 523–528. [Google Scholar] [CrossRef]
- Fu, Y.; Gao, H.; Yan, Q. Rheological characterisation of abrasive media and finishing behaviours in abrasive flow machining. Int. J. Adv. Manuf. Technol. 2020, 107, 3569–3580. [Google Scholar] [CrossRef]
- Pan, Z.; Wan, Q.f.; Lei, Y. Research on Motion of Abrasive in Post-mixed AbrasiveWater Jet. Mach. Tools Hydraul. 2014, 42, 109–112. (In Chinese) [Google Scholar] [CrossRef]
- Booij, S.M. Fluid Jet Polishing: Possibilities and Limitations of a New Fabrication Technique. Ph.D. Thesis, Technical University of Delft, Delft, The Netherlands, 2004. [Google Scholar]
- Yang, R.; Lin, X. Wear behaviour of abrasive tools and its effect on surface integrity during polishing superalloy GH4169G with abrasive cloth flap wheels. J. Manuf. Process. 2024, 120, 286–304. [Google Scholar] [CrossRef]
- Li, M.; Lyu, B.H.; Yuan, J.L. Shear-thickening polishing method. Int. J. Mach. Tools Manuf. 2015, 94, 88–99. [Google Scholar] [CrossRef]
- Shao, Q.; Lyu, B.H.; Yuan, J.L. Shear thickening polishing of the concave surface of high-temperature nickel-based alloy turbine blade. J. Mater. Res. Technol. 2021, 11, 72–84. [Google Scholar] [CrossRef]
- Wang, B.; Tang, M.; Song, C. Effects of shear thickening fluid preparation on tool performance in the milling of Ti6Al4V titanium alloy. J. Manuf. Process. 2024, 113, 95–104. [Google Scholar] [CrossRef]
- Nguyen, D.N.; Dao, T.P.; Prakash, C. Machining parameter optimization in shear thickening polishing of gear surfaces. J. Mater. Res. Technol. 2020, 9, 5112–5126. [Google Scholar] [CrossRef]
- Wang, J.H.; Ke, M.F. Cutting edge preparation of microdrills by shear thickening polishing for improved hole quality in electronic PCBs. Front. Mech. Eng. 2024, 19, 15. [Google Scholar] [CrossRef]
- Zhou, Z.; Zhou, R.; Zhu, T. Shear-thickening effect in electrorheological fluid-assisted polishing. Mater. Lett. 2024, 377, 137342. [Google Scholar] [CrossRef]
- Zhu, Z.H.; Huang, P. Fast-tool-servo-controlled shear-thickening micropolishing. Int. J. Mach. Tools Manuf. 2023, 184, 103968. [Google Scholar] [CrossRef]
- Zhou, Y.; Zhang, J.; Shao, X. High Efficiency Preparation of Microdrill Edge by Shear Thickening Polishing. Int. J. Precis. Eng. Manuf.-Green Technol. 2024, 12, 75–95. [Google Scholar] [CrossRef]
- Wang, J.H.; Lyu, B.H.; Jiang, L. Chemistry enhanced shear thickening polishing of Ti–6Al–4V. Precis. Eng. 2021, 72, 59–68. [Google Scholar] [CrossRef]
- Chen, Y.; Jiang, M.; He, C. Microstructures and mechanical properties of dissimilar joints between cobalt-based superalloy FSX-414 and additively manufactured 316L stainless steel. Mater. Today Commun. 2025, 42, 111087. [Google Scholar] [CrossRef]
- Jamalkhani, M.; Dorula, M.; Roberts, E. Densification kinetics, microstructural evolution and mechanical properties of isothermally sintered binder jetted 316L stainless steel. J. Manuf. Process. 2024, 125, 267–282. [Google Scholar] [CrossRef]































| Experimental Conditions | Parameters |
|---|---|
| Diameter of polishing tank (mm) | 400 |
| Rotation speed of samples (rpm) | 10 |
| Abrasive | Diamond, Alumina, Colloidal silica |
| Diamond concentration (wt.%) | 3, 6, 9, 12 |
| Abrasive size (nm) | 80 |
| Polishing speed (rpm) | 45, 50, 55, 60 |
| Installation angle (°) | 45, 50, 55, 60 |
| Time per trial (min) | 15 |
| Initial Conditions | Values |
|---|---|
| Material | 316L stainless steel |
| Radius of the top arc r1 (mm) | 2 |
| Radius of the inner arc r2 (mm) | 2.1 |
| Radius of the outer arc r3 (mm) | 2.2 |
| Roughness of outer arc Ra/Sa (nm) | 63.9 ± 5.7/36.3 ± 2.4 |
| Roughness of top arc Ra/Sa (nm) | 83.4 ± 4.3/40.9 ± 3.1 |
| Roughness of inner arc Ra (nm) | 78.0 ± 4.4 |
| Abrasive | Diamond Concentration | Abrasive Size | Polishing Speed | Installation Angle |
|---|---|---|---|---|
| Colloidal silica | 9 wt.% | 80 nm | 55 rpm | 55° |
| Position | Roughness Ra (nm) | ||
|---|---|---|---|
| Outer Arc | Top Arc | Inner Arc | |
| Initial surface | 63.9 ± 5.7/36.3 ± 2.4 | 83.4 ± 4.3/40.9 ± 3.1 | 78.0 ± 4.4 |
| Polishing surface | 14.3 ± 3.5/3.6 ± 1.8 | 23.8 ± 2.8/4.1 ± 1.5 | 21.8 ± 3.3 |
| Abrasive | Diluent Dripping Speed | Abrasive Size | Polishing Speed | Size of Cashmere Ball Head. |
|---|---|---|---|---|
| Diamond | 4–5 drops/minute | W5 | 6000 rpm | 20 × 3 mm |
Disclaimer/Publisher’s Note: The statements, opinions and data contained in all publications are solely those of the individual author(s) and contributor(s) and not of MDPI and/or the editor(s). MDPI and/or the editor(s) disclaim responsibility for any injury to people or property resulting from any ideas, methods, instructions or products referred to in the content. |
© 2025 by the authors. Licensee MDPI, Basel, Switzerland. This article is an open access article distributed under the terms and conditions of the Creative Commons Attribution (CC BY) license (https://creativecommons.org/licenses/by/4.0/).
Share and Cite
Shang, Z.; Tang, Z.; Zhang, W.; Wu, L.; Wang, J.; Lyu, B. Shear Thickening Polishing of Rotary Workpieces with Large Curvature Edges. Coatings 2025, 15, 96. https://doi.org/10.3390/coatings15010096
Shang Z, Tang Z, Zhang W, Wu L, Wang J, Lyu B. Shear Thickening Polishing of Rotary Workpieces with Large Curvature Edges. Coatings. 2025; 15(1):96. https://doi.org/10.3390/coatings15010096
Chicago/Turabian StyleShang, Zhendong, Zewei Tang, Weiwei Zhang, Liqiang Wu, Jiahuan Wang, and Binghai Lyu. 2025. "Shear Thickening Polishing of Rotary Workpieces with Large Curvature Edges" Coatings 15, no. 1: 96. https://doi.org/10.3390/coatings15010096
APA StyleShang, Z., Tang, Z., Zhang, W., Wu, L., Wang, J., & Lyu, B. (2025). Shear Thickening Polishing of Rotary Workpieces with Large Curvature Edges. Coatings, 15(1), 96. https://doi.org/10.3390/coatings15010096

