In Situ Synthesis of Zr-Doped Mesoporous Silica Based on Zr-Containing Silica Residue and Its High Adsorption Efficiency for Methylene Blue
Abstract
1. Introduction
2. Experimental
2.1. Raw Materials
2.2. Extraction of Silicate from ZSR
2.3. Synthesis of MCM-41 and SBA-15
2.4. Characterization
2.5. Adsorption Experiments
3. Results and Discussion
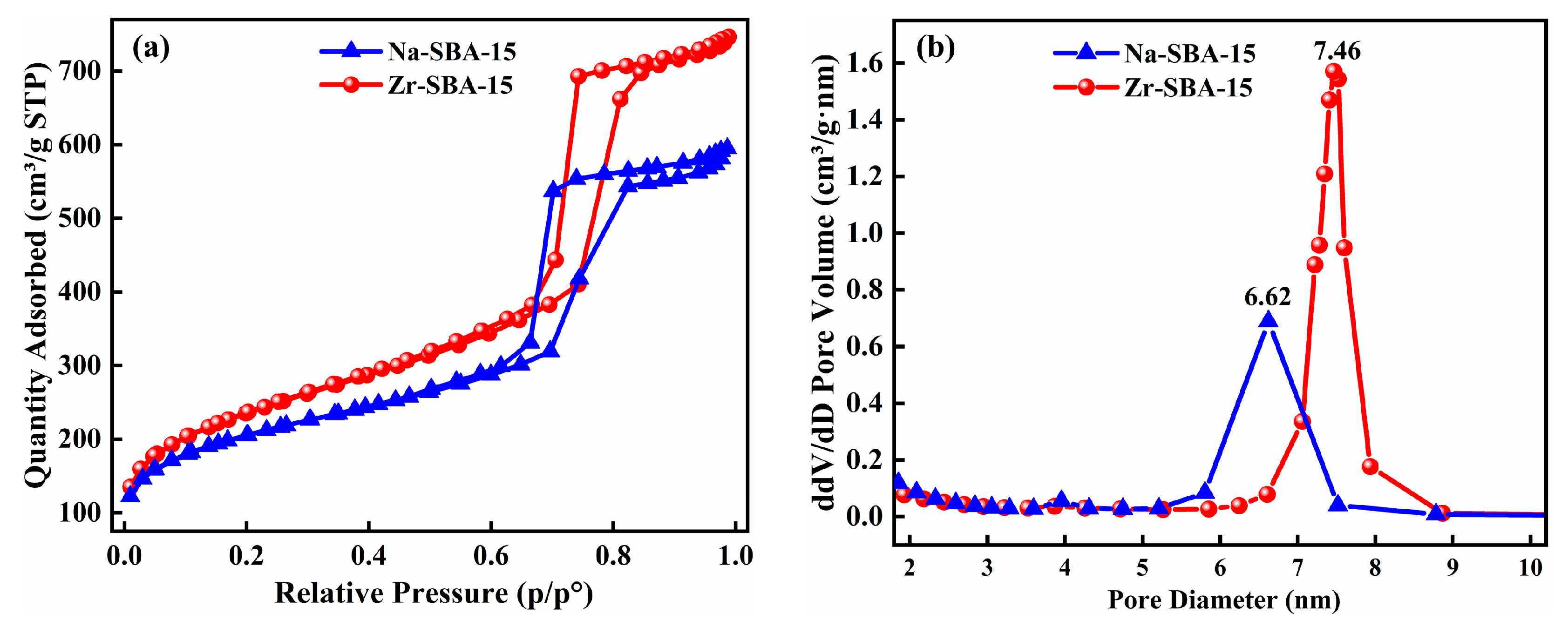
3.1. Characterization of Mesoporous Silica Prepared from ZSR
3.2. Evaluation of the Adsorption Performance of Mesoporous Silica
4. Conclusions
Author Contributions
Funding
Institutional Review Board Statement
Informed Consent Statement
Data Availability Statement
Conflicts of Interest
References
- Mohamed, H.; Ahmed, H.R.; Salah, S.E.; Mostafa, A.T.; Mahmoud, F.M. Eco-friendly Activated Carbon Thin Film-Zeolitic Imidazolate Framework-8 (ACTF@ZIF-8) Nanocomposite for Efficient Methylene Blue Removal: Synthesis, Characterization, and Adsorption Performance. J. Clust. Sci. 2025, 36, 2. [Google Scholar] [CrossRef]
- Hideyuki, K.; Md Ashraful, I.M.; Jahida, B.I.; Ikki, T.; Mai, F.; Satoshi, K. Dual Z-scheme heterojunction g-C3N4/Ag3PO4/AgBr photocatalyst with enhanced visible-light photocatalytic activity. Ceram. Int. 2022, 48, 21939–21946. [Google Scholar] [CrossRef]
- Solayman, H.M.; Hossen, M.A.; Abd Aziz, A.; Yahya, N.Y.; Leong, K.H.; Sim, L.C.; Monir, M.U.; Zoh, K.D. Performance evaluation of dye wastewater treatment technologies: A review. J. Environ. Chem. Eng. 2023, 11, 109610. [Google Scholar] [CrossRef]
- Liang, B.; Zhu, P.; Gu, J.; Yuan, W.; Xiao, B.; Hu, H.; Rao, M. Advancing Adsorption and Separation with Modified SBA-15: A Comprehensive Review and Future Perspectives. Molecules 2024, 29, 3543. [Google Scholar] [CrossRef] [PubMed]
- Khan, D. Shaily Synthesis and catalytic applications of organo-functionalized MCM-41 catalyst: A review. Appl. Organomet. Chem. 2023, 37, e7007. [Google Scholar] [CrossRef]
- Porrang, S.; Davaran, S.; Rahemi, N.; Allahyari, S.; Mostafavi, E. How advancing are mesoporous silica nanoparticles? A comprehensive review of the literature. Int. J. Nanomed. 2022, 17, 1803–1827. [Google Scholar] [CrossRef] [PubMed]
- Aquino, G.D.; Moreno, M.S.; Benedictto, G.P.; Pereyra, A.M. Industrially compatible synthesis of MCM-41 with spatial organization at the macro-mesoscale. Microporous Mesoporous Mater. 2024, 377, 113225. [Google Scholar] [CrossRef]
- Santhamoorthy, M.; Ranganathan, S.; Sigamani, L.F.A.; Kim, S.C.; Pandiaraj, S.; Manoharadas, S.; Lin, M.C.; Kumarasamy, K.; Phan, T.T.V. Dimercaprol-modifed mesoporous silica nanoparticles for efficient removal of toxic mercury ions from aqueous solution. Environ. Geochem. Health 2024, 46, 401. [Google Scholar] [CrossRef] [PubMed]
- Yu, L.; Xu, C.; Zhou, Q.; Fu, X.; Liang, Y.; Wang, W. Facile synthesis of hierarchical porous ZSM-5 zeolite with tunable mesostructure and its application in catalytic cracking of LDPE. J. Alloys Compd. 2023, 965, 171454. [Google Scholar] [CrossRef]
- Abdullah, N.; Ainirazali, N.; Setiabudi, H.D.; Mohamed, A.R.; Jalil, A.A. Enhanced hydrogen generation from biodiesel-waste glycerol using Ni/SBA-15 catalyst synthesized from boiler ash. Int. J. Hydrog. Energy 2024, 53, 1052–1064. [Google Scholar] [CrossRef]
- Tan, M.; Li, X.; Feng, Y.; Wang, B.; Han, L.; Bao, W.; Chang, L.; Wang, J. Fly ash-derived mesoporous silica with large pore volume for augmented CO2 capture. Fuel 2023, 351, 128874. [Google Scholar] [CrossRef]
- Xu, S.; Zhou, C.; Fang, H.; Zhu, W.; Shi, J.; Liu, G. Synthesis of ordered mesoporous silica from biomass ash and its application in CO2 adsorption. Environ. Res. 2023, 231, 116070. [Google Scholar] [CrossRef]
- Hossain, S.S.; Bae, C.J.; Roy, P.K. Recent progress of wastes derived nano-silica: Synthesis, properties, and applications. J. Clean. Prod. 2022, 377, 134418. [Google Scholar] [CrossRef]
- Liu, R.; Xue, T.; Song, J.; Wang, Y.; Qi, T.; Qu, J.; Du, A. Removal of silicon in acid leaching and flocculation processes during zirconium oxychloride octahydrate production. Ceram. Int. 2014, 40, 8801–8808. [Google Scholar] [CrossRef]
- GB/T 4209-2022; Sodium Silicate for Industrial Use. China General Administration for Market Regulation: Beijing, China, 2022.
- Lin, H.; Cheng, S.; Mou, C. Effect of delayed neutralization on the synthesis of mesoporous MCM-41 molecular sieves. Microporous Mater. 1997, 10, 111–121. [Google Scholar] [CrossRef]
- Lin, H.; Mou, C. “Tubules-Within-a-Tubule” Hierarchical Order of Mesoporous Molecular Sieves in MCM-41. Science 1996, 273, 765–768. [Google Scholar] [CrossRef]
- Chai, Z.; Liu, B.; Lv, P.; Bai, Y.; Wang, J.; Su, W.; Song, X.; Yu, G.; Xu, G. Microwave synthesis of amino-functionalized MCM-41 from coal gasification fine slag for efficient bidirectional adsorption of anionic and cationic dyes. Chemosphere 2024, 351, 141229. [Google Scholar] [CrossRef] [PubMed]
- de Paula, G.M.; de Paula, L.D.R.; Rodrigues, M.G.F. Production of MCM-41 and SBA-15 Hybrid Silicas from Industrial Waste. Silicon 2022, 14, 439–447. [Google Scholar] [CrossRef]
- Hassan, S.F.; Lin, K.S.; Mdlovu, N.V.; Dwitya, S.S.; Nguyen, T.K.C. Synthesis and characterization of ZrO2-loaded rice husk ash-derived MCM-41 nanocomposites for boron adsorption from wastewater. J. Environ. Chem. Eng. 2024, 12, 114441. [Google Scholar] [CrossRef]
- Filiz, A.; Fatma, T. Fabrication of Ag/Zr-SBA-15 materials in presence of tannic acid and their use in removal of organic pollutants from wastewater. Mater. Chem. Phys. 2024, 326, 129817. [Google Scholar]
- Thommes, M.; Kaneko, K.; Neimark, A.V.; Olivier, J.P.; Rodriguez-Reinoso, F.; Rouquerol, J.; Sing, K.S.W. Physisorption of gases, with special reference to the evaluation of surface area and pore size distribution (IUPAC Technical Report). Pure Appl. Chem. 2015, 87, 1051–1069. [Google Scholar] [CrossRef]
- Zhang, X.; Du, T. Study of rice husk ash derived MCM-41-type materials on pore expansion, Al incorporation, PEI impregnation, and CO2 adsorption. Korean J. Chem. Eng. 2022, 39, 736–759. [Google Scholar] [CrossRef] [PubMed]
- Chen, Y.; Zhang, Z.; Fan, H.; Pan, L.; Jin, L. Short channeled Zr-SBA-15 supporting copper-based nanoparticles: Synthesis, characterization, and antibacterial activity. Microporous Mesoporous Mater. 2024, 377, 113221. [Google Scholar] [CrossRef]
- Beurer, A.K.; Dieterich, S.; Solodenko, H.; Kaya, E.; Merdanoǧlu, N.; Schmitz, G.; Traa, Y.; Bruckner, J.R. Comparative study of lattice parameter and pore size of ordered mesoporous silica materials using physisorption, SAXS measurements and transmission electron microscopy. Microporous Mesoporous Mater. 2023, 354, 112508. [Google Scholar] [CrossRef]
- Ibrahim, A.A.; Salama, R.S.; El-Hakam, S.A.; Khder, A.S.; Ahmed, A.I. Synthesis of sulfated zirconium supported MCM-41 composite with high-rate adsorption of methylene blue and excellent heterogeneous catalyst. Colloids Surf. A 2021, 616, 126361. [Google Scholar] [CrossRef]
- de Oliveira, T.F.; de Souza, C.P.; Lopes-Moriyama, A.L.; de Silva, M.L.P. In situ modification of MCM-41 using niobium and tantalum mixed oxide from columbite processing for methylene blue adsorption: Characterization, kinetic, isotherm, thermodynamic and mechanism study. Mater. Chem. Phys. 2023, 294, 127011. [Google Scholar] [CrossRef]
- Ebrahimpour, M.; Hassaninejad-Darzi, S.K.; Mousavi, H.Z. Adsorption of ternary toxic crystal violet, malachite green and methylene blue onto synthesized SBA-15 mesoporous nanoparticles. Int. J. Environ. Anal. Chem. 2022, 102, 2512–2535. [Google Scholar] [CrossRef]
- Chen, L.; Shen, H.; Lyu, R.; Zhu, J.; Zhang, Y.; Yao, Q.; Chen, S.; Gu, S.; Han, Q.; Li, P. A incorporation of metal into worm-like mesoporous silica materials for selective adsorption of MB in dyestuff. J. Mol. Liq. 2024, 400, 124585. [Google Scholar] [CrossRef]











| Sample | Composition (wt.%) | ||||||||||
|---|---|---|---|---|---|---|---|---|---|---|---|
| SiO2 | ZrO2 | HfO2 | Al2O3 | TiO2 | Fe2O3 | ThO2 | Na2O | Y2O3 | CaO | U3O8 | |
| ZSR | 87.80 | 8.30 | 3.30 | 0.18 | 0.15 | 0.09 | 0.08 | 0.08 | 0.03 | 0.01 | 0.01 |
| Sample | Composition (wt.%) | |||||||||
|---|---|---|---|---|---|---|---|---|---|---|
| SiO2 | ZrO2 | Na2O | HfO2 | SO3 | P2O5 | Al2O3 | CaO | Cl | Fe2O3 | |
| Zr-MCM-41 | 97.64 | 0.67 | 1.09 | 0.12 | 0.14 | 0.28 | 0.11 | 0.15 | 0.14 | 0.04 |
| Zr-SBA-15 | 99.02 | 0.41 | - | 0.08 | 0.13 | 0.11 | 0.07 | 0.07 | 0.05 | 0.04 |
| Sample | d100 (nm) | SBET (m2/g) | Vp (cm3/g) | dp (nm) | a (nm) |
|---|---|---|---|---|---|
| Na-MCM-41 | 4.03 | 1011 | 1.013 | 3.16 | 4.65 |
| Zr-MCM-41 | 3.94 | 910 | 1.098 | 4.18 | 4.55 |
| Na-SBA-15 | 10.37 | 707 | 0.92 | 5.52 | 11.97 |
| Zr-SBA-15 | 10.86 | 846 | 1.154 | 5.35 | 12.54 |
| Model | Parameter | Zr-MCM-41 | Zr-SBA-15 | Model | Parameter | Zr-MCM-41 | Zr-SBA-15 |
|---|---|---|---|---|---|---|---|
| PFO | Qe,cal (mg/g) | 479.95 | 341.66 | Langmuir | Qmax (mg/g) | 618.43 | 516.58 |
| K1 (min−1) | 1.699 | 3.297 | KL (L/mg) | 1.8996 | 1.8614 | ||
| R2 | 0.9820 | 0.9977 | R2 | 0.8858 | 0.8607 | ||
| PSO | Qe,cal (mg/g) | 494.05 | 343.63 | Freundlich | KF (mg1−n Ln/g) | 276.36 | 229.41 |
| K2 (g/(mg⋅min)) | 0.00823 | 0.0556 | 1/n | 0.2018 | 0.2070 | ||
| R2 | 0.9980 | 0.9993 | R2 | 0.9318 | 0.9436 |
Disclaimer/Publisher’s Note: The statements, opinions and data contained in all publications are solely those of the individual author(s) and contributor(s) and not of MDPI and/or the editor(s). MDPI and/or the editor(s) disclaim responsibility for any injury to people or property resulting from any ideas, methods, instructions or products referred to in the content. |
© 2025 by the authors. Licensee MDPI, Basel, Switzerland. This article is an open access article distributed under the terms and conditions of the Creative Commons Attribution (CC BY) license (https://creativecommons.org/licenses/by/4.0/).
Share and Cite
Wang, H.; Chen, W.; Yan, S.; Guo, C.; Ma, W.; Yang, A. In Situ Synthesis of Zr-Doped Mesoporous Silica Based on Zr-Containing Silica Residue and Its High Adsorption Efficiency for Methylene Blue. Coatings 2025, 15, 77. https://doi.org/10.3390/coatings15010077
Wang H, Chen W, Yan S, Guo C, Ma W, Yang A. In Situ Synthesis of Zr-Doped Mesoporous Silica Based on Zr-Containing Silica Residue and Its High Adsorption Efficiency for Methylene Blue. Coatings. 2025; 15(1):77. https://doi.org/10.3390/coatings15010077
Chicago/Turabian StyleWang, Haiou, Weidong Chen, Shufang Yan, Chunxia Guo, Wen Ma, and Ao Yang. 2025. "In Situ Synthesis of Zr-Doped Mesoporous Silica Based on Zr-Containing Silica Residue and Its High Adsorption Efficiency for Methylene Blue" Coatings 15, no. 1: 77. https://doi.org/10.3390/coatings15010077
APA StyleWang, H., Chen, W., Yan, S., Guo, C., Ma, W., & Yang, A. (2025). In Situ Synthesis of Zr-Doped Mesoporous Silica Based on Zr-Containing Silica Residue and Its High Adsorption Efficiency for Methylene Blue. Coatings, 15(1), 77. https://doi.org/10.3390/coatings15010077

