Evaluation of the Corrosion Resistance of Watch Links from 316L and 904L Austenitic Stainless Steels Obtained by the Metal Injection Molding (MIM) Technique Intended to Be in Contact with Human Skin
Abstract
1. Introduction
- −
- Gas atomization, where jets of high-pressure gas (usually nitrogen, argon or helium) strike a stream of liquid metal as they emerge through the nozzle;
- −
- Liquid under pressure (usually water) can replace gas under pressure by transforming it in an atomization process with water;
- −
- In another system, an electric arc encroaches on a rapidly rotating electrode. The centrifugal force causes the molten metal droplets to fly from the surface of the electrode and freeze in flight.
2. Materials and Methods
2.1. Materials
- −
- Milling × 1 Time: This is a feedstock in which the metal powder is obtained by grinding once;
- −
- Milling × 2 Times: This is a feedstock where the metal powder used is obtained by grinding twice.
2.2. Evaluation of Corrosion Behavior Using Electrochemical Techniques
- −
- The open circuit potential recorded during immersion in the deaerated electrolyte with Ar for 16 h;
- −
- The polarization resistance (Rp) calculated from the plotted polarization curve (±20 mV);
- −
- The Tafel slopes and the corrosion current (Icorr) calculated from the polarization curve (±150 mV);
- −
- The coulometric analysis by zone drawing the overall polarization curve (−1000 mV to +1000 mV).
3. Results and Discussion
3.1. Metallography
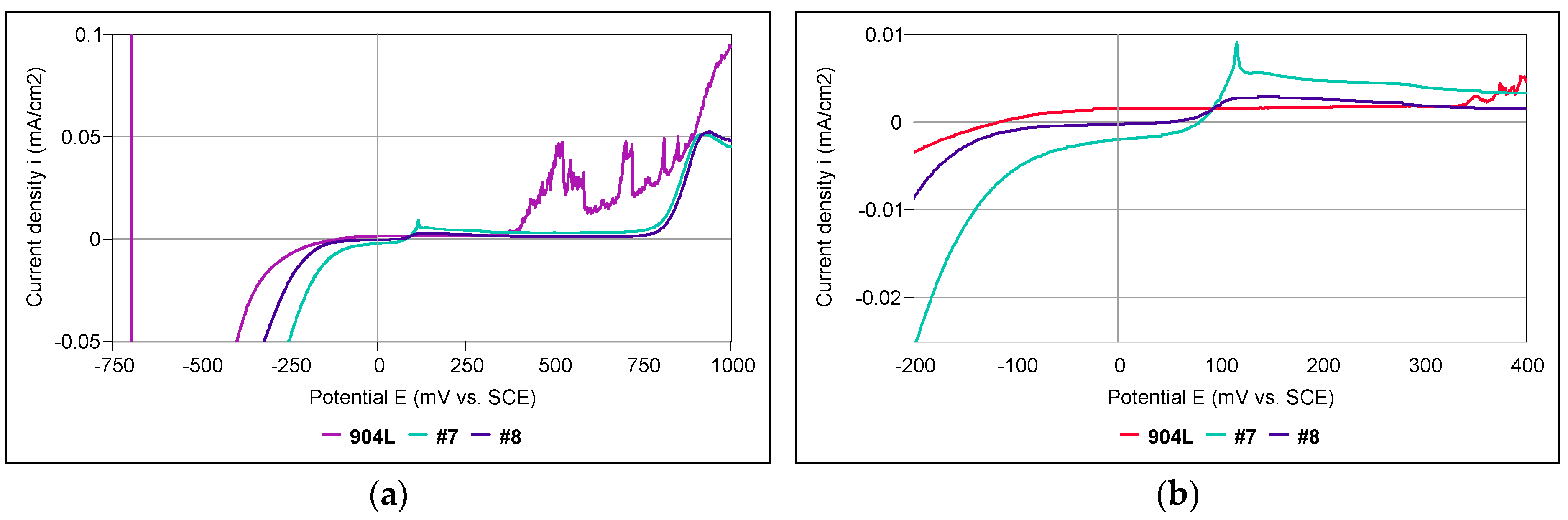
3.2. Corrosion Behavior Evaluation Using Electrochemical Techniques
4. Conclusions
- −
- The measured and calculated electrochemical quantities showed the presence of localized pitting and crevice corrosion processes between 100 and 400 mV. Unfortunately, due to a lack of samples specific to the localized corrosion test, our laboratory was unable to precisely determine and analyze this type of behavior. Generally, if MIM steels are compared with conventional steels, their corrosion resistance behaviors were noted to be inferior.
- −
- In the couplings studied, the galvanic currents generated were very important. The shape of the curves also revealed the presence of localized corrosion phenomena.
- −
- According to tests in ferric chloride, for the MIM steels, inferior behavior was noted compared to conventional steels. MIM type 904L steels were comparable in behavior to conventional type 316L steels.
- −
- The quantities of nickel released according to EN 1811 were very significant and did not meet the requirements of the European directive of 0.5 μg.cm−2.week−1.
- −
- The parameters studied to characterize corrosion behavior did not reveal any correlation with the manufacturing parameters proposed as technological criteria.
Author Contributions
Funding
Institutional Review Board Statement
Informed Consent Statement
Data Availability Statement
Conflicts of Interest
References
- Suwanpreecha, C.; Manonukul, A.A. Review on Material Extrusion Additive Manufacturing of Metal and How It Compares with Metal Injection Moulding. Metals 2022, 12, 429. [Google Scholar] [CrossRef]
- Hwang, I.-S.; So, T.-Y.; Lee, D.-H.; Shin, C.-S. Characterization of Mechanical Properties and Grain Sizeof Stainless Steel 316L via Metal Powder Injection Molding. Materials 2023, 16, 2144. [Google Scholar] [CrossRef] [PubMed]
- Widiantara, I.P.; Putri, R.A.K.; Han, D.I.; Bahanan, W.; Lee, E.H.; Woo, C.H.; Kang, J.-H.; Ryu, J.; Ko, Y.G. Characterization of Green Part of Steel from Metal Injection Molding: An Analysis Using Moldflow. Materials 2023, 16, 2516. [Google Scholar] [CrossRef]
- Yi, J.H.; Shi, W.F. The technology of metal powder injection molding and its development. Min. Metall. Eng. 2001, 21, 4–8. [Google Scholar]
- Su, S.; Hong, Z.; Huang, Y.; Wang, P.; Li, X.; Wu, J.; Wu, Y. Integrated Numerical Simulations and Experimental Measurements for the Sintering Process of Injection-Molded Ti-6Al-4V Alloy. Materials 2022, 15, 8109. [Google Scholar] [CrossRef] [PubMed]
- Langlais, D.; Demers, V.; Brailovski, V. Rheology of dry powders and metal injection molding feedstocks formulated on their base. Powder Technol. 2022, 396, 13–26. [Google Scholar] [CrossRef]
- Hu, C.; Hg, H.; Fan, B.; Li, J.; Wang, T.; Li, D.; Li, Y. Biocompatibility of vascular stents manufactured using metal injection molding in animal experiments. Trans. Nonferrous Met. Soc. China 2022, 32, 569–580. [Google Scholar]
- Hamidi, M.F.F.A.; Harun, W.S.W.; Samykano, M.; Ghani, S.A.C.; Ghazalli, Z.; Ahmad, F.; Sulong, A.B. A review of biocompatible metal injection moulding process parameters for biomedical applications. Mater. Sci. Eng. C 2017, 78, 1263–1276. [Google Scholar] [CrossRef]
- Dehghan-Manshadi, A.; Yu, P.; Dargusch, M.; StJohn, D.; Qian, M. Metal injection moulding of surgical tools, biomaterials and medical devices: A review. Powder Technol. 2020, 15, 189–204. [Google Scholar] [CrossRef]
- Gross, M.; Motivans, L. Medical Device Materials Bimetallic MIM medical components. Mater. Process. Med. Devices 2003, 403–407. [Google Scholar]
- Zhang, W.; Li, L.; Huang, C.; Ngai, T.; Hu, L. Effect of Sintering Temperature and Solution Treatment on Phase Changes and Mechanical Properties of High-Nitrogen Stainless Steel Prepared by MIM. Materials 2023, 16, 2135. [Google Scholar] [CrossRef] [PubMed]
- Prathabrao, M.; Ibrahim, M.H.I.; Amin, S.Y.M.; Othman, M.H. Parameter optimization of metal injection moulding: A review. J. Mech. Eng. 2018, 5, 100–114. [Google Scholar]
- Basir, A.; Muhamad, N.; Sulong, A.B.; Jamadon, N.H.; Foudzi, F.M. Recent Advances in Processing of Titanium and Titanium Alloys through Metal Injection Molding for Biomedical Applications: 2013–2022. Materials 2023, 16, 3991. [Google Scholar] [CrossRef] [PubMed]
- Dehghan-Manshadi, A.; Chen, Y.; Shi, Z.; Bermingham, M.; StJohn, D.; Dargusch, M.; Qian, M. Porous titanium scaffolds fabricated by metal injection moulding for biomedical applications. Materials 2018, 11, 1573. [Google Scholar] [CrossRef] [PubMed]
- D’Andrea, D. Additive Manufacturing of AISI 316L Stainless Steel: A Review. Metals 2023, 13, 1370. [Google Scholar] [CrossRef]
- Santonocito, D.; Fintova, S.; Di Cocco, V.; Iacoviello, F.; Risitano, G.; D’Andrea, D. Comparison on mechanical behavior and microstructural features between traditional and AM SISI 316L. Fatigue Fract. Eng. Mater. Struct. 2022, 46, 379–395. [Google Scholar] [CrossRef]
- Liu, C.; Kong, X.; Kuang, C.; Fenmo, Y.J. Research on powder injection molding of grade 2 CP-titanium for biomedical application. Powder Metall. Technol. 2016, 34, 281–284+290. [Google Scholar]
- Horke, K.; Singer, R. High Cycle Fatigue of Titanium fabricated by Metal Injection Moulding (MIM). In Proceedings of the International Powder Metallurgy Congress and Exhibition, Euro PM 2013, Gothenburg, Sweden, 15–18 September 2013. [Google Scholar]
- Kearns, M.; Johnston, M.; Murray, K.; Davies, P.; Ryabinin, V.; Gonzalez, E. Studies on the effects of niobium on sintering and properties of MIM 440C made by prealloy and master-Alloy routes E. Int. J. Powder Metall. 2016, 52, 15–24. [Google Scholar]
- Ytoh, Y.; Miura, H. Fabrication of high strength Ti alloy compacts by metal injection molding. J. Jpn. Soc. Powder Powder Metall. 2016, 63, 438–444. [Google Scholar] [CrossRef]
- Johari, N.; Sauti, R.; Abdullah, N.; Mohd Zainon, N.; Meh, B.; Abd Jalil, M.; Mohd Hijazi, M.; Omar, A.; Omar, M.; Baharuddin, M.Y.; et al. Physical and Mechanical Properties of Injection Molded Co-Cr-Mo Alloy Powder for Orthopedic Applications. Adv. Mater. Res. 2016, 1133, 80–84. [Google Scholar] [CrossRef]
- Sagara, K.; Nishida, M.; Kang, H.; Tsumori, F.; Miura, H.; Nakayama, H. Fabrication of super-elastic Ti-10V-2Fe-3Al alloy compacts by MIM process. J. Jpn. Soc. Powder Powder Metall. 2011, 58, 361–366. [Google Scholar] [CrossRef][Green Version]
- Kearns, M.; Murray, K.; Davies, P.; Johnston, M.; Ryabinin, V.; Gonzalez, E. Processing and properties of MIM 430L(Nb) made by Prealloy and Master Alloy Routes Advances. In Proceedings of the European Congress and Exhibition on Powder Metallurgy, Milan, Italy, 1–5 September 2017; pp. 331–340. [Google Scholar]
- Muterlle, P.; Perina, M.; Molinari, A. MIM of Co alloy for biomedical applications. In Injection Molding: Process, Design, and Applications; Nova Science Publishers: Hauppauge, NY, USA, 2011; pp. 185–218. [Google Scholar]
- Lin, B.; Duan, B.; Qu, X. Effects of different powders on the properties of heat-resistant alloys prepared by metal injection molding. J. Univ. Sci. Technol. 2008, 30, 1024–1028. [Google Scholar]
- Virdhian, S.; Osada, T.; Sonoda, T.; Kang, H.; Tsumori, F.; Miura, H.; Funtai Oyobi Fummatsu, Y. Evaluation and analysis of distortion during MIM process of titanium alloy materials—2nd report. J. Jpn. Soc. Powder Powder Metall. 2012, 59, 272–277. [Google Scholar] [CrossRef][Green Version]
- Bideaux, J.-E.; Closuit, C.; Rodriguez-Arbaizar, M.; Carreno-Morelli, E. Metal injection moulding of Ti-Nb alloys for implant application. Eur. Cells Mater. 2011, 22, 32. [Google Scholar]
- Åslund, C. Novel process for producing components in high alloyed stainless steels. In Proceedings of the Advances in Powder Metallurgy and Particulate Materials, Powder Met, San Diego, CA, USA, 17–20 May 2015; Volume 2, pp. 07.91–07.98. [Google Scholar]
- Kearns, M.; Johnston, M.; Murray, K.; Davies, P.; Ryabinin, V.; Gonzalez, E. Studies on the effects of Nb on sintering and properties of MIM 440C made by prealloy and master alloy routes. In Proceedings of the International Conference on Powder Metallurgy and Particulate Materials, PowderMet, San Diego, CA, USA, 17–20 May 2015; p. 1134. [Google Scholar]
- Liu, C.; Kong, X.; Wu, S.; Kuang, C. Research on powder injection molding of Ti6Al4V alloys for biomedical application. Powder Metall. Technol. 2018, 36, 217–222+229. [Google Scholar]
- Cai, Y. Technology and application for titanium and its alloy powder injection molding. Rare Met. Mater. Eng. 2005, 34, 657. [Google Scholar]
- Miura, H.; Shinozaki, R.; Virdhian, S.; Osada, T. Evaluation and analysis of distortion during MIM process of titanium alloy materials. J. Jpn. Soc. Powder Powder Metall. 2010, 57, 352–356. [Google Scholar]
- Gross, M.; Motivans, L. Bimetallic MIM medical components Medical Device Materials. In Proceedings of the Materials and Processes for Medical Devices Conference, Anaheim, CA, USA, 8–10 September 2003; pp. 403–407. [Google Scholar]
- Melli, V.; Rondelli, G.; Sandrini, E.; Altomare, L.; Bolelli, G.; Bonferroni, B.; Lusvarghi, L.; Cigada, A.; De Nardo, L. Metal injection molding as enabling technology for the production of metal prosthesis components: Electrochemical and in vitro characterization. J. Biomed. Mater. Res. B Appl. Biomater. 2013, 101, 1294–1301. [Google Scholar] [CrossRef] [PubMed]
- Bockris, J.; Genshaw, M.; Brusic, V.; Wroblowa, H. The mechanism of the passivation of iron in neutral solutions: An ellipsometric and coulometric investigation. Electrochim. Acta 1971, 16, 1859–1894. [Google Scholar] [CrossRef]
- Shaw, B. Corrosion-Resistant Powder Metallurgy Alloys. In Powder Metal Technologies and Applications; ASM International: Novelty, OH, USA, 1998; p. 7. [Google Scholar] [CrossRef]
- Tandon, R.; Simmons, J.; Covino, B.; Russel, J. Mechanical and corrosion properties of nitrogen-alloyed stainless steels consolidated by MIM. Int. J. Powder Metall. 1998, 34, 47–54. [Google Scholar]
- Castro, L.; Merino, S.; Levenfeld, B.; Varez, A.; Torralba, J.M. Mechanical properties and pitting corrosion behaviour of 316L stainless steel parts obtained by a modified metal injection moulding process. J. Mater. Process. Technol. 2003, 143, 397–402. [Google Scholar] [CrossRef]
- He, H.; Li, Y.; Li, D. Effect of sintering temperature and atmosphere on corrosion behavior of MIM 316L stainless steel. Adv. Mater. Res. 2011, 239, 132–136. [Google Scholar] [CrossRef]
- Varma, D.P.; Chidambaram, S.; Reddy, K.B.; Vijay, M.; Ravindranath, D.; Prasad, M.R. Comparison of galvanic corrosion potential of metal injection molded brackets to that of conventional metal brackets with nickel-titanium and copper nickel-titanium archwire combinations. J. Contemp. Dent. Pract. 2013, 14, 488–495. [Google Scholar]
- Siargos, B.; Bradley, T.G.; Darabara, M.; Papadimitriou, G.; Zinelis, S. Galvanic corrosion of metal injection molded (MIM) and conventional brackets with nickel-titanium and copper-nickel-titanium archwires. Angle Orthod. 2007, 77, 355–360. [Google Scholar] [CrossRef]
- Xu, Z.; Jia, C.; Kuang, C.; Qu, X.H. Fabrication and sintering behavior of high-nitrogen nickel-free stainless steels by metal injection molding. Int. J. Miner. Metall. Mater. 2010, 17, 423–428. [Google Scholar] [CrossRef]
- Uggowitzer, P.; Bähre, W.; Wohlfromm, H. Nickel-free high nitrogen austenitic stainless steels produced by metal injection moulding. Speidel M Mater. Sci. Forum 1999, 318, 663–672. [Google Scholar] [CrossRef]
- Baker, M. European Standards Developed in Support of the European Union Nickel Directive. Met. Allergy 2018, 23–29. [Google Scholar]
- Regulation (EC) No 1907/2006 of the European Parliament and of the Council of 18 December 2006 concerning the Registration, Evaluation, Authorisation and Restriction of Chemicals (REACH), Establishing a European Chemicals Agency, amending Directive 1999/45/EC and Repealing Council Regulation (EEC) No 793/93 and Commission Regulation (EC) No 1488/94 as well as Council Directive 76/769/EEC and Commission Directives 91/155/EEC, 93/67/EEC, 93/105/EC and 2000/21/EC. Available online: https://eur-lex.europa.eu/legal-content/EN/TXT/?uri=CELEX%3A02006R1907-20140410 (accessed on 15 November 2023).
- Substances of Very High Concern Identification. Available online: https://echa.europa.eu/substances-of-very-high-concern-identification (accessed on 15 November 2023).
- Cui, D.; Qu, X.; Guo, P.; Li, K. Sintering optimization and solution annealing of high nitrogen nickel free austenitic stainless steels prepared by PIM. Powder Metall. 2010, 53, 91–95. [Google Scholar] [CrossRef]
- Uggowitzer, P.; Bahre, W. Metal injection moulding of nickel-free stainless steels. Speidel M Adv. Powder Metall. Part. Mater. 1997, 318, 663–672. [Google Scholar]
- Shashanka, R.; Chaira, D. Effects of nano-Y2O3 and sintering parameters on the fabrication of PM duplex and ferritic stainless steels. Acta Metall. Sin. 2016, 29, 58–71. [Google Scholar] [CrossRef]
- Kuang, C.J.; Zhong, H.; Chen, D.; Kuang, X.; Li, Q.; Hao, Q. Development of powder metallurgy nickel free high nitrogen stainless steels. Mater. Sci. Forum 2010, 638, 1811–1813. [Google Scholar]
- Kuroda, Y.; Komada, M.; Murakami, R.; Fukumoto, S.; Tsuchida, N.; Harada, Y.; Fukaura, K. Metal injection molding of nickel-free austenitic stainless-steels I—Manufacturing process. Adv. Mater. Res. 2007, 26, 15–18. [Google Scholar] [CrossRef]
- Johnson, J.; Tan, L.; Suri, P.; German, R. Metal injection molding of multi-functional materials. Am. Soc. Mech. Eng. 2003, 98, 283–288. [Google Scholar]
- Sonderegger, M.; Spruengli, B. Optimised sintering and heat treatment of the nickel-free high-nitrogen MIM-Steel X15CrMnMoN17-11-3. In Proceedings of the Euro PM 2006—Powder Metallurgy Congress and Exhibition, Ghent, Belgium, 23–25 October 2006; Volume 2, pp. 31–36. [Google Scholar]
- Reclaru, L. Yesterday, today, and tomorrow ceramics, Ni-Cr and Co-Cr alloys in dental prosthetic application. Clujul Med. 2017, 90, 67–79. [Google Scholar]
- Keong, T. Feedstock development for micro metal injection molding (μ-MIM). In Proceedings of the Euro International Powder Metallurgy Congress and Exhibition, Euro PM, Mannheim, Germany, 29 September–1 October 2008; Volume 2, pp. 317–323. [Google Scholar]
- 56. ASTM G48-11 (2020); Standard Test Methods for Pitting and Crevice Corrosion Resistance of Stainless Steels and Related Alloys by Use of Ferric Chloride Solution. ASTM International: West Conshohocken, PA, USA, 2020. [CrossRef]
- Bockris, J.O.; Reddy, A.K.N.; Gamboa-Aldeco, M. Modern Electrochemistry. Fundam. Electrodics 2000, 2A, 1140. [Google Scholar]
- Pleskov, Y.V. The Rotating Disc Electrode. In Studies in Soviet Science; Halina, S., Wroblova, B., Conway, E., Eds.; Consultants Bureau-New York and London, A Division of Plenum Publishing Corporation: New York, NY, USA, 1967; p. 402. [Google Scholar]
- Koutecky, J.; Levich, V.G. The Use of a Rotating Disk Electrode in the Studies of Electrochemical Kinetics and Electrolytic Processes. Zh. Fiz. Khim. 1958, 32, 1565–1575. [Google Scholar]
- Levich, V.G.; Tobias, C.W. Physicochemical Hydrodynamics. J. Electrochem. Soc. 1963, 110, 251. [Google Scholar] [CrossRef]
- ASTM G3-14 (2019); Standard Practice for Conventions Applicable to Electrochemical Measurements in Corrosion Testing. Corrosion of Metals; Wear and Erosion. ASTM International: West Conshohocken, PA, USA, 2019. [CrossRef]
- ASTM G5-14 (2021); Standard Reference Test Method for Making Potentiodynamic Anodic Polarization Measurements. Corrosion of Metals; Wear and Erosion. ASTM International: West Conshohocken, PA, USA, 2021. [CrossRef]
- ASTM G59-97 (2020); Standard Test Method for Conducting Potentiodynamic Polarization Resistance Measurements. Corrosion of Metals; Wear and Erosion. ASTM International: West Conshohocken, PA, USA, 2020. [CrossRef]
- ASTM G71-81 (2019); Standard Guide for Conducting and Evaluating Galvanic Corrosion Tests in Electrolytes. Corrosion of Metals; Wear and Erosion. ASTM International: West Conshohocken, PA, USA, 2019. [CrossRef]
- EN 1811; Reference Test Method for Release of Nickel from All Post Assemblies Which Are Inserted into Pierced Parts of the Human Body and Articles Intended to Come into Direct and Prolonged Contact with the Skin. European Committee for Standardization: Bruxelles, Belgium, 2023; C/2023/1604 (2024-01-31) for Directive 1907/2006.
- ASTM F746-87 (1999); Standard Test Method for Pitting or Crevice Corrosion of Metallic Surgical Implant Materials. Medical and Surgical Materials and Devices (I). ASTM International: West Conshohocken, PA, USA, 1999. [CrossRef]
- ASTM E112-13 (2021); Standard Test Methods for Determining Average Grain Size; Metals-Mechanical Testing. Elevated and Low-temperature Tests; Metallography. ASTM International: West Conshohocken, PA, USA, 2021. [CrossRef]
- Sanderow, H.I. High-Temperature Sintered Powder Metal Parts, SAE Technical Paper. SAE Trans. 1990, 99, 112–115. [Google Scholar]
- ASTM G15-02 (2017); Standard Terminology Relating to Corrosion and Corrosion Testing. Corrosion of Metals; Wear and Erosion. ASTM International: West Conshohocken, PA, USA, 2017. [CrossRef]
- ASTM F2229-02 (2021); Standard Specification for Wrought, Nitrogen Strengthened 23Mn-21Cr-1Mo Low-Nickel Stainless Steel Alloy Bar and Wire for Surgical Implants. Medical and Surgical Materials and Devices (I). ASTM International: West Conshohocken, PA, USA, 2021. [CrossRef]























| Code | Material Powder | State of the Feedstock | Cycle | Process |
|---|---|---|---|---|
| #1 | 316L | Green | Long | Sintering and HIP |
| #2 | 316L | Green | Long | Frittage and HIP |
| #3 | 316L | Milling × 1 Time | Short | Sintering |
| #4 | 316L | Milling × 1 Time | Short | Sintering and HIP |
| #5 | 316L | Green | Short | Sintering |
| #6 | 316L | Green | Short | Sintering and HIP |
| #7 | 904L | Green | Short | Sintering and HIP |
| #8 | 904L | Milling × 1 Time | Short | Sintering and HIP |
| #9 | 316L | Milling × 2 Times | Short | Sintering |
| #10 | 316L | Milling × 1 Time | Long | Sintering |
| Chemical Composition | Urea | NaCl | Racemic Lactic Acid |
| 1 ± 0.001 g/L | 5 ± 0.001 g/L | 940 ± 10 μL/L |
| DIN | AISI | C | Si | Mn | P | S | Cr | Mo | Ni | Other |
|---|---|---|---|---|---|---|---|---|---|---|
| 1.4571 | 316 Ti | <0.08 | <1.00 | <2.00 | <0.045 | <0.030 | 16.5–18.5 | 2.0–2.5 | 10.5–13.5 | Ti > 5; C < 0.80 |
| 1.4435 | 316L | <0.030 | <1.00 | <2.00 | <0.045 | <0.025 | 17.0–18.5 | 2.5–3.0 | 12.5–15.0 | -- |
| SW14435 | 316L | <0.030 | <1.00 | <2.00 | <0.045 | <0.025 | 17.0–18.5 | 2.5–3.0 | 12.5–15.0 | |
| PX14435 | 316L | <0.030 | <1.00 | <2.00 | <0.045 | <0.025 | 17.0–18.5 | 2.5–3.0 | 12.5–15.0 | |
| 1.4441 | 316L med. | <0.030 | <1.00 | <2.00 | <0.025 | <0.010 | 17.0–19.0 | 2.5–3.2 | 13.0–15.5 | N < 0.10; Cu < 0.120 |
| PM14435 | 316L | <0.030 | <1.00 | <2.00 | <0.045 | <0.025 | 17.0–18.5 | 2.5–3.0 | 12.5–15.0 | |
| 1.4539 | 904L | <0.02 | <0.70 | <2.00 | <0.030 | <0.015 | 19.0–21.0 | 4.0–5.0 | 24.0–26.0 | Cu 1.00–2.00; N 0.04–0.15 |
| Samples Tested | E (i = 0) | Rp | bc | ba | icorr | Coulometric Analysis | ||
|---|---|---|---|---|---|---|---|---|
| Ecorr–300 mV | 300 mV–600 mV | |||||||
| mV | kOhm.cm2 | mV/Decade | mV/Decade | nA/cm2 | mC/cm2 | mC/cm2 | ||
| 316L | 32 | 1507 | 414 | 113 | 27 | 1.96 | 198.0 | |
| 904L | 123 | 347 | 122 | 312 | 91 | 2.52 | 20.65 | |
| #1 | S+HIP | 33 | 552 | 244 | 102 | 31 | 1.15 | 1691.0 |
| #2 | S+HIP | −233 | 232 | 46 | 76 | 226 | 4.40 | 1300.0 |
| #4 | S+HIP | 67 | 290 | 545 | 52 | 85 | 1.07 | 1304.0 |
| #6 | S+HIP | 83 | 115 | 69 | 113 | 568 | 7.51 | 2354.0 |
| #7 | S+HIP | 60 | 80 | 589 | 39 | 654 | 4.02 | 4.10 |
| #8 | S+HIP | 72 | 55 | 252 | 52 | 777 | 2.16 | 3.70 |
| #3 | S | 66 | 290 | 97 | 77 | 151 | 1.02 | 864.4 |
| #5 | S | 76 | 53 | 92 | 47 | 528 | 1.82 | 1212.0 |
| #9 | S | 74 | 45 | 251 | 39 | 931 | 1.23 | 663.5 |
| #10 | S | 36 | 96 | 69 | 181 | 340 | 2.11 | 1503.0 |
| Galvanic Couple MIM Steel/316L AISI | Quantity of Electrical Charge Delivered for 72 h [C/cm2] |
|---|---|
| MIM #1/316L AISI | 3.69 |
| MIM #3/316L AISI | 0.25 |
| MIM #4/316L AISI | 1.24 |
| MIM #5/316L AISI | 0.22 |
| MIM #6/316L AISI | 2.12 |
| MIM #7/904L AISI | 3.23 |
| MIM #8/904L AISI | 0.17 |
| MIM #9/316L AISI | 2.97 |
Disclaimer/Publisher’s Note: The statements, opinions and data contained in all publications are solely those of the individual author(s) and contributor(s) and not of MDPI and/or the editor(s). MDPI and/or the editor(s) disclaim responsibility for any injury to people or property resulting from any ideas, methods, instructions or products referred to in the content. |
© 2024 by the authors. Licensee MDPI, Basel, Switzerland. This article is an open access article distributed under the terms and conditions of the Creative Commons Attribution (CC BY) license (https://creativecommons.org/licenses/by/4.0/).
Share and Cite
Reclaru, L.; Ionescu, F.; Diologent, F. Evaluation of the Corrosion Resistance of Watch Links from 316L and 904L Austenitic Stainless Steels Obtained by the Metal Injection Molding (MIM) Technique Intended to Be in Contact with Human Skin. Coatings 2024, 14, 412. https://doi.org/10.3390/coatings14040412
Reclaru L, Ionescu F, Diologent F. Evaluation of the Corrosion Resistance of Watch Links from 316L and 904L Austenitic Stainless Steels Obtained by the Metal Injection Molding (MIM) Technique Intended to Be in Contact with Human Skin. Coatings. 2024; 14(4):412. https://doi.org/10.3390/coatings14040412
Chicago/Turabian StyleReclaru, Lucien, Florina Ionescu, and Frederic Diologent. 2024. "Evaluation of the Corrosion Resistance of Watch Links from 316L and 904L Austenitic Stainless Steels Obtained by the Metal Injection Molding (MIM) Technique Intended to Be in Contact with Human Skin" Coatings 14, no. 4: 412. https://doi.org/10.3390/coatings14040412
APA StyleReclaru, L., Ionescu, F., & Diologent, F. (2024). Evaluation of the Corrosion Resistance of Watch Links from 316L and 904L Austenitic Stainless Steels Obtained by the Metal Injection Molding (MIM) Technique Intended to Be in Contact with Human Skin. Coatings, 14(4), 412. https://doi.org/10.3390/coatings14040412

