Nonlinear Optical Bistability Based on Surface Plasmons with Nonlinear Dirac Semimetal Substrate
Abstract
1. Introduction
2. Theoretical Model and Method
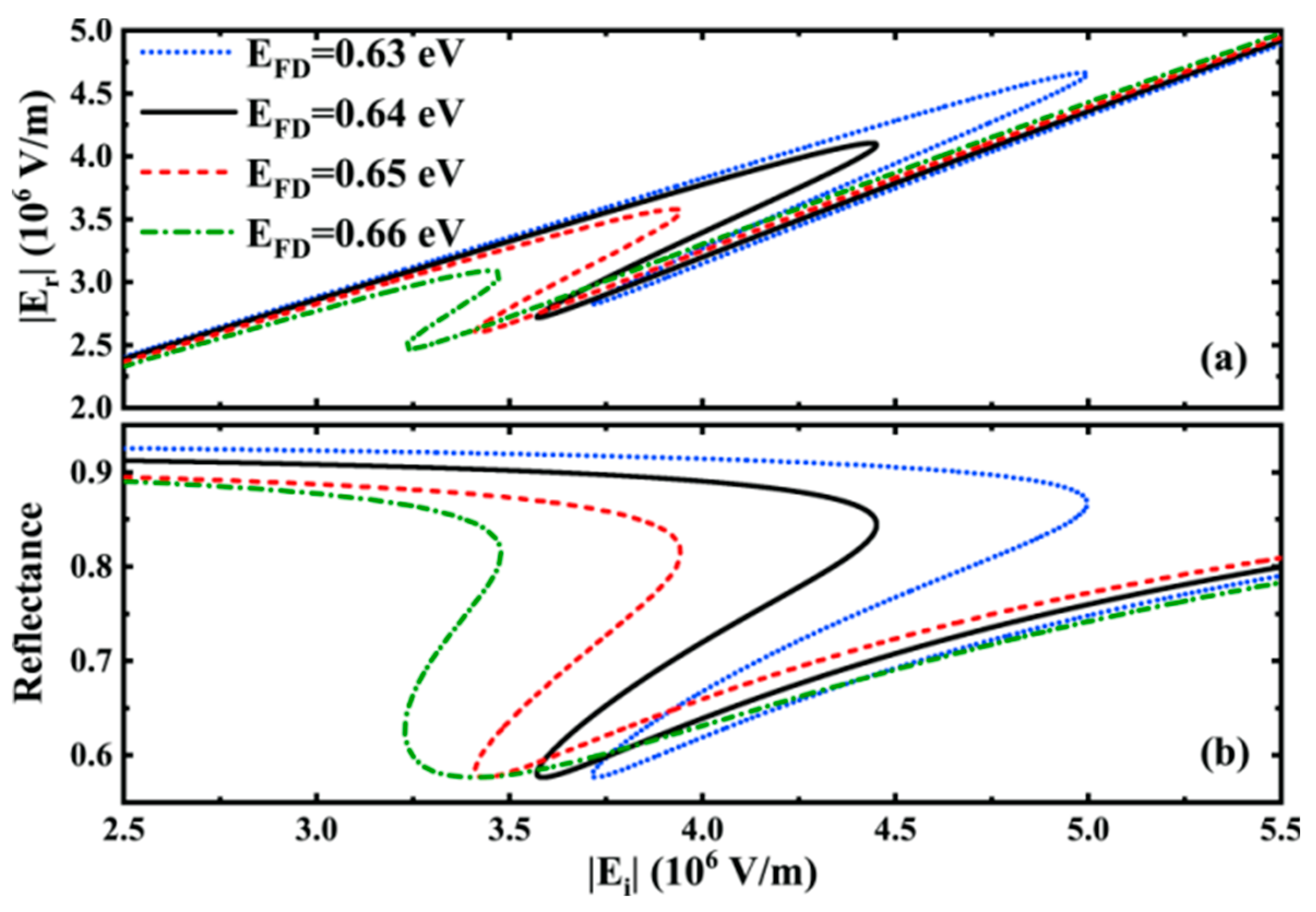
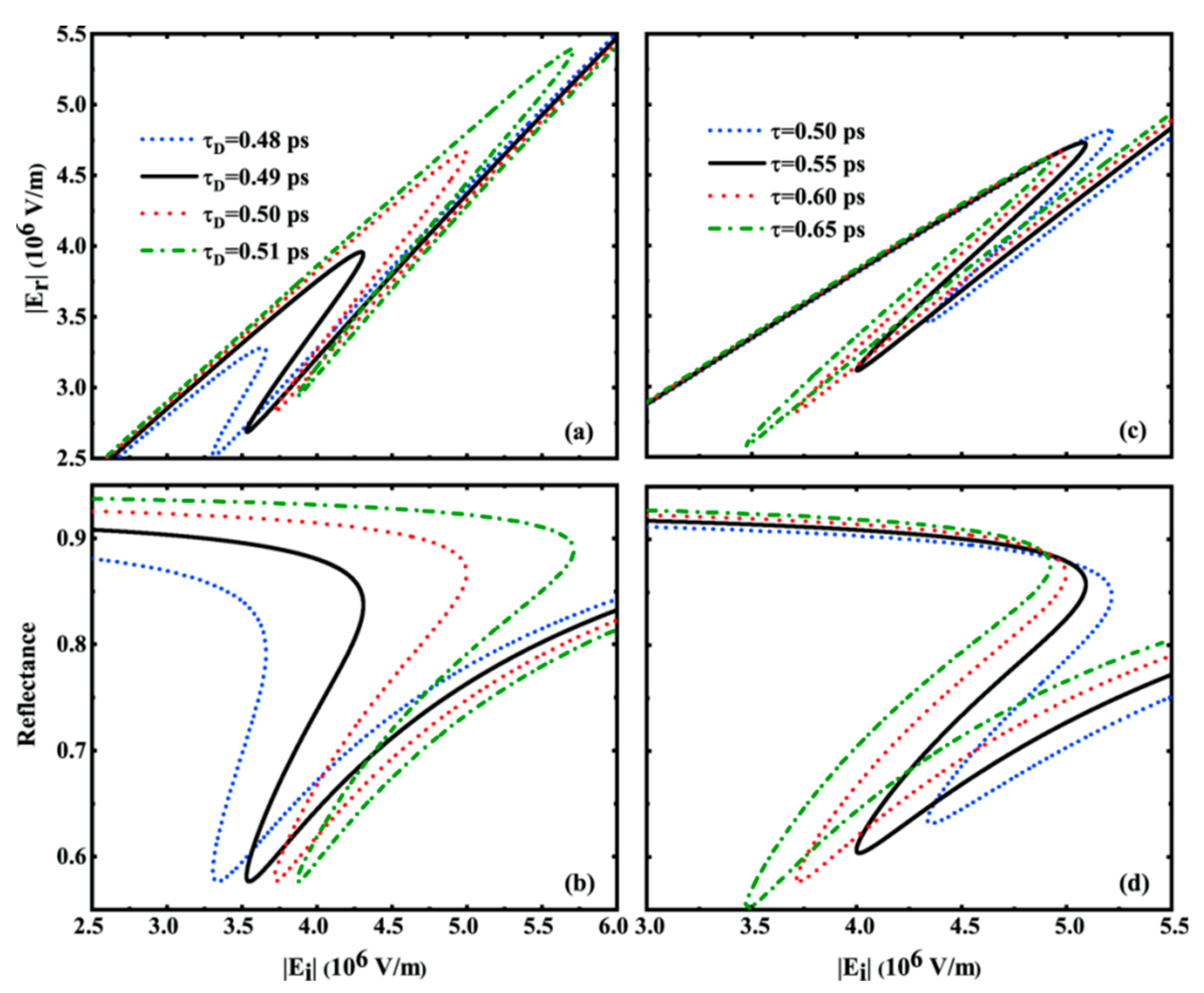
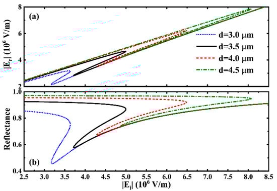
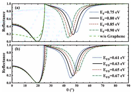
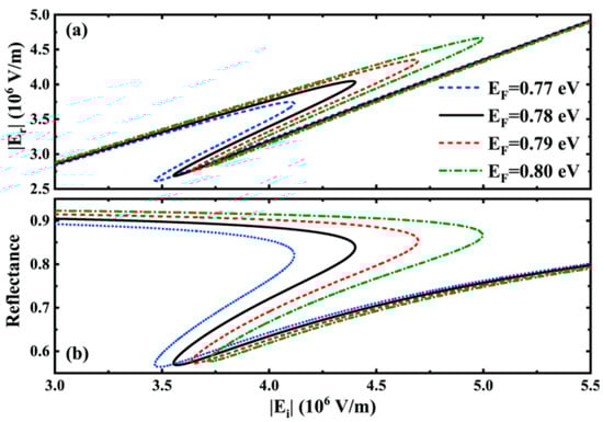
3. Results and Discussion
4. Conclusions
Author Contributions
Funding
Informed Consent Statement
Data Availability Statement
Conflicts of Interest
References
- Gibbs, H.M. Optical Bistability: Controlling Light with Light; Academic Press: Cambridge, MA, USA, 1985. [Google Scholar]
- Li, J.B.; Liang, S.; Xiao, S.; He, M.D.; Liu, L.H.; Luo, J.H.; Chen, L.Q. A sensitive biosensor based on optical bistability in a semiconductor quantum dot-DNA nanohybrid. J. Phys. D Appl. Phys. 2018, 52, 035401. [Google Scholar] [CrossRef]
- Liu, J.C.; Wang, F.L.; Han, J.Y.; Hao, Y.Z.; Yang, Y.D.; Xia, J.L.; Huang, Y.Z. All-optical switching and multiple logic gates based on hybrid square–rectangular laser. J. Light. Technol. 2020, 38, 1382–1390. [Google Scholar] [CrossRef]
- Nagasaki, Y.; Gholipour, B.; Ou, J.Y.; Plum, E.; MacDonald, K.F.; Takahara, J.; Zheludev, N.I. Optical bistability in shape-memory nanowire metamaterial array. Appl. Phys. Lett. 2018, 113, 021105. [Google Scholar] [CrossRef]
- Zhang, W.L.; Jiang, Y.; Zhu, Y.Y.; Wang, F.; Rao, Y.J. All-optical bistable logic control based on coupled Tamm plasmons. Opt. Lett. 2013, 38, 4092–4095. [Google Scholar] [CrossRef] [PubMed]
- Hu, W.; Jiang, J.; Xie, D.; Wang, S.; Bi, K.; Duan, H.; Yang, J.; He, J. Transient security transistors self-supported on biodegradable natural-polymer membranes for brain-inspired neuromorphic applications. Nanoscale 2018, 10, 14893–14901. [Google Scholar] [CrossRef] [PubMed]
- Jiang, L.Y.; Guo, J.; Wu, L.M.; Dai, X.Y.; Xiang, Y.J. Manipulating the optical bistability at terahertz frequency in the Fabry-Perot cavity with graphene. Opt. Express 2015, 23, 31181–31191. [Google Scholar] [CrossRef]
- Kim, M.; Kim, S.; Kim, S. Optical bistability based on hyperbolic metamaterials. Opt. Express 2018, 26, 11620–11632. [Google Scholar] [CrossRef] [PubMed]
- Ardakani, A.G.; Firoozi, F.B. Highly tunable bistability using an external magnetic field in photonic crystals containing graphene and magnetooptical layers. J. Appl. Phys. 2017, 121, 023105. [Google Scholar] [CrossRef]
- Chen, Y.Q.; Dong, L.J.; Fang, Y.; Wu, X.Z.; Wu, Q.Y.; Jiang, J.; Shi, Y.L. Bistable switching in electromagnetically induced-transparency-like meta-molecule. Appl. Phys. 2019, A125, 22. [Google Scholar] [CrossRef]
- Wang, L.G.; Zhu, S.Y. Giant lateral shift of a light beam at the defect mode in one-dimensional photonic crystals. Opt. Lett. 2006, 31, 101–103. [Google Scholar] [CrossRef]
- Tang, J.; Ye, Y.Y.; Xu, J.; Zheng, Z.W.; Jin, X.L.; Jiang, L.Y.; Jiang, J.; Xiang, Y. High-sensitivity terahertz refractive index sensor in a multilayered structure with graphene. Nanomaterials 2020, 10, 500. [Google Scholar] [CrossRef] [PubMed]
- Long, X.; Bao, Y.W.; Yuan, H.X.; Zhang, H.Y.; Dai, X.Y.; Li, Z.F.; Jiang, L.Y.; Xiang, Y.J. Low threshold optical bistability based on topological edge state in photonic crystal heterostructure with Dirac semimetal. Opt. Express 2022, 30, 20847–20858. [Google Scholar] [CrossRef] [PubMed]
- Maier, S.A. Plasmonics: Fundamentals and Applications; Springer: Berlin/Heidelberg, Germany, 2007; Volume 1, p. 245. [Google Scholar]
- Zayats, A.V.; Smolyaninov, I.I.; Maradudin, A.A. Nano-optics of surface plasmon polaritons. Phys. Rep. 2005, 408, 131–314. [Google Scholar] [CrossRef]
- Kretschmann, E. The determination of the optical constants of metals by excitation of surface plasmons. Z. Für Phys. A Hadron. Nucl. 1971, 241, 313–324. [Google Scholar] [CrossRef]
- Otto, A. Excitation of nonradiative surface plasma waves in silver by the method of frustrated total reflection. Z. Für Phys. A Hadron. Nucl. 1968, 216, 398–410. [Google Scholar] [CrossRef]
- Farmani, A.; Zarifkar, A.; Sheikhi, M.H.; Miri, M. Design of a tunable graphene plasmonic-on-white graphene switch at infrared range. Superlattice Microst. 2017, 112, 404–414. [Google Scholar] [CrossRef]
- Kumar, R.; Singh, R.; Hui, D.; Feo, L.; Fraternali, F. Graphene as biomedical sensing element: State of art review and potential engineering applications. Compos. Part B Eng. 2018, 134, 193–206. [Google Scholar] [CrossRef]
- Yang, Y.; Lee, J.; Lee, S.; Liu, C.H.; Zhong, Z.; Wei, L. Oxide resistive memory with functionalized graphene as built-in selector element. Adv. Mater. 2014, 26, 3693–3699. [Google Scholar] [CrossRef] [PubMed]
- Borisenko, S.; Gibson, Q.; Evtushinsky, D.; Zabolotnyy, V.; Buchner, B.; Cava, R.J. Experimental realization of a three-dimensional Dirac semimetal. Phys. Rev. Lett. 2014, 113, 027603. [Google Scholar] [CrossRef] [PubMed]
- Neupane, M.; Xu, S.-Y.; Sankar, R.; Alidoust, N.; Bian, G.; Liu, C.; Belopolski, I.; Chang, T.-R.; Jeng, H.-T.; Lin, H.; et al. Observation of a three-dimensional topological Dirac semimetal phase in high-mobility Cd3As2. Nat. Commun. 2014, 5, 3786. [Google Scholar] [CrossRef] [PubMed]
- Liu, Z.K.; Zhou, B.; Zhang, Y.; Wang, Z.J.; Weng, H.M.; Prabhakaran, D.; Mo, S.K.; Zhang, Y.; Shen, Z.X.; Fang, Z.; et al. Discovery of a three-dimensional topological Dirac semimetal, Na3Bi. Science 2014, 343, 864–867. [Google Scholar] [CrossRef] [PubMed]
- Liang, T.; Gibson, Q.; Ali, M.N.; Liu, M.; Cava, R.J.; Ong, N.P. Ultrahigh mobility and giant magnetoresistance in the Dirac semimetal Cd3As2. Nat. Mater. 2015, 14, 280–284. [Google Scholar] [CrossRef] [PubMed]
- Kotov, O.V.; Lozovik, Y.E. Dielectric response and novel electromagnetic modes in three-dimensional Dirac semimetal films. Phys. Rev. B 2016, 93, 235417. [Google Scholar] [CrossRef]
- Ooi, K.J.A.; Ang, Y.S.; Zhai, Q.; Tan, D.T.H.; Ang, L.K.; Ong, C.K. Nonlinear plasmonics of three-dimensional Dirac semimetals. APL Photonics 2019, 4, 034402. [Google Scholar] [CrossRef]
- Koppens, F.H.L.; Chang, D.E.; de Abajo, F.J.G. Graphene Plasmonics: A Platform for Strong Light-Matter Interactions. Nano Lett. 2011, 11, 3370–3377. [Google Scholar] [CrossRef]
- Stegeman, G.I.; Seaton, C.T. Nonlinear surface plasmons guided by thin metal films. Opt. Lett. 1984, 9, 235–237. [Google Scholar] [CrossRef] [PubMed]
- Gupta, S.D.; Agarwal, G.S. Optical bistability with surface plasmons beyond plane waves in a nonlinear dielectric. J. Opt. Soc. Am. B 1984, 3, 236–238. [Google Scholar] [CrossRef]
- Jiang, L.Y.; Guo, J.; Wang, Q.; Dai, X.Y.; Xiang, Y.J. Perfect terahertz absorption with graphene surface plasmons in the modified Otto configuration. Plasmonics 2017, 12, 1825–1831. [Google Scholar] [CrossRef]






Disclaimer/Publisher’s Note: The statements, opinions and data contained in all publications are solely those of the individual author(s) and contributor(s) and not of MDPI and/or the editor(s). MDPI and/or the editor(s) disclaim responsibility for any injury to people or property resulting from any ideas, methods, instructions or products referred to in the content. |
© 2024 by the authors. Licensee MDPI, Basel, Switzerland. This article is an open access article distributed under the terms and conditions of the Creative Commons Attribution (CC BY) license (https://creativecommons.org/licenses/by/4.0/).
Share and Cite
Wu, X.; Guo, Y.; Long, X.; Wang, Q. Nonlinear Optical Bistability Based on Surface Plasmons with Nonlinear Dirac Semimetal Substrate. Coatings 2024, 14, 394. https://doi.org/10.3390/coatings14040394
Wu X, Guo Y, Long X, Wang Q. Nonlinear Optical Bistability Based on Surface Plasmons with Nonlinear Dirac Semimetal Substrate. Coatings. 2024; 14(4):394. https://doi.org/10.3390/coatings14040394
Chicago/Turabian StyleWu, Xinghua, Yanyan Guo, Xin Long, and Qingkai Wang. 2024. "Nonlinear Optical Bistability Based on Surface Plasmons with Nonlinear Dirac Semimetal Substrate" Coatings 14, no. 4: 394. https://doi.org/10.3390/coatings14040394
APA StyleWu, X., Guo, Y., Long, X., & Wang, Q. (2024). Nonlinear Optical Bistability Based on Surface Plasmons with Nonlinear Dirac Semimetal Substrate. Coatings, 14(4), 394. https://doi.org/10.3390/coatings14040394
