Dynamic Numerical Simulation of Curved Surface Coating Trajectory Based on STL Slicing Algorithm
Abstract
1. Introduction
2. Spray Trajectory Generated Using STL Slicing Algorithm
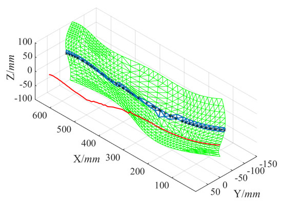
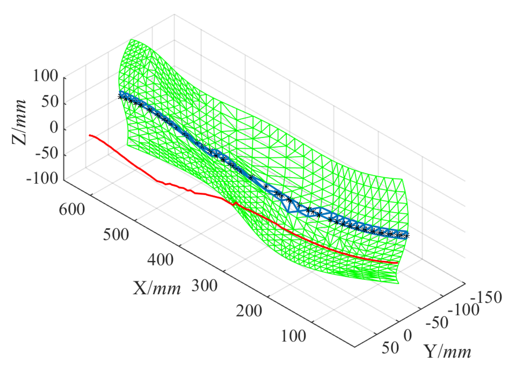
2.1. Basic Ideas of the Algorithm
| facet normal nx ny nz |
| outer loop |
| vertex x1 y1 z1 |
| vertex x2 y2 z2 |
| vertex x3 y3 z3 |
| endloop |
| endfacet |
2.2. Implementation Process of the Algorithm
- (1)
- Data reading and integration
- (2)
- Data screening
- Enter the height of each slice plane;
- The minimum value and maximum value in the third, sixth, and ninth columns of each row were obtained from matrix A;
- If , all data in this row will be saved in another matrix . Otherwise, the row is discarded;
- Repeat steps (a) to (c) successively until all section plane calculations are completed.
- (3)
- Solve for the coordinate values of key intersecting nodes
- (4)
- The generation of spray gun spraying track
- (1)
- The inversed normal vector is taken as the Z-axis direction vector of the spray gun.
- (2)
- The two adjacent intersection points are taken as unit vectors along the X-axis.
- (3)
- The unit vector in the Y direction is .
3. Spraying Film Model and Parameter Setting
3.1. Spray Flow Field Model
- The momentum conservation equation is:where is the volume fraction. is the material density. is the speed. is the common pressure. is the viscous stress. is the acceleration due to gravity. is the turbulent dispersion force. is the force between the two phases. is the gas phase or the liquid phase.
- 2.
- The continuity equation is:
3.2. Collision Adhesion Model
- 1.
- The mass conservation equation is:where is the density. is film thickness. is the average velocity of film flow. is the mass source.
- 2.
- Momentum conservation equation is:where the left part of the equation represents the instantaneous term and the convection term, respectively. The right part shows the pressure of the gas phase, the normal component, the resultant force of the surface tension of the paint film, the tangential component, the viscous shear stress at the interface between the gas phase and the liquid phase, and the viscous stress of the paint film, respectively.
3.3. Grid Division and Parameter Setting
3.3.1. Meshing
3.3.2. Setting Spraying Parameters
3.3.3. Calculation and Setting of Spray Gun Positions and Attitudes
4. Numerical Simulation Results and Analysis
4.1. Simulation Results
4.2. Analysis of Coating Thickness Distribution
5. Dynamic Spraying Experiment and Analysis
5.1. Spraying Experiment Platform and Equipment
5.2. Spraying Experiment
5.3. Comparative Analysis of Experiment and Simulation
6. Conclusions
- (1)
- By analyzing the simulation results of arc/free-form surfaces, we observed that the distribution of spray layers on arc/free-form surfaces has different rules. The maximum coating thickness on the curved surface is 67 μm, and the maximum coating thickness on the free surface is 73 μm.
- (2)
- The coating thickness distribution on the arc surface is thicker in the central area and thinner in the surrounding area and is symmetrical with respect to the transverse and longitudinal directions of the arc surface.
- (3)
- Uniformity of coating thickness distribution at both ends compared with the central area. The concave areas of the free surface have the greatest coating thickness. The coating thickness distribution in the convex areas is the same as that in the relatively flat areas.
Author Contributions
Funding
Institutional Review Board Statement
Informed Consent Statement
Data Availability Statement
Conflicts of Interest
References
- Chen, Y.; Chen, W.; Li, B.; Zhang, G.; Zhang, W. Paint thickness simulation for painting robot trajectory planning: A review. Ind. Robot. Int. J. Robot. Res. Appl. 2017, 44, 629–638. [Google Scholar] [CrossRef]
- Candel, A.; Gadow, R. Trajectory Generation and Coupled Numerical Simulation for Thermal Spraying Applications on Complex Geometries. J. Therm. Spray Technol. 2009, 18, 981–987. [Google Scholar] [CrossRef]
- Yu, X.Y.; Cheng, Z.Y.; Zhang, Y.K.; Ou, L.L. Point cloud modeling and slicing algorithm for trajectory planning of spray painting robot. Robotica 2021, 39, 2246–2267. [Google Scholar] [CrossRef]
- Chen, W.Z.; Chen, Y.; Zhang, W.M.; He, S.W.; Li, B.; Jiang, J.Z. Paint thickness simulation for robotic painting of curved surfaces based on Euler-Euler approach. J. Braz. Soc. Mech. Sci. Eng. 2019, 41, 199. [Google Scholar] [CrossRef]
- Jae, Y.W.; Lee, B.; Kyubok, A. A Study on the Spray Characteristics of Swirl Injectors Using ANSYS Fluent. J. ILASS-Korea 2017, 22, 159–168. [Google Scholar] [CrossRef]
- Xie, X.P.; Wang, Y.N. Research on Distribution Properties of Coating Film Thickness from Air Spraying Gun-Based on Numerical Simulation. Coatings 2019, 9, 721. [Google Scholar] [CrossRef]
- Ye, Q.; Domnick, J. Analysis of droplet impingement of different atomizers used in spray coating processes. J. Coat. Technol. Res. 2017, 14, 467–476. [Google Scholar] [CrossRef]
- Huo, P.; Li, J.P.; Wang, P.F.; Bian, Y.L.; Xue, C.L. CFD and Test of Single Side Gantry Boom Sprayer for Apple Orchards. Eng. Agric. 2021, 41, 536–550. [Google Scholar] [CrossRef]
- Chen, Y.; He, S.W.; Zhang, G. Two-fluid Model Simulation of Paint Deposition on Flat Wall in an Air Spray Process. J. Logistic. Eng. Univ. 2015, 31, 82–86. [Google Scholar]
- Muddapur, A.; Srikrishna, S.; Sundararajan, T. Spray dynamics simulations for pulsatile injection at different ambient pressure and temperature conditions. Proc. Inst. Mech. Eng. Part A—J. Power Energy 2020, 234, 500–519. [Google Scholar] [CrossRef]
- Du, B.X.; Zhao, Z.F. Numerical prediction of the spray from an air-assisted fuel injection system via Eulerian-Lagrangian approach. Energy Rep. 2021, 7, 6718–6732. [Google Scholar] [CrossRef]
- Yang, L.; Ge, S.; Huang, Z.; Jing, D.; Chen, X. The Numerical Simulation Research of High Pressure mist Spray Based on Multiphase Flow Theory. Fresenius Environ. Bull. 2020, 29, 2886–2890. [Google Scholar]
- Xia, W.; Yu, S.-R.; Liao, X.-P. Paint deposition pattern modeling and estimation for robotic air spray painting on free surface using the curvature circle method. Ind. Robot—Int. J. Robot. Res. Appl. 2010, 37, 202–213. [Google Scholar] [CrossRef]
- Wang, Y.-A.; Xie, X.-P.; Lu, X.-H. Design of a Double-Nozzle Air Spray Gun and Numerical Research in the Interference Spray Flow Field. Coatings 2020, 10, 475. [Google Scholar] [CrossRef]
- Ye, Q.; Shen, B.; Tiedje, O.; Bauernhansl, T.; Domnick, J. Numerical and Experimental Study of Spray Coating Using Air-Assisted High-Pressure Atomizers. At. Sprays 2015, 25, 643–656. [Google Scholar] [CrossRef]
- Chen, W.; Liu, H.; Tang, Y.; Liu, J. Trajectory Optimization of Electrostatic Spray Painting Robots on Curved Surface. Coatings 2017, 7, 155. [Google Scholar] [CrossRef]
- Soma, T.; Katayama, T.; Tanimoto, J.; Saito, Y.; Matsushita, Y.; Aoki, H.; Inamura, T. Liquid film flow on a high speed rotary bell-cup atomizer. Int. J. Multiph. Flow 2015, 70, 96–103. [Google Scholar] [CrossRef]
- Park, K.; Jeon, D. Optimization of Tool Path Pitch of Spray Painting Robots for Automotive Painting Quality. Int. J. Control Autom. Syst. 2018, 16, 2832–2838. [Google Scholar] [CrossRef]
- Arikan, M.A.S.; Balkan, T. Modeling of paint flow rate flux for elliptical paint sprays by using experimental paint thickness distributions. Ind. Robot—Int. J. 2006, 33, 60–66. [Google Scholar] [CrossRef]
- Diao, X.D.; Zeng, S.X.; Tam, V.W.Y. Development of an optimal trajectory model for spray painting on a free surface. Comput. Ind. Eng. 2009, 57, 209–216. [Google Scholar] [CrossRef]
- Liu, Y.; Zeng, Y.; Zhao, X.; Liu, J.; Liu, D. Analysis of Film Forming Law and Characteristics for an Air Static Spray with a Variable Position of the Plane. Coatings 2021, 11, 1236. [Google Scholar] [CrossRef]
- Ye, Q.; Pulli, K. Numerical and Experimental Investigation on the Spray Coating Process Using a Pneumatic Atomizer: Influences of Operating Conditions and Target Geometries. Coatings 2017, 7, 13. [Google Scholar] [CrossRef]
- Chen, S.; Chen, W.; Chen, Y.; Jiang, J.; Wu, Z.; Zhou, S. Research on Film-Forming Characteristics and Mechanism of Painting V-Shaped Surfaces. Coatings 2022, 12, 658. [Google Scholar] [CrossRef]
- Chen, W.; Chen, Y.; Wang, S.; Han, Z.; Lu, M.; Chen, S. Simulation of a Painting Arc Connecting Surface by Moving the Nozzle Based on a Sliding Mesh Model. Coatings 2022, 12, 1603. [Google Scholar] [CrossRef]
- Chen, Y.; Chen, W.Z.; He, S.W. Spray Flow Characteristics of Painting Cylindrical Surface with a Pneumatic Atomizer. China Surf. Eng. 2017, 30, 122–131. [Google Scholar]
- Moukalled, F.; Mangani, L.; Darwish, M. The Finite Volume Method in Computational Fluid Dynamics: An Advanced Introduction with OpenFOAM and MATLAB; Springer Publishing Company, Inc.: Cham, Switzerland, 2015; pp. 388–389. [Google Scholar]






















| Category | Item | Value |
|---|---|---|
| Paint property parameters | Gas mass flow | 5 × 10−6 kg/s |
| Liquid mass flow | 0.6 × 10−3 kg/s | |
| Liquid volume rate | 25% | |
| Liquid viscosity | 0.275 kg/m·s | |
| Paint density | 1320 kg/m3 | |
| Paint surface tension | 0.036 n/m | |
| Environment parameters | Atmospheric pressure | 0.1 MPa |
| Gravitational acceleration | 9.81 m/s2 | |
| process parameters | Spray height | 100 mm |
| Spray speed | 0.1 m/s | |
| Spray pressure | 0.8 MPa |
Disclaimer/Publisher’s Note: The statements, opinions and data contained in all publications are solely those of the individual author(s) and contributor(s) and not of MDPI and/or the editor(s). MDPI and/or the editor(s) disclaim responsibility for any injury to people or property resulting from any ideas, methods, instructions or products referred to in the content. |
© 2024 by the authors. Licensee MDPI, Basel, Switzerland. This article is an open access article distributed under the terms and conditions of the Creative Commons Attribution (CC BY) license (https://creativecommons.org/licenses/by/4.0/).
Share and Cite
Xu, J.; Cheng, H.; Liu, J.; Jing, X.; Lin, H.; Ji, J. Dynamic Numerical Simulation of Curved Surface Coating Trajectory Based on STL Slicing Algorithm. Coatings 2024, 14, 251. https://doi.org/10.3390/coatings14030251
Xu J, Cheng H, Liu J, Jing X, Lin H, Ji J. Dynamic Numerical Simulation of Curved Surface Coating Trajectory Based on STL Slicing Algorithm. Coatings. 2024; 14(3):251. https://doi.org/10.3390/coatings14030251
Chicago/Turabian StyleXu, Jiangmin, Haolan Cheng, Jinhao Liu, Xuwen Jing, Haodong Lin, and Jianbo Ji. 2024. "Dynamic Numerical Simulation of Curved Surface Coating Trajectory Based on STL Slicing Algorithm" Coatings 14, no. 3: 251. https://doi.org/10.3390/coatings14030251
APA StyleXu, J., Cheng, H., Liu, J., Jing, X., Lin, H., & Ji, J. (2024). Dynamic Numerical Simulation of Curved Surface Coating Trajectory Based on STL Slicing Algorithm. Coatings, 14(3), 251. https://doi.org/10.3390/coatings14030251
